Research on Precursor Information of Brittle Rock Failure through Acoustic Emission
Abstract
1. Introduction
2. Samples and Experiment Method
2.1. Granite Samples
2.2. Experimental Detail
2.3. AE Localization
3. Experiment Results and Analysis
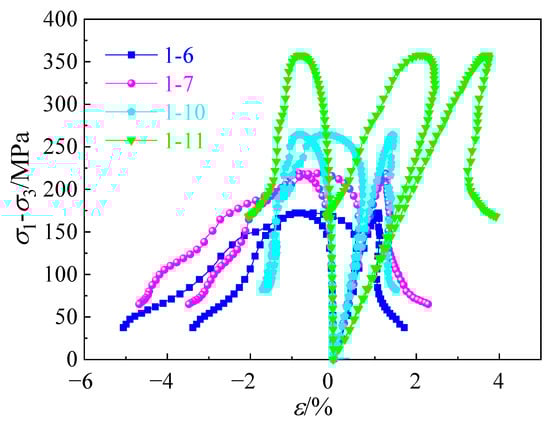
3.1. Experiment Results
3.2. Characteristics of AE
3.3. Research on the b Value
3.4. Research on the Correlation Dimension
4. Discussion
- (1)
- Surrounding rock stress is redistributing, and damage continuously increases with increasing stress, which is similar to the active stage in laboratory experiments. In this situation, the correlation dimension continually increases, and the b value keeps fluctuating after a short increase (State I in Figure 11).
- (2)
- Stress redistribution has been completed. But the surrounding rock is still in a stable state and does not produce AE events anymore. Most AE events received during this state are high-frequency noise events. Both the AE energy rate and events are reduced suddenly, and the proportion of small events increases. The correlation dimension suddenly drops, but the b value remains unchanged after a short rise (State II in Figure 11).
- (3)
- The surrounding rock stress is redistributing again. As the stress increases, the surrounding rock is gradually destroyed, which is similar to a complete laboratory experiment. This situation has a significant impact on engineering safety. Therefore, it is necessary to predict the stability of the surrounding rock in advance before the surrounding rock destruction. The correlation dimension and b value continuously decrease before rock failure, which has been validated using laboratory experiments. So, it is necessary to take some measures to avoid the occurrence of dynamic disasters when the correlation dimension and b value both decrease (State III in Figure 11).
5. Limitations and Future Works
6. Conclusions
- (1)
- The rock failure process can be divided into the initial stage, active stage, quiet stage, and failure stage based on the characteristics of AE events. During the quiet stage, the number of AE events is very few and the amplitude remains in a constant state. The quiet stage can be selected as a precursor information of rock failure.
- (2)
- The AE b value and correlation dimension both can describe the rock failure process and show a continuous decline before destruction. But the b value fluctuates for a long time before continuously falling. A sudden increase or decrease in the AE energy rate can lead to a decrease in the correlation dimension, and the reason for the decrease usually cannot be determined.
- (3)
- Regarding the comprehensive correlation dimension and b value, the correlation dimension is chosen as the main index, and the b value is chosen as the secondary index for the precursor of rock failure, which can simply and accurately evaluate the different stability of the surrounding rock and further warn of the destruction of the surrounding rock.
Author Contributions
Funding
Data Availability Statement
Conflicts of Interest
References
- Akdag, S.; Karakus, M.; Nguyen, G.D.; Taheri, A.; Bruning, T. Evaluation of the propensity of strain burst in brittle granite based on post-peak energy analysis. Undergr. Space 2019, 6, 1–11. [Google Scholar] [CrossRef]
- Zhou, Z.; Cai, X.; Li, X.; Cao, W.; Du, X. Dynamic Response and Energy Evolution of Sandstone Under Coupled Static–Dynamic Compression: Insights from Experimental Study into Deep Rock Engineering Applications. Rock Mech. Rock Eng. 2020, 53, 1305–1331. [Google Scholar] [CrossRef]
- Xie, H.; Gao, F.; Ju, Y. Research and development of rock mechanics in deep ground engineering. Chin. J. Rock Mech. Eng. 2015, 34, 2161–2178. [Google Scholar]
- Bieniawski, Z.T. Mechanism of brittle rock fracture: Part 1—Theory of the fracture process. Int. J. Rock Mech. Min. Sci. Geomech. Abstr. 1967, 4, 395–406. [Google Scholar] [CrossRef]
- Sueyoshi, K.; Kitamura, M.; Lei, X.; Katayama, I. Identification of fracturing behavior in thermally cracked granite using the frequency spectral characteristics of acoustic emission. J. Mineral. Petrol. Sci. 2023, 118, 221014. [Google Scholar] [CrossRef]
- Lockner, D.A.; Byerlee, J.D.; Kuksenko, V.; Ponomarev, A.; Sidorin, A. Quasi-static fault growth and shear fracture energy in granite. Nature 1991, 359, 39–42. [Google Scholar] [CrossRef]
- Thompson, B.D.; Young, R.P.; Lockner, D.A. Observations of premonitory acoustic emission and slip nucleation during a stick slip experiment in smooth faulted Westerly granite. Geophys. Res. Lett. 2005, 32, 10304. [Google Scholar] [CrossRef]
- Vilhelm, J.; Vladimír, R.; Tomáš, L.; Živor, R. Application of autocorrelation analysis for interpreting acoustic emission in rock. Int. J. Rock Mech. Min. Sci. 2008, 45, 1068–1081. [Google Scholar] [CrossRef]
- Rudajev, V.; Vilhelm, J.; Lokajcek, T. Laboratory studies of acoustic emission prior to uniaxial compressive rock failure. Int. J. Rock Mech. Min. Sci. 2000, 37, 699–704. [Google Scholar] [CrossRef]
- Vishal, V.; Ranjith, P.G.; Singh, T.N. An experimental investigation on behaviour of coal under fluid saturation, using acoustic emission. J. Nat. Gas Sci. Eng. 2015, 22, 428–436. [Google Scholar] [CrossRef]
- Ishida, T.; Kanagawa, T.; Kanaori, Y. Source distribution of acoustic emissions during an in-situ direct shear test: Implications for an analog model of seismogenic faulting in an inhomogeneous rock mass. Eng. Geol. 2010, 110, 66–76. [Google Scholar] [CrossRef]
- Moradian, Z.; Einstein, H.H.; Ballivy, G. Detection of cracking levels in brittle rocks by parametric analysis of the acoustic emission signals. Rock Mech. Rock Eng. 2016, 49, 785–800. [Google Scholar] [CrossRef]
- Shkuratnik, V.L.; Nikolenko, P.V.; Koshelev, A.E. Spectral characteristic of acoustic emission in loaded coal specimens for failure prediction. J. Min. Sci. 2017, 53, 818–823. [Google Scholar] [CrossRef]
- Abbas, H.A.; Mohamed, Z.; Kudus, S.A. Anisotropic AE Attenuation in Mapping of Composite Specimen Progressive Failure under Unconfined Loading. Int. J. Geomech. 2023, 23, 04023005. [Google Scholar] [CrossRef]
- Yang, J.; Zhao, K.; Song, Y.; Yan, Y.; He, Z.; Zhou, Y.; Gu, S. Acoustic emission characteristics and fractal evolution of rock splitting and failure processes under different loading rates. Arab. J. Geosci. 2022, 15, 265. [Google Scholar] [CrossRef]
- Holcomb, D.J. General theory of the Kaiser effect. Int. J. Rock Mech. Min. Sci. Geomech. Abstr. 1993, 30, 929–935. [Google Scholar] [CrossRef]
- Kusunose, K.; Lei, X.; Nishizawa, O.; Satoh, T. Effect of grain size on fractal structure of acoustic emission hypocenter distribution in granitic rock. Phys. Earth Planet. Inter. 1991, 67, 194–199. [Google Scholar] [CrossRef]
- Mandelbrot, B.B. The Fractal Geometry of Nature; Freeman: San Francisco, CA, USA, 1983. [Google Scholar]
- Heping, X. Introduction to Fractal Rock Mechanics; Science Press: Beijing, China, 1996. [Google Scholar]
- Gutenberg, B.; Richter, C.F. Frequency of earthquakes in California. Bull. Seismol. Soc. Am. 1944, 34, 185–188. [Google Scholar] [CrossRef]
- Dong, L.; Zhang, L.; Liu, H.; Du, K.; Liu, X. Acoustic Emission b Value Characteristics of Granite under True Triaxial Stress. Mathematics 2022, 10, 451. [Google Scholar] [CrossRef]
- Smith, W.D. The b-value as an earthquake precursor. Nature 1981, 289, 136–139. [Google Scholar] [CrossRef]
- Schroeder, M. Fractals, Chaos, Power Laws: Minutes from an Infinite Paradise; W. H. Freeman: New York, NY, USA, 1991. [Google Scholar]
- Costin, L.S. A microcrack model for the deformation and failure of brittle rock. J. Geophys. Res. Solid Earth 1983, 88, 9485–9492. [Google Scholar] [CrossRef]
- Kong, X.; Wang, E.; Hu, S.; Shen, R.; Li, X.; Zhan, T. Fractal characteristics and acoustic emission of coal containing methane in triaxial compression failure. J. Appl. Geophys. 2016, 124, 139–147. [Google Scholar] [CrossRef]
- Carpinteri, A.; Lacidogna, G.; Niccolini, G. Fractal analysis of damage detected in concrete structural elements under loading. Chaos Solitons Fractals 2009, 42, 2047–2056. [Google Scholar] [CrossRef]
- Scholz, C. The frequency-magnitude relation of microfracturing in rock and its relation to earthquakes. Bull. Seismol. Soc. Am. 1968, 58, 399–415. [Google Scholar] [CrossRef]
- Yin, X.G.; Li, S.L.; Tang, H.Y.; Pei, J.L. Study on quiet period and its fractal characteristics of rock failure acoustic emission. Chin. J. Rock Mech. Eng. 2009, 28, 3383–3390. [Google Scholar]
- Virkar, Y.; Clauset, A. Power-Law Distributions in Empirical Data. Siam Rev. 2009, 51, 661–703. [Google Scholar] [CrossRef]
- Hayakawa, K.; Nakamura, T.; Yonezawa, H.; Tanaka, S. Detection of damage and fracture of forging die by fractal property of acoustic emission. Mater. Trans. 2004, 45, 3136–3141. [Google Scholar] [CrossRef][Green Version]
- Shan, L. Triassic Granitoids in Beishan-Inner Mongolia, China and Its Tectonic Implications; Chinese Academy of Geological Sciences: Beijing, China, 2013. [Google Scholar]
- Wang, J.; Chen, L.; Su, R.; Zhao, X. The Beishan underground research laboratory for geological disposal of high-level radioactive waste in China: Planning, site selection, site characterization and in situ tests. J. Rock Mech. Geotech. Eng. 2018, 10, 411–435. [Google Scholar] [CrossRef]
- Nelder, J.A.; Mead, R. A Simplex Method for Function Minimization. Comput. J. 1964, 7, 308–313. [Google Scholar] [CrossRef]
- Geiger, L. Probability method for the determination of earthquake epicenters from the arrival time only. Bull. St. Louis Univ. 1912, 8, 60–71. [Google Scholar]
- Spence, W. Relative epicenter determination using P-wave arrival-time differences. Bull. Seismol. Soc. Am. 1980, 70, 171–183. [Google Scholar]
- Grassberger, P.; Procaccia, I. Characterization of strange attractors. Phys. Rev. Lett. 1983, 50, 346–349. [Google Scholar] [CrossRef]
- Cai, X.; Yuan, J.; Zhou, Z.; Tan, L.; Wang, P.; Wang, S.; Wang, S. Effects of hole shape on mechanical behavior and fracturing mechanism of rock: Implications for instability of underground openings. Tunn. Undergr. Space Technol. 2023, 141, 105361. [Google Scholar] [CrossRef]










| Sample ID | SiO2 | Al2O3 | Fe2O3 | MgO | CaO | Na2O | K2O | MnO | TiO2 | P2O5 | LOI | FeO |
|---|---|---|---|---|---|---|---|---|---|---|---|---|
| A | 70.99 | 14.78 | 2.00 | 0.79 | 2.25 | 3.66 | 4.13 | 0.037 | 0.323 | 0.100 | 0.89 | 1.63 |
| B | 70.89 | 15.19 | 2.14 | 0.77 | 2.56 | 4.31 | 2.94 | 0.038 | 0.376 | 0.092 | 0.66 | 1.70 |
| C | 69.77 | 15.15 | 2.21 | 0.81 | 2.41 | 4.77 | 3.57 | 0.037 | 0.371 | 0.091 | 0.75 | 1.57 |
| Numbers | 1 | 2 | 3 | 4 | 5 | 6 | 7 | 8 |
|---|---|---|---|---|---|---|---|---|
| x (mm) | 0 | 180 | 0 | −180 | 0 | 180 | 0 | −180 |
| y (mm) | 180 | 0 | −180 | 0 | 180 | 0 | −180 | 0 |
| z (mm) | 140 | 140 | 140 | 140 | 0 | 0 | 0 | 0 |
| Number | b Value | Time/s | Stress/MPa |
|---|---|---|---|
| 1–6 | increase | 0–913 | 0–139.88 |
| fluctuation | 913–250 | 139.88–166.80 | |
| descent point | 2500 | 166.80 | |
| 1–7 | increase | 0–1393 | 0–182.83 |
| fluctuation | 1393–3300 | 182.83–215.32 | |
| descent point | 3300 | 215 | |
| 1–10 | increase | 0–1214 | 0–194 |
| fluctuation | 1214–3150 | 194.21–262.85 | |
| descent point | 3150 | 262 | |
| 1–11 | increase | 0–1582 | 0–308.14 |
| fluctuation | 1582–3400 | 308.14–353.42 | |
| descent point | 3400 | 353.42 |
| Number | Correlation Dimension | Time/s | Stress/MPa |
|---|---|---|---|
| 1–6 | Rising | 0–3500 | 0–171.23 |
| Maximum | 3500 | 171.23 | |
| Falling | 3500–7000 | 171.23–156.87 | |
| 1–7 | Rising | 0–3500 | 0–216.54 |
| Maximum | 3500 | 216.54 | |
| Falling | 3500–6500 | 216.54–179.62 | |
| 1–10 | Rising | 0–3500 | 0–265.41 |
| Maximum | 3500 | 265.41 | |
| Falling | 3500–6700 | 265.41–256.18 | |
| 1–11 | Rising | 0–3000 | 0–351.72 |
| Maximum | 3000 | 351.72 | |
| Falling | 3000–6500 | 351.72–175.31 |
Disclaimer/Publisher’s Note: The statements, opinions and data contained in all publications are solely those of the individual author(s) and contributor(s) and not of MDPI and/or the editor(s). MDPI and/or the editor(s) disclaim responsibility for any injury to people or property resulting from any ideas, methods, instructions or products referred to in the content. |
© 2023 by the authors. Licensee MDPI, Basel, Switzerland. This article is an open access article distributed under the terms and conditions of the Creative Commons Attribution (CC BY) license (https://creativecommons.org/licenses/by/4.0/).
Share and Cite
Ren, W.; Wang, C.; Zhao, Y.; Xue, D. Research on Precursor Information of Brittle Rock Failure through Acoustic Emission. Mathematics 2023, 11, 4210. https://doi.org/10.3390/math11194210
Ren W, Wang C, Zhao Y, Xue D. Research on Precursor Information of Brittle Rock Failure through Acoustic Emission. Mathematics. 2023; 11(19):4210. https://doi.org/10.3390/math11194210
Chicago/Turabian StyleRen, Weiguang, Chaosheng Wang, Yang Zhao, and Dongjie Xue. 2023. "Research on Precursor Information of Brittle Rock Failure through Acoustic Emission" Mathematics 11, no. 19: 4210. https://doi.org/10.3390/math11194210
APA StyleRen, W., Wang, C., Zhao, Y., & Xue, D. (2023). Research on Precursor Information of Brittle Rock Failure through Acoustic Emission. Mathematics, 11(19), 4210. https://doi.org/10.3390/math11194210

