Next Article in Journal
Mathematical Modeling and Analysis of Credit Scoring Using the LIME Explainer: A Comprehensive Approach
Previous Article in Journal
Optimal Lot-Sizing Decisions for a Remanufacturing Production System under Spare Parts Supply Disruption
 
 
Font Type:
Arial Georgia Verdana
Font Size:
Aa Aa Aa
Line Spacing:
Column Width:
Background:
Article

A Joint Distribution Pricing Model of Express Enterprises Based on Dynamic Game Theory

1
School of Modern Post, Beijing University of Posts and Telecommunications, Beijing 100876, China
2
School of Traffic and Transportation, Beijing Jiaotong University, Beijing 100044, China
*
Author to whom correspondence should be addressed.
Mathematics 2023, 11(19), 4054; https://doi.org/10.3390/math11194054
Submission received: 6 September 2023 / Revised: 18 September 2023 / Accepted: 21 September 2023 / Published: 24 September 2023
(This article belongs to the Section C2: Dynamical Systems)

Abstract

:
With the development of sharing economy, a joint distribution mode has been increasingly adopted as the preferred cooperation mode of third-party logistics enterprises to achieve the efficient, resource-saving, and profit-optimal business goals of enterprises. In the joint distribution mode, the distribution price is one of key factors that influences the operation of the joint distribution. Thus, to acquire the optimal pricing for the logistics enterprises, we establish a pricing model based on dynamic game theory for a joint distribution system including one joint distribution company and two express enterprises. In the proposed model, two dimensions of games exist simultaneously, including the game between express competitors and the game between express and distribution enterprises. The multidimensional game leads to more complex system characteristics. Through the stability analysis, we find the Nash equilibrium point and its stability conditions. Numerical simulations are conducted to investigate the complex dynamical behaviors of the game model, such as the system stability region, the bifurcation diagram, the largest Lyapunov exponent, strange attractors, etc. The simulation results indicate that different price adjustment speeds and ranges have a significant impact on the system stability and the profits of all participants in the game. The parameter adjustment control can well dominate the chaotic behaviors of the system. Enterprises should make pricing decisions based on their market positions to promote the continuous and stable development of the operation mode of the multi-agent joint sharing distribution center.

1. Introduction

With the popularity of the sharing economy and the vigorous development of e-commerce, as a result of the “Fourteenth Five-year Plan” and the 2035 Long-term Goal Outline in the era of “Internet+”, the volume of express deliveries has increased year by year. According to the data released by the State Post Office, as of June 2023, the express business volume in China had exceeded 59.5 billion pieces, close to the total number of packages in 2019. It is expected that the express business volume will exceed 120 billion pieces in 2023. The huge volume of express deliveries reflects the important role of the express industry in the development of a national economy and society. As a connection between enterprises and customers, the healthy and orderly express industry can provide customers with satisfactory express delivery services, and expand the market for enterprise product sales, thereby enhancing the activity of the entire consumer market. With the expansion of the express market, a large number of infrastructures have been constructed, such as transit centers, distribution centers, and so on, which, however, hinders express enterprises with accompanying problems such as repeated construction of facilities, the low utilization rate of facilities, less supply than demand, and internal consumption of resources from effective adaptation to changes. In order to take advantage of the development opportunity associated with business surge, express enterprises need to respond to the changes in the market environment in a timely and rational manner, and approach the issue of enterprises’ competition and cooperation in a critical way.
In this context, express enterprises begin to seek cooperation despite the existing competition among them. The joint distribution mode is considered one of the methods for constructing express enterprise cooperation. In this mode, express enterprises can establish new distribution companies to integrate and reorganize their existing resources. This joint distribution mode will improve the distribution efficiency, reduce the cost, and improve the service level through its large-scale distribution service and the integration of the distribution network. However, problems in this mode such as small cooperation scope, fuzzy pricing mechanism, and unreasonable income distribution result in express enterprises’ unsatisfactory performance. Therefore, many researchers have actively explored the joint distribution mode [1,2,3,4]. Tao et al. [5] proposed the 2B/2C business integration and joint distribution mode in the urban food cold chain, including a solution to the current problem of high cold chain distribution costs. Adrian et al. [6] designed a simulation model of logistics horizontal cooperation alliance based on agents. Their research results show that the degree of cooperation and mutual trust are the most important, and significant savings can be achieved by using them efficiently. Chung et al. [7] proposed a sharing mode of consolidation terminals based on distribution centers for small- and medium-sized express service enterprises to reduce logistics network costs and improve efficiency. For similar purposes, three other researchers made their respective efforts. Gan et al. [8] proposed a new intensive logistics distribution network based on sharing economy. Zhao [9] studied the joint distribution alliance mode with the participation of the fourth-party logistics on the basis of shared logistics. Su and Yang [10] proposed three modes of comprehensive resource sharing, “O2O platform + information sharing”, “township and village commercial goods distribution mechanism”, and “distribution station + joint distribution + shared intelligent automatic pick-up cabinet” to build a common circulation ecosystem of rural e-commerce.
In order to optimize the profits of each entity in the joint distribution system, a reasonable service price has become a key factor in the smooth development of the joint distribution system participants in cooperation. However, due to the volatility of the express delivery market, the price of one express delivery will change with the operation between the supplier and the demander and the market environment. Thus, as an effective method to study price decisions, game theory has been studied by many scholars [11,12,13,14]. In actual economic activities, service pricing is an important problem to be solved in the development of a joint distribution system. The actions of enterprises in the oligopoly market are interdependent. The pricing decision of enterprises is not only made by the enterprises but is also closely related to the reactions of their competitors to their decisions. Therefore, all parties in the joint distribution system will play a price game to obtain a satisfactory income. Xu et al. [15] studied the alliance model under the joint distribution mode of 3PL enterprises from the perspective of game theory to help enterprises realize resource integration and obtain economies of scale. Kong et al. [16] constructed a 4-level Stackelberg pricing game model including couriers, studied the influence of couriers on the pricing of the joint distribution alliance, and found that the joint distribution alliance can effectively reduce the distribution cost of express enterprises. Wang [17] built a game model of port road transport service integration and pricing based on game theory. By quantifying differentiated services, they explored the integration of road transport services from port enterprises to obtain the optimal pricing strategy. Under the joint distribution mode dominated by national logistics enterprises, Chen et al. [18] constructed a joint distribution service pricing game model consisting of one or more enterprises and an urban terminal distribution network to obtain the optimal joint distribution scheme and optimal pricing strategy by considering the influence of distribution service level, terminal distribution network pricing, logistics enterprises pricing, and other factors associated with express demand and alliance revenue. Tan et al. [19] introduced equity concerns into the pricing decision-making process of the logistics service supply chain in O2O mode by using Stackelberg game model, and studied the behavioral preferences and pricing strategies of logistics service providers.
Adopting the dynamic game method can improve the scientificity of the formulation of the distribution service price to promote the continuous and stable development of the multi-agent joint distribution operation mode. In the dynamic game model, the change in parameter values will affect the stability of the equilibrium solution, and the system may appear chaotic. Analyzing the chaotic characteristics of the system plays an important role in studying the sensitivity of the system. Therefore, scholars often analyze the system’s chaotic characteristics in light of the dynamic game theory [20,21,22,23,24,25,26,27]. Zhang et al. [28] established a bounded rational Bertrand model, analyzed the system equilibrium solution with dynamic theory, and studied the impact of the speed of parameter adjustment on the stability of Nash equilibrium using sensitivity analysis. Fanti et al. [29] studied the influence of the degree of horizontal differentiation on the stability of Nash equilibrium, and analyzed the chaotic path and singular attractor of the system. Yu [30] studied the dynamic evolution characteristics of the hoteling model. Through numerical simulation, he obtained the price adjustment coefficient to get the periodic and chaotic state of the system. Finally, he concluded that the greater the product level difference, the more stable the Nash equilibrium of the system. Ahmed [31] studied the Bertrand oligarch competition model under the condition of bounded rationality, and analyzed the existence and stability conditions of the system equilibrium point, as well as the system instability and even chaos caused by the adjustment of the system parameters. Li [32] applied the Bertrand Stackelberg game model of the risk-averse supply chain, adopted in the nonlinear dynamic method, and managed the chaos of the model with the delayed feedback control. Elsadany and Awad [33] conducted a numerical simulation to study the long-term dynamic behavior of competitors and found that Nash equilibrium would be unstable and chaos would appear in the game process.
Through the comprehensive analysis of the literature above, it is obviously seen that scholars have laid a solid foundation for service pricing in the joint distribution mode. In terms of research content, the research on joint distribution mode mostly focuses on the construction of distribution networks and nodes in logistics activities. The above literature performs a reasonable analysis and prediction on the common distribution mode and conducts an in-depth discussion on the pricing game strategy. However, most of the literature works only consider the selection of the common distribution mode or the impact of different pricing strategies on the supply chain income. How to decide the service pricing still needs to be studied deeply to improve the stability of the joint distribution system. The pricing problem is usually a game between the participators in the joint distribution system. Therefore, this paper introduces the dynamic game and chaos theory into the service pricing issue of a joint distribution system, and develops a joint distribution game pricing model. The proposed model includes two dimensions of games, including the game between express competitors and the game between express and distribution enterprises, which leads to more complex system characteristics. Through the stability analysis and numerical simulation, we study the system characteristics deeply to help the participants in the joint distribution system yield optimal profits, improve distribution efficiency, and promote the sustainable development of the joint distribution system.
The remainder of the paper is organized as follows. Section 2 constructs a service pricing dynamic game model of a joint distribution company and two express enterprises. Section 3 studies the stability of the equilibrium point of the game model through numerical simulation, the influence of parameter changes on the stability of the system from the perspective of price and profit, and the chaotic characteristics of the system. Section 4 summarizes the content of this study and briefly discusses future research directions.

2. Model Formulation

2.1. Joint Distribution Scenario

The joint distribution mode includes two types of enterprises that are express enterprises and distribution companies, as well as joint distribution companies and end users. Among them, express enterprises are responsible for the collection and transportation of express deliveries, urban transit, and other businesses. The terminal distribution company undertakes the express delivery of express enterprises in its responsible area and provides centralized sorting, temporary storage, and distribution services. Through horizontal integration of the distribution demand in a certain region, a unified joint distribution company is formed to provide distribution services for multiple express enterprises. The joint distribution company builds express delivery terminals in a certain region, relying on the express delivery terminals to uniformly distribute the express delivery or notify end users to pick up the delivery from a station.
The joint distribution company, as the core participant in this model, gains revenue by providing services for the upstream express enterprises, which seek distribution services, and the express enterprises pay for this service. The joint distribution company distributes the express deliveries to the end users and gains profits by completing the distribution service. The joint distribution system’s application scenario as shown in Figure 1.
Express enterprises and joint distribution companies play games based on the distribution service price of one express, and finally form a price recognized by both parties. The service pricing process of joint distribution companies and express enterprises in the above scenario is abstracted into a unified game pricing problem. The price game model established in this study is composed of one joint distribution company and two express enterprises. The three companies aim to maximize their own revenue.
In this joint distribution system, two express enterprises cooperate and compete for distribution services. Each express enterprise hands over the distribution business to the joint distribution company and pays for the service to the joint distribution company. The joint distribution company gains revenue by providing the distribution service for the express company in the system. The joint distribution company and each express enterprise play a game on the distribution service price of one express, and finally form a price recognized by both parties. In the joint distribution system, each express enterprise can decide its express price freely, but the joint distribution company can only decide the distribution service price based on the total distribution volume.

2.2. Model Assumptions

To develop the joint distribution pricing game model, we make the following model assumptions:
(1) The joint distribution company must complete all distribution services of express enterprises.
(2) Due to the opaque information, express enterprises are bounded by rationality and maximize their interests.
(3) The main influencing factors on the distribution service price for the joint distribution company are the potential maximum price of the distribution service a and the volume of the distribution service orders. Therefore, the distribution service price P m is shown as follows:
P m = a b ( q 1 + q 2 )
where 0 < b < 1 refers to the impact coefficient on the price of the distribution service orders.
(4) The volume of distribution service orders of express enterprises is denoted by q 1 and q 2 , respectively. They vary with the express price ( P r 1 and P r 2 ), the distribution service price ( P m ), the enterprise credit ( g 1 and g 2 ), and the service efficiency of enterprises ( f 1 and f 2 ). Thus, they are expressed as follows:
q 1 = d k P r 1 w P m + n P r 2 + β g 1 θ f 1
q 2 = d k P r 2 w P m + n P r 1 + β g 2 θ f 2
where d denotes the potential maximum demand of express enterprises. k denotes the impact coefficient of express price. w refers to the impact coefficient of the distribution service price on the express volume. We set k < w to reflect the different influence degrees of the service price. n represents the influence coefficient of competition among express enterprises. β denotes the influence coefficient of the enterprise credit, and θ represents the influence coefficient of the service efficiency required by the express enterprise.

2.3. Model Construction

Based on the above model assumptions, the income functions of express enterprises and joint distribution companies are constructed, respectively.
The income function of the joint distribution company is as follows:
π m = P m c q 1 + q 2 = P m c a P m / b
where c indicates the distribution cost of one express.
π r 1 = P r 1 P m C r 1 q 1 = P r 1 P m C r 1 ( d k P r 1 w P m + n P r 2 + β g 1 θ f 1 )
π r 2 = P r 2 P m C r 2 q 2 = P r 2 P m C r 2 ( d k P r 2 w P m + n P r 1 + β g 2 θ f 2 )
The income functions of express enterprises are denoted as the following.
The marginal income function of express enterprises can be obtained from the income function of express enterprises, with the first derivative of P r 1 , P r 2 calculated from the income function of express enterprises, as shown below:
π r 1 P r 1 = 2 k P r 1 + d + k w P m + n P r 2 + k C r 1 + β g 1 θ f 1
π r 2 P r 2 = 2 k P r 2 + d + k w P m + n P r 2 + k C r 2 + β g 2 θ f 2
The second derivative of the income function of the express enterprise to the express price P r 1 , P r 2 can be worked out from 2 π r 1 P r 1 2 = 2 π r 2 P r 2 2 = 2 k < 0 , which indicates that the income function equation of the express enterprise is also a concave function and has a unique maximum value.
In the single cycle game, the optimal express price can be obtained from the following functions, and the marginal income functions of the express enterprises are formed, π r 1 P r 1 = 0 and π r 2 P r 2 = 0 :
P r 1 * = k w P m + d + n P r 2 + k C r 1 + β g 1 θ f 1 2 k
P r 2 * = k w P m + d + n P r 1 + k C r 2 + β g 2 θ f 2 2 k
The optimal express order volume can be obtained from Equation (2) with P r 1 and P r 2 to be substituted with P r 1 * and P r 2 * , respectively, as follows:
q 1 * = d k + w P m k C r 1 + n P r 2 * + β g 1 θ f 1 2
q 2 * = d k + w P m k C r 2 + n P r 1 * + β g 2 θ f 2 2
Substitute q 1 * and q 2 * into Equation (1) to obtain the optimal distribution service price:
P m * = 2 a + b 2 d + n P r 1 * + P r 2 * + β g 1 + g 2 θ f 1 + f 2 k ( C r 1 + C r 2 ) 2 2 b ( k + w )
In the multi-cycle dynamic game process, based on the assumptions of bounded rationality of the game participants and incomplete market information, the express enterprises with the dominant power of the game take the marginal income function of the current period as the reference basis for price adjustment of the next period. For instance, if the marginal income of period t is greater than zero, the express enterprises in period t + 1 of the next game cycle will increase the price; if the marginal income of period t is lower than zero, the express enterprises in period t + 1 will bring down the price. The distribution price in period t + 1 will be determined according to the express order volume in period t . The discrete dynamic game equation is established as follows:
P m t + 1 = a b 2 d + n k P r 1 t + P r 2 t 2 w P m t + β g 1 + g 2 θ f 1 + f 2 P r 1 t + 1 = P r 1 t + α 1 × P r 1 t × π r 1 t P r 1 t P r 2 t + 1 = P r 2 t + α 2 × P r 2 t × π r 2 t P r 2 t
where α 1 and α 2 indicate the adjustment coefficient of the express enterprise for the express price.
The equilibrium point of the system means the point where the price of the system will not change in period t and t + 1 . It means P m t + 1 = P m t , P r 1 t + 1 = P r 1 t and P r 2 t + 1 = P r 2 t . Thus, the equilibrium points of the system can be obtained by solving the Equation (14) and are as follows:
E 1 a b 2 d + β g 1 + g 2 θ f 1 + f 2 1 2 b w , 0,0
E 2 2 k a b 2 d + β g 1 + g 2 θ f 1 + f 2 b n k d + k C r 1 + β g 1 θ f 1 2 k 1 2 b w + b n k k w , 1 2 b w d + k C r 1 + β g 1 θ f 1 + ( k w ) a b 2 d + β g 1 + g 2 θ f 1 + f 2 2 k 1 2 b w + b ( n k ) ( k w ) , 0
E 3 2 k a b 2 d + β g 1 + g 2 θ f 1 + f 2 b n k d + k C r 1 + β g 1 θ f 1 2 k 1 2 b w + b n k k w , 0 , 1 2 b w d + k C r 1 + β g 1 θ f 1 + ( k w ) a b 2 d + β g 1 + g 2 θ f 1 + f 2 2 k 1 2 b w + b ( n k ) ( k w )
E 4 2 k n a 2 b d b β g 1 + g 2 b θ f 1 + f 2 b ( n k ) [ 2 d + β g 1 + g 2 θ f 1 + f 2 + k C r 1 + C r 2 ] ( 2 k n ) 1 2 b w + 2 b n k k w , 2 k 1 2 b w d + β g 1 θ f 1 + k C r 1 + n 1 2 b w d + β g 2 θ f 2 + k C r 2 2 k n 2 k n 1 2 b w + 2 b n k k w + 2 k + n k w a 2 b d b β g 1 + g 2 + b θ f 1 + f 2 b ( n k ) ( k w ) [ θ f 1 f 2 β g 1 g 2 k C r 1 C r 2 2 k n 2 k n 1 2 b w + 2 b n k k w , 2 k 1 2 b w d + β g 2 θ f 2 + k C r 2 + n 1 2 b w d + β g 1 θ f 1 + k C r 1 2 k + n 2 k n 1 2 b w + 2 b n k k w + 2 k + n k w a 2 b d b β g 1 + g 2 + b θ f 1 + f 2 2 k + n 2 k n 1 2 b w + 2 b n k k w + b n k k w [ θ f 1 f 2 β g 1 g 2 k C r 1 C r 2 ] 2 k + n 2 k n 1 2 b w + 2 b n k k w
where E 1 , E 2 , E 3 are bounded equilibrium points and E 4 is the Nash equilibrium point.
Now, we analyze the stability of the equilibrium points. The Jacobi matrix of system (14) is shown as follows:
J = P m t + 1 P m t P m t + 1 P r 1 t P m t + 1 P r 2 t P r 1 t + 1 P m t P r 1 t + 1 P r 1 t P r 1 t + 1 P r 2 t P r 2 t + 1 P m t P r 2 t + 1 P r 1 t P r 2 t + 1 P r 2 t = 2 b w b ( k n ) b ( k n ) α 1 ( k w ) P r 1 ( t ) 1 + α 1 d 4 k P r 1 t + n P r 2 t + k w P m t + α 1 ( k C r 1 + β g 1 θ f 1 ) n α 1 P r 1 ( t ) α 2 ( k w ) P r 2 ( t ) n α 2 P r 2 ( t ) 1 + α 2 d 4 k P r 2 t + n P r 1 t + ( k w ) P m ( t ) + α 2 ( k C r 2 + β g 2 θ f 2 )
Then, the equilibrium points are brought into the Jacobi matrix in turn, and the corresponding eigenvalues of each equilibrium point are obtained. If the eigenvalues are non-zero and greater than one, the equilibrium point is an unstable point.
E 1 is substituted into the Jacobi matrix, as is shown below:
J E 1 = 2 b w λ b ( k n ) b ( k n ) 0 1 + α 1 d + k w a b [ 2 d + β g 1 + g 2 θ f 1 + f 2 1 2 b w + α 1 k C r 1 + β g 1 θ f 1 λ 0 0 0 1 + α 2 d + ( k w ) a b [ 2 d + β g 1 + g 2 θ f 1 + f 2 1 2 b w + α 2 k C r 2 + β g 2 θ f 2 λ
The non-zero eigenvalues of J ( E 1 ) to be obtained from the equation are as follows: 2 b w , 1 + α 1 d + k w a b [ 2 d + β g 1 + g 2 θ f 1 + f 2 1 2 b w + k C r 1 + β g 1 θ f 1 , 1 + α 2 d + k w a b [ 2 d + β g 1 + g 2 θ f 1 + f 2 1 2 b w + k C r 2 + β g 2 θ f 2 . According to the range of parameters, we can obtain 1 + α 1 d + k w a b [ 2 d + β g 1 + g 2 θ f 1 + f 2 1 2 b w + k C r 1 + β g 1 θ f 1 > 1 , 1 + α 2 d + k w a b [ 2 d + β g 1 + g 2 θ f 1 + f 2 1 2 b w + k C r 2 + β g 2 θ f 2 > 1 . Thus, E 1 is an unstable equilibrium point.
When E 2 is substituted into the Jacobi matrix, the non-zero eigenvalues of J ( E 2 ) is 1 + α 2 d + n P r 1 + k w P m + k C r 2 + β g 2 θ f 2 , which is also larger than one. Thus, E 2 is an unstable equilibrium point.
J E 2 = 2 b w b ( k n ) b ( k n ) α 1 ( k w ) P r 1 ( t ) 1 + α 1 d 4 k P r 1 t + k w P m t + α 1 k C r 1 + β g 1 θ f 1 n α 1 P r 1 ( t ) 0 0 1 + α 2 d n P r 1 t + k w P m t + α 2 k C r 2 + β g 2 θ f 2
when E 3 is substituted into the Jacobi matrix, the non-zero eigenvalues of J ( E 3 ) is 1 + α 1 [ d + n P r 2 t + k w P m t + k C r 1 + β g 1 θ f 1 > 1 . Thus, E 3 is also a point of unstable equilibrium.
J E 3 = 2 b w b ( k n ) b ( k n ) 0 1 + α 1 d + n P r 2 t + k w P m t + α 1 k C r 1 + β g 1 θ f 1 0 α 2 ( k w ) P r 2 ( t ) n α 2 P r 2 ( t ) 1 + α 2 d 4 k P r 2 t + k w P m t + α 2 k C r 2 + β g 2 θ f 2
E 4 is the only Nash equilibrium point of system (6), when E 4 is substituted into the Jacobi matrix, and the equation J ( E 4 ) is shown as follows:
J E 4 = 2 b w b ( k n ) b ( k n ) α 1 ( k w ) P r 1 ( t ) 1 + α 1 d 4 k P r 1 t + n P r 2 t + k w P m t + α 1 k C r 1 + β g 1 θ f 1 n α 1 P r 1 ( t ) α 2 ( k w ) P r 2 ( t ) n α 2 P r 2 ( t ) 1 + α 2 θ d 4 k P r 2 t + n P r 1 t + k w P m t + α 2 k C r 2 + β g 2 θ f 2
The characteristic polynomial of E 4 is expressed as follows, that is, the optimal price of the system obtained in the game process:
f λ = λ 3 + A λ 2 + B λ + C
where
A = α 1 d 4 k P r 1 t + n P r 2 t + k w P m t + k C r 1 + β g 1 θ f 1 α 2 d 4 k P r 2 t + n P r 1 t + k w P m t + k C r 2 + β g 2 θ f 2 2 b w 2
B = 2 b w 2 + α 1 d 4 k P r 2 t + n P r 1 t + k w P m t + k C r 2 + β g 2 θ f 2 + 2 b w 2 + α 2 d 4 k P r 1 t + n P r 2 t + k w P m t + k C r 1 + β g 1 θ f 1 × 1 + α 1 d 4 k P r 2 t + n P r 1 t + k w P m t + k C r 2 + β g 2 θ f 2 × 1 + α 2 d 4 k P r 1 t + n P r 2 t + k w P m t + k C r 1 + β g 1 θ f 1 + b k n k w α 1 P r 1 t + α 2 P r 2 t α 1 α 2 n 2 P r 1 t P r 2 t
C = 2 b w × 1 + α 1 d 4 k P r 2 t + n P r 1 t + k w P m t + k C r 2 + β g 2 θ f 2 × 1 + α 2 d 4 k P r 1 t + n P r 2 t + k w P m t + k C r 1 + β g 1 θ f 1 2 b α 1 α 2 k w k n n P r 1 t P r 2 t b α 2 k w ( k n ) P r 2 t [ 1 + α 1 d 4 k P r 2 t + n P r 1 t + k w P m t + k C r 2 + β g 2 θ f 2 + b α 1 k w ( k n ) P r 1 t [ 1 + α 2 d 4 k P r 1 t + n P r 2 t + k w P m t + k C r 1 + β g 1 θ f 1 + 2 b w α 1 α 2 n 2 P r 1 t P r 2 t
According to the Jury stability criterion [34], the necessary and sufficient condition for the asymptotic stability of the fixed point of the system is that all zeros of its characteristic polynomial are in the unit circle. Thus, the parameters, A, B, and C, of Equation (24) should meet the following conditions at the same time:
f 1 = 1 + A + B + C > 0 1 3 f 1 = 1 + A B + C < 0 C < 1 C 2 1 > C A B

3. Numerical Simulation

To promote the sustainable and stable operation of the joint distribution mode, this section analyzes the characteristics of complex dynamics in the game process and studies the price adjustment coefficients, α 1 and α 2 , and their impact on system stability by the numerical simulation. Based on the actual investigation and the service volume of the express industry, the default values of the system parameters are set as follows: a = 5 , b = 0.6 , c = 1.2 , β = 0.001 , θ = 0.002 , g 1 = 90 , g 2 = 95 , f 1 = 80 , f 2 = 80 , d = 5 , k = 0.8 , w = 0.2 , n = 0.5 , C r 1 = 1.25 , C r 2 = 1.14 .
In the numerical simulation, the joint distribution system includes two different express enterprises and one joint distribution company. Although the parameter settings of the two express enterprises are different, the following simulation mainly reports the numerical simulation results assuming α 2 is fixed and α 1 changes. When α 1 is fixed and α 2 changes, the numerical simulation results are slightly different from the following simulation process, but the phenomena presented by the simulation results are similar. Thus, the research for the situation that α 1 is fixed and α 2 changes will not be repeated here.

3.1. Analysis of System Stability

Equation (28) shows the necessary and sufficient conditions for the stability of system (14) at the Nash equilibrium point. According to Equation (28), we can deduce the stable region of system (14) for various α 1 and α 2 by theoretical analysis. We use the numerical simulation to verify the correctness of the stable region obtained by the theoretical analysis. In the simulation, we observe the state of system (14) after a number of iterations for the given values of α 1 and α 2 . Figure 2 shows the stability region of the joint distribution system when α 1 and α 2 change with numerical simulation. The gray region is the stability region of system (14). Each pair of α 1 and α 2 in the gray region satisfies Equation (28). Out of the gray region, it cannot meet the conditions of Equation (28). This result is consistent with the theoretical solution by solving Equation (28). Thus, the theoretical analysis for the stability of the joint distribution system is correct. Furthermore, the results indicate that multiple express enterprises that participate in the game should control multiple price adjustment coefficients within a certain range, so that the system can be in an orderly competitive state.

3.2. Analysis of System Behavior with Price Adjustment Coefficient

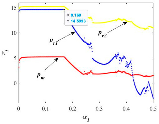
Figure 3 shows the bifurcation diagram of p m and p r 1 , p r 2 changing with price adjustment coefficient α 1 when α 2 = 0.12 . When α 1 < 0.169 , the system price is stable. When α 1 = 0.24 , the system price appears as a two-period bifurcation. Along with the increase in α 1 , the system price goes through a period doubling bifurcation and finally enters a chaotic state. At this time, the equilibrium point of the system loses stability and becomes unpredictable. These results indicate, in the market competition, the express enterprise should set a reasonable price adjustment coefficient to obtain a stable price. Otherwise, it will produce the bifurcation and even a mixed state of bifurcation and chaos of the price.
Figure 4 shows the largest Lyapunov exponent (LLE) of the system, which reflects the evolution process of the system. The LLE can be treated as one important evidence to prove the appearance of chaos in the system. When LLE is below 0, the system is in a stable state. When LLE equals 0, bifurcation appears in the system price. When LLE is above 0, the system is in a chaotic state. According to Figure 3, when α 1 is below 0.169 or is between 0.169 and 0.24, the system price is stable, and LLE is below 0. When α 1 equals 0.169 or α 1 equals 0.24, LLE is 0, and bifurcation occurs to the system price. It can be indicated that the system price will first be in a transient stable state and then enter a chaotic state when α 1 is above 0.24.
Another characteristic of judging whether the system is in a chaotic state is the existence of the chaotic attractor in the system. Figure 5 shows the chaos attractors of the system when α 1 = 0.28 and α 2 = 0.09 . In the figure, the chaotic attractor is in a bending and folding state, showing a hierarchical structure. The running trajectory of the system is complex and deterministic. The trajectory exists in a limited area, where the system motion traverses every point, reflecting the characteristics of chaos boundedness and chaos ergodicity of the system.
Figure 6 shows the time series of the system price game. Figure 6a shows the evolution process of the game when the price is in the quasi-periodic state. Figure 6b shows the evolution process of the price game in which the price is in a fourth-cycle state. In this quasi-periodic state, prices fluctuate regularly, and market participants can predict future price changes. Figure 6c shows the evolution process when the price game is in a chaotic state, and the system price fluctuates irregularly.

3.3. The Numerical Simulation of Price with Effect of Price Adjustment Coefficient

Figure 7 shows how the prices, p m , p r 1 , and p r 2 change with time at different values of price adjustment coefficient α 1 when α 2 = 0.12 . In Figure 7a, all the prices are in a stable state after a brief increase at first, and remain unchanged at the Nash equilibrium point. In Figure 7b, all the prices are in a second-cycle bifurcation. With the progress of the system game, the prices are relatively stable at first. Then, the prices begin to fluctuate. Finally, they tend to attain a periodic regular fluctuation state. In Figure 7c, all prices experience an irregular and violent fluctuation. With the progress of the game, the price begins and maintains an irregular fluctuation for a long time, and the system turns chaotic. Figure 7b and Figure 7c show that the fluctuation range of express enterprise-1 in the chaotic state is larger than those of the express enterprise-2 and joint distribution company. This means that when the price coefficient is adjusted, the price p r 1 has been the most affected. It can be inferred from Figure 7 that express enterprises should control their own price adjustment coefficient in the stable range, so as to obtain a more stable market price.
Figure 8 describes the initial value sensitivity of (a) the stable, (b) bifurcation, and (c) chaotic system when α 2 = 0.12 . The price difference in Figure 8 is the difference between the prices of system before and after p r 1 is added 0.001. In Figure 8a, we can observe that the gap in price between before and after the system change is unstable in the first 10 cycles, and then the price difference disappears. This shows that the sensitivity of the system to the price is very small in the steady state, and the small change to the initial value cannot cause the change in the system price. Figure 8b shows that with the increase in time, the price difference begins to appear and gradually increases, and then gradually decreases after the price difference reaches a peak, and finally disappears. This shows that the system has a certain sensitivity to the price in the bifurcation state. Small initial value changes can produce obvious price fluctuations, but in the long run, the price fluctuations will gradually disappear. In Figure 8c, the price difference of the system disappears briefly for about five cycles, then the price difference of the system exhibits continuous violent fluctuations. This shows that when the system is in a chaotic state, small changes in the initial price will cause a huge change in p m and p r 1 , p r 2 , which aggravates the chaotic state of the system. Figure 8b,c show that the fluctuation range of p r 1 is the largest, which means that p r 1 is more sensitive to the change in initial value and plays a dominant role in the game process. These results show that we should set the initial price for entering the market rationally within the range of different market conditions. For example, for a mature and stable market, the equation of initial price is loose price, and the price fluctuation cannot affect the stability of the market. For a well-development market, the equation of initial price is relatively loose. Although price fluctuations will cause market fluctuations, they will eventually be accommodated by the market and return to a normal state. For an emerging or relatively disordered market, the initial prices should be formulated with caution. Any price fluctuation will cause drastic changes in the express market and intensify the market competition.

3.4. The Numerical Simulation of System Profit with Effect of Price Adjustment Coefficient

One major goal for express enterprises and joint distribution companies to make game decisions is to obtain the optimal profit. Therefore, this section mainly discusses the impact of the price adjustment coefficient on the system profit.
Figure 9 shows the average profit of the express enterprise, and the joint distribution company is adjusted with various values of α 1 when α 2 = 0.12 . In this figure, we can see that the evolution process of profit is similar to the price evolution process in Figure 3, including stable state, second-cycle bifurcation, fourth-cycle bifurcation, and chaos state. When α 1 < 0.169 , the average profits of express enterprises and joint distribution companies are stable, and the profits of express enterprises are greater than those of joint distribution companies. This shows that the express enterprises are in a dominant position in the market game and can obtain larger profits, but the price adjustment behaviors of the express enterprises cannot change the size of their expected profits. When 0.169 α 1 < 0.24 , the average profits of the express enterprise and the joint distribution company show a linear decreasing trend, and the average profit of express enterprise-1 declines slightly faster than that of express enterprise-2 and joint distribution company. It indicates a significantly fast adjustment of price will not bring about an increase in profits, but will lead to a continuous decrease in profits, and express enterprise-1 has a more radical operation mode in comparison with that of express enterprise-2 and joint distribution company in terms of the largest decline in its average profit. Therefore, a gradual and stable profit strategy should be adopted. When α 1 0.24 , the average profits of the express enterprises and the joint distribution company will be in the random distribution. This shows that a larger price adjustment coefficient is not beneficial to express enterprises, but brings more unpredictable reverse changes in profit.
Figure 10 shows that the profits of express enterprises and joint distribution companies change with time for different system states. In Figure 10a, the system is in a stable state. We can see that both the express enterprises and the joint distribution company can continuously and stably obtain their own profit, and the profit of the express enterprises is greater than that of the joint distribution company, which reflects that the express enterprise has the advantage of being in a dominant position. In Figure 10b, after about 20 cycles of instability, the profits of the express enterprises and the joint distribution company begin to fluctuate regularly, and the range of the fluctuation gradually increases, and finally reaches a stable stage. The fluctuation range of π r 2 is larger than π r 1 and π m , which indicates that its profitability is unstable in the process of the adjustment coefficient α 1 change, and attention should be paid to the price adjustment range in the process of the joint distribution system. In Figure 10c, the system is in a chaotic state. Figure 9 shows that the average profit of express enterprises is greater than that of joint distribution company. However, in some cycles in Figure 10c, the profit of express enterprises is smaller than that of the joint distribution company. This shows that although express enterprises can ensure that their average profits are larger than those of joint distribution company, the express enterprises should be alert about the possibility that their profits can be smaller than those of joint distribution company in some periods and should change their own price adjustment coefficient with time. In addition, in Figure 10c, the profits of express enterprises and joint distribution company has fluctuated irregularly and violently for about ten cycles, and even the express enterprises have negative profits. This shows that the very frequent price adjustment of express enterprises cannot necessarily bring about stable profits to the express enterprises, and will exacerbate the drastic changes in profits, and even result in loss of money in some periods. The change in profit for express enterprise, π r 1 , is greater than that of other participants when the system is in chaos, so it can be considered that the system’s chaotic state is more unfavorable for π r 1 .

4. Conclusions and Discussions

This paper studies the distribution service pricing problem of the three parties composed of two express enterprises and one joint distribution company in the joint distribution scenario, and develops a dynamic pricing game model of three parties based on the market situation with the express enterprises having the dominant power. The stability analysis, chaos characteristic analysis, and numerical simulation analysis are conducted to reveal the impact of price adjustment coefficient on service price, profit, and system stability. The theoretical analysis for system stability is verified to be corrected with numerical simulation. The analysis results indicate that the price adjustment coefficient of express enterprises should be confined within a certain range, that is, the price stability region. Otherwise, bifurcation and even chaos will occur in the system, which is unfavorable for the competition of the express enterprises. The average profit of each participant in the stable state of the system is higher than that in the chaotic state. An appropriate price adjustment coefficient can help all parties in the system achieve the optimal profit in the stable region. When multiple express enterprises participate in the game, the impact of the price adjustment coefficient on system participants is different. An excessive price adjustment coefficient will lead to express enterprises’ loss of their dominant advantages, resulting in lower profits or even negative profits for them. Thus, competitors should carefully consider their own profit fluctuations and formulate appropriate competition strategies. These innovations help to build a sustainable joint distribution system for express industry, in which the participants can compete in order and gain considerable profits.
In future research, we can further relax the assumption of equations for the distribution service price and the volume of distribution service orders. In the equation of distribution service price, we can introduce more quantity discount functions to reflect the realistic relationship between price and quantity, such as the piecewise function with different discount rates. In the equation of distribution service volume, the market share of each enterprise can be considered in Equations (2) and (3), which may be another factor influencing the distribution service volume. Furthermore, the dynamic system of the joint distribution mode may include more than two express enterprises in reality which will lead to more complex system features.

Author Contributions

The authors confirm that the contribution to the paper are as follows: study conception and design: H.F. and L.Y.; data collection: L.Y. and R.Y.; analysis and interpretation of results: H.F., Y.S. and L.Y.; draft manuscript preparation: H.F., Y.S. and L.Y. All authors have read and agreed to the published version of the manuscript.

Funding

Fundamental Research Funds for the Central Universities, China, Grant ID: 2023JBMC005.

Institutional Review Board Statement

Not applicable.

Data Availability Statement

All of the material is owned by the authors and/or no permissions are required.

Conflicts of Interest

The authors declare no conflict of interest.

References

  1. He, Y.; Zhou, F.; Qi, M.; Wang, X. Joint distribution: Service paradigm, key technologies and its application in the context of Chinese express industry. Int. J. Logist. Res. Appl. 2020, 23, 211–227. [Google Scholar] [CrossRef]
  2. Li, L.; Wang, X.; Lin, Y.; Zhou, F.; Chen, S. Cooperative game-based profit allocation for joint distribution alliance under online shopping environment: A case in Southwest China. Asia Pac. J. Mark. Logist. 2019, 31, 302–326. [Google Scholar] [CrossRef]
  3. Liu, G.; Hu, J.; Yang, Y.; Xia, S.; Lim, M.K. Vehicle routing problem in cold Chain logistics: A joint distribution model with carbon trading mechanisms. Resour. Conserv. Recycl. 2020, 156, 104715. [Google Scholar] [CrossRef]
  4. Wang, Y.; Zhang, S.; Guan, X.; Fan, J.; Wang, H.; Liu, Y. Cooperation and profit allocation for two-echelon logistics pickup and delivery problems with state–space–time networks. Appl. Soft Comput. 2021, 109, 107528. [Google Scholar] [CrossRef]
  5. Tao, W.; Wei, Z.; Li, B. Pricing of Urban Food Cold Chain Joint Distribution Based on Non-cooperative Game. J. Beijing Jiaotong Univ. 2017, 41, 28–33. [Google Scholar]
  6. Serrano-Hernandez, A.; Faulin, J.; Hirsch, P.; Fikar, C. Agent-Based Simulation for Horizontal Cooperation in Logistics and Transportation: From the Individual to the Grand Coalition. Simul. Model. Pract. Theory 2018, 85, 47–59. [Google Scholar] [CrossRef]
  7. Chung, K.H.; Ko, S.Y.; Chang, C.K. A Cooperative Game-theoretic Network Design for Collaborative Operation of Service Centers and Consolidation Terminals in Delivery Services. Int. J. Ind. Eng. Theory Appl. Pract. 2018, 25, 18–28. [Google Scholar]
  8. Gan, M.; Yang, S.; Li, D.; Wang, M.; Chen, S.; Xie, R.; Liu, J. A Novel Intensive Distribution Logistics Network Design and Profit Allocation Problem considering Sharing Economy. Complexity 2018, 2018, 4678358. [Google Scholar] [CrossRef]
  9. Zhao, G. Research on the Joint Distribution Operation Model of Rural E-business based on Sharing Logistics. China Bus. Mark. 2018, 32, 36–44. [Google Scholar] [CrossRef]
  10. Su, X.; Yang, X. Research on Sharing Distribution Mode of Rural Express Logistics Based on Sharing Economy and Dynamic Coordination Theory. J. Commer. Econ. 2020, 12, 142–145. [Google Scholar]
  11. Ma, J.; Zhang, J. Price game and chaos control among three oligarchs with different rationalities in property insurance market. Chaos Interdiscip. J. Nonlinear Sci. 2012, 22, 043120. [Google Scholar] [CrossRef] [PubMed]
  12. Liu, Z.; Xu, Q. Collaborative optimal pricing model of dual-channel supply Chain. Open Cybern. Syst. J. 2015, 9, 775–785. [Google Scholar] [CrossRef]
  13. Gao, J.; Wang, X.; Yang, Q.; Zhong, Q. Pricing decisions of a dual-channel closed-loop supply chain under uncertain demand of indirect channel. Math. Probl. Eng. 2016, 2016, 6053510. [Google Scholar] [CrossRef]
  14. Li, Q.; Ma, J. Research on price Stackelberg game model with probabilistic selling based on complex system theory. Commun. Nonlinear Sci. Numer. Simul. 2016, 30, 387–400. [Google Scholar] [CrossRef]
  15. Xu, L.; Li, H.; Zhang, L.; Liu, Y. Analysis of Joint Distribution Mode of Third-party Logistics Based on Game Theory. Mod. Bus. Trade Ind. 2021, 42, 20–21. [Google Scholar]
  16. Kong, J.; Chen, C.; Liu, X. Joint Delivery Pricing at Terminal Distribution Considering Couriers’ Behavio. J. Beijing Univ. Posts Telecommun. Soc. Sci. Ed. 2022, 24, 55–67. [Google Scholar]
  17. Wang, W.; Wang, S.; Peng, Y.; Xu, X. Pricing Game Model of Competitive Port Integrating Highway Transportation Service. J. Transp. Syst. Eng. Inf. Technol. 2018, 18, 229–235. [Google Scholar]
  18. Kong, J.; Chen, C.; Liu, X. Research on Pricing Strategy of Joint Distribution Service of City Terminal. Logistics Research. 2020, 2, 33–43. [Google Scholar]
  19. Tan, C.; Wu, X.; Zhou, L. Game Analysis for Pricing Strategies in O2O Logistic Service Supply Chain with Fairness Concern. Oper. Res. Manag. Sci. 2021, 30, 80–85+151. [Google Scholar]
  20. Rand, D. Exotie phenomena in games and duopoly models. J. Math. Econ. 1978, 5, 173–184. [Google Scholar] [CrossRef]
  21. Agiza, H.N. On the analysis of stability, bifurcation, chaos and chaos control of kopel map. Chaos Solitons Fractals 1999, 10, 1909–1916. [Google Scholar] [CrossRef]
  22. Chen, G.R.; Raton, B. Controlling Chaos and Bifurcations in Engineering Systems; CRC Press: Boca Raton, FL, USA, 2000. [Google Scholar]
  23. Wang, Q.; Zhao, L.; Mei, Q.; Du, J. Dynamic analysis and chaos control induopoly bertrand game model. Stat. Decis. 2017, 21, 38–41. [Google Scholar]
  24. Askar, S.S. Duopolistic Stackelberg game: Investigation of complex dynamics and chaos control. Oper. Res. 2020, 20, 1685–1699. [Google Scholar] [CrossRef]
  25. Leventides, J.; Melas, E.; Poulios, C.; Boufounou, P. Analysis of chaotic economic models through Koopman operators, EDMD, Takens’ theorem and Machine Learning. Data Sci. Financ. Econ. 2022, 2, 416–436. [Google Scholar] [CrossRef]
  26. Katusiime, L. Time-Frequency connectedness between developing countries in the COVID-19 pandemic: The case of East Africa. Quant. Financ. Econ. 2022, 6, 722–748. [Google Scholar] [CrossRef]
  27. Li, Z.; Mo, B.; Nie, H. Time and frequency dynamic connectedness between cryptocurrencies and financial assets in China. Int. Rev. Econ. Financ. 2023, 86, 46–57. [Google Scholar] [CrossRef]
  28. Zhang, J.; Da, Q.; Wang, Y. The Dynamics of Bertrand Model with Bounded Rationality. Chaos Solitons Fractals 2009, 39, 2048–2055. [Google Scholar] [CrossRef]
  29. Fanti, L.; Gori, L. The Dynamics of a Bertrand Duopoly with Differentiated Products and Bounded Rational Firms Revisited; Discussion Papers; University Library of Munich: Munich, Germany, 2011. [Google Scholar]
  30. Yu, W.; Yu, Y. The Complexion of Dynamic Duopoly Game with Horizontal Differentiated Products. Econ. Model. 2014, 41, 289–297. [Google Scholar] [CrossRef]
  31. Ahmed, E.; Elsadany, A.A.; Puu, T. On Bertrand Duopoly Game with Differentiated Goods. Appl. Math. Comput. 2015, 251, 169–179. [Google Scholar] [CrossRef]
  32. Li, Q.; Zhang, Y.; Huang, Y.; Qi, E. Complexity Analysis for Dynamic Game Model with Fair-caring and Different Business Objectives. Oper. Res. Manag. Sci. 2019, 28, 35–45. [Google Scholar]
  33. Elsadany, A.A.; Awad, A.M. Dynamics and Chaos Control of a Duopolistic Bertrand Competitions under Environmental Taxes. Ann. Oper. Res. 2019, 274, 211–240. [Google Scholar] [CrossRef]
  34. Puu, T. Attractors, Bifurcations, and Chaos: Nonlinear Phenomena in Economics; Springer: Berlin, Germany, 2003. [Google Scholar]
Figure 1. Joint distribution system’s application scenario.
Figure 1. Joint distribution system’s application scenario.
Mathematics 11 04054 g001
Figure 2. Stability region of the system under different α 1 and α 2 .
Figure 2. Stability region of the system under different α 1 and α 2 .
Mathematics 11 04054 g002
Figure 3. Bifurcation diagram.
Figure 3. Bifurcation diagram.
Mathematics 11 04054 g003
Figure 4. Lyapunov exponent.
Figure 4. Lyapunov exponent.
Mathematics 11 04054 g004
Figure 5. Chaos attractor of system when α 1 = 0.28 and α 2 = 0.09 .
Figure 5. Chaos attractor of system when α 1 = 0.28 and α 2 = 0.09 .
Mathematics 11 04054 g005
Figure 6. Game evolution process for different system states. (a) α 1 = 0.169 , α 2 = 0.12 . (b) α 1 = 0.24 , α 2 = 0.12 . (c) α 1 = 0.28 , α 2 = 0.09 .
Figure 6. Game evolution process for different system states. (a) α 1 = 0.169 , α 2 = 0.12 . (b) α 1 = 0.24 , α 2 = 0.12 . (c) α 1 = 0.28 , α 2 = 0.09 .
Mathematics 11 04054 g006
Figure 7. Variations of the price with the coefficients. (a) α 1 = 0.10 . (b) α 1 = 0.18 . (c) α 1 = 0.27 .
Figure 7. Variations of the price with the coefficients. (a) α 1 = 0.10 . (b) α 1 = 0.18 . (c) α 1 = 0.27 .
Mathematics 11 04054 g007
Figure 8. Variation in price difference over time. (a) α 1 = 0.10 . (b) α 1 = 0.175 . (c) α 1 = 0.27 .
Figure 8. Variation in price difference over time. (a) α 1 = 0.10 . (b) α 1 = 0.175 . (c) α 1 = 0.27 .
Mathematics 11 04054 g008
Figure 9. Evolution of average profit adjustment coefficient with α 1 when α 2 = 0.12 .
Figure 9. Evolution of average profit adjustment coefficient with α 1 when α 2 = 0.12 .
Mathematics 11 04054 g009
Figure 10. Profit changes over time. (a) α 1 = 0.10 . (b) α 1 = 0.18 . (c) α 1 = 0.27 .
Figure 10. Profit changes over time. (a) α 1 = 0.10 . (b) α 1 = 0.18 . (c) α 1 = 0.27 .
Mathematics 11 04054 g010
Disclaimer/Publisher’s Note: The statements, opinions and data contained in all publications are solely those of the individual author(s) and contributor(s) and not of MDPI and/or the editor(s). MDPI and/or the editor(s) disclaim responsibility for any injury to people or property resulting from any ideas, methods, instructions or products referred to in the content.

Share and Cite

MDPI and ACS Style

Fan, H.; Sun, Y.; Yun, L.; Yu, R. A Joint Distribution Pricing Model of Express Enterprises Based on Dynamic Game Theory. Mathematics 2023, 11, 4054. https://doi.org/10.3390/math11194054

AMA Style

Fan H, Sun Y, Yun L, Yu R. A Joint Distribution Pricing Model of Express Enterprises Based on Dynamic Game Theory. Mathematics. 2023; 11(19):4054. https://doi.org/10.3390/math11194054

Chicago/Turabian Style

Fan, Hongqiang, Yichen Sun, Lifen Yun, and Runfeng Yu. 2023. "A Joint Distribution Pricing Model of Express Enterprises Based on Dynamic Game Theory" Mathematics 11, no. 19: 4054. https://doi.org/10.3390/math11194054

APA Style

Fan, H., Sun, Y., Yun, L., & Yu, R. (2023). A Joint Distribution Pricing Model of Express Enterprises Based on Dynamic Game Theory. Mathematics, 11(19), 4054. https://doi.org/10.3390/math11194054

Note that from the first issue of 2016, this journal uses article numbers instead of page numbers. See further details here.

Article Metrics

Back to TopTop