An Adaptive Inertia and Damping Control Strategy Based on Enhanced Virtual Synchronous Generator Model
Abstract
:1. Introduction
- An alternative current-controlled VSG structure (CC-VSG), which avoids the issues inherent in the conventional VC-VSG structure, is proposed. The transfer function of the active power control loop is developed for the considered CC-VSG, with the help of which it is proven that there are no contradictions given earlier.
- Due to the properties of the proposed CC-VSG structure, an adaptive control algorithm is developed that independently changes the three main parameters of the VSG, which affect the inertial response and damping.
- For the adaptive virtual inertia control of the CC-VSG, an algorithm based on nonlinear sigmoid function is developed. Due to this, it became possible to flexibly control the inertia value by exceeding the RoCoF setting throughout the transients. In addition, the DC-side energy consumption during low frequency deviations is reduced without negative impact on the transient performance. Such control possibilities are difficult to implement in case of conventional algorithms based on the bang–bang control.
- For the adaptive control of virtual damper winding of the CC-VSG, the damper winding virtual current is used as a controlled signal. This solution allows to improve the damping properties of the CC-VSG and, at the same time, excludes the impact on the swing equation, the active power response, as well as the frequency droop.
2. Comparative Analysis of Conventional and Enhanced VSG Models
2.1. Conventional VC-VSG Model
2.2. Enhanced CC-VSG Model
2.3. Differences in Dynamic Performances of the VC-VSG and CC-VSG Structures
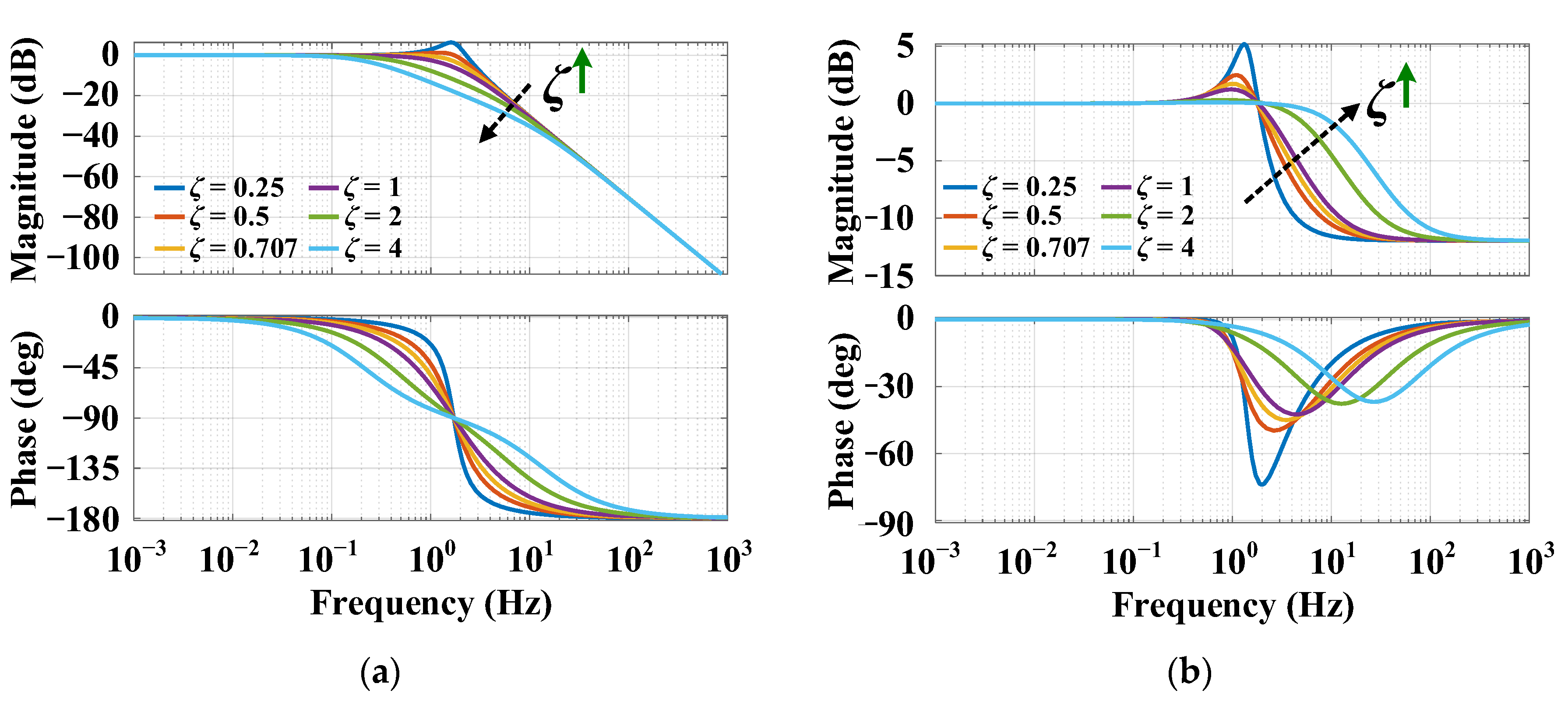
3. Impacts of Virtual Inertia and Damping Coefficient on the Dynamic Response of the CC-VSG under Disturbances
4. Adaptive Adjustment Strategy for the CC-VSG
4.1. Proposed Adaptive Virtual Inertia Control
4.2. Proposed Adaptive Virtual Damper Winding Control
5. Simulation Results and Discussion
6. Conclusions
Author Contributions
Funding
Data Availability Statement
Conflicts of Interest
Appendix A
| Grid & Power Converter | CC-VSG | Adaptive Control | |||
|---|---|---|---|---|---|
| Parameter | Value | Parameter | Value | Parameter | Value |
| Vb | 480 V | H0 | 2 s | Hmax | 4 s |
| Sb | 2 MVA | Rv | 0 pu | Hmin | 1 s |
| fb | 60 Hz | Lv | 0.105 pu | aH | 1 |
| fsw | 5 kHz | R1q | 0.01 pu | RoCoFset0 | 0.5 Hz/s |
| Lf | 0.1 pu | L1q | 0.71 pu | dH | 50 |
| Cf | 0.112 pu | Ku | 1 pu | mH | 250 |
| Lg | 0.3 pu | Qref,VSG | 0 pu | nH | 50 |
| Rg | 0 pu | Kpcc | 0.052 pu | ||
| Kicc | 13.195 pu | ||||
References
- Tan, B.; Zhao, J.; Netto, M.; Krishnan, V.; Terzija, V.; Zhang, Y. Power system inertia estimation: Review of methods and the impacts of converter-interfaced generations. Int. J. Electr. Power Energy Syst. 2022, 134, 107362. [Google Scholar] [CrossRef]
- Rajan, R.; Fernandez, F.M.; Yang, Y. Primary frequency control techniques for large-scale PV-integrated power systems: A review. Renew. Sust. Energ. Rev. 2021, 144, 110998. [Google Scholar] [CrossRef]
- Ilyushin, P.; Volnyi, V.; Suslov, K.; Filippov, S. Review of Methods for Addressing Challenging Issues in the Operation of Protection Devices in Microgrids with Voltages of up to 1 kV that Integrates Distributed Energy Resources. Energies 2022, 15, 9186. [Google Scholar] [CrossRef]
- Craciun, B.I.; Kerekes, T.; Sera, D.; Teodorescu, R. Frequency support functions in large PV power plants with active power reserves. IEEE J. Emerg. Sel. Top. Power Electron. 2014, 2, 849–858. [Google Scholar] [CrossRef]
- Cheng, Y.; Azizipanah-Abarghooee, R.; Azizi, S.; Ding, L.; Terzija, V. Smart frequency control in low inertia energy systems based on frequency response techniques: A review. Appl. Energy 2020, 279, 115798. [Google Scholar] [CrossRef]
- Sosnina, E.; Dar’enkov, A.; Kurkin, A.; Lipuzhin, I.; Mamonov, A. Review of Efficiency Improvement Technologies of Wind Diesel Hybrid Systems for Decreasing Fuel Consumption. Energies 2023, 16, 184. [Google Scholar] [CrossRef]
- Pourbeik, P.; Soni, S.; Gaikwad, A.; Chadliev, V. Providing primary frequency response from photovoltaic power Plants. In Proceedings of the CIGRE Symposium, Dublin, Ireland, 29 May–2 June 2017; pp. 1–10. [Google Scholar]
- Ilyushin, P.; Filippov, S.; Kulikov, A.; Suslov, K.; Karamov, D. Intelligent Control of the Energy Storage System for Reliable Operation of Gas-Fired Reciprocating Engine Plants in Systems of Power Supply to Industrial Facilities. Energies 2022, 15, 6333. [Google Scholar] [CrossRef]
- Rathnayake, D.B.; Akrami, M.; Phurailatpam, C.; Me, S.P.; Hadavi, S.; Jayasinghe, G.; Zabihi, S.; Bahrani, B. Grid Forming Inverter Modeling, Control, and Applications. IEEE Access 2021, 9, 114781–114807. [Google Scholar] [CrossRef]
- Wang, X.; Taul, M.G.; Wu, H.; Liao, Y.; Blaabjerg, F.; Harnefors, L. Grid-Synchronization Stability of Converter-Based Resources—An Overview. IEEE Open J. Ind. Appl. 2020, 1, 115–134. [Google Scholar] [CrossRef]
- Ilyushin, P.; Volnyi, V.; Suslov, K.; Filippov, S. State-of-the-Art Literature Review of Power Flow Control Methods for Low-Voltage AC and AC-DC Microgrids. Energies 2023, 16, 3153. [Google Scholar] [CrossRef]
- Tamrakar, U.; Shrestha, D.; Maharjan, M.; Bhattarai, B.P.; Hansen, T.M.; Tonkoski, R. Virtual Inertia: Current Trends and Future Directions. Appl. Sci. 2017, 7, 654. [Google Scholar] [CrossRef]
- Bevrani, H.; Ise, T.; Miura, Y. Virtual synchronous generators: A survey and new perspectives. Int. J. Electr. Power Energy Syst. 2014, 54, 244–254. [Google Scholar] [CrossRef]
- Suvorov, A.; Askarov, A.; Kievets, A.; Rudnik, V. A comprehensive assessment of the state-of-the-art virtual synchronous generator models. Electr. Power Syst. Res. 2022, 209, 108054. [Google Scholar] [CrossRef]
- Suvorov, A.; Askarov, A.; Bay, Y.; Maliuta, B.; Achitaev, A.; Suslov, K. Comparative small-signal stability analysis of voltage-controlled and enhanced current-controlled virtual synchronous generators under weak and stiff grid conditions. Int. J. Electr. Power Energy Syst. 2023, 147, 108891. [Google Scholar] [CrossRef]
- Yang, X.; Li, H.; Jia, W.; Liu, Z.; Pan, Y.; Qian, F. Adaptive Virtual Synchronous Generator Based on Model Predictive Control with Improved Frequency Stability. Energies 2022, 15, 8385. [Google Scholar] [CrossRef]
- Fu, S.; Sun, Y.; Liu, Z.; Hou, X.; Han, H.; Su, M. Power oscillation suppression in multi-VSG grid with adaptive virtual inertia. Int. J. Electr. Power Energy Syst. 2022, 135, 107472. [Google Scholar] [CrossRef]
- Alipoor, J.; Miura, Y.; Ise, T. Power System Stabilization Using Virtual Synchronous Generator With Alternating Moment of Inertia. IEEE J. Emerg. Sel. Top. Power Electron. 2015, 3, 451–458. [Google Scholar] [CrossRef]
- Li, J.; Wen, B.; Wang, H. Adaptive Virtual Inertia Control Strategy of VSG for Micro-Grid Based on Improved Bang-Bang Control Strategy. IEEE Access 2019, 7, 39509–39514. [Google Scholar] [CrossRef]
- Malekpour, M.; Kiyoumarsi, A.; Gholipour, M. A hybrid adaptive virtual inertia controller for virtual synchronous generators. Int. Trans. Electr. Energy Syst. 2021, 31, e12913. [Google Scholar] [CrossRef]
- Quint, R.; Ramasubramanian, D. Impacts of droop and deadband on generator performance and frequency control. In Proceedings of the 2017 IEEE Power & Energy Society General Meeting, Chicago, IL, USA, 16–20 July 2017; pp. 1–5. [Google Scholar]
- Fang, H.; Yu, Z. Improved virtual synchronous generator control for frequency regulation with a coordinated self-adaptive method. CSEE J. Power Energy Syst. 2020, 1–10. [Google Scholar] [CrossRef]
- Zheng, T.; Chen, L.; Wang, R.; Li, C.; Mei, S. Adaptive Damping Control Strategy of Virtual Synchronous Generator for Frequency Oscillation Suppression. In Proceedings of the 12th IET International Conference on AC and DC Power Transmission (ACDC 2016), Beijing, China, 28–29 May 2016; pp. 1–5. [Google Scholar]
- Shi, K.; Chen, C.; Sun, Y.; Xu, P.; Yang, Y.; Blaabjerg, F. Rotor inertia adaptive control and inertia matching strategy based on parallel virtual synchronous generators system. IET Gener. Transm. Distrib. 2020, 14, 1854–1861. [Google Scholar] [CrossRef]
- Wang, Q.; Zhou, D.; Yin, S.; Lei, Y.; He, T. Improved Adaptive Inertia and Damping Coefficient Control Strategy of VSG Based on Optimal Damping Ratio. In Proceedings of the 2022 International Power Electronics Conference (IPEC-Himeji 2022-ECCE Asia), Himeji, Japan, 15–19 May 2022; pp. 102–107. [Google Scholar]
- Qu, S.; Wang, Z. Cooperative Control Strategy of Virtual Synchronous Generator Based on Optimal Damping Ratio. IEEE Access 2021, 9, 709–719. [Google Scholar] [CrossRef]
- Chen, J.; Liu, M.; Milano, F.; O’Donnell, T. Adaptive Virtual Synchronous Generator Considering Converter and Storage Capacity Limits. CSEE J. Power Energy Syst. 2022, 8, 580–590. [Google Scholar]
- Li, M.; Huang, W.; Tai, N.; Yang, L.; Duan, D.; Ma, Z. A Dual-Adaptivity Inertia Control Strategy for Virtual Synchronous Generator. IEEE Trans. Power Syst. 2020, 35, 594–604. [Google Scholar] [CrossRef]
- Sun, L.; Wang, P.; Han, J.; Wang, Y.; Yu, C.; Chen, M. Adaptive Inertia Control of Virtual Synchronous Generator Based on Power Feedback. In Proceedings of the 2021 IEEE 4th International Electrical and Energy Conference (CIEEC), Wuhan, China, 28–30 May 2021; pp. 1–5. [Google Scholar]
- D’Arco, S.; Suul, J.A.; Fosso, O.B. A Virtual Synchronous Machine implementation for distributed control of power converters in SmartGrids. Electr. Power Syst. Res. 2015, 122, 180–197. [Google Scholar] [CrossRef]
- Chen, M.; Zhou, D.; Blaabjerg, F. High penetration of inverter-based power sources with VSG control impact on electromechanical oscillation of power system. Int. J. Electr. Power Energy Syst. 2022, 142, 108370. [Google Scholar] [CrossRef]
- Li, M.; Yu, P.; Hu, W.; Wang, Y.; Shu, S.; Zhang, Z.; Blaabjerg, F. Phase Feedforward Damping Control Method for Virtual Synchronous Generators. IEEE Trans. Power Electr. 2022, 37, 9790–9806. [Google Scholar] [CrossRef]
- Chen, S.; Sun, Y.; Han, H.; Luo, Z.; Shi, G.; Yuan, L.; Guerrero, J.M. Active power oscillation suppression and dynamic performance improvement for multi-VSG grids based on consensus control via COI frequency. Int. J. Electr. Power Energy Syst. 2023, 147, 108796. [Google Scholar] [CrossRef]
- Li, Y.; Fan, L.; Miao, Z. Stability Control for Wind in Weak Grids. IEEE Trans. Sustain. Energy 2019, 10, 2094–2103. [Google Scholar] [CrossRef]
- Kundur, P. Power System Stability and Control; McGraw-Hill: New York, NY, USA, 1993. [Google Scholar]
- Mandrile, F.; Carpaneto, E.; Bojoi, R. Grid-Feeding Inverter with Simplified Virtual Synchronous Compensator Providing Grid Services and Grid Support. IEEE Trans. Ind. Appl. 2021, 57, 559–569. [Google Scholar] [CrossRef]
- Suvorov, A.; Askarov, A.; Bay, Y.; Ufa, R. Freely customized virtual generator model for grid-forming converter with hydrogen energy storage. Int. J. Hydrog. Energy 2022, 47, 34739–34761. [Google Scholar] [CrossRef]
- Bissel, C. A History of Automatic Control; Springer: Berlin/Heidelberg, Germany, 2009; pp. 53–69. [Google Scholar]
- Bissell, C. AA Andronov and the development of Soviet control engineering. IEEE Control Syst. Mag. 1998, 18, 56–62. [Google Scholar]
- Wang, F.; Zhang, L.; Feng, X.; Guo, H. An Adaptive Control Strategy for Virtual Synchronous Generator. IEEE Trans. Ind. Appl. 2018, 54, 5124–5133. [Google Scholar] [CrossRef]
- Li, D.; Zhu, Q.; Lin, S.; Bian, X.Y. A Self-Adaptive Inertia and Damping Combination Control of VSG to Support Frequency Stability. IEEE Trans. Energy Conver 2017, 32, 397–398. [Google Scholar] [CrossRef]
- Fang, J.; Deng, H.; Goetz, S.M. Grid Impedance Estimation Through Grid-Forming Power Converters. IEEE Trans. Power Electr. 2021, 36, 2094–2104. [Google Scholar] [CrossRef]
- Mandrile, F.; Carpaneto, E.; Bojoi, R. Virtual Synchronous Generator with Simplified Single-Axis Damper Winding. In Proceedings of the 2019 IEEE 28th International Symposium on Industrial Electronics (ISIE), Vancouver, BC, Canada, 12–14 June 2019; pp. 2123–2128. [Google Scholar]
- Markovic, U.; Chu, Z.; Aristidou, P.; Hug, G. LQR-Based Adaptive Virtual Synchronous Machine for Power Systems With High Inverter Penetration. IEEE Trans. Sustain. Energy 2019, 10, 1501–1512. [Google Scholar] [CrossRef]
























| Stage | ΔfVSG Sign | dfVSG/dt Sign | dfVSG/dt < >RoCoFset | kH1 Behavior | HVSG Behavior |
|---|---|---|---|---|---|
| a→a1 | >0 | >0 | <RoCoF | kH1↑ > 1 (curve 1) * | HVSG↑ > H0 (curve 1) ** |
| a1→a2 | >0 | >0 | >RoCoF | kH1 = max (curve 1) | HVSG = max (curve 1) |
| a2→b | >0 | >0 | <RoCoF | kH1↓ > 1 (curve 1) | HVSG↓ > H0 (curve 1) |
| b→b1 | >0 | <0 | <RoCoF | kH1↓ < 0 (curve 1) | HVSG↑ > H0 (curve 2) |
| b1→c | >0 | <0 | >RoCoF | kH1 = min (curve 1) | HVSG = max (curve 2) |
| c | <0 | <0 | >RoCoF | kH1 = max (curve 2) | HVSG = max (curve 1) |
| c→d | <0 | <0 | <RoCoF | kH1↓ > 1 (curve 2) | HVSG↓ > H0 (curve 1) |
| d→e | <0 | >0 | <RoCoF | kH1↓ < 0 (curve 2) | HVSG↑ > H0 (curve 1) |
Disclaimer/Publisher’s Note: The statements, opinions and data contained in all publications are solely those of the individual author(s) and contributor(s) and not of MDPI and/or the editor(s). MDPI and/or the editor(s) disclaim responsibility for any injury to people or property resulting from any ideas, methods, instructions or products referred to in the content. |
© 2023 by the authors. Licensee MDPI, Basel, Switzerland. This article is an open access article distributed under the terms and conditions of the Creative Commons Attribution (CC BY) license (https://creativecommons.org/licenses/by/4.0/).
Share and Cite
Suvorov, A.; Askarov, A.; Ruban, N.; Rudnik, V.; Radko, P.; Achitaev, A.; Suslov, K. An Adaptive Inertia and Damping Control Strategy Based on Enhanced Virtual Synchronous Generator Model. Mathematics 2023, 11, 3938. https://doi.org/10.3390/math11183938
Suvorov A, Askarov A, Ruban N, Rudnik V, Radko P, Achitaev A, Suslov K. An Adaptive Inertia and Damping Control Strategy Based on Enhanced Virtual Synchronous Generator Model. Mathematics. 2023; 11(18):3938. https://doi.org/10.3390/math11183938
Chicago/Turabian StyleSuvorov, Aleksey, Alisher Askarov, Nikolay Ruban, Vladimir Rudnik, Pavel Radko, Andrey Achitaev, and Konstantin Suslov. 2023. "An Adaptive Inertia and Damping Control Strategy Based on Enhanced Virtual Synchronous Generator Model" Mathematics 11, no. 18: 3938. https://doi.org/10.3390/math11183938
APA StyleSuvorov, A., Askarov, A., Ruban, N., Rudnik, V., Radko, P., Achitaev, A., & Suslov, K. (2023). An Adaptive Inertia and Damping Control Strategy Based on Enhanced Virtual Synchronous Generator Model. Mathematics, 11(18), 3938. https://doi.org/10.3390/math11183938

