Innovating and Pricing Carbon-Offset Options of Asian Styles on the Basis of Jump Diffusions and Fractal Brownian Motions
Abstract
:1. Introduction
1.1. Alarming Global Warming and Carbon-Offset Options
1.2. Carbon-Offset-Option Literature
1.3. Originality: Innovating and Pricing Carbon-Offset Options of Asian Styles by Jump Diffusions and Fractal Brownian Motions
1.4. Paper Structure
2. Literature Review: Asian Options and Carbon-Offset Options
2.1. Classic Option Pricing
- basically inscribes geometric Brownian motions (as delineated by [29] (pp. 323–324)).
- inscribes the jumps.
- Stochastic processes and are independent.
2.2. Pricing Asian Options
- K is the exercise price;
- is the asset’s geometric average price .
2.3. Pricing Carbon-Offset Options
2.3.1. Underlying Assets’ Empirical Distributions and Limitations of Geometric Brownian
2.3.2. Carbon-Offset Option-Pricing Models
2.3.3. Exploring Real Options
2.3.4. Innovating Portfolio Selection
2.3.5. Calibrating GARCH Models for the Volatility
2.4. Appraising Key Literature
2.4.1. Urgency to Advance Carbon-Offset Options
2.4.2. Suitability for Jump Diffusions
2.4.3. Suitability for Fractal Brownian Motions
3. Originating the Options and Verifying the Stochastic Differential Equation
3.1. Initiating Carbon-Offset Options of Asian Styles on the Basis of Jump Diffusions and Fractal Brownian Motions
- is the expectation (as documented by [29] (p. 323)).
- is the volatility (as documented by [29] (pp. 323–324)).
- On a probability space , we define as a fractal Brownian motion (as documented by [29] (pp. 329–330)) with the Hurst exponent with the following property:For , retreats to Brownian motions.
- We inherit the formulation of [27] (pp. 128–129) and establish as a Poisson process. is the expected jump numbers per unit time.
- We enrich the jump diffusions by erecting as the jump multitude. comes from the following log-normal distribution:The distribution is fixed by the variance and expectation as follows:We denote the expectation of as follows:
- At time t, if jumps with probability , assumes 1 (i.e., ) in time interval for sufficiently small . For term of (2), the underlying asset’s price changes by .Otherwise (i.e., does not jump at time t with probability ), assumes 0 (i.e., ) in time interval . For term of (2), the underlying asset’s price does not change. In summary, we reiterate in time interval as follows:
- Stochastic processes , , and are mutually independent at any time t.
- At last, we pursue [24] (pp. 640–641) and assume the following conditions:
- (a)
- continuous-time option trading,
- (b)
- no-arbitrage opportunity,
- (c)
- identical borrowing and lending interest rate r,
- (d)
- short-sales feasibility,
- (e)
- no dividend during the option life, and
- (f)
- frictionless markets in the form of no transaction cost or tax.
3.2. Verifying the Stochastic Differential Equation and Boundary Conditions
- We exploit dynamic-hedging strategies (as outlined by [29] (pp. 422–423)) and build the following portfolio :where is the weight for . We trail [29] (pp. 422–423) and assign as follows:The value of changes from time t to time as follows:We consult [29] (p. 349) and rewrite the model above as follows:
- For the no-jump case as the simpler situation, we define the event as follows:With , we simplify (2) as follows:On the basis of (9) and (16), we operate fractal Itô’s lemma (as described by [39] (pp. 4814–4816)) to of (10) as follows:We substitute above into (14) as follows:We have already assigned of (13), so the term becomes 0 for (17). By (13)–(17), we develop as follows:For above, we then take the expectation or precisely conditional expectation on as follows:
- For the jump case, we define the event as follows:
- By the no-jump case and jump case, we manipulate total-expectation law (as described by [51] (p. 299)) for as follows:Because [51] (p. 44) posits for sufficiently small , so do we and thus infer as follows:By the zero item above, we advance and rearrange (22) as follows:
4. Pricing the Options
- For the first variable substitution, we substitute by x and substitute by as follows:Of course, x and depend on t. Due to the complex computation below, we suppress t for expression clarity. We total the partial derivatives by the substitution as follows:We transport and into (11) as follows:We focus on of for fixed t and introduce . We operate the following Taylor series with respect to and drop the cubic or higher-moment terms (as traditionally established by [52] (p. 10)):We then take the expectation of (27) as follows:By (3), (4), and (25), we recognize the expectation of as and recognize the variance of as . We gauge as follows:We substitute and into (28) as follows:By (25), we reexpress the boundary condition of Theorem 2 as follows:
- For the second variable substitution, we perform the following substitution in order to simplify (30):We calculate the following partial derivatives:
- For the third variable substitution, we follow [14] and introduce the following substitution:We will configure , , and later in this step. We presume . By (38), we reexpress the boundary condition (35) as follows:Moreover, by (38), we compute the following partial derivatives:We bring the partial derivatives above into (36) as follows:By (40), we demand the following equations:Equation (45) is a heat equation (as described by [53] (p. 254)). By (34) and (38), we usher in and (as dictated in Theorem 4) as follows:Ref. [53] (p. 254) crack the heat equation and we borrow their solution as follows:We take and calculate as follows:We take and calculate as follows:
- At last, we revert the three-round variable substitutions (25), (34), and (38) back to (10) as follows:We relocate (44) and (51) to (52) and obtain the pricing formula in Theorem 4 as follows:
- For the first variable substitution, we exactly follow step 1 of the proof of Theorem 4.
- For the second variable substitution, we still perform (34) and rewrite the boundary condition of Theorem 3 as follows:We still designate (37).
- For the third variable substitution, we still perform (38), obtain (42)–(44), and configure the following heat equationWe define and calculate as follows:We define and calculate as follows:
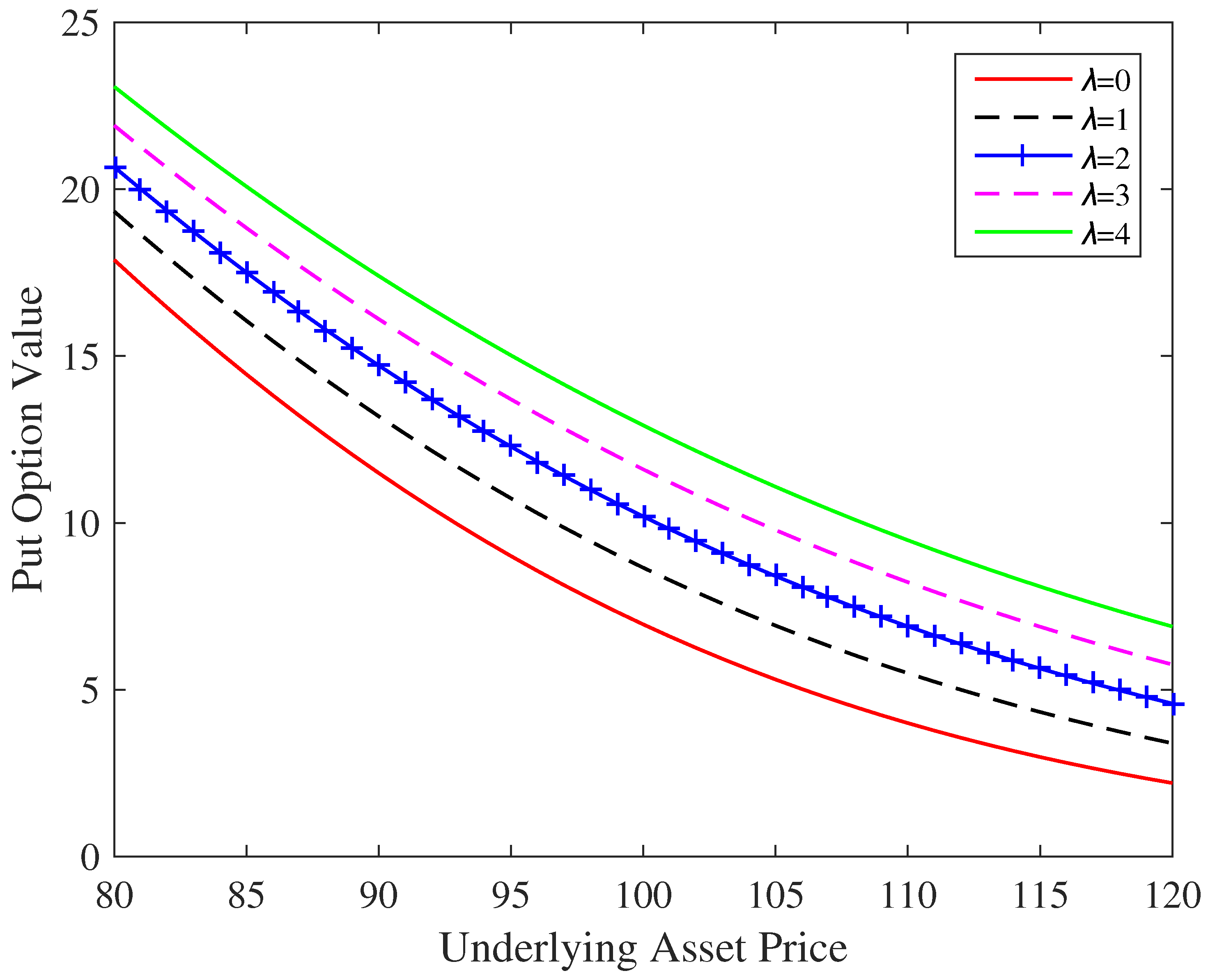
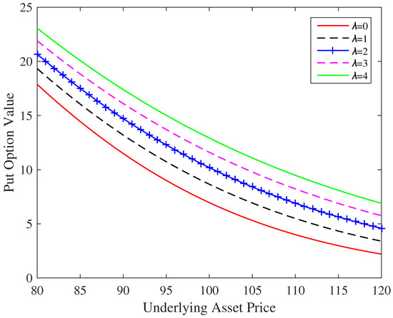
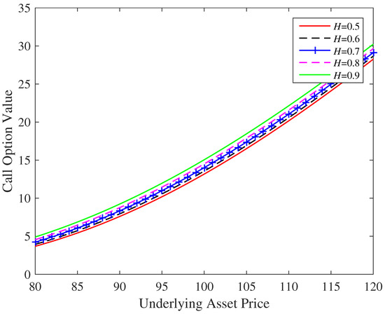
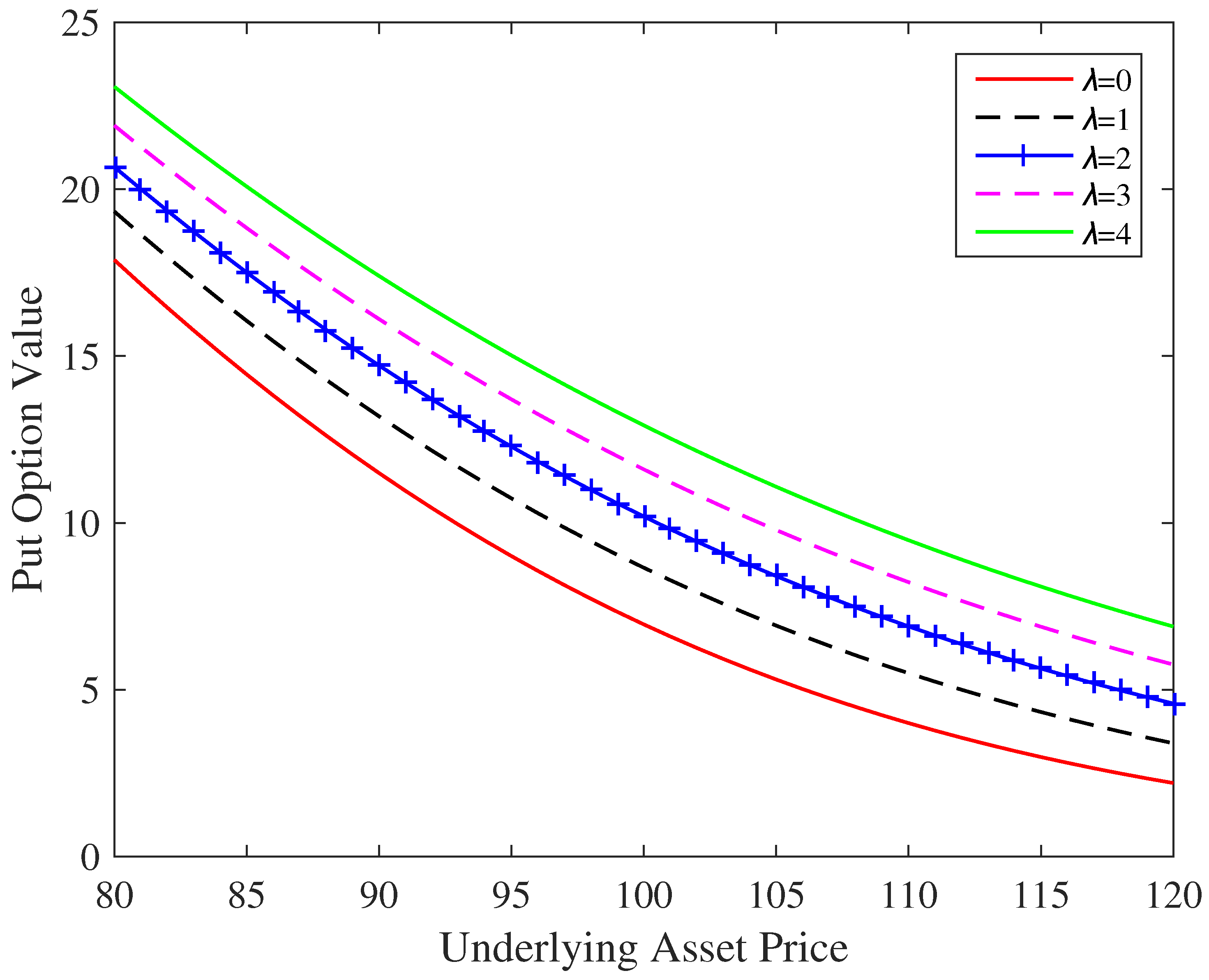
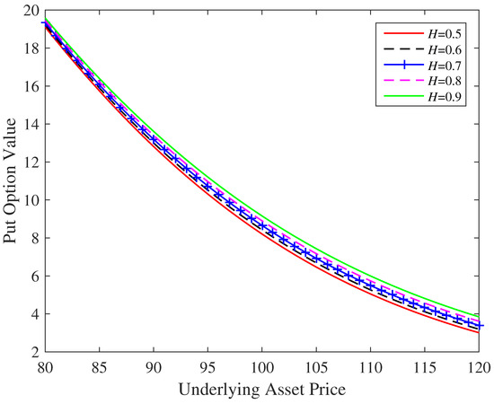
5. Illustrations
6. Conclusions
6.1. Future Directions
6.2. Concluding Remarks
Author Contributions
Funding
Institutional Review Board Statement
Informed Consent Statement
Data Availability Statement
Acknowledgments
Conflicts of Interest
References
- Khan, M.K.; Khan, M.I.; Rehan, M. The relationship between energy consumption, economic growth and carbon dioxide emissions in Pakistan. Financ. Innov. 2020, 6, 1. [Google Scholar] [CrossRef]
- Wei, Y.; Gong, P.; Zhang, J.; Wang, L. Exploring public opinions on climate change policy in “Big Data Era”—A case study of the European Union Emission Trading System (EU-ETS) based on Twitter. Energy Policy 2021, 158, 112559. [Google Scholar] [CrossRef]
- Fan, Y.; Wu, J.; Xia, Y.; Liu, J. How will a nationwide carbon market affect regional economies and efficiency of CO2 emission reduction in China? China Econ. Rev. 2016, 38, 151–166. [Google Scholar] [CrossRef]
- Mo, J.; Agnolucci, P.; Jiang, M.; Fan, Y. The impact of Chinese carbon emission trading scheme (ETS) on low carbon energy (LCE) investment. Energy Policy 2016, 89, 271–283. [Google Scholar] [CrossRef]
- Li, Y.; Wu, M.; Li, Z. A Real Options Analysis for Renewable Energy Investment Decisions under China Carbon Trading Market. Energies 2018, 11, 1817. [Google Scholar] [CrossRef]
- Yu, S.; Li, Z.; Wei, Y.; Liu, L. A real option model for geothermal heating investment decision making: Considering carbon trading and resource taxes. Energy 2019, 189, 116252. [Google Scholar] [CrossRef]
- Kim, K.; Lee, D.; An, D. Real Option Valuation of the R&D Investment in Renewable Energy Considering the Effects of the Carbon Emission Trading Market: A Korean Case. Energies 2020, 13, 622. [Google Scholar]
- Liu, Z.; Huang, S. Carbon option price forecasting based on modified fractional Brownian motion optimized by GARCH model in carbon emission trading. N. Am. J. Econ. Financ. 2021, 55, 101307. [Google Scholar] [CrossRef]
- Liu, J.; Zhang, Z.; Yan, L.; Wen, F. Forecasting the volatility of EUA futures with economic policy uncertainty using the GARCH-MIDAS model. Financ. Innov. 2021, 7, 76. [Google Scholar] [CrossRef]
- Zhou, K.; Li, Y. Carbon finance and carbon market in China: Progress and challenges. J. Clean. Prod. 2019, 214, 536–549. [Google Scholar] [CrossRef]
- Li, K. The effect of option trading. Financ. Innov. 2021, 7, 65. [Google Scholar] [CrossRef]
- Willems, S. Asian option pricing with orthogonal polynomials. Quant. Financ. 2019, 19, 605–618. [Google Scholar] [CrossRef]
- Wang, L.; Zhang, R.; Yang, L.; Su, Y.; Ma, F. Pricing geometric Asian rainbow options under fractional Brownian motion. Phys. A Stat. Mech. Its Appl. 2018, 494, 8–16. [Google Scholar] [CrossRef]
- Guo, Z.; Wang, X.; Zhang, Y. Option pricing of geometric Asian options in a subdiffusive Brownian motion regime. AIMS Math. 2020, 5, 5332–5343. [Google Scholar] [CrossRef]
- Zhang, S.; Gao, X. An asymptotic expansion method for geometric Asian options pricing under the double Heston model. Chaos Solitons Fractals 2019, 127, 1–9. [Google Scholar] [CrossRef]
- Hsu, C.C.; Lin, C.G.; Kuo, T.J. Pricing of Arithmetic Asian Options under Stochastic Volatility Dynamics: Overcoming the Risks of High-Frequency Trading. Mathematics 2020, 8, 2251. [Google Scholar] [CrossRef]
- Wang, Y.; Wang, J. Pricing of American Carbon Emission Derivatives and Numerical Method under the Mixed Fractional Brownian Motion. Discret. Dyn. Nat. Soc. 2021, 2021, 6612284. [Google Scholar] [CrossRef]
- Chevallier, J. Carbon futures and macroeconomic risk factors: A view from the EU ETS. Energy Econ. 2009, 31, 614–625. [Google Scholar] [CrossRef]
- Zou, S.; Zhang, T. Multifractal detrended cross-correlation analysis of the relation between price and volume in European carbon futures markets. Phys. A Stat. Mech. Its Appl. 2020, 537, 122310. [Google Scholar] [CrossRef]
- Kusumahadi, T.A.; Permana, F.C. Impact of COVID-19 on global stock market volatility. J. Econ. Integr. 2021, 36, 20–45. [Google Scholar] [CrossRef]
- Zaremba, A.; Kizys, R.; Aharon, D.Y. Volatility in international sovereign bond markets: The role of government policy responses to the COVID-19 pandemic. Financ. Res. Lett. 2021, 43, 102011. [Google Scholar] [CrossRef] [PubMed]
- Chesney, M.; Taschini, L. The Endogenous Price Dynamics of Emission Allowances and an Application to CO2 Option Pricing. Appl. Math. Financ. 2012, 19, 447–475. [Google Scholar] [CrossRef]
- Kim, K.H.; Kim, N.U.; Ju, D.C.; Ri, J.H. Efficient hedging currency options in fractional Brownian motion model with jumps. Phys. A Stat. Mech. Its Appl. 2020, 539, 122868. [Google Scholar] [CrossRef]
- Black, F.; Scholes, M. The pricing of options and corporate liabilities. J. Political Econ. 1973, 81, 637–654. [Google Scholar] [CrossRef]
- Lee, C.; Chen, Y.; Lee, J. Alternative methods to derive option pricing models: Review and comparison. Rev. Quant. Financ. Account. 2015, 47, 417–451. [Google Scholar] [CrossRef]
- Lin, X.; Wang, M.; Lai, C. A modification term for Black-Scholes model based on discrepancy calibrated with real market data. Data Sci. Financ. Econ. 2021, 1, 313–326. [Google Scholar] [CrossRef]
- Merton, R.C. Option pricing when underlying stock returns are discontinuous. J. Financ. Econ. 1976, 3, 125–144. [Google Scholar] [CrossRef]
- Kou, S.G. A jump-diffusion model for option pricing. Manag. Sci. 2002, 48, 1086–1101. [Google Scholar] [CrossRef]
- Hull, J.C. Options, Futures, and Other Derivatives, 11th ed.; Pearson Education Limited: Harlow, UK, 2022. [Google Scholar]
- Arguin, L. A First Course in Stochastic Calculus; American Mathematical Society: Providence, RI, USA, 2022. [Google Scholar]
- Brémaud, P. Probability Theory and Stochastic Processes; Springer Nature: Cham, Switzerland, 2020. [Google Scholar]
- Kirkby, J.L.; Nguyen, D. Efficient Asian option pricing under regime switching jump diffusions and stochastic volatility models. Ann. Financ. 2020, 16, 307–351. [Google Scholar] [CrossRef]
- Mandelbrot, B.B.; Van Ness, J.W. Fractional Brownian Motions, Fractional Noises and Applications. SIAM Rev. 1968, 10, 422–437. [Google Scholar] [CrossRef]
- Hu, Y.; Øksendal, B. Fractional white noise calculus and applications to finance. Infin. Dimens. Anal. Quantum Probab. Relat. Top. 2003, 6, 1–32. [Google Scholar] [CrossRef]
- Li, Z.; Wang, X.T. Valuation of bid and ask prices for European options under mixed fractional Brownian motion. AIMS Math. 2021, 6, 7199–7214. [Google Scholar] [CrossRef]
- Wang, X.; Wang, J.; Guo, Z. Pricing equity warrants under the sub-mixed fractional Brownian motion regime with stochastic interest rate. AIMS Math. 2022, 7, 16612–16631. [Google Scholar] [CrossRef]
- Duncan, T.E.; Hu, Y.; Pasik-Duncan, B. Stochastic calculus for fractional Brownian motion I. Theory. SIAM J. Control Optim. 2000, 38, 582–612. [Google Scholar] [CrossRef]
- Sottinen, T.; Valkeila, E. On arbitrage and replication in the fractional Black-Scholes pricing model. Stat. Decis. 2003, 21, 137–151. [Google Scholar] [CrossRef]
- Lv, L.; Ren, F.Y.; Qiu, W.Y. The application of fractional derivatives in stochastic models driven by fractional Brownian motion. Phys. A Stat. Mech. Its Appl. 2010, 389, 4809–4818. [Google Scholar]
- Han, Y.; Li, Z.; Liu, C. Option pricing under the fractional stochastic volatility model. ANZIAM J. 2021, 63, 123–142. [Google Scholar]
- Chang, Y.; Wang, Y.; Zhang, S. Option Pricing under Double Heston Jump-Diffusion Model with Approximative Fractional Stochastic Volatility. Mathematics 2021, 9, 126. [Google Scholar] [CrossRef]
- Guardasoni, C.; Rodrigo, M.R.; Sanfelici, S. A Mellin transform approach to barrier option pricing. IMA J. Manag. Math. 2020, 31, 49–67. [Google Scholar] [CrossRef]
- Pan, D.; Zhou, S.; Zhang, Y.; Han, M. Asian option pricing with monotonous transaction costs under fractional Brownian motion. J. Appl. Math. 2013, 2013, 352021. [Google Scholar] [CrossRef]
- Lamphiere, M.; Blackledge, J.; Kearney, D. Carbon Futures Trading and Short-Term Price Prediction: An Analysis Using the Fractal Market Hypothesis and Evolutionary Computing. Mathematics 2021, 9, 1005. [Google Scholar] [CrossRef]
- Daskalakis, G.; Psychoyios, D.; Markellos, R.N. Modeling CO2 emission allowance prices and derivatives: Evidence from the European trading scheme. J. Bank. Financ. 2009, 33, 1230–1241. [Google Scholar] [CrossRef]
- Hintermann, B. Allowance price drivers in the first phase of the EU ETS. J. Environ. Econ. Manag. 2010, 59, 43–56. [Google Scholar] [CrossRef]
- Li, C.Y.; Chen, S.N.; Lin, S.K. Pricing derivatives with modeling CO2 emission allowance using a regime-switching jump diffusion model: With regime-switching risk premium. Eur. J. Financ. 2016, 22, 887–908. [Google Scholar] [CrossRef]
- Liu, Y.; Tian, L.; Sun, H.; Zhang, X.; Kong, C. Option pricing of carbon asset and its application in digital decision-making of carbon asset. Appl. Energy 2022, 310, 118375. [Google Scholar] [CrossRef]
- Qi, Y. Parametrically computing efficient frontiers of portfolio selection and reporting and utilizing the piecewise-segment structure. J. Oper. Res. Soc. 2020, 71, 1675–1690. [Google Scholar] [CrossRef]
- Li, M.; Liao, K.; Qi, Y.; Liu, T. Constructing Multiple-Objective Portfolio Selection for Green Innovation and Dominating Green Innovation Indexes. Complexity 2022, 2022, 8263720. [Google Scholar] [CrossRef]
- Øksendal, B. Stochastic Differential Equations: An Introduction with Applications, 5th ed.; Springer: Berlin/Heidelberg, Germany, 2000. [Google Scholar]
- Campbell, J.Y. Financial Decisions and Markets: A Course in Asset Pricing, 1st ed.; Princeton University Press: Princeton, NJ, USA, 2018. [Google Scholar]
- Karatzas, I.; Shreve, S.E. Brownian Motion and Stochastic Calculus, 2nd ed.; Springer Science + Business Media: New York, NY, USA, 1991. [Google Scholar]







Disclaimer/Publisher’s Note: The statements, opinions and data contained in all publications are solely those of the individual author(s) and contributor(s) and not of MDPI and/or the editor(s). MDPI and/or the editor(s) disclaim responsibility for any injury to people or property resulting from any ideas, methods, instructions or products referred to in the content. |
© 2023 by the authors. Licensee MDPI, Basel, Switzerland. This article is an open access article distributed under the terms and conditions of the Creative Commons Attribution (CC BY) license (https://creativecommons.org/licenses/by/4.0/).
Share and Cite
Qi, Y.; Wang, Y. Innovating and Pricing Carbon-Offset Options of Asian Styles on the Basis of Jump Diffusions and Fractal Brownian Motions. Mathematics 2023, 11, 3614. https://doi.org/10.3390/math11163614
Qi Y, Wang Y. Innovating and Pricing Carbon-Offset Options of Asian Styles on the Basis of Jump Diffusions and Fractal Brownian Motions. Mathematics. 2023; 11(16):3614. https://doi.org/10.3390/math11163614
Chicago/Turabian StyleQi, Yue, and Yue Wang. 2023. "Innovating and Pricing Carbon-Offset Options of Asian Styles on the Basis of Jump Diffusions and Fractal Brownian Motions" Mathematics 11, no. 16: 3614. https://doi.org/10.3390/math11163614
APA StyleQi, Y., & Wang, Y. (2023). Innovating and Pricing Carbon-Offset Options of Asian Styles on the Basis of Jump Diffusions and Fractal Brownian Motions. Mathematics, 11(16), 3614. https://doi.org/10.3390/math11163614

