Abstract
The Ornstein–Uhlenbeck (O-U) process with resetting is considered as the anomalous transport taking place on a three-dimensional comb. The three-dimensional comb is a comb inside a comb structure, consisting of backbones and fingers in the following geometrical correspondence x–backbone →y–fingers–backbone →z–fingers. Realisation of the O-U process on the three-dimensional comb leads to anomalous (non-Markovian) diffusion. This specific anomalous transport in the presence of resets results in non-equilibrium stationary states. Explicit analytical expressions for the mean values and the mean squared displacements along all three directions of the comb are obtained and verified numerically. The marginal probability density functions for each direction are obtained numerically by Monte Carlo simulation of a random transport described by a system of coupled Langevin equations for the comb geometry.
MSC:
60G07; 26A33
1. Introduction
Nowadays, processes employing anomalous diffusion emerging from different types of approaches have been greatly studied. These variations are frequently caused by unique constraints placed on the diffusing particles, such as the properties of the substrate or the nature of interactions between them. Examples of anomalous diffusion include the diffusion on fractals [1], diffusion with random stopping [2], which temporarily stuns particles during their diffusive movements, diffusion in disordered materials [3], protein mobility [4], dynamics of ultracold atoms [5], telomere diffusion in the cell nucleus [6], and diffusion with geometric constraints (comb-like models) [7,8,9,10,11,12], to name but a few, which are characterised by a power-law dependence of the mean squared displacement (MSD) on time, , where is anomalous diffusion exponent. For , the corresponding process is subdiffusive, for – superdiffusive, while for , it is a normal diffusion. Diffusion on comb-like structures is a convenient way to study anomalous diffusion, and it has been extensively explored in the scientific literature, both the two-dimensional comb [13,14,15,16,17,18] and the three-dimensional comb [19,20].
These models have been demonstrated to be helpful in describing anomalous transport through porous solid pellets with different porous geometries [21]. Comb models are used to model electron transport in disordered nanostructured semiconductors [17,22], dispersive transport of charge carriers in two-layer polymers [23], percolative phonon-assisted hopping in two-dimensional disordered systems [24,25], anomalous diffusion of fluorescence recovery after photobleaching in a random comb-model [12], anomalous diffusion of inert compound transport in spiny dendrites [14,26,27], etc. The discovery that turbulent diffusion in a comb appears to be caused by multiplicative noise is another intriguing finding [28,29].
One of the most explored problems for the diffusion process in the last decade is the problem of stochastic resetting, letting the process start from the initial position or any other arbitrary position with a certain probability. The one-dimensional Brownian motion with Markovian resetting was first introduced by Evans and Majumdar [30]. In the following years, the problem of stochastic resetting has been widely explored; see Ref. [31]. In particular, stochastic resetting is extensively investigated in search processes [32,33,34], population dynamics [35], Michaelis–Menten enzymatic reactions [36], human behaviour of finding resources [37], various diffusion processes [38,39,40], geometric Brownian motion [41,42,43], one-dimensional lattices [44,45], and complex networks [46,47], as well as in quantum systems [48,49,50,51]. Experimental realisations of the first passage under stochastic resetting have been demonstrated as well, using holographic optical tweezers [52] or laser traps [53].
A diffusion process that is of great interest, other than the Wiener process, is the Ornstein–Uhlenbeck (O-U) process. The standard and generalised (with and without resetting) O-U process has been studied before; see [54,55,56,57,58,59,60,61]. The O-U process in the presence of stochastic resetting for the first time was analysed by Pal [57], while the O-U process on a two-dimensional comb with and without resetting was first considered in Ref. [62]. In this paper, we further generalise this comb model to three dimensions.
This paper is organised as follows. In Section 2, we analyse the diffusive movement of a particle in a three-dimensional comb-like structure, where instead of Brownian motion as it is considered in Ref. [20], the diffusion is governed by the O-U processes on the backbone (x-direction) and the main fingers (y-direction), while a Brownian motion on the secondary fingers (z-direction) takes place, as is shown in Figure 1. In Section 3, we observe the most common mode of resetting, namely resetting the particle to its initial position, letting the process start anew from the beginning after every reset. In Section 4, we analyse the second form of resetting, which is resetting the particle to the backbone of the comb, given with the coordinates , letting the process evolve uninterrupted along the backbone. At the end, in Section 5, we inspect the third form of stochastic resetting, resetting the particle to the main fingers of the comb. The resetting of the particle is performed to the position , where, in this case, we have the probability for the particle to be reset only in the z-direction, and the diffusion along the x- and y-directions is left undisturbed and continuous. For each of these cases, the differential equations are computed, and from it, the analytical expressions for the mean value and the MSDs are calculated. From the Langevin equations, simulations for the MSDs and the probability density functions are also performed. Discussion and summary are provided in Section 6 and Section 7, respectively. Basic definitions and relations of fractional integral and derivatives and the Mittag–Leffler functions, as well as additional information on the presented analysis of the solution to the Fokker–Planck equation for comb structures, are presented in Appendix A and Appendix B, correspondingly.
Figure 1.
Three-dimensional comb structure with illustrated diffusive movement (orange balls and arrows, simulating movement of the particle) in its structural features, comprised of the backbone (x-axis), main fingers (y-axis), and secondary fingers (z-axis), and depicting the respective processes: Brownian motion (BM) and Ornstein–Uhlenbeck (O-U) in these directions.
2. O-U Processes on Three-Dimensional Comb
Diffusion and random walks on three-dimensional comb structures have been investigated in the literature (see, for example, Refs. [14,15,19,20]). In this paper, we generalise the standard diffusion process on the three-dimensional comb by introducing the following Fokker–Planck equation
with the initial condition at the backbone , and zero boundary conditions at infinity. The solution of this three-dimensional equation is the probability density function (PDF) , which gives the position of the particle in the three-dimensional, geometrically constrained space at time t. The Dirac -functions and mean that the movement in the x-direction is allowed only at and in the y-direction only at , respectively, while in the z-direction, the particle performs normal diffusion. The equation consists of three terms represented by , for the three diffusing directions, respectively, responsible for the fluctuating nature of the diffusion, as well as two deterministic terms represented by , , in control of the mean-reversion in the x- and y-directions. Consequently, the Fokker–Planck operators for the backbone and for the main fingers read
respectively, where is the rate of mean-reversion along the backbone, is the long-term mean reversion value, towards which the process along the backbone is driven to, is the rate of mean-reversion along the fingers, with as the long-term mean reversion value, is the diffusion coefficient along the backbone, is the diffusion coefficient along the main fingers, and is the diffusion coefficient along the secondary fingers. We note that we have omitted the mean-reversion term along the secondary fingers (z-direction) because of the complexity of the analytical calculations that arise if that term is present. We leave it as an interesting problem that can be investigated in the future.
2.1. Fokker–Planck Equations for the Marginal PDFs
In what follows, it is convenient to introduce the marginal PDFs, which are defined by
The Laplace transform, , of Equation (7) yields
We find the solution to Equation (7) using the approach presented in Appendix B. In the first step, we derive the differential equation for the marginal PDF for two directions where , and the outcome of the second step is the derivation of the differential equations for the marginal PDFs for all three directions, presented in Equations (4)–(6). Therefore, for the marginal PDF , defined by
in Laplace space, see Equation (A34) with , we have
Multiplying Equation (10) by and applying the inverse Laplace transform, one obtains the following time-fractional diffusion equation
where is the Riemann–Liouville fractional derivative (A3) of order . Therefore, the fingers along the z-direction are the traps where the particle hinders before it comes back to the main fingers and to the backbone. Since the motion in the z-direction is Brownian, the returning time probability to the main fingers scales as , which is the waiting time PDF, as well. According to a continuous time random walk theory, such behaviour results in the fractional Fokker–Planck equation with the time-fractional derivative of order [2].
The next step is to present the solution of as follows
Following the procedure presented in Appendix B, we arrive at the differential equation in Laplace space for the diffusion on the backbone, Equation (A44),
Multiplying Equation (13) by and then by , we get
where we define the modified mean-reverting rates , , and modified diffusion coefficients , and . Subsequently, the corresponding modified Fokker–Planck operators read
By the inverse Laplace transform of Equation (14), we receive the fractional diffusion equation for diffusion on the backbone
Here is the Riemann–Liouville fractional derivative (A3) of order , and the second term on the right side of the equation contains the Prabhakar derivative in Riemann–Liouville form, see Equation (A14) with .
For diffusion along the main fingers, we get the Fokker–Planck equation for the marginal PDF ; see Ref. [62],
and for the transport along the secondary fingers, we have a standard diffusion equation for Brownian motion, i.e.,
2.2. First Moment and MSD
The mean value and the MSD along the backbone are calculated by multiplying Equation (16) by x and , respectively, and integrating with respect to x, from to . The following equations are obtained,
and
which, by using the integrals at the end of Appendix B, yield
and
Applying the Laplace transform to Equation (22), we obtain
and then its Laplace inversion yields
Here the Laplace transform formula for the three-parameter M-L function is used; see Equation (A13) in Appendix A. For the MSD in Equation (21), in Laplace space, we have
and by the inverse Laplace transform, we obtain
3. Global Resetting
Next, we consider a general approach to the O-U process by resetting the three-dimensional comb. To describe this phenomenon, we introduce the PDF , which describes two independent processes: O-U transport and resetting with the rate r to the fixed position . The latter can be any point on the comb. Here, we consider a global resetting when the point to which we reset is the initial point . This process can be described by both a system of Langevin equations and a diffusion equation. The system of Langevin equations, considered in this section, stands for numerical (Monte Carlo) simulations. Therefore, for the analytical discussion of the problem, we first consider the following partial differential equation
with initial condition and zero boundary conditions at infinity. The only difference with the Fokker–Planck equation in the case of no resetting is that in Equation (27) we have two additional terms. The first one represents the decrease in the probability of the latest position of the particle before the resetting happens , and the second additional term represents the increase in the probability for the particle of being found at the initial position, , where the particle is reset.
3.1. Fokker–Planck Equation for the Marginal PDF
The differential equation for the marginal PDF along the backbone can be found by using the same approach as in the case without resetting. Therefore, one finds
from where the following equation for is obtained
The analysis of the function gives us the expression (A41), in the following form
Therefore, we end up with the differential equation for the marginal PDF along the backbone in Laplace space,
If we multiply both sides of Equation (31) with and then with , we obtain
where by its inverse Laplace space, we acquire the following temporal partial differential equation
This is a fractional differential equation for the transport of the particles along the backbone from where we can see that tempered Riemann–Liouville derivative (A5) and tempered Prabhakar derivative (A6) occur in the equation. From here, one can show that the following equality holds true
which is actually the renewal equation for the marginal PDF; see also [63],
From Equation (34), in the long time limit, one observes that the particle reaches a non-equilibrium stationary state (NESS), given by
For the propagation of the particles along the main fingers in the presence of resetting, we get [62]
where is the so-called tempered Riemann–Liouville fractional derivative (A5) of order , with tempering parameter r. For the secondary fingers, we have
describing a Brownian motion with resetting along the secondary fingers. From these equations for the marginal PDFs along the main fingers and secondary fingers, it can be found that the NESSs are reached in the long time limit; see Ref. [62].
3.2. First Moment and MSD
The mean value and the MSD are obtained from Equation (34) by multiplying it by x and , respectively, and integrating from to over x. Thus, we find
for the mean value, and
for the MSD, where and are defined in Equations (23) and (25). Then, we have
and
From here, the mean and the MSD can be found by numerical inverse Laplace transform in MATHEMATICA [64].
3.3. Numerical Simulations: Coupled Langevin Equations
The diffusive motion with global resetting on the three-dimensional comb structure can be simulated by the following coupled Langevin equations [20,63] (in the case of no resetting, we refer to Refs. [65,66])
for the movement along the backbone,
for the movement along the main fingers, and
for the movement along the secondary fingers.
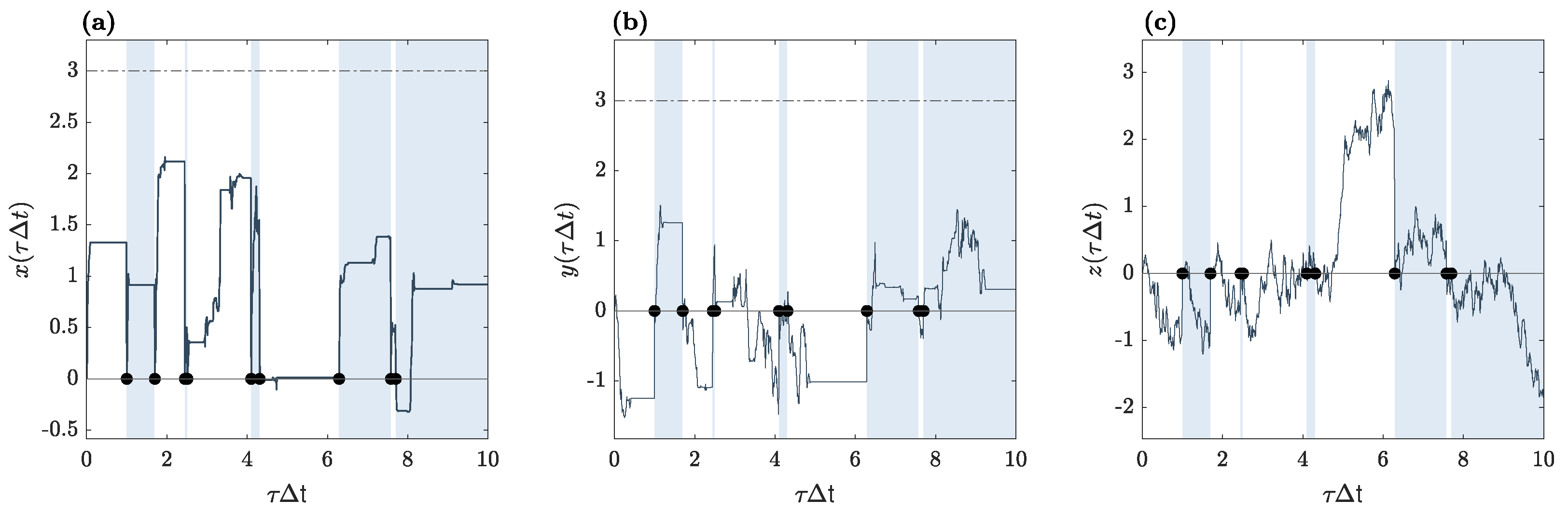
Here , , is the white noise with zero mean, , and correlation function . The functions and are introduced to model Dirac functions, , . We choose such that it must be of order of , where and ; see Ref. [62]. The factor of 2 is introduced for the technical reason to compensate for the additional degree of freedom, z. It allows the particle to make the correct motion on the main fingers in the y-direction and still be able to enter the secondary fingers in the z-direction. This is illustrated in Figure 2, where the red dots and arrows represent successive movements of the particle inside the comb structure. For the simulations of the marginal PDF along the backbone, the diffusion coefficient along the backbone and the mean-reverting rate are renormalised by factor ; see Refs. [20,63]. The simulated trajectories are presented in Figure 3.
Figure 2.
Visual representation explaining the rationale behind the inclusion of a factor of 2 in , where is defined in Ref. [62]. The red arrows and points illustrate the consecutive movements of the particle in the comb structure.
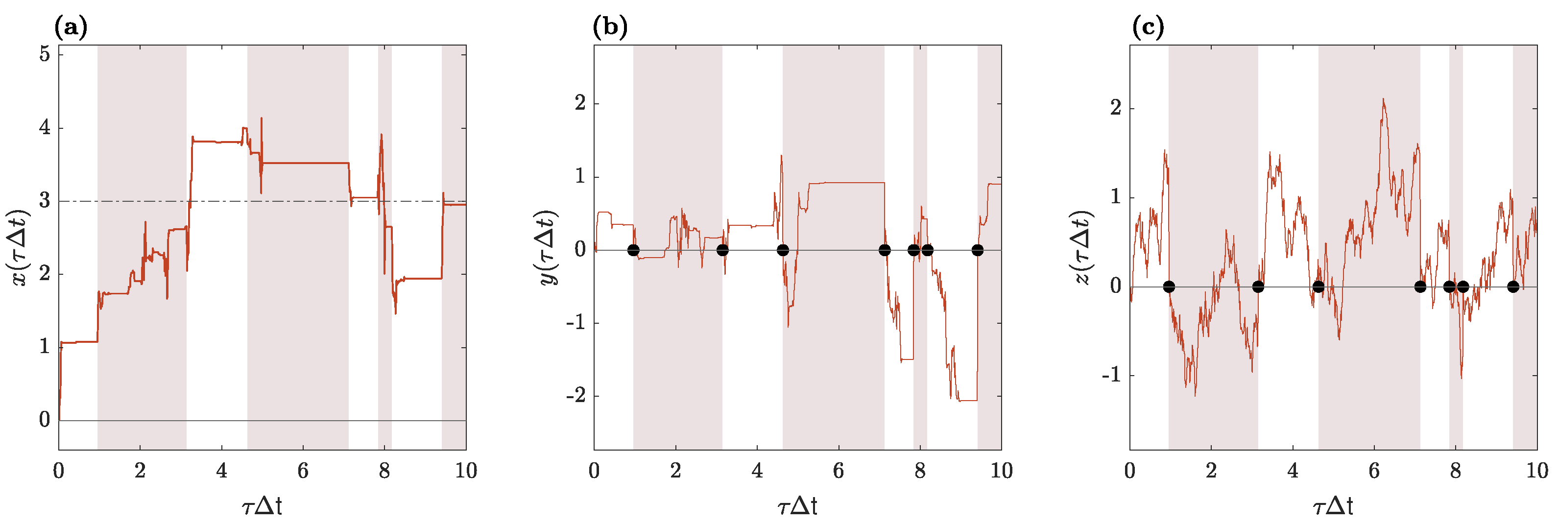
Figure 3.
Typical trajectories of the particles on the backbone (a), the main fingers (b), and secondary fingers (c) according to the Langevin Equations (43)–(45), where the black dots stand for the resetting events and the shaded and white areas represent the time between two consecutive resetting events, for , , , , , , .
4. Resetting to the Backbone
As admitted above, the three-dimensional comb suggests different resetting algorithms due to the arbitrariness of the resetting point. Therefore, besides global resetting to the initial position, one can consider another possibility of the resets. In particular, here we consider resetting to the backbone when . In this scenario, the O-U process takes place in the x- and y-directions, while Brownian motion is in the z-direction, as depicted in Figure 1. This process is described by the following equation
with the initial condition, , and zero boundary conditions at infinity, where the last term, , gives us the mechanism of resetting to the backbone.
4.1. Fokker–Planck Equation for the Marginal PDF
This equation can be solved by using the same approach as the one presented in Appendix B. We present the solution of in the form
where
Then, in Laplace space, Equation (46) becomes
where we use . Next, from Equation (A41), we find that the expressions of and are the same as in the case of global resetting,
and
where . In Laplace space, for the marginal PDF in the x-direction, we obtain the equation
If we multiply both sides of Equation (52), first with and then with , we have
By inverse Laplace transform, we get the equation in temporal space in the following way
where truncated power-law and truncated M-L memory kernels occur in the equation.
4.2. First Moment and MSD
Now the mean value and the MSD are defined by Equation (54), and the standard procedure described in the previous section results in
for the mean value, and
for the MSD, correspondingly. The analytical transformation of the mean value and MSD in time representation is a complex operation and is left for further deliberation and analysis, and instead, in this paper, we use the numerical inverse Laplace transform of Equations (55) and (56) in MATHEMATICA [64].
4.3. Numerical Simulations: Coupled Langevin Equations
In complete analogy with Section 3.3, diffusion with resetting to the backbone can be simulated by the following coupled Langevin equations
for the movement along the backbone,
for the movement along the main fingers, and
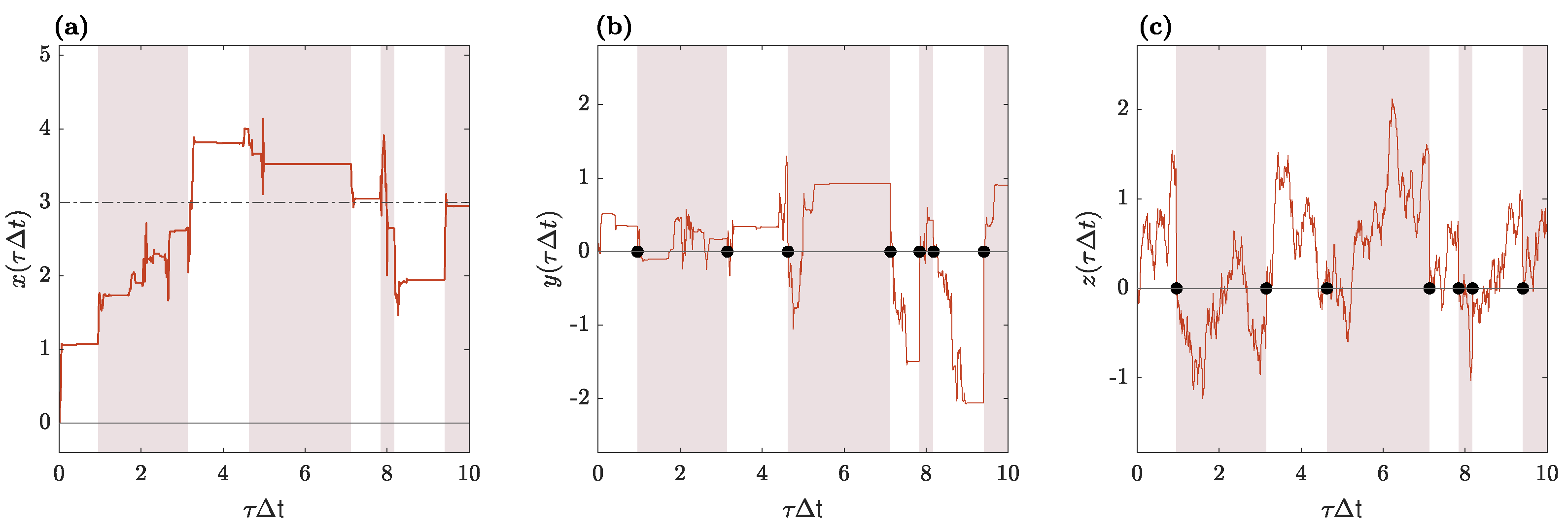
for the movement along the secondary fingers. Here, , , is the white noise with zero mean, , and correlation function , and and are the approximations of the Dirac functions as defined above in Section 3.3. The essential difference from the case of global resetting is in the movement along the main backbone, which reflects the difference between the Langevin Equations (43) and (57), where resets to the initial position are absent. The simulated trajectories are reflected in Figure 4.
Figure 4.
Typical trajectories of the particle on the backbone (a), the main fingers (b), and secondary fingers (c) according to the Langevin Equations (57)–(59), where the black dots stand for the resetting events and the shaded and white areas represent the time between two consecutive resetting events, for , , , , , , .
5. Resetting to the Main Fingers
Finally, we studied the third mechanism of resetting the particle diffusing on comb-like structures, which is the mechanism of resetting to the main fingers with coordinates , letting the process evolve in the x- and y-directions without interruption. The partial differential equation for this process is given by the equation
with initial condition and zero boundary conditions at infinity.
5.1. Fokker–Planck Equation for the Marginal PDF
Again, we utilise the approach elaborated upon in Appendix B. The only difference from the other modes of resetting is the last term, given by , where the Dirac function indicates that the particle is reset only on the main fingers in the z-direction. Therefore, in Laplace space, we obtain
Following the same procedure as before, we end up with an equation in Laplace space for the marginal PDF ,
In order to get the equation for the marginal PDF in the x-direction, we present the solution in the form
Substituting for , we obtain
If we multiply Equation (66) by and , we have
With the inverse Laplace transform of Equation (67), we obtain the Fokker–Planck equation for the marginal PDF along the backbone,
where with is the memory kernel.
5.2. First Moment and MSD
We calculate the mean value and the MSD by means of the standard procedure described above, from where we obtain
for the mean value, and
for the MSD. The final MSD can be obtained by numerical inverse Laplace transform in MATHEMATICA [64].
5.3. Numerical Simulations: Coupled Langevin Equations
For simulation purposes, here we also employed the coupled Langevin equations approach. Thus, we have
for the movement along the backbone,
for the movement along the main fingers, and
for the movement along the secondary fingers. The typical trajectories along all three directions are given in Figure 5.
Figure 5.
Typical trajectories of the particle on the backbone (a), the main fingers (b), and secondary fingers (c) according to the Langevin Equations (71)–(73), where the black dots stand for the resetting events and the shaded and white areas represent the time between two consecutive resetting events, for , , , , , , .
6. Discussion
The results of the numerical calculation of the MSDs and the marginal PDFs obtained in the previous sections are collected in Figure 6, Figure 7 and Figure 8. The main conclusion is as follows. Resetting strongly affects the O-U process on the three-dimensional comb. In particular, there is a localisation of the particles along the backbone in the presence of resetting, which leads to saturation of the MSDs for all of the scenarios considered in Section 3, Section 4 and Section 5. In what follows, we discuss these scenarios.
Figure 6.
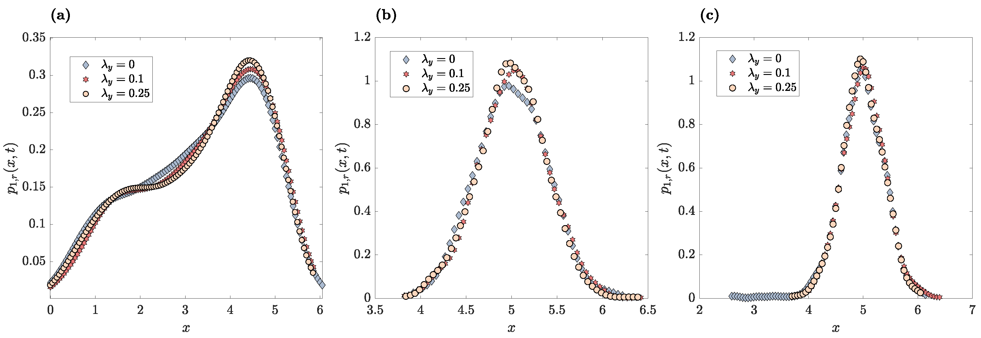
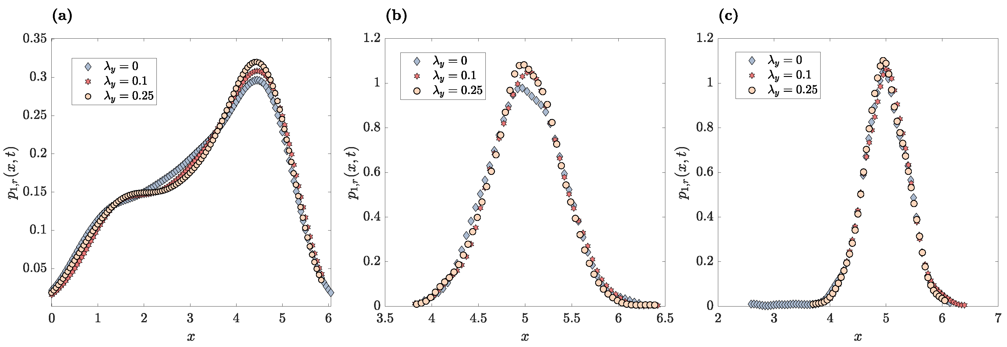
(a) Analytical results (42) (solid lines) and Monte Carlo simulations (43)–(45) (markers) for the MSDs in the case of global resetting; (b) Simulations for the PDFs with different resetting rates of the global resetting to the initial position; (c) Analytical results (56) (solid lines) and Monte Carlo simulations (57)–(59) (markers) for the MSDs in the case of resetting to the backbone of the comb; (d) Simulations for the PDFs with different resetting rates of the resetting mechanism to the backbone of the comb; (e) Analytical results (70) (solid lines) and Monte Carlo simulations (71)–(73) (markers) for the MSDs in the case of resetting to the main fingers; (f) Simulations for the PDFs with different resetting rates of the resetting mechanism to the main fingers of the comb. For the analytical results, we use the Stehfest numerical inverse Laplace transform in MATHEMATICA [64]. We set , , , , , , .
Figure 7.
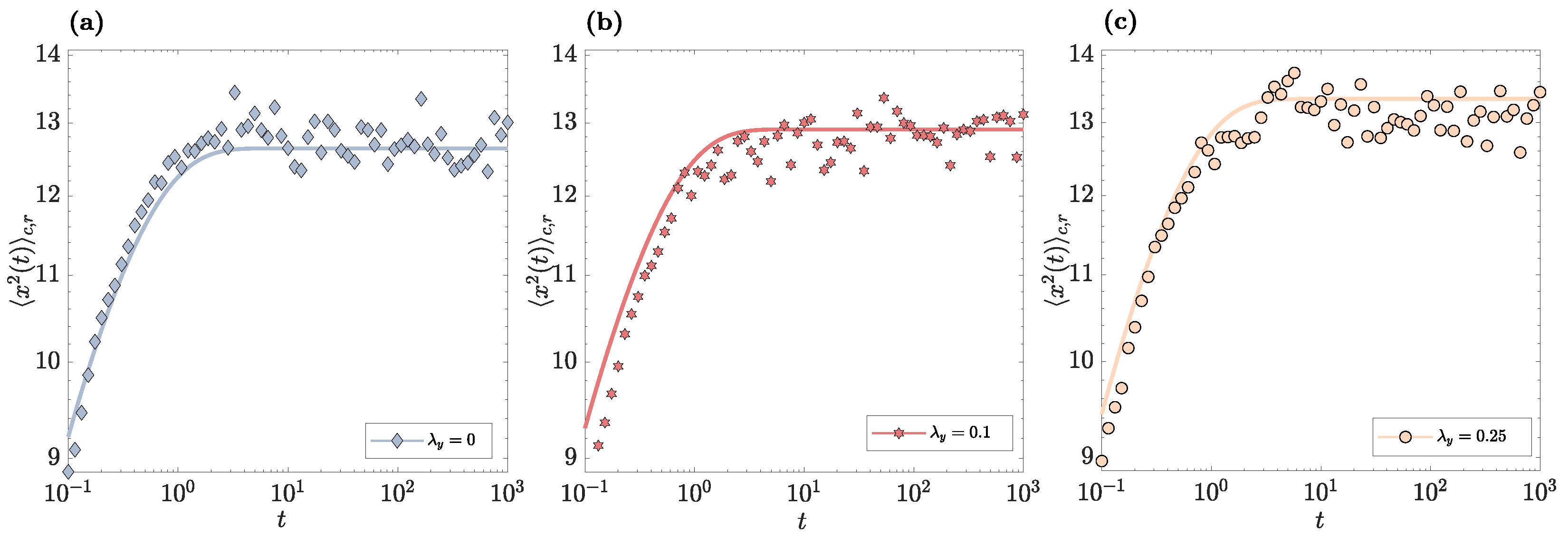
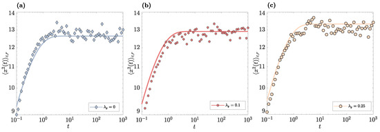
Analytical results for the MSD along the backbone (42) (solid lines) and simulation results (markers) according to the coupled Langevin Equations (43)–(45), for different mean-reverting rates , in the case of global resetting. On the left panel (a) , the central panel (b) and on the right panel (c), where an increase in MSD is visible for larger . We set , , , , , , , .
Figure 8.
Monte Carlo simulations of the PDF, according to the coupled Langevin equations in the case of (a) Global resetting, Equations (43)–(45); (b) Resetting to the backbone, Equations (57)–(59); (c) Resetting to the main fingers, Equations (71)–(73), for different mean-reverting rates . We set , , , , , , , .
From Figure 3, Figure 4 and Figure 5, one can conclude that the waiting times for the movement in x-direction are longer than those for the y-direction in every type of resetting mechanism, as it is expected, since the time spent by the particle while moving along the fingers and secondary fingers can be considered as a waiting time for the movement along the backbone, while the time spent by the particle in the secondary fingers can be considered as a waiting time for the movement along the main fingers. Of great interest is the observation that the duration of these waiting times for the movement in the x-direction is shortest for the case of global resetting, longer in the case of resetting to the backbone, and longest in the case of resetting to the main fingers. This means that the type of resetting mechanism have significant impact on the time the particle spends being trapped in the main and secondary fingers.
In the left panels of Figure 6, the analytical results for the MSDs are presented, which are confirmed with Monte Carlo simulations, and in the right panels, the Monte Carlo simulations for the marginal PDFs are depicted, using the same parameters as for the MSDs. The analytical results of the MSD in temporal form are computed using the numerical (Stehfest) inverse Laplace transform [64]. The results displayed are for the three different modes of resetting, namely: global resetting, Figure 6a,b, resetting to the backbone, Figure 6c,d, and resetting to the main fingers, Figure 6e,f, for three different rates of resetting .
From the results for the MSDs and the PDFs depicted in Figure 6, we can conclude the following. In the case of global resetting to the initial position , the increase in the resetting rate is characterised by a decrease in the overall MSD, and the particle achieves the stationary state much faster, and from its PDF, it is evident that with a rise in the resetting rate r, the probability of the particle of being found around the initial position also increases. In the event of resetting to the backbone and the main fingers, the opposite is the case. The MSDs of the processes climb with larger resetting rates, but the behaviour of achieving the stationary state remains the same; namely, the speed of establishment of the stationary state is proportional to the increase in the resetting rate, even though the value of the stationary state remains the same regardless of the value of the resetting rate. We can also say that the stationary state is established faster in the case of resetting to the backbone than the one with resetting to the main fingers, as is evident in Figure 6c,e. As can be seen in Figure 6d,f, the marginal PDF for the diffusion on the backbone is not strongly dependent on whether we choose resetting to the backbone or main fingers and exhibits very similar behaviour with both modes of resetting. In both cases, with an increase in the resetting rate r, the probability of the particle of being found near the long-term mean value is larger, and the probability of being found in the vicinity of the initial position decreases, something that is completely opposite to the behaviour when we have global resetting.
From Figure 7, it can be concluded that the saturation value of the MSD increases with the increase in the mean reverting rate in the y-direction in the case of global resetting of the system. In Figure 8, we see that the PDFs for the particles to be found at the long-term mean value also rise with the increase in the mean-reverting rate for all three modes of resetting.
7. Summary
In this work, we analyse the O-U processes on a three-dimensional comb without and with resetting. Three different resetting mechanisms were used: global resetting, resetting to the backbone, and resetting to the fingers. From the corresponding Fokker–Planck equation, analytical results of the MSD are obtained, and the PDF is analysed in Laplace space from where one can obtain the NESS, which is reached in the long time limit. Numerical simulations of the MSD and PDF are performed with the help of coupled Langevin equations for the comb geometry. The influence of the comb geometry, resetting rate and the bounding potential on the particle dynamics is analysed. Due to the application of the Ornstein–Uhlenbeck process in the description of diffusing particles in harmonic potential in physics, as well as in the description of interest and currency exchange rates in economics, we believe that the considered models on comb structures can be of interest in the description of the corresponding anomalous diffusive processes in complex systems that occur as a result of particle trapping, long-tailed waiting times, and resetting mechanisms.
Author Contributions
Conceptualisation, P.T. and P.J.; methodology, P.T., P.J., L.K. and T.S.; software, P.T. and P.J.; validation, P.T., P.J. and T.S.; formal analysis, P.T., P.J., L.K. and T.S.; investigation, P.T., P.J. and T.S.; writing—original draft preparation, P.T., P.J., L.K. and T.S.; writing—review and editing, P.T., P.J., L.K. and T.S.; visualisation, P.T. and P.J.; supervision, L.K. and T.S. All authors have read and agreed to the published version of the manuscript.
Funding
The Authors acknowledge financial support by the German Science Foundation (DFG, Grant number ME 1535/12-1). This work is also supported by the Alliance of International Science Organizations (Project No. ANSO-CR-PP-2022-05). TS was supported by the Alexander von Humboldt Foundation.
Data Availability Statement
No new data have been produced for this work.
Acknowledgments
The authors thank Alexander Iomin for helpful suggestions and critical reading of the manuscript.
Conflicts of Interest
The authors declare no conflict of interest.
Abbreviations
The following abbreviations are used in this manuscript:
| O-U | Ornstein–Uhlenbeck |
| BM | Brownian motion |
| Probability density function | |
| MSD | Mean squared displacement |
| M-L | Mittag–Leffler |
| NESS | Non-equilibrium stationary state |
Appendix A. Fractional Calculus and Related Mittag–Leffler Functions
The Riemann–Liouville fractional integral of order is defined by [67]
such that for it is
The Riemann–Liouville fractional derivative of order is defined as a derivative of the Riemann–Liouville fractional integral of a function [67],
while the Caputo fractional derivative of order is defined as the Riemann–Liouville fractional integral of the first derivative of a function [67],
The tempered Riemann–Liouville fractional derivative of order with tempering parameter r is defined by [68,69]
The tempered Prabhakar derivative in Riemann–Liouville form is defined by [69]
where is a three-parameter M-L function (A7). For it becomes the Prabhakar derivative in Riemann–Liouville form.
The three-parameter M-L function (also known as a Prabhakar function) is defined by [70]
where , , is the Pochhammer symbol
It is a generalisation of the two-parameter M-L function
and the one-parameter M-L function
The associated three-parameter M-L function is defined by
with , , and the corresponding Laplace transform reads [70]
where .
For the three-parameter M-L function the following Laplace transform formula also holds true [71,72]
For the truncated three-parameter M-L memory kernel the Laplace transform is given with
The associated multinomial M-L function is defined as follows
where
is the multinomial M-L function [73,74], and
are the multinomial coefficients. The associated multinomial M-L function can be obtained by the following inverse Laplace transform [73,74]
From the definition of the associated multinomial M-L function (A15), one finds that for (i.e., , ) it corresponds to the associated two-parameter M-L function,
Moreover, for , applying the series expansion approach (see Ref. [75]), we have [68]
where we also use the Laplace transform (A12) of the associated three-parameter M-L function. Thus, the associated multinomial M-L function (A15) reduces to infinite series of the associated three-parameter M-L functions (A11), which is shown to be convergent (see Appendix C in Ref. [76] and Ref. [77]).
Appendix B. Solving the Corresponding Equations
Let us analyse the following differential equation.
We define the marginal PDFs as follows
The Laplace transform of Equation (A20) yields
The solution is presented in the following form
which yields the backbone marginal PDF
Taking into account , where is the Heaviside theta function, one obtains
By using , we obtain
Thus, we arrive at the system of two equations. One equation is comprised of all the terms with the Dirac function , and the other one with the expressions where the Dirac function is not present, i.e.,
and
From Equations (A36) and (A31), we derive
Substituting the results for and into Equation (A32), and by multiplying the equation on both sides with , we receive
In order to find the differential equations for the marginal PDF in the x-direction, we present the solution, , in the following form
which yields
By using , where is the Heaviside theta function, one obtains
By using the property of the Heaviside function: , we obtain
Thus, we arrive at the system of two equations. The first one is a quadratic equation
with solution
where we take only the solution with the positive part, and the second one is
From Equations (A41), (A36), and (A42) we receive
where we used the property of the Dirac function . Now, if we multiply Equation (A43) with and transfer the term on the right side of the equation, we receive
The integrals used for computing the mean value and the MSD are calculated with the method of partial integration and are given as follows
References
- Klafter, J.; Zumofen, G.; Blumen, A. On the propagator of Sierpinski gaskets. J. Phys. A Math. Gen. 1991, 24, 4835. [Google Scholar] [CrossRef]
- Metzler, R.; Klafter, J. The random walk’s guide to anomalous diffusion: A fractional dynamics approach. Phys. Rep. 2000, 339, 1. [Google Scholar] [CrossRef]
- Bouchaud, J.P.; Georges, A. Anomalous diffusion in disordered media: Statistical mechanisms, models and physical applications. Phys. Rep. 1990, 195, 127. [Google Scholar] [CrossRef]
- Jeon, J.-H.; Javanainen, M.; Martinez-Seara, H.; Metzler, R.; Vattulainen, I. Protein crowding in lipid bilayers gives rise to non-Gaussian anomalous lateral diffusion of phospholipids and proteins. Phys. Rev. X 2016, 6, 021006. [Google Scholar] [CrossRef]
- Sagi, Y.; Brook, M.; Almog, I.; Davidson, N. Observation of anomalous diffusion and fractional self-similarity in one dimension. Phys. Rev. Lett. 2012, 108, 093002. [Google Scholar] [CrossRef]
- Bronstein, I.; Israel, Y.; Kepten, E.; Mai, S.; Shav-Tal, Y.; Barkai, E.; Garini, Y. Transient anomalous diffusion of telomeres in the nucleus of mammalian cells. Phys. Rev. Lett. 2009, 103, 018102. [Google Scholar] [CrossRef]
- Iomin, A.; Mendez, V.; Horsthemke, W. Fractional Dynamics in Comb-like Structures; World Scientific: Singapore, 2018. [Google Scholar]
- Tateishi, A.; Lenzi, E.; Ribeiro, H.; Evangelista, L.; Mendes, R.; da Silva, L.R. Solutions for a diffusion equation with a backbone term. J. Stat. Mech. 2011, 2011, P02022. [Google Scholar] [CrossRef]
- Arkhincheev, V.; Baskin, E. Anomalous diffusion and drift in a comb model of percolation clusters. Soviet. Phys. JETP 1991, 73, 161. [Google Scholar]
- Agliari, E.; Cassi, D.; Cattivelli, L.; Sartori, F. Two-particle problem in comblike structures. Phys. Rev. E 2016, 93, 052111. [Google Scholar] [CrossRef]
- Ball, R.; Havlin, S.; Weiss, G. Non-Gaussian random walks. J. Phys. A Math. Gen. 1987, 20, 4055. [Google Scholar] [CrossRef]
- Yuste, S.B.; Abad, E.; Baumgaertner, A. Anomalous diffusion and dynamics of fluorescence recovery after photobleaching in the random-comb model. Phys. Rev. E 2016, 94, 012118. [Google Scholar] [CrossRef]
- ben-Avraham, D.; Havlin, S. Diffusion and Reactions in Fractals and Disordered Systems; Cambridge University Press: Cambridge, UK, 2000. [Google Scholar]
- Mendez, V.; Iomin, A. Comb-like models for transport along spiny dendrites. Chaos Solitons Fractals 2013, 53, 46. [Google Scholar] [CrossRef]
- Weiss, G.; Havlin, S. Some properties of a random walk on a comb structure. Phys. A 1986, 134, 474. [Google Scholar] [CrossRef]
- Petreska, I.; de Castro, A.; Sandev, T.; Lenzi, E. The time-dependent Schrödinger equation in three dimensions under geometric constraints. J. Math. Phys. 2019, 60, 032101. [Google Scholar] [CrossRef]
- Sibatov, R.; Morozova, E.; Svetukhin, V. Multiple trapping on a comb structure as a model of electron transport in disordered nanostructured semiconductors. J. Exp. Theor. Phys. 2015, 120, 860. [Google Scholar] [CrossRef]
- dos Santos, A.F.M. Comb Model with Non-Static Stochastic Resetting and Anomalous Diffusion. Fractal Fract. 2020, 4, 28. [Google Scholar] [CrossRef]
- Lenzi, E.; Sandev, T.; Ribeiro, H.; Jovanovski, P.; Iomin, A.; Kocarev, L. Anomalous diffusion and random search in xyz-comb: Exact results. J. Stat. Mech. 2020, 2020, 053203. [Google Scholar] [CrossRef]
- Domazetoski, V.; Masó-Puigdellosas, A.; Sandev, T.; Méndez, V.; Iomin, A.; Kocarev, L. Stochastic resetting on comblike structures. Phys. Rev. Res. 2020, 2, 033027. [Google Scholar] [CrossRef]
- Zhokh, A.; Trypolskyi, A.; Strizhak, P. Relationship between the anomalous diffusion and the fractal dimension of the environment. Chem. Phys. 2018, 503, 71. [Google Scholar] [CrossRef]
- Uchaikin, V.V.; Sibatov, R. Fractional Kinetics in Solids: Anomalous Charge Transport in Semiconductors, Dielectrics, and Nanosystems; World Scientific: Singapore, 2013. [Google Scholar]
- Sibatov, R.; Morozova, E. On Theory of dispersive transport in a two-layer polymer structure. Russ. Phys. J. 2016, 59, 722. [Google Scholar] [CrossRef]
- Sibatov, R.T. Fractal generalization of the Scher–Montroll model for anomalous transit-time dispersion in disordered solids. Mathematics 2020, 8, 1991. [Google Scholar] [CrossRef]
- Sibatov, R.; Shulezhko, V.; Svetukhin, V. Fractional derivative phenomenology of percolative phonon-assisted hopping in two-dimensional disordered systems. Entropy 2017, 19, 463. [Google Scholar] [CrossRef]
- Iomin, A.; Méndez, V. Reaction-subdiffusion front propagation in a comblike model of spiny dendrites. Phys. Rev. E 2013, 88, 012706. [Google Scholar] [CrossRef] [PubMed]
- Wang, Z.; Zheng, L.; Sun, Y. The double fractional Cattaneo model on anomalous transport of compounds in spiny dendrites structure. J. Stat. Mech. 2020, 2020, 093203. [Google Scholar] [CrossRef]
- Baskin, E.; Iomin, A. Superdiffusion on a comb structure. Phys. Rev. Lett. 2004, 93, 120603. [Google Scholar] [CrossRef] [PubMed]
- Sandev, T.; Iomin, A.; Kocarev, L. Hitting times in turbulent diffusion due to multiplicative noise. Phys. Rev. E 2020, 102, 042109. [Google Scholar] [CrossRef] [PubMed]
- Evans, M.R.; Majumdar, S.N. Diffusion with stochastic resetting. Phys. Rev. Lett. 2011, 106, 160601. [Google Scholar] [CrossRef]
- Evans, M.R.; Majumdar, S.N.; Schehr, G. Stochastic resetting and applications. J. Phys. A Math. Theor. 2020, 53, 193001. [Google Scholar] [CrossRef]
- Campos, D.; Méndez, V. Phase transitions in optimal search times: How random walkers should combine resetting and flight scales. Phys. Rev. E 2015, 92, 062115. [Google Scholar] [CrossRef]
- Bartumeus, F.; Catalan, J. Optimal search behavior and classic foraging theory. J. Phys. A Math. Theor. 2009, 42, 434002. [Google Scholar] [CrossRef]
- Pal, A.; Kuśmierz, Ł.; Reuveni, S. Search with home returns provides advantage under high uncertainty. Phys. Rev. Res. 2020, 2, 043174. [Google Scholar] [CrossRef]
- Visco, P.; Allen, R.J.; Majumdar, S.N.; Evans, M.R. Switching and growth for microbial populations in catastrophic responsive environments. Biophys. J. 2010, 98, 1099. [Google Scholar] [CrossRef] [PubMed]
- Reuveni, S.; Urbakh, M.; Klafter, J. Role of substrate unbinding in Michaelis–Menten enzymatic reactions. Proc. Natl. Acad. Sci. USA 2014, 111, 4391. [Google Scholar] [CrossRef]
- Bell, W.J. Searching Behaviour: The Behavioural Ecology of Finding Resources; Springer Science & Business Media: New York, NY, USA, 2012. [Google Scholar]
- Pal, A.; Kundu, A.; Evans, M.R. Diffusion under time-dependent resetting. J. Phys. A Math. Theor. 2016, 49, 225001. [Google Scholar] [CrossRef]
- Kuśmierz, Ł.; Gudowska-Nowak, E. Subdiffusive continuous-time random walks with stochastic resetting. Phys. Rev. E 2019, 99, 052116. [Google Scholar] [CrossRef]
- Tucci, G.; Gambassi, A.; Gupta, S.; Roldán, E. Controlling particle currents with evaporation and resetting from an interval. Phys. Rev. Res. 2020, 2, 043138. [Google Scholar] [CrossRef]
- Stojkoski, V.; Sandev, T.; Kocarev, L.; Pal, A. Autocorrelation functions and ergodicity in diffusion with stochastic resetting. J. Phys. A Math. Theor. 2022, 55, 104003. [Google Scholar] [CrossRef]
- Vinod, D.; Cherstvy, A.G.; Wang, W.; Metzler, R.; Sokolov, I.M. Nonergodicity of reset geometric Brownian motion. Phys. Rev. E 2022, 105, L012106. [Google Scholar] [CrossRef]
- Stojkoski, V.; Jolakoski, P.; Pal, A.; Sandev, T.; Kocarev, L.; Metzler, R. Income inequality and mobility in geometric Brownian motion with stochastic resetting: Theoretical results and empirical evidence of non-ergodicity. Philos. Trans. R. Soc. A 2022, 380, 20210157. [Google Scholar] [CrossRef]
- Christophorov, L.N. Resetting random walks in one-dimensional lattices with sinks. J. Phys. A Math. Theor. 2022, 55, 155006. [Google Scholar] [CrossRef]
- Bonomo, O.L.; Pal, A. First passage under restart for discrete space and time: Application to one-dimensional confined lattice random walks. Phys. Rev. E 2021, 103, 052129. [Google Scholar] [CrossRef]
- Riascos, A.P.; Boyer, D.; Herringer, P.; Mateos, J.L. Random walks on networks with stochastic resetting. Phys. Rev. E 2020, 101, 062147. [Google Scholar] [CrossRef]
- Huang, F.; Chen, H. Random walks on complex networks with first-passage resetting. Phys. Rev. E 2021, 103, 062132. [Google Scholar] [CrossRef]
- Mukherjee, B.; Sengupta, K.; Majumdar, S.N. Quantum dynamics with stochastic reset. Phys. Rev. B 2018, 98, 104309. [Google Scholar] [CrossRef]
- Rose, D.C.; Touchette, H.; Lesanovsky, I.; Garrahan, J.P. Spectral properties of simple classical and quantum reset processes. Phys. Rev. E 2018, 98, 022129. [Google Scholar] [CrossRef]
- Perfetto, G.; Carollo, F.; Magoni, M.; Lesanovsky, I. Designing nonequilibrium states of quantum matter through stochastic resetting. Phys. Rev. B 2021, 104, L180302. [Google Scholar] [CrossRef]
- Yin, R.; Barkai, R. Instability in the quantum restart problem. arXiv 2023, arXiv:2301.06100. [Google Scholar]
- Tal-Friedman, O.; Pal, A.; Sekhon, A.; Reuveni, S.; Roichman, Y. Experimental realization of diffusion with stochastic resetting. J. Phys. Chem. Lett. 2020, 11, 7350. [Google Scholar] [CrossRef] [PubMed]
- Besga, B.; Bovon, A.; Petrosyan, A.; Majumdar, S.N.; Ciliberto, S. Optimal mean first-passage time for a Brownian searcher subjected to resetting: Experimental and theoretical results. Phys. Rev. Res. 2020, 2, 032029. [Google Scholar] [CrossRef]
- Ornstein, L.S. On the Brownian motion. Proc. Acad. Amst. 1919, 21, 96. [Google Scholar]
- Uhlenbeck, G.E.; Ornstein, L.S. On the theory of the Brownian motion. Phys. Rev. 1930, 36, 823. [Google Scholar] [CrossRef]
- Meylahn, J.M.; Sabhapandit, S.; Touchette, H. Large deviations for Markov processes with resetting. Phys. Rev. E 2015, 92, 062148. [Google Scholar] [CrossRef]
- Pal, A. Diffusion in a potential landscape with stochastic resetting. Phys. Rev. E 2015, 91, 012113. [Google Scholar] [CrossRef] [PubMed]
- Singh, P.; Pal, A. Extremal statistics for stochastic resetting systems. Phys. Rev. E 2021, 103, 052119. [Google Scholar] [CrossRef] [PubMed]
- Smith, N.R. Anomalous scaling and first-order dynamical phase transition in large deviations of the Ornstein-Uhlenbeck process. Phys. Rev. E 2022, 105, 014120. [Google Scholar] [CrossRef]
- Smith, N.R.; Majumdar, S.N. Condensation transition in large deviations of self-similar Gaussian processes with stochastic resetting. J. Stat. Mech. 2022, 2022, 053212. [Google Scholar] [CrossRef]
- Goerlich, R.; Li, M.; Albert, S.; Manfredi, G.; Hervieux, P.A.; Genet, C. Noise and ergodic properties of Brownian motion in an optical tweezer: Looking at regime crossovers in an Ornstein-Uhlenbeck process. Phys. Rev. E 2021, 103, 032132. [Google Scholar] [CrossRef]
- Trajanovski, P.; Jolakoski, P.; Zelenkovski, K.; Iomin, A.; Kocarev, L.; Sandev, T. Ornstein-Uhlenbeck process and generalizations: Particle dynamics under comb constraints and stochastic resetting. Phys. Rev. E 2023, 107, 054129. [Google Scholar] [CrossRef]
- Sandev, T.; Domazetoski, V.; Iomin, A.; Kocarev, L. Diffusion–advection equations on a comb: Resetting and random search. Mathematics 2021, 9, 221. [Google Scholar] [CrossRef]
- Mallet, A. Numerical Inversion of Laplace Transform, 2000. Wolfram Library Archive. 2015. Available online: http://library.wolfram.com/infocenter/MathSource/2691 (accessed on 10 July 2023).
- Méndez, V.; Iomin, A.; Horsthemke, W.; Campos, D. Langevin dynamics for ramified structures. J. Stat. Mech. 2017, 2017, 063205. [Google Scholar] [CrossRef]
- Ribeiro, H.V.; Tateishi, A.A.; Alves, L.G.A.; Zola, R.S.; Lenzi, E.K. Investigating the interplay between mechanisms of anomalous diffusion via fractional Brownian walks on a comb-like structure. New J. Phys. 2014, 16, 093050. [Google Scholar] [CrossRef]
- Prudnikov, A.P.; Bryckov, J.A.; Maricev, O.I. Integrals and Series Vol. 3: More Special Functions; Gordon and Breach: Amsterdam, The Netherlands, 2003. [Google Scholar]
- Sandev, T.; Iomin, A. Special Functions of Fractional Calculus: Applications to Diffusion and Random Search Processes; World Scientific: Singapore, 2022. [Google Scholar]
- Sandev, T. Generalized Langevin equation and the Prabhakar derivative. Mathematics 2017, 5, 66. [Google Scholar] [CrossRef]
- Prabhakar, T.R. A singular integral equation with a generalized Mittag-Leffler function in the kernel. Yokohama Math. J. 1971, 19, 7. [Google Scholar]
- Tomovski, Z.; Hilfer, R.; Srivastava, H.M. Fractional and operational calculus with generalized fractional derivative operators and Mittag–Leffler type functions. Integral Transform. Spec. Funct. 2010, 21, 797. [Google Scholar] [CrossRef]
- Sandev, T.; Tomovski, Z. Fractional Equations and Models; Springer: Cham, Switzerland, 2019. [Google Scholar]
- Luchko, Y.; Gorenflo, R. An operational method for solving fractional differential equations with the Caputo derivatives. Acta Math. Vietnam. 1999, 24, 207. [Google Scholar]
- Hilfer, R.; Luchko, Y.; Tomovski, Z. Operational method for the solution of fractional differential equations with generalized Riemann-Liouville fractional derivatives. Fract. Calc. Appl. Anal. 2009, 12, 299. [Google Scholar]
- Podlubny, I. Fractional Differential Equations: An Introduction to Fractional Derivatives, Fractional Differential Equations, Some Methods of Their Solution and Some of Their Applications; Academic Press: San Diego, CA, USA, 1998. [Google Scholar]
- Sandev, T.; Tomovski, Z.; Dubbeldam, J.L.A. Generalized Langevin equation with a three parameter Mittag-Leffler noise. Physica A 2011, 390, 3627. [Google Scholar] [CrossRef]
- Paneva-Konovska, J. From Bessel to Multi-Index Mittag-Leffler Functions: Enumerable Families, Series in Them and Convergence; World Scientific: Singapore, 2016. [Google Scholar]
Disclaimer/Publisher’s Note: The statements, opinions and data contained in all publications are solely those of the individual author(s) and contributor(s) and not of MDPI and/or the editor(s). MDPI and/or the editor(s) disclaim responsibility for any injury to people or property resulting from any ideas, methods, instructions or products referred to in the content. |
© 2023 by the authors. Licensee MDPI, Basel, Switzerland. This article is an open access article distributed under the terms and conditions of the Creative Commons Attribution (CC BY) license (https://creativecommons.org/licenses/by/4.0/).







