Analysis of U-V2X Communications with Non-Clustered and Clustered Jamming in the Presence of Fluctuating UAV Beam Width
Abstract
1. Introduction
1.1. Related Works
1.2. Contributions and Organization
- The work in [34] focused on jamming in aerial heterogeneous networks without considering UAV’s fluctuating beam width and mm-Waves for vehicular communications. Moreover, this work focused on jamming in U-V2X communications by considering mm-Waves and UAV’s fluctuating antenna beam width.
- The work in [14] explored C-V2X communications with micro-waves and jamming interference; this work specifically examined U-V2X communications with mm-Waves, taking into account both jamming interference and the fluctuating UAV beam width.
- The work in [9] concentrated on UAV beam-width fluctuations in U-V2X communications and their impact on success probability without considering jamming interference; this study focused on both jamming interference and UAV beam-width fluctuations in U-V2X communications, evaluating their impact on OP. Additionally, this research examined the effects of both non-clustered and clustered jammers on network performance. Furthermore, this work suggests prioritizing the implementation of anti-jamming techniques for non-clustered jammers with a higher probability rather than focusing solely on clustered jammers.
- The U-V2X system employing non-clustered and clustered jamming signals is presented, which faces disturbances owing to fluctuating 3D antenna beam width. Under this system, VNs communicate with adjacent VNs in their vicinity via a V2V connection or with UAVs via a V2U connection, taking into account characteristics such as network conditions, distance, and antenna strength.
- The analytical equations of the shortest distance and the probability of associations of the VNs with the surrounding VNs and UAVs are derived. By incorporating jammers along with the fluctuating antenna beam width, the derived equations provide a helpful understanding of the system’s operation under a jamming environment.
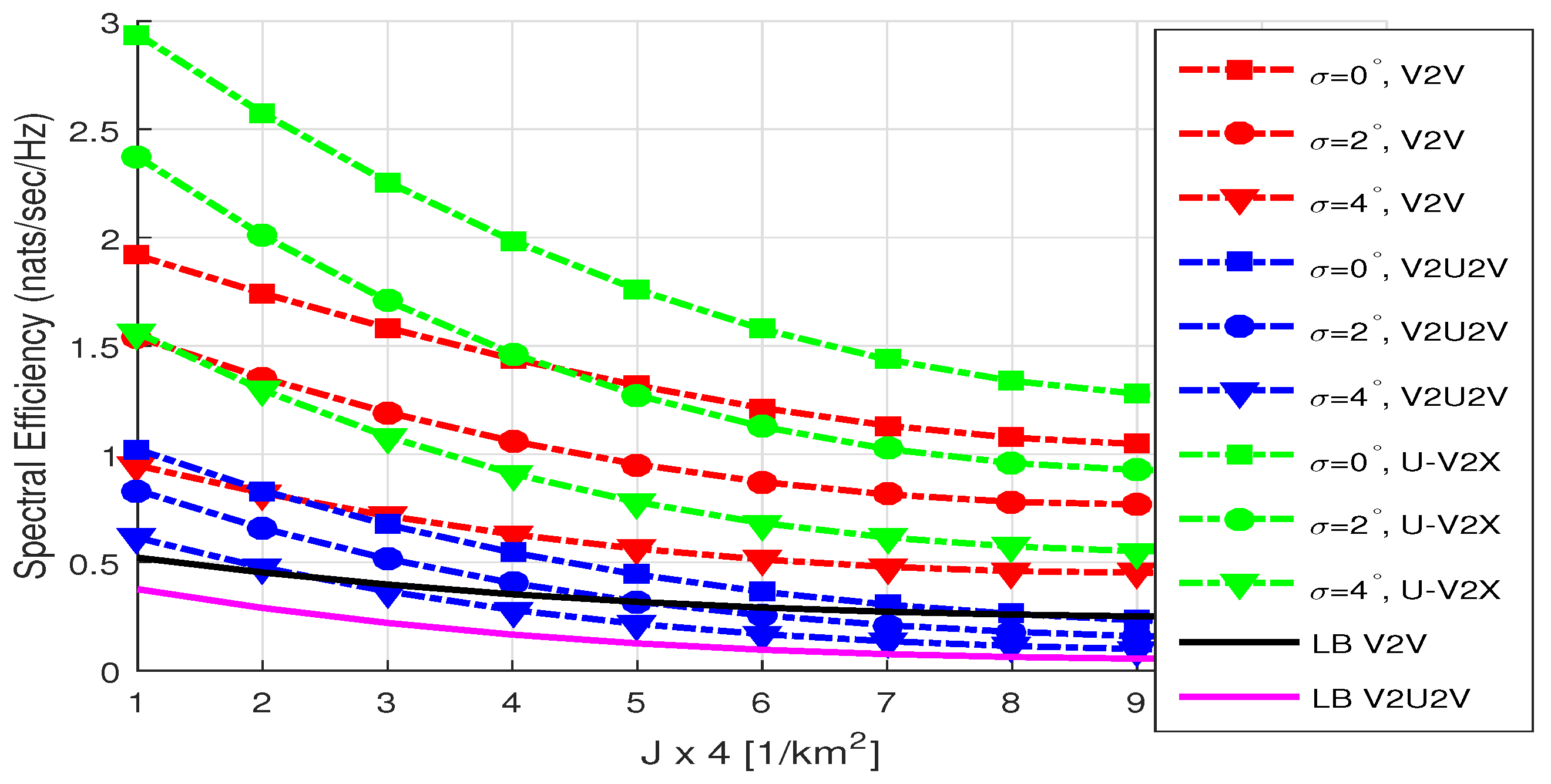
- The analytical equations for the OP of V2V connection, VN to UAV connection (i.e., V2U2V), and U-V2X connection, considering both non-clustered and clustered jammers, are presented. The investigation also evaluates the impact of different setups for system effectiveness concerning OP and SE, such as the jammer’s transmission power, average jammers, average UAVs, average VNs, and average roadways.
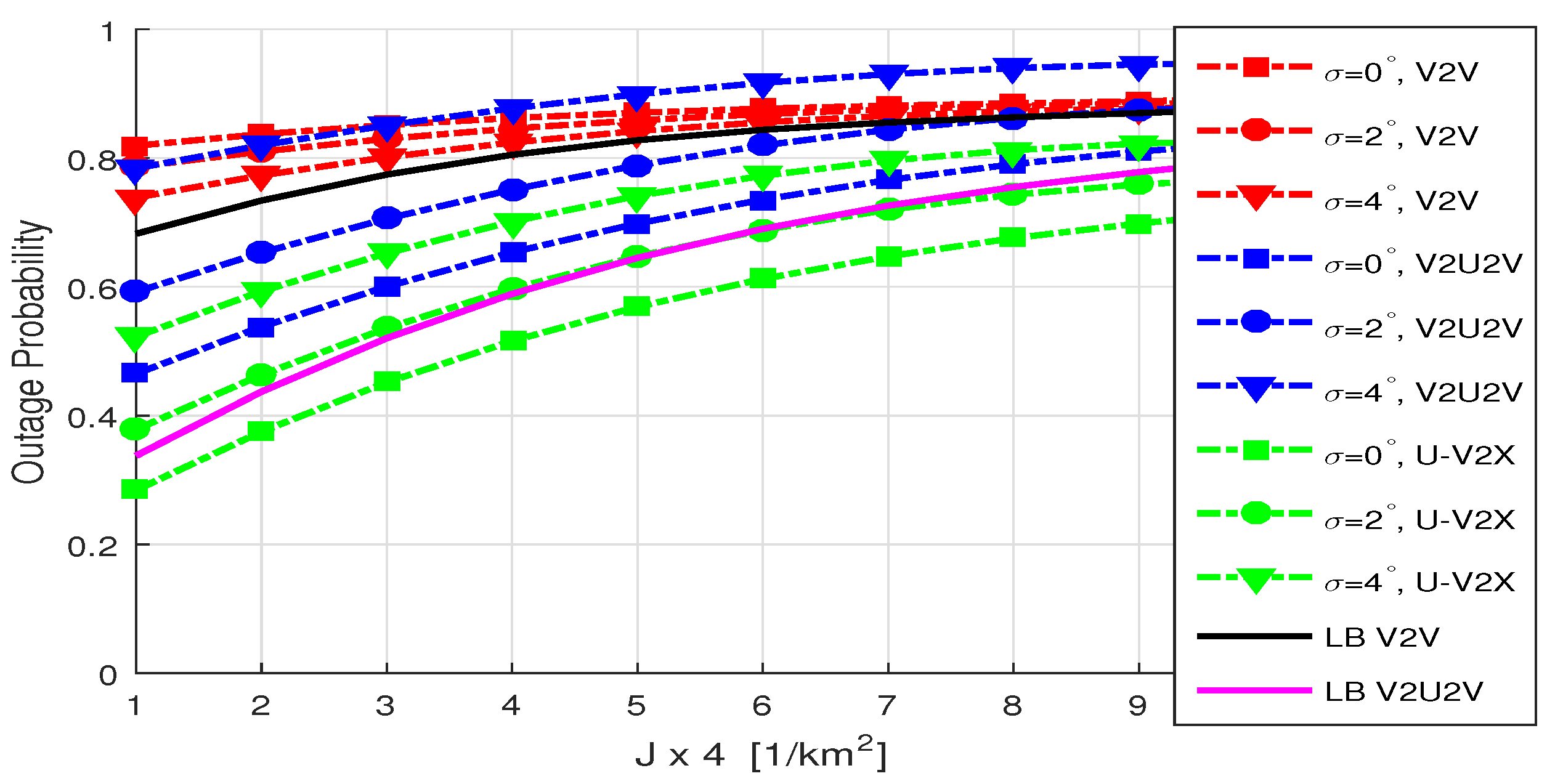
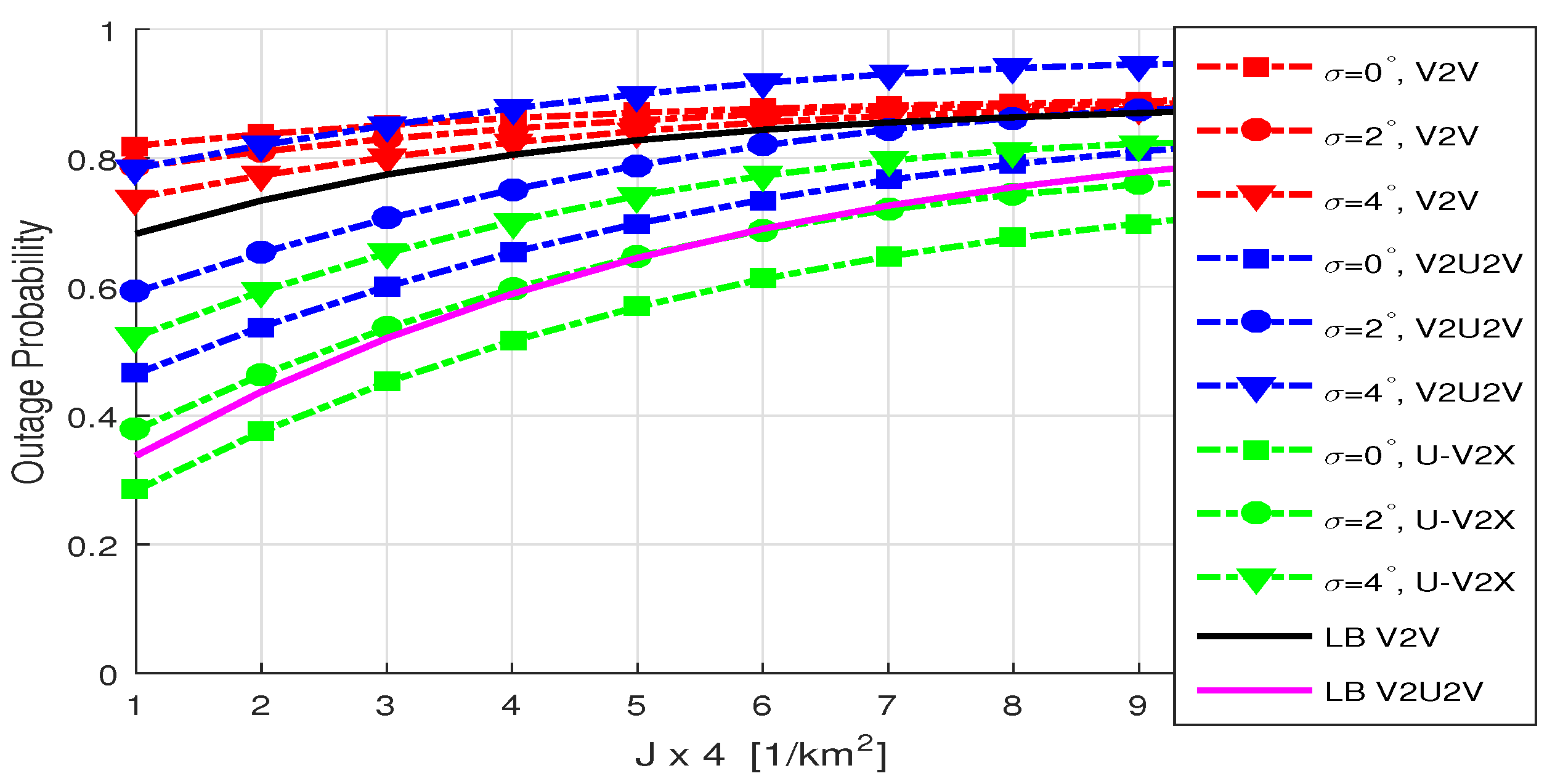
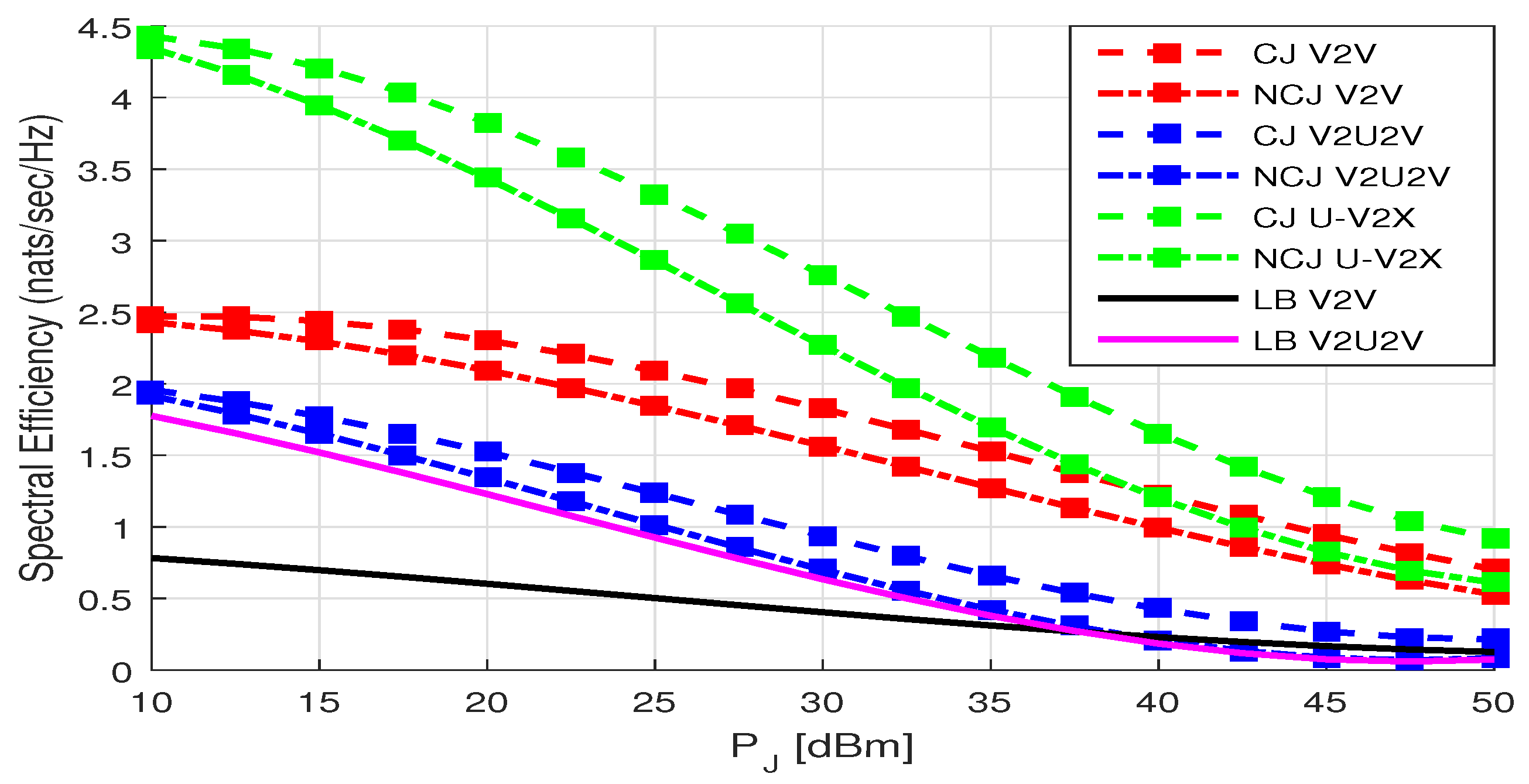
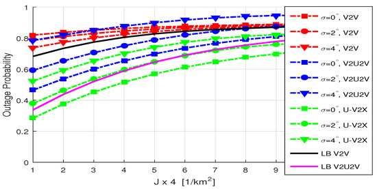
- The results illustrate that if challenged by impacts of non-clustered or clustered jammers along with 3D beam width of UAV antenna variations, the U-V2X system suffers significant operational deterioration. The findings suggested that anti-jamming countermeasures should be prioritized, specifically for non-clustered jammers in comparison with the clustered jammers. Furthermore, anti-jamming scenarios may reduce the negative impacts while improving the efficiency of U-V2X communications.
- The results further illustrate that at places with lesser vehicles, roads, and people; UAVs have a greater level of credibility in comparison with the VNs when it comes to setting up communication in intense jamming with non-clustered jammers. Additionally, it has been demonstrated that fewer variations in the beam width lead to more stable links provided by UAVs in U-V2X systems with jammers.
2. System Model
3. Distribution of Shortest Distance
3.1. Shortest Distance to a VN
3.2. Shortest Distance to a UAV
4. Association Probability of the VN with a Nearby UAV and VN
4.1. V2V Connection’s AP
4.2. V2U Connection’s AP
5. Interference Classification
5.1. VN’s Interference
5.1.1. Interference of the VNs (From the Roads Avoiding Center of the Coordinate System)
5.1.2. Interference of the VNs (From the Roads Passing Origin)
5.2. UAV’s Interference
5.3. Jammer’s Interference
5.3.1. Non-Clustered Jamming
5.3.2. Clustered Jamming
6. Performance Metrics
6.1. OP Performance
6.2. SE Performance
7. Results and Discussion
8. Conclusions
Author Contributions
Funding
Data Availability Statement
Conflicts of Interest
Appendix A. Derivation of (6)
Appendix B. Derivation of (27)
Appendix C. Derivation of (28)
References
- Traspadini, A.; Giordani, M.; Zorzi, M. UAV/HAP-assisted vehicular edge computing in 6G: Where and what to offload? In Proceedings of the 2022 Joint European Conference on Networks and Communications & 6G Summit (EuCNC/6G Summit), Grenoble, France, 7–10 June 2022; IEEE: Piscataway, NJ, USA, 2022; pp. 178–183. [Google Scholar] [CrossRef]
- Mitsuhashi, T.; Kawamoto, Y.; Kato, N. Controlling UAV for maximizing the number of receiver vehicles in intelligent transportation systems. In Proceedings of the 2019 IEEE Global Communications Conference (GLOBECOM), Waikoloa, HI, USA, 9–13 December 2019; IEEE: Piscataway, NJ, USA, 2019; pp. 1–6. [Google Scholar] [CrossRef]
- 3GPP TR36.885. Study on LTE-Based V2X Services (Release 14). In Technical Specification Group Services System; ETSI: Sophia Antipolis, France, 2016.
- Cao, Y.; Xu, S.; Liu, J.; Kato, N. Toward smart and secure V2X communication in 5G and beyond: A UAV-enabled aerial intelligent reflecting surface solution. IEEE Veh. Technol. Mag. 2022, 17, 66–73. [Google Scholar] [CrossRef]
- Dhawankar, P.; Agrawal, P.; Abderezzak, B.; Kaiwartya, O.; Busawon, K.; Raboacă, M.S. Design and numerical implementation of V2X control architecture for autonomous driving vehicles. Mathematics 2021, 9, 1696. [Google Scholar] [CrossRef]
- Ding, Y.; Huang, Y.; Tang, L.; Qin, X.; Jia, Z. Resource allocation in V2X communications based on multi-agent reinforcement learning with attention mechanism. Mathematics 2022, 10, 3415. [Google Scholar] [CrossRef]
- Lansky, J.; Rahmani, A.M.; Hosseinzadeh, M. Reinforcement Learning-Based Routing Protocols in Vehicular Ad Hoc Networks for Intelligent Transport System (ITS): A Survey. Mathematics 2022, 10, 4673. [Google Scholar] [CrossRef]
- Ma, R.; Yang, W.; Zhang, Y.; Liu, J.; Shi, H. Secure mmWave communication using UAV-enabled relay and cooperative jammer. IEEE Access 2019, 7, 119729–119741. [Google Scholar] [CrossRef]
- Arif, M.; Hasna, M.O. Analysis of fluctuations of antenna pattern in U-V2X communications. Phys. Commun. 2023, 58, 102066. [Google Scholar] [CrossRef]
- Afshang, M.; Dhillon, H.S. Poisson cluster process based analysis of HetNets with correlated user and base station locations. IEEE Trans. Wirel. Commun. 2018, 17, 2417–2431. [Google Scholar] [CrossRef]
- Ganti, R.K.; Haenggi, M. Interference and outage in clustered wireless Ad Hoc networks. IEEE Trans. Inf. Theory 2009, 55, 4067–4086. [Google Scholar] [CrossRef]
- Chun, Y.J.; Hasna, M.O.; Ghrayeb, A. Modeling heterogeneous cellular networks interference using poisson cluster processes. IEEE J. Sel. Areas Commun. 2015, 33, 2182–2195. [Google Scholar] [CrossRef]
- Chun, Y.J.; Hasna, M.O. Analysis of heterogeneous cellular networks interference with biased cell association using Poisson cluster processes. In Proceedings of the 2014 International Conference on Information and Communication Technology Convergence (ICTC), Busan, Republic of Korea, 22–24 October 2014; IEEE: Piscataway, NJ, USA, 2014; pp. 319–324. [Google Scholar] [CrossRef]
- Arif, M.; Kim, W.; Qureshi, S. Interference Characterization in Cellular-Assisted Vehicular Communications With Jamming. IEEE Access 2022, 10, 42469–42480. [Google Scholar] [CrossRef]
- Sial, M.N.; Deng, Y.; Ahmed, J.; Nallanathan, A.; Dohler, M. Stochastic geometry modeling of cellular V2X communication over shared channels. IEEE Trans. Veh. Technol. 2019, 68, 11873–11887. [Google Scholar] [CrossRef]
- Dhillon, H.S.; Chetlur, V.V. Poisson Line Cox Process: Foundations and Applications to Vehicular Networks. Synth. Lect. Learn. Netw. Algorithms 2020, 1, 1–149. [Google Scholar] [CrossRef]
- Chetlur, V.V.; Dhillon, H.S. On the load distribution of vehicular users modeled by a Poisson line Cox process. IEEE Wirel. Commun. Lett. 2020, 9, 2121–2125. [Google Scholar] [CrossRef]
- Andrews, J.G.; Ganti, R.K.; Haenggi, M.; Jindal, N.; Weber, S. A primer on spatial modeling and analysis in wireless networks. IEEE Commun. Mag. 2010, 48, 156–163. [Google Scholar] [CrossRef]
- Andrews, J.G.; Gupta, A.K.; Dhillon, H.S. A primer on cellular network analysis using stochastic geometry. arXiv 2016, arXiv:1604.03183. [Google Scholar] [CrossRef]
- Osanaiye, O.; Alfa, A.S.; Hancke, G.P. A statistical approach to detect jamming attacks in wireless sensor networks. Sensors 2018, 18, 1691. [Google Scholar] [CrossRef] [PubMed]
- Del-Valle-Soto, C.; Mex-Perera, C.; Nolazco-Flores, J.A.; Rodríguez, A.; Rosas-Caro, J.C.; Martínez-Herrera, A.F. A low-cost jamming detection approach using performance metrics in cluster-based wireless sensor networks. Sensors 2021, 21, 1179. [Google Scholar] [CrossRef]
- Savva, M.; Ioannou, I.; Vassiliou, V. Fuzzy-logic based IDS for detecting jamming attacks in wireless mesh IoT networks. In Proceedings of the 2022 20th Mediterranean Communication and Computer Networking Conference (MedComNet), Pafos, Cyprus, 1–3 June 2022; IEEE: Piscataway, NJ, USA, 2022; pp. 54–63. [Google Scholar] [CrossRef]
- Zhang, K.; Zhang, G.; Yu, X.; Hu, S.; Li, M. Clustering the sensor networks based on energy-aware affinity propagation. Comput. Netw. 2022, 207, 108853. [Google Scholar] [CrossRef]
- Zhou, Z.; Wei, Y. The Influence of Automatic Gain Control on Narrowband Frequency Domain GPS Anti-Jamming Receiver. In Proceedings of the 2021 IEEE 21st International Conference on Communication Technology (ICCT), Tianjin, China, 6–10 December 2021; IEEE: Piscataway, NJ, USA, 2021; pp. 497–501. [Google Scholar] [CrossRef]
- Moussa, M.; Osman, A.; Tamazin, M.; Korenberg, M.J.; Noureldin, A. Direction of arrival estimation of GPS narrowband jammers using high-resolution techniques. Sensors 2019, 19, 5532. [Google Scholar] [CrossRef]
- Li, X.; Zhou, W.; Peng, J.; Shan, H. Joint beamwidth and resource optimization in ultra-dense MmWave D2D communications. Wirel. Netw. 2023, 29, 2093–2104. [Google Scholar] [CrossRef]
- Khan, M.Q.; Gaber, A.; Schulz, P.; Fettweis, G. Machine Learning for Millimeter Wave and Terahertz Beam Management: A Survey and Open Challenges. IEEE Access 2023, 11, 11880–11902. [Google Scholar] [CrossRef]
- Dong, Y.; He, C.; Wang, Z.; Zhang, L. Radio map assisted path planning for UAV anti-jamming communications. IEEE Signal Process. Lett. 2022, 29, 607–611. [Google Scholar] [CrossRef]
- Ma, N.; Xu, K.; Xia, X.; Wei, C.; Su, Q.; Shen, M.; Xie, W. Reinforcement learning-based dynamic anti-jamming power control in UAV networks: An effective jamming signal strength based approach. IEEE Commun. Lett. 2022, 26, 2355–2359. [Google Scholar] [CrossRef]
- Yu, J.; Gong, Y.; Fang, J.; Zhang, R.; An, J. Let Us Work Together: Cooperative Beamforming for UAV Anti-Jamming in Space-Air-Ground Networks. IEEE Internet Things J. 2022, 9, 15607–15617. [Google Scholar] [CrossRef]
- Wang, H.; Ding, G.; Chen, J.; Zou, Y.; Gao, F. UAV Anti-Jamming Communications with Power and Mobility Control. IEEE Trans. Wirel. Commun. 2022, 22, 4729–4744. [Google Scholar] [CrossRef]
- Rahmati, A.; Hosseinalipour, S.; Yapıcı, Y.; He, X.; Güvenç, I.; Dai, H.; Bhuyan, A. Dynamic interference management for UAV-assisted wireless networks. IEEE Trans. Wirel. Commun. 2021, 21, 2637–2653. [Google Scholar] [CrossRef]
- Amuru, S.; Dhillon, H.S.; Buehrer, R.M. An error probability analysis of jamming against wireless networks. In Proceedings of the 2016 IEEE International Conference on Communications (ICC), Kuala Lumpur, Malaysia, 23–27 May 2016; IEEE: Piscataway, NJ, USA, 2016; pp. 1–6. [Google Scholar] [CrossRef]
- Haroon, M.S.; Chae, S.H.; Jeon, S.W. Outage analysis for multi-radio heterogeneous networks in the presence of aerial jammers. ICT Express, 2023; in press. [Google Scholar] [CrossRef]
- Dabiri, M.T.; Hasna, M. Pointing Error Modeling of mmWave to THz High-Directional Antenna Arrays. IEEE Wirel. Commun. Lett. 2022, 11, 2435–2439. [Google Scholar] [CrossRef]
- Dabiri, M.T.; Hasna, M. 3D Uplink Channel Modeling of UAV-based mmWave Fronthaul Links for Future Small Cell Networks. IEEE Trans. Veh. Technol. 2022, 72, 1400–1413. [Google Scholar] [CrossRef]
- Dabiri, M.T.; Safi, H.; Parsaeefard, S.; Saad, W. Analytical channel models for millimeter wave UAV networks under hovering fluctuations. IEEE Trans. Wirel. Commun. 2020, 19, 2868–2883. [Google Scholar] [CrossRef]
- 3GPP TR 38.901 V14.1.1. Study on channel model for frequencies from 0.5 to 100 GHz (Release 17). In Technical Specification Group Services System; ETSI: Sophia Antipolis, France, 2017.
- Balanis, C.A. Antenna Theory: Analysis and Design; John Wiley & Sons: Hoboken, NJ, USA, 2015. [Google Scholar]
- Dabiri, M.T.; Rezaee, M.; Yazdanian, V.; Maham, B.; Saad, W.; Hong, C.S. 3D channel characterization and performance analysis of UAV-assisted millimeter wave links. IEEE Trans. Wirel. Commun. 2020, 20, 110–125. [Google Scholar] [CrossRef]
- Chiu, S.N.; Stoyan, D.; Kendall, W.S.; Mecke, J. Stochastic Geometry and Its Applications; John Wiley & Sons: Hoboken, NJ, USA, 2013. [Google Scholar] [CrossRef]
- Novlan, T.D.; Dhillon, H.S.; Andrews, J.G. Analytical modeling of uplink cellular networks. IEEE Trans. Wirel. Commun. 2013, 12, 2669–2679. [Google Scholar] [CrossRef]
- Olver, F.W.; Lozier, D.W.; Boisvert, R.F.; Clark, C.W. NIST Handbook of Mathematical Functions Hardback and CD-ROM; Cambridge University Press: Cambridge, UK, 2010. [Google Scholar]
- Andrews, J.G.; Baccelli, F.; Ganti, R.K. A tractable approach to coverage and rate in cellular networks. IEEE Trans. Commun. 2011, 59, 3122–3134. [Google Scholar] [CrossRef]
- Wang, Y.; Zhu, Q. Modeling and analysis of small cells based on clustered stochastic geometry. IEEE Commun. Lett. 2017, 21, 576–579. [Google Scholar] [CrossRef]












| Network Parameter | Numerical Value | Network Parameter | Numerical Value |
|---|---|---|---|
| 30 km/km | 0.01 | ||
| 5/km | 3 | ||
| 10/km | 3 | ||
| 80 m | 20 | ||
| −5 dB | 20 | ||
| 30 m | 95 GHz | ||
| 23 dBm | 3 GHz | ||
| 23 dBm | 2/km | ||
| 23 dBm | J | 2 | |
| 100 m | 0 | ||
| 3 | 4 |
Disclaimer/Publisher’s Note: The statements, opinions and data contained in all publications are solely those of the individual author(s) and contributor(s) and not of MDPI and/or the editor(s). MDPI and/or the editor(s) disclaim responsibility for any injury to people or property resulting from any ideas, methods, instructions or products referred to in the content. |
© 2023 by the authors. Licensee MDPI, Basel, Switzerland. This article is an open access article distributed under the terms and conditions of the Creative Commons Attribution (CC BY) license (https://creativecommons.org/licenses/by/4.0/).
Share and Cite
Arif, M.; Kim, W. Analysis of U-V2X Communications with Non-Clustered and Clustered Jamming in the Presence of Fluctuating UAV Beam Width. Mathematics 2023, 11, 3434. https://doi.org/10.3390/math11153434
Arif M, Kim W. Analysis of U-V2X Communications with Non-Clustered and Clustered Jamming in the Presence of Fluctuating UAV Beam Width. Mathematics. 2023; 11(15):3434. https://doi.org/10.3390/math11153434
Chicago/Turabian StyleArif, Mohammad, and Wooseong Kim. 2023. "Analysis of U-V2X Communications with Non-Clustered and Clustered Jamming in the Presence of Fluctuating UAV Beam Width" Mathematics 11, no. 15: 3434. https://doi.org/10.3390/math11153434
APA StyleArif, M., & Kim, W. (2023). Analysis of U-V2X Communications with Non-Clustered and Clustered Jamming in the Presence of Fluctuating UAV Beam Width. Mathematics, 11(15), 3434. https://doi.org/10.3390/math11153434

