Modeling Significant Wave Heights for Multiple Time Horizons Using Metaheuristic Regression Methods
Abstract
1. Introduction
| Researcher(s) | Models Applied | Target Parameter/Prediction Interval | Remarks |
|---|---|---|---|
| Londhe and Panchang [28] | Feed-forward artificial neural network (ANN) | HSW/mid-term (daily) | The model’s ability to identify interannual variability and provide more reliable forecasts was shown to be critical; this was achieved by considering several years of data and carefully selecting the training set. |
| Mahjoobi and Etemad-Shahidi [29] | Classification and regression trees (CART) and ANNs | HSW/short-term (hourly) | Results indicated that the CART model could be used successfully to predict HSW. |
| Mahjoobi and Mosabbeb [21] | Regressive support vector machines, MLP and RBF neural networks. | HSW/short-term (hourly) | The cross-validation and non-cross-validation results showed that the SVMs (RBF kernel and polynomial kernel) performed slightly better than ANNs. |
| Etemad-Shahidi and Mahjoobi [30] | M5 model tree and ANN | HSW/short-term (hourly) | The results implied that the M5 tree is marginally better than the ANN’s. |
| Özger [7] | Wavelet fuzzy logic (WFL), ARIMA, and ANN | HSW/short-term to mid-term (hourly) | The WFL outperformed other models. Also, its performance improved with longer lead times. |
| Altunkaynak [31] | Geno-multilayer perceptron ANN | HSW/Short-term (15 min) | Good consistency was reported between the observed and predicted results from the geno-multilayer perceptron model. |
| Salcedo-Sanz et al. [32] | Support vector regression | HSW/Short-term (hourly) | The SVR model provided good results in HSW estimation from sea-surface X-band radar images. |
| Duan et al. [33] | Support vector regression | HSW/Short-term (hourly) | The statistical indices showed that the empirical model decomposition-SVR provided proper short-term prediction performance. |
| Cornejo-Bueno et al. [34] | Grouping genetic algorithm and extreme learning machine (GGA-ELM), GGA-MLP, and SVR | HSW/Short-term (hourly) | The outcomes of the models showed that the proposed GGA-ELM improved the predicted results. |
| Berbić et al. [35] | ANNs and SVMs | HSW/Short-term (half-hourly) | HSW was predicted for 0.5 to 5.5 h lead time. The SVM performed slightly better than the ANN. |
| Nikoo et al. [36] | Fuzzy KNN-based, SVR, regression tree induction (M5P), Bayesian network model | HSW/Short-term (hourly) | The Fuzzy KNN-based model performed better than other applied ones, followed by the M5P model. |
| Ali and Prasad [37] | Hybridized extreme learning machine | HSW/Short-term (hourly) | The hybrid ELM model exhibited high accuracy in predicting HSW and was identified as a promising tool. |
| Kaloop et al. [23] | Wavelet—particle swarm optimization—extreme learning machine | HSW/short–term (hourly) and mid-term (daily) | The study suggested that WPSO-ELM performed better than ANN, fuzzy logic, SVM, MLR, and ELM in predicting HSW for different lead times. |
| Demetriou et al. [38] | Ensemble tree modeling and ANN | HSW/short-term (minutely) | The decision tree ensemble provided better outcomes. |
| Feng et al. [39] | Recurrent neural network (RNN), long short-term memory network (LSTM), and gated recurrent unit network (GRU) | HSW/(hourly) | The findings indicated that GRU and LSTM networks outperformed traditional RNNs. |
| Gao et al. [40] | Hybrid-ensemble deep randomized networks | HSW/(hourly, four-hourly) | The neuron pruning strategy for removing noisy information from the random features enhanced the prediction accuracy of the ML model. |
| Minuzzi and Farina [10] | Long short-term memory algorithm (LSTM) | HSW/(hourly) | The findings indicated that a data-driven approach can serve as a substitute for computationally intensive physical models, with an accuracy level of around 95% compared to reanalysis data and 87% in comparison to buoy data. |
2. Case Study
3. Methods
3.1. Multivariate Adaptive Regression Splines (MARS)
3.2. Gaussian Process Regression (GPR)
3.3. Random Forest (RF)
- (a)
- First, k decision tree models are constructed using the bootstrap sampling approach, where k random samples are drawn from the original training set.
- (b)
- A split feature set of n (nm, where m is the total number of features in the sample) features is chosen at random from each sample. Nodes are generated after evaluating the optimum characteristics, with the minimal Gini coefficient serving as the dividing line.
- (c)
- The trees reach their full potential without trimming. The procedures above yield random forests when repeated.
- (d)
- A democratic vote on each record determines the final results based on the k categorization outcomes. It is helpful to look at the average decline in the Gini coefficient at the node split to determine the classification.
3.4. Principal Component Regression (PCR)
3.5. Partial Least Square Regression (PLSR)
3.6. M5 Regression Tree (M5RT)
4. Accuracy Assessment
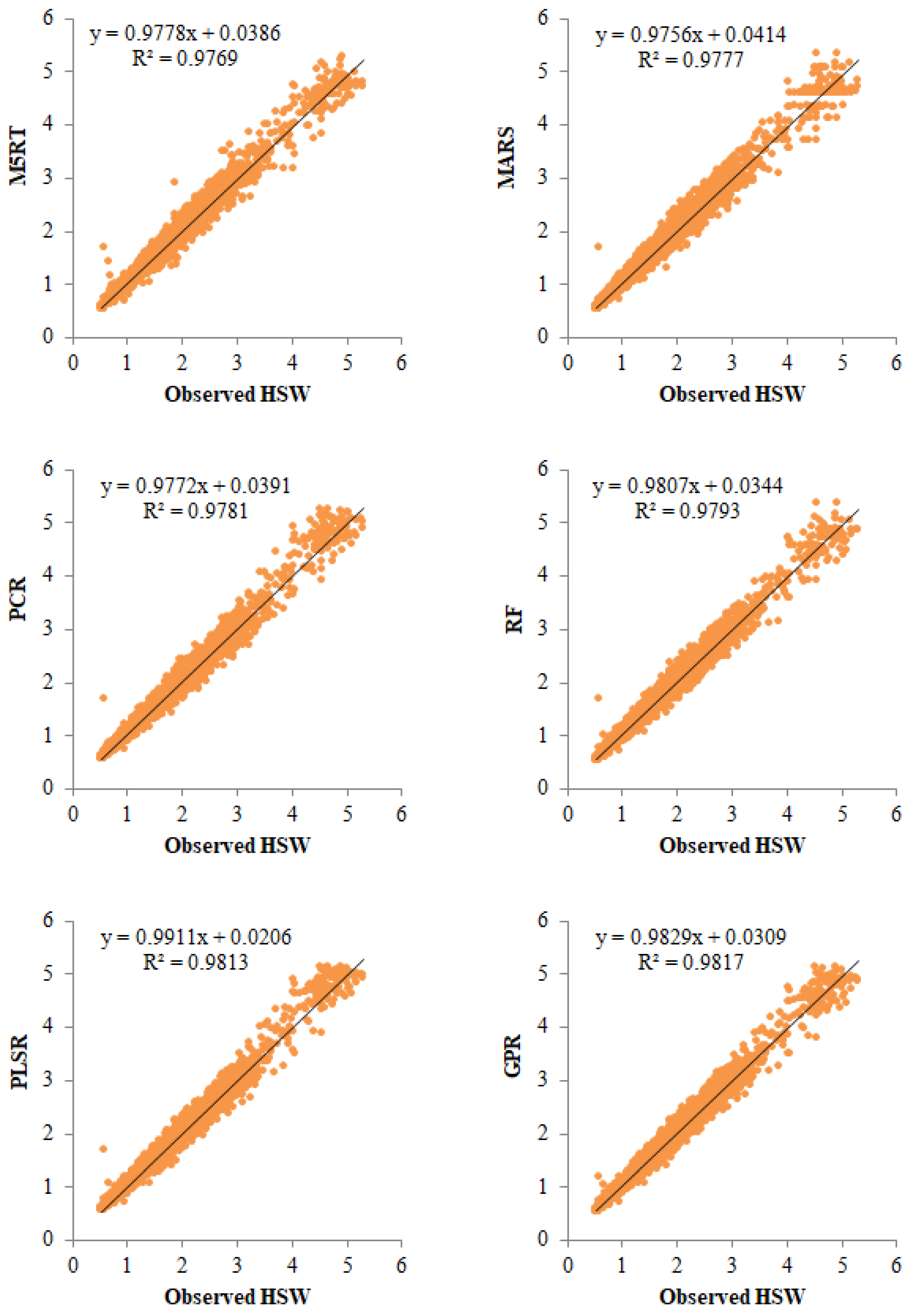
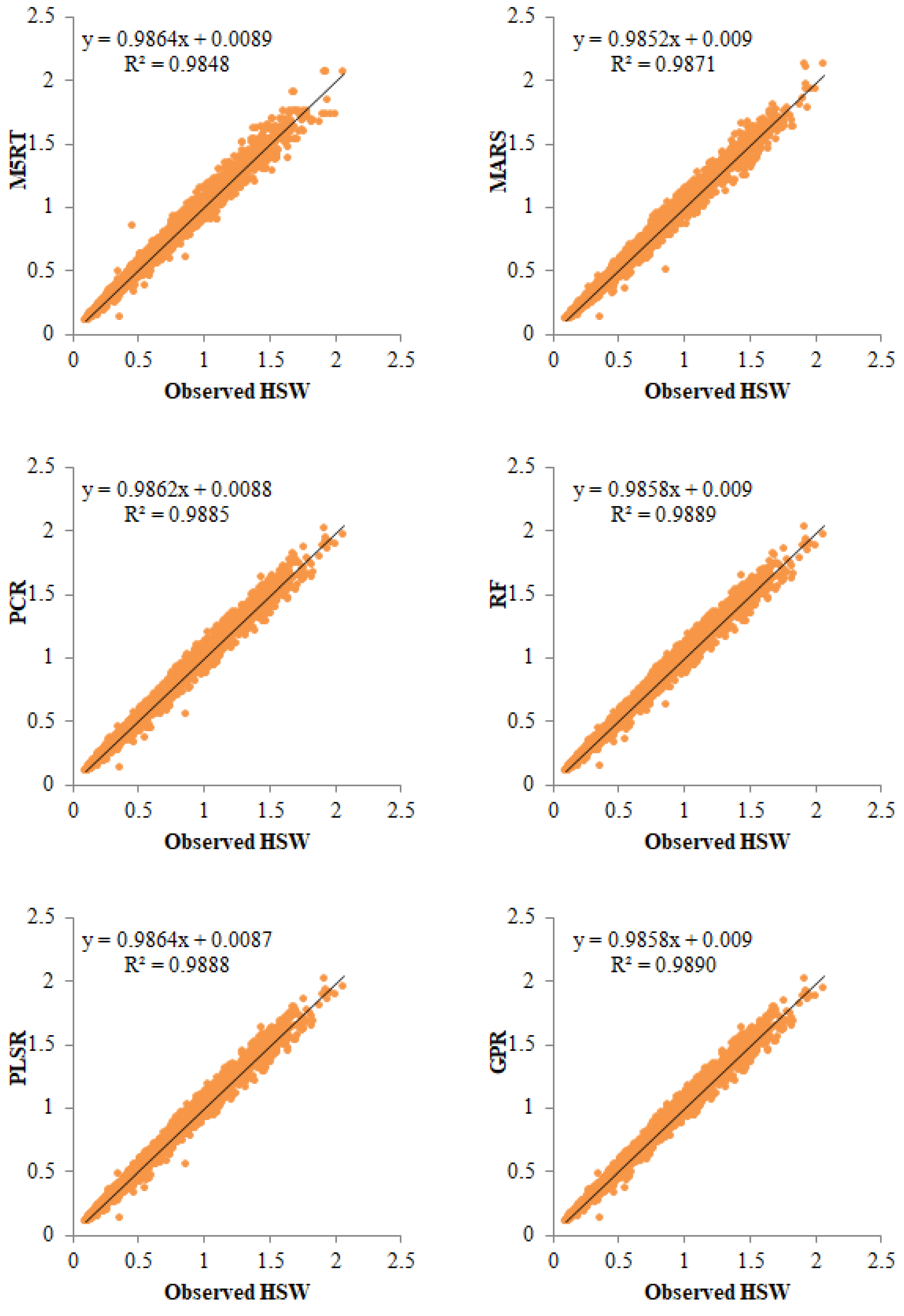
5. Results and Discussion
5.1. Results
5.2. Discussion
6. Conclusions
Author Contributions
Funding
Data Availability Statement
Conflicts of Interest
References
- Zhou, S.; Bethel, B.J.; Sun, W.; Zhao, Y.; Xie, W.; Dong, C. Improving significant wave height forecasts using a joint empirical mode decomposition–long short-term memory network. J. Mar. Sci. Eng. 2021, 9, 744. [Google Scholar] [CrossRef]
- Yang, S.; Deng, Z.; Li, X.; Zheng, C.; Xi, L.; Zhuang, J.; Zhang, Z. A novel hybrid model based on STL decomposition and one-dimensional convolutional neural networks with positional encoding for significant wave height forecast. Renew. Energy 2021, 173, 531–543. [Google Scholar] [CrossRef]
- Rijnsdorp, D.P.; Smit, P.B.; Guza, R.T. A nonlinear, non-dispersive energy balance for surfzone waves: Infragravity wave dynamics on a sloping beach. J. Fluid Mech. 2022, 944, A45. [Google Scholar] [CrossRef]
- Shamshirband, S.; Mosavi, A.; Rabczuk, T.; Nabipour, N.; Chau, K.W. Prediction of significant wave height; comparison between nested grid numerical model, and machine learning models of artificial neural networks, extreme learning and support vector machines. Eng. Appl. Comput. Fluid Mech. 2020, 14, 805–817. [Google Scholar] [CrossRef]
- Zounemat-Kermani, M.; Kisi, O. Time series analysis on marine wind-wave characteristics using chaos theory. Ocean. Eng. 2015, 100, 46–53. [Google Scholar] [CrossRef]
- Wang, Z.; Xu, H.; Xia, L.; Zou, Z.; Soares, C.G. Kernel-based support vector regression for nonparametric modeling of ship maneuvering motion. Ocean Eng. 2020, 216, 107994. [Google Scholar] [CrossRef]
- Özger, M. Significant wave height forecasting using wavelet fuzzy logic approach. Ocean. Eng. 2010, 37, 1443–1451. [Google Scholar] [CrossRef]
- Huang, W.; Dong, S. Improved short-term prediction of significant wave height by decomposing deterministic and stochastic components. Renew. Energy 2021, 177, 743–758. [Google Scholar] [CrossRef]
- Fernández, J.C.; Salcedo-Sanz, S.; Gutiérrez, P.A.; Alexandre, E.; Hervás-Martínez, C. Significant wave height and energy flux range forecast with machine learning classifiers. Eng. Appl. Artif. Intell. 2015, 43, 44–53. [Google Scholar] [CrossRef]
- Minuzzi, F.C.; Farina, L. A deep learning approach to predict significant wave height using long short-term memory. Ocean. Model. 2023, 181, 102151. [Google Scholar] [CrossRef]
- Wang, Z.; Ahmadi, A.; Tian, H.; Jafari, S.; Chen, G. Lower-dimensional simple chaotic systems with spectacular features. Chaos Solitons Fractals 2023, 169, 113299. [Google Scholar] [CrossRef]
- Adnan, R.M.; Meshram, S.G.; Mostafa, R.R.; Islam, A.R.M.T.; Abba, S.I.; Andorful, F.; Chen, Z. Application of Advanced Optimized Soft Computing Models for Atmospheric Variable Forecasting. Mathematics 2023, 11, 1213. [Google Scholar] [CrossRef]
- Pourzangbar, A.; Brocchini, M.; Saber, A.; Mahjoobi, J.; Mirzaaghasi, M.; Barzegar, M. Prediction of scour depth at breakwaters due to non-breaking waves using machine learning approaches. Appl. Ocean. Res. 2017, 63, 120–128. [Google Scholar] [CrossRef]
- Ikram, R.M.A.; Cao, X.; Sadeghifar, T.; Kuriqi, A.; Kisi, O.; Shahid, S. Improving Significant Wave Height Prediction Using a Neuro-Fuzzy Approach and Marine Predators Algorithm. J. Mar. Sci. Eng. 2023, 11, 1163. [Google Scholar] [CrossRef]
- Zhu, D.; Zhang, J.; Wu, Q.; Dong, Y.; Bastidas-Arteaga, E. Predictive capabilities of data-driven machine learning techniques on wave-bridge interactions. Appl. Ocean. Res. 2023, 137, 103597. [Google Scholar] [CrossRef]
- Adnan, R.M.; Sadeghifar, T.; Alizamir, M.; Azad, M.T.; Makarynskyy, O.; Kisi, O.; Barati, R.; Ahmed, K.O. Short-term probabilistic prediction of significant wave height using bayesian model averaging: Case study of chabahar port, Iran. Ocean Eng. 2023, 272, 113887. [Google Scholar] [CrossRef]
- Juan, N.P.; Valdecantos, V.N. Review of the application of Artificial Neural Networks in ocean engineering. Ocean. Eng. 2022, 259, 111947. [Google Scholar] [CrossRef]
- Sadeghifar, T.; Lama, G.F.C.; Sihag, P.; Bayram, A.; Kisi, O. Wave height predictions in complex sea flows through soft-computing models: Case study of Persian Gulf. Ocean. Eng. 2022, 245, 110467. [Google Scholar] [CrossRef]
- Yang, C.H.; Wu, C.H.; Hsieh, C.M.; Wang, Y.C.; Tsen, I.F.; Tseng, S.H. Deep learning for imputation and forecasting tidal level. IEEE J. Ocean. Eng. 2021, 46, 1261–1271. [Google Scholar] [CrossRef]
- Park, S.; Byun, J.; Shin, K.S.; Jo, O. Ocean current prediction based on machine learning for deciding handover priority in underwater wireless sensor networks. In Proceedings of the 2020 International Conference on Artificial Intelligence in Information and Communication (ICAIIC), Fukuoka, Japan, 19–21 February 2020; pp. 505–509. [Google Scholar]
- Mahjoobi, J.; Mosabbeb, E.A. Prediction of significant wave height using regressive support vector machines. Ocean. Eng. 2009, 36, 339–347. [Google Scholar] [CrossRef]
- Krishna kumar, N.; Savitha, R.; Al Mamun, A. Regional ocean wave height prediction using sequential learning neural networks. Ocean. Eng. 2017, 129, 605–612. [Google Scholar] [CrossRef]
- Kaloop, M.R.; Kumar, D.; Zarzoura, F.; Roy, B.; Hu, J.W. A wavelet-Particle swarm optimization-Extreme learning machine hybrid modeling for significant wave height prediction. Ocean. Eng. 2020, 213, 107777. [Google Scholar] [CrossRef]
- Miky, Y.; Kaloop, M.R.; Elnabwy, M.T.; Baik, A.; Alshouny, A. A Recurrent-Cascade-Neural network-nonlinear autoregressive networks with exogenous inputs (NARX) approach for long-term time-series prediction of wave height based on wave characteristics measurements. Ocean. Eng. 2021, 240, 109958. [Google Scholar] [CrossRef]
- Ikram, R.M.A.; Mostafa, R.R.; Chen, Z.; Islam, A.R.M.T.; Kisi, O.; Kuriqi, A.; Zounemat-Kermani, M. Advanced Hybrid Metaheuristic Machine Learning Models Application for Reference Crop Evapotranspiration Prediction. Agronomy 2023, 13, 98. [Google Scholar] [CrossRef]
- Han, L.; Ji, Q.; Jia, X.; Liu, Y.; Han, G.; Lin, X. Significant Wave Height Prediction in the South China Sea Based on the ConvLSTM Algorithm. J. Mar. Sci. Eng. 2022, 10, 1683. [Google Scholar] [CrossRef]
- Pourzangbar, A.; Saber, A.; Yeganeh-Bakhtiary, A.; Ahari, L.R. Predicting scour depth at seawalls using GP and ANNs. J. Hydroinformatics 2017, 19, 349–363. [Google Scholar] [CrossRef]
- Londhe, S.N.; Panchang, V. One-day wave forecasts based on artificial neural networks. J. Atmos. Ocean. Technol. 2006, 23, 1593–1603. [Google Scholar] [CrossRef]
- Mahjoobi, J.; Etemad-Shahidi, A. An alternative approach for the prediction of significant wave heights based on classification and regression trees. Appl. Ocean. Res. 2018, 30, 172–177. [Google Scholar] [CrossRef]
- Etemad-Shahidi, A.; Mahjoobi, J. Comparison between M5′ model tree and neural networks for prediction of significant wave height in Lake Superior. Ocean. Eng. 2009, 36, 1175–1181. [Google Scholar] [CrossRef]
- Altunkaynak, A. Prediction of significant wave height using geno-multilayer perceptron. Ocean. Eng. 2013, 58, 144–153. [Google Scholar] [CrossRef]
- Salcedo-Sanz, S.; Borge, J.N.; Carro-Calvo, L.; Cuadra, L.; Hessner, K.; Alexandre, E. Significant wave height estimation using SVR algorithms and shadowing information from simulated and real measured X-band radar images of the sea surface. Ocean. Eng. 2015, 101, 244–253. [Google Scholar] [CrossRef]
- Duan, W.Y.; Han, Y.; Huang, L.M.; Zhao, B.B.; Wang, M.H. A hybrid EMD-SVR model for the short-term prediction of significant wave height. Ocean Eng. 2016, 124, 54–73. [Google Scholar] [CrossRef]
- Cornejo-Bueno, L.; Nieto-Borge, J.C.; García-Díaz, P.; Rodríguez, G.; Salcedo-Sanz, S. Significant wave height and energy flux prediction for marine energy applications: A grouping genetic algorithm–Extreme Learning Machine approach. Renew. Energy 2016, 97, 380–389. [Google Scholar] [CrossRef]
- Berbić, J.; Ocvirk, E.; Carević, D.; Lončar, G. Application of neural networks and support vector machine for significant wave height prediction. Oceanologia 2017, 59, 331–349. [Google Scholar] [CrossRef]
- Nikoo, M.R.; Kerachian, R.; Alizadeh, M.R. A fuzzy KNN-based model for significant wave height prediction in large lakes. Oceanologia 2018, 60, 153–168. [Google Scholar] [CrossRef]
- Ali, M.; Prasad, R. Significant wave height forecasting via an extreme learning machine model integrated with improved complete ensemble empirical mode decomposition. Renew. Sustain. Energy Rev. 2019, 104, 281–295. [Google Scholar] [CrossRef]
- Demetriou, D.; Michailides, C.; Papanastasiou, G.; Onoufriou, T. Coastal zone significant wave height prediction by supervised machine learning classification algorithms. Ocean. Eng. 2021, 221, 108592. [Google Scholar] [CrossRef]
- Feng, Z.; Hu, P.; Li, S.; Mo, D. Prediction of Significant Wave Height in Offshore China Based on the Machine Learning Method. J. Mar. Sci. Eng. 2022, 10, 836. [Google Scholar] [CrossRef]
- Gao, R.; Li, R.; Hu, M.; Suganthan, P.N.; Yuen, K.F. Significant wave height forecasting using hybrid ensemble deep randomized networks with neurons pruning. Eng. Appl. Artif. Intell. 2023, 117, 105535. [Google Scholar] [CrossRef]
- Friedman, J.H. Multivariate adaptive regression splines. Ann. Statist. 1991, 19, 1–67. [Google Scholar] [CrossRef]
- De Andrés, J.; Lorca, P.; de Cos Juez, F.J.; Sánchez-Lasheras, F. Bankruptcy forecasting: A hybrid approach using Fuzzy c-means clustering and Multivariate Adaptive Regression Splines (MARS). Expert Syst. Appl. 2011, 38, 1866–1875. [Google Scholar] [CrossRef]
- Rasmussen, C.E.; Bousquet, O.; Luxburg, U.V.; Rätsch, G. Gaussian Processes in Machine Learning; Springer: Berlin/Heidelberg, Germany, 2004. [Google Scholar]
- Bai, W.; Ren, J.; Li, T. Modified genetic optimization-based locally weighted learning identification modeling of ship maneuvering with full scale trial. Future Generat. Comput. Syst. 2019, 93, 1036–1045. [Google Scholar] [CrossRef]
- Moreno, R.; Moreno-Salinas, D.; Aranda, J. Black-box marine vehicle identification with regression techniques for random manoeuvres. Electronics 2019, 8, 492. [Google Scholar] [CrossRef]
- Ikram, R.M.A.; Goliatt, L.; Kisi, O.; Trajkovic, S.; Shahid, S. Covariance Matrix Adaptation Evolution Strategy for Improving Machine Learning Approaches in Streamflow Prediction. Mathematics 2022, 10, 2971. [Google Scholar] [CrossRef]
- Hartigan, J.A.; Wong, M.A. Algorithm AS 136: A K-Means Clustering Algorithm. J. R. Stat. Soc. Ser. C (Appl. Stat.) 1979, 28, 100–108. [Google Scholar] [CrossRef]
- Breiman, L. Random forests. Mach. Learn. 2001, 45, 5–32. [Google Scholar] [CrossRef]
- Xia, Z.; Stewart, K.; Fan, J. Incorporating space and time into random forest models for analyzing geospatial patterns of drug-related crime incidents in a major U.S. metropolitan area. Comput. Environ. Urban Syst. 2021, 87, 101599. [Google Scholar] [CrossRef]
- Biau, G.; Scornet, E. A random forest guided tour. Test 2016, 25, 197–227. [Google Scholar] [CrossRef]
- Fan, G.-F.; Yu, M.; Dong, S.-Q.; Yeh, Y.-H.; Hong, W.-C. Forecasting short-term electricity load using hybrid support vector regression with grey catastrophe and random forest modeling. Util Policy 2021, 73, 101294. [Google Scholar] [CrossRef]
- Cutler, A.; Cutler, D.R.; Stevens, J.R. Random forests. In Ensemble Machine Learning; Springer: Berlin/Heidelberg, Germany, 2012; pp. 157–175. [Google Scholar]
- Wang, G.; Jiao, J. Quality-Related Fault Detection and Diagnosis Based on Total Principal Component Regression Model. IEEE Access 2018, 6, 10341–10347. [Google Scholar] [CrossRef]
- Jiang, Q.; Yan, X. Chemical processes monitoring based on weighted principal component analysis and its application. Chemom. Intell. Lab. Syst. 2012, 119, 11–20. [Google Scholar] [CrossRef]
- Fei, Z.; Liu, K. Online process monitoring for complex systems with dynamic weighted principal component analysis. Chin. J. Chem. Eng. 2016, 24, 775–786. [Google Scholar] [CrossRef]
- Abdi, H. Partial least square regression (PLS regression). In Encyclopedia of Measurement and Statistics; Salkind, N., Ed.; Sage: Thousand Oaks, CA, USA, 2007; pp. 792–795. [Google Scholar]
- Wold, S.; Sjostrom, M.; Eriksson, L. PLS-regression: A basic tool of chemometrics. Chemom. Intell. Lab. Syst. 2001, 58, 109–130. [Google Scholar] [CrossRef]
- de Jong, S.D. SIMPLS: An alternative approach to partial least squares regression. Chemom. Intell. Lab. Syst. 1993, 18, 251–263. [Google Scholar] [CrossRef]
- Quinlan, J.R. Learning with continuous classes. In Proceedings of the 5th Australian Joint Conference on Artificial Intelligence, Hobart, Australia, 16–18 November 1992; World Scientific: Singapore, 1992; Volume 92, pp. 343–348. [Google Scholar]
- Wang, Y.; Witten, I.H. Induction of Model Trees for Predicting Continuous Classes. 1996. Available online: https://researchcommons.waikato.ac.nz/handle/10289/1183 (accessed on 3 March 2023).
- Adnan, R.M.; Parmar, K.S.; Heddam, S.; Shahid, S.; Kisi, O. Suspended Sediment Modeling Using a Heuristic Regression Method Hybridized with Kmeans Clustering. Sustainability 2021, 13, 4648. [Google Scholar] [CrossRef]
- Kisi, O.; Parmar, K.S.; Soni, K.; Demir, V. Modeling of air pollutants using least square support vector regression, multivariate adaptive regression spline, and M5 model tree models. Air Qual. Atmos. Health 2017, 10, 873–883. [Google Scholar] [CrossRef]
- Srivastava, R.; Tiwari, A.N.; Giri, V.K. Solar radiation forecasting using MARS, CART, M5, and random forest model: A case study for India. Heliyon 2019, 5, e02692. [Google Scholar] [CrossRef]
- Wang, F.; Shi, Z.; Biswas, A.; Yang, S.T.; Ding, J.L. Multi-algorithm comparison for predicting soil salinity. Geoderma 2020, 365, 114211. [Google Scholar] [CrossRef]
- Richardson, R.R.; Osborne, M.A.; Howey, D.A. Gaussian process regression for forecasting battery state of health. J. Power Sources 2017, 357, 209–219. [Google Scholar] [CrossRef]
- Asante-Okyere, S.; Shen, C.; Yevenyo Ziggah, Y.; Moses Rulegeya, M.; Zhu, X. Investigating the Predictive Performance of Gaussian Process Regression in Evaluating Reservoir Porosity and Permeability. Energies 2018, 11, 3261. [Google Scholar] [CrossRef]
- Shabani, S.; Samadianfard, S.; Sattari, M.T.; Mosavi, A.; Shamshirband, S.; Kmet, T.; Várkonyi-Kóczy, A.R. Modeling Pan Evaporation Using Gaussian Process Regression K-Nearest Neighbors Random Forest and Support Vector Machines; Comparative Analysis. Atmosphere 2020, 11, 66. [Google Scholar] [CrossRef]
- Singh, S.K.; Mali, H.S.; Unune, D.R.; Wojciechowski, S.; Wilczyński, D. Application of Generalized Regression Neural Network and Gaussian Process Regression for Modelling Hybrid Micro-Electric Discharge Machining: A Comparative Study. Processes 2022, 10, 755. [Google Scholar] [CrossRef]









| Mean | Min. | Max | Skewness | Std. Dev. | |
|---|---|---|---|---|---|
| Station 1 | |||||
| Full Dataset | 1.8795 | 0.4380 | 5.9680 | 1.0417 | 0.7914 |
| Training Dataset | 1.9179 | 0.4380 | 5.9680 | 0.8876 | 0.7788 |
| Testing Dataset | 1.7638 | 0.5290 | 5.3090 | 1.5229 | 0.8174 |
| Station 2 | |||||
| Full Dataset | 0.6726 | 0.1060 | 2.2850 | 0.7850 | 0.3552 |
| Training Dataset | 0.6786 | 0.1060 | 2.2850 | 0.7329 | 0.3494 |
| Testing Dataset | 0.6526 | 0.1060 | 2.0640 | 0.9499 | 0.3731 |
| Time Horizon | Input Combination | Training Period | Test Period | ||||
|---|---|---|---|---|---|---|---|
| RMSE (m) | MAE (m) | R2 | RMSE (m) | MAE (m) | R2 | ||
| t + 1 | HSWt | 0.1270 | 0.0915 | 0.9755 | 0.1296 | 0.0895 | 0.9733 |
| HSWt, HSWt−1, | 0.1190 | 0.0850 | 0.9765 | 0.1284 | 0.0896 | 0.9746 | |
| HSWt, HSWt−1, HSWt−2 | 0.1176 | 0.0839 | 0.9771 | 0.1254 | 0.0860 | 0.9769 | |
| t + 2 | HSWt, HSWt−1, HSWt−2 | 0.1356 | 0.0930 | 0.9726 | 0.1390 | 0.0982 | 0.9680 |
| t + 4 | HSWt, HSWt−1, HSWt−2 | 0.1786 | 0.1241 | 0.9504 | 0.2010 | 0.1385 | 0.9402 |
| t + 8 | HSWt, HSWt−1, HSWt−2 | 0.2579 | 0.1787 | 0.8900 | 0.3058 | 0.2098 | 0.8656 |
| t + 12 | HSWt, HSWt−1, HSWt−2 | 0.3156 | 0.2211 | 0.8353 | 0.3941 | 0.2701 | 0.7764 |
| t + 24 | HSWt, HSWt−1, HSWt−2 | 0.4451 | 0.3177 | 0.6723 | 0.5939 | 0.4224 | 0.5022 |
| Time Horizon | Input Combination | Training Period | Test Period | ||||
|---|---|---|---|---|---|---|---|
| RMSE (m) | MAE (m) | R2 | RMSE (m) | MAE (m) | R2 | ||
| t + 1 | HSWt | 0.1245 | 0.0901 | 0.9773 | 0.1233 | 0.0853 | 0.9744 |
| HSWt, HSWt−1, | 0.1167 | 0.0837 | 0.9784 | 0.1204 | 0.0833 | 0.9775 | |
| HSWt, HSWt−1, HSWt−2 | 0.1161 | 0.0831 | 0.9788 | 0.1191 | 0.0826 | 0.9777 | |
| t + 2 | HSWt, HSWt−1, HSWt−2 | 0.1352 | 0.0927 | 0.9727 | 0.1384 | 0.0980 | 0.9683 |
| t + 4 | HSWt, HSWt−1, HSWt−2 | 0.1770 | 0.1226 | 0.9517 | 0.1934 | 0.1321 | 0.9442 |
| t + 8 | HSWt, HSWt−1, HSWt−2 | 0.2538 | 0.1759 | 0.8934 | 0.2798 | 0.1927 | 0.8833 |
| t + 12 | HSWt, HSWt−1, HSWt−2 | 0.3098 | 0.2167 | 0.8413 | 0.3535 | 0.2456 | 0.8149 |
| t + 24 | HSWt, HSWt−1, HSWt−2 | 0.4409 | 0.3143 | 0.6785 | 0.5007 | 0.3619 | 0.6280 |
| Time Horizon | Input Combination | Training Period | Test Period | ||||
|---|---|---|---|---|---|---|---|
| RMSE (m) | MAE (m) | R2 | RMSE (m) | MAE (m) | R2 | ||
| t + 1 | HSWt | ||||||
| HSWt, HSWt−1, | 0.1140 | 0.0803 | 0.9778 | 0.1182 | 0.0818 | 0.9786 | |
| HSWt, HSWt−1, HSWt−2 | 0.1093 | 0.0794 | 0.9808 | 0.1138 | 0.0795 | 0.9781 | |
| t + 2 | HSWt, HSWt−1, HSWt−2 | 0.1349 | 0.0924 | 0.9728 | 0.1382 | 0.0978 | 0.9684 |
| t + 4 | HSWt, HSWt−1, HSWt−2 | 0.1745 | 0.1205 | 0.9537 | 0.1823 | 0.1258 | 0.9472 |
| t + 8 | HSWt, HSWt−1, HSWt−2 | 0.2432 | 0.1704 | 0.9021 | 0.2735 | 0.1857 | 0.8884 |
| t + 12 | HSWt, HSWt−1, HSWt−2 | 0.3017 | 0.2107 | 0.8494 | 0.3412 | 0.2356 | 0.8264 |
| t + 24 | HSWt, HSWt−1, HSWt−2 | 0.4349 | 0.3086 | 0.6872 | 0.4741 | 0.3388 | 0.6564 |
| Time Horizon | Input Combination | Training Period | Test Period | ||||
|---|---|---|---|---|---|---|---|
| RMSE (m) | MAE (m) | R2 | RMSE (m) | MAE (m) | R2 | ||
| t + 1 | HSWt | 0.1213 | 0.0876 | 0.9783 | 0.1210 | 0.0841 | 0.9756 |
| HSWt, HSWt−1, | 0.1069 | 0.0757 | 0.9802 | 0.1146 | 0.0789 | 0.9791 | |
| HSWt, HSWt−1, HSWt−2 | 0.1037 | 0.0742 | 0.9811 | 0.1129 | 0.0781 | 0.9793 | |
| t + 2 | HSWt, HSWt−1, HSWt−2 | 0.1330 | 0.0915 | 0.9736 | 0.1368 | 0.0969 | 0.9691 |
| t + 4 | HSWt, HSWt−1, HSWt−2 | 0.1726 | 0.1207 | 0.9539 | 0.1799 | 0.1247 | 0.9482 |
| t + 8 | HSWt, HSWt−1, HSWt−2 | 0.2413 | 0.1689 | 0.9037 | 0.2689 | 0.1824 | 0.8921 |
| t + 12 | HSWt, HSWt−1, HSWt−2 | 0.3011 | 0.2101 | 0.8501 | 0.3332 | 0.2291 | 0.8345 |
| t + 24 | HSWt, HSWt−1, HSWt−2 | 0.4316 | 0.3040 | 0.6918 | 0.4709 | 0.3335 | 0.6598 |
| Time Horizon | Input Combination | Training Period | Test Period | ||||
|---|---|---|---|---|---|---|---|
| RMSE (m) | MAE (m) | R2 | RMSE (m) | MAE (m) | R2 | ||
| t + 1 | HSWt | ||||||
| HSWt, HSWt−1, | 0.1022 | 0.0709 | 0.9827 | 0.1132 | 0.0784 | 0.9808 | |
| HSWt, HSWt−1, HSWt−2 | 0.0928 | 0.0653 | 0.9858 | 0.1118 | 0.0773 | 0.9813 | |
| t + 2 | HSWt, HSWt−1, HSWt−2 | 0.1302 | 0.0874 | 0.9799 | 0.1551 | 0.1072 | 0.9642 |
| t + 4 | HSWt, HSWt−1, HSWt−2 | 0.1676 | 0.1122 | 0.9687 | 0.1763 | 0.1232 | 0.9497 |
| t + 8 | HSWt, HSWt−1, HSWt−2 | 0.2369 | 0.1584 | 0.9124 | 0.2562 | 0.1749 | 0.9021 |
| t + 12 | HSWt, HSWt−1, HSWt−2 | 0.2979 | 0.2064 | 0.8648 | 0.3208 | 0.2207 | 0.8465 |
| t + 24 | HSWt, HSWt−1, HSWt−2 | 0.4246 | 0.2954 | 0.7084 | 0.4623 | 0.3365 | 0.6681 |
| Time Horizon | Input Combination | Training Period | Test Period | ||||
|---|---|---|---|---|---|---|---|
| RMSE (m) | MAE (m) | R2 | RMSE (m) | MAE (m) | R2 | ||
| t + 1 | HSWt | 0.1125 | 0.0819 | 0.9791 | 0.1197 | 0.0826 | 0.9786 |
| HSWt, HSWt−1, | 0.0944 | 0.0671 | 0.9853 | 0.1120 | 0.0775 | 0.9815 | |
| HSWt, HSWt−1, HSWt−2 | 0.0911 | 0.0627 | 0.9863 | 0.1115 | 0.0771 | 0.9817 | |
| t + 2 | HSWt, HSWt−1, HSWt−2 | 0.1297 | 0.0863 | 0.9801 | 0.1425 | 0.0988 | 0.9697 |
| t + 4 | HSWt, HSWt−1, HSWt−2 | 0.1648 | 0.1094 | 0.9688 | 0.1758 | 0.1221 | 0.9508 |
| t + 8 | HSWt, HSWt−1, HSWt−2 | 0.2346 | 0.1535 | 0.9128 | 0.2553 | 0.1741 | 0.9028 |
| t + 12 | HSWt, HSWt−1, HSWt−2 | 0.2965 | 0.2047 | 0.8651 | 0.3182 | 0.2193 | 0.8490 |
| t + 24 | HSWt, HSWt−1, HSWt−2 | 0.4191 | 0.2889 | 0.7149 | 0.4467 | 0.3312 | 0.6749 |
| Time Horizon | Input Combination | Training Period | Test Period | ||||
|---|---|---|---|---|---|---|---|
| RMSE (m) | MAE (m) | R2 | RMSE (m) | MAE (m) | R2 | ||
| t + 1 | HSWt | 0.0416 | 0.0293 | 0.9853 | 0.0467 | 0.0322 | 0.9843 |
| HSWt, HSWt−1, | 0.0412 | 0.0290 | 0.9861 | 0.0434 | 0.0304 | 0.9865 | |
| HSWt, HSWt−1, HSWt−2 | 0.0397 | 0.0285 | 0.9869 | 0.0418 | 0.0295 | 0.9873 | |
| t + 2 | HSWt, HSWt−1, HSWt−2 | 0.0590 | 0.0411 | 0.9714 | 0.0635 | 0.0442 | 0.9710 |
| t + 4 | HSWt, HSWt−1, HSWt−2 | 0.0947 | 0.0666 | 0.9263 | 0.0988 | 0.0702 | 0.9298 |
| t + 8 | HSWt, HSWt−1, HSWt−2 | 0.1494 | 0.1096 | 0.8167 | 0.1561 | 0.1147 | 0.8258 |
| t + 12 | HSWt, HSWt−1, HSWt−2 | 0.1753 | 0.1313 | 0.7475 | 0.2029 | 0.1526 | 0.7099 |
| t + 24 | HSWt, HSWt−1, HSWt−2 | 0.2069 | 0.1568 | 0.6481 | 0.2810 | 0.2122 | 0.4780 |
| Time Horizon | Input Combination | Training Period | Test Period | ||||
|---|---|---|---|---|---|---|---|
| RMSE (m) | MAE (m) | R2 | RMSE (m) | MAE (m) | R2 | ||
| t + 1 | HSWt | 0.0415 | 0.0292 | 0.9855 | 0.0444 | 0.0310 | 0.9859 |
| HSWt, HSWt−1, | 0.0411 | 0.0289 | 0.9861 | 0.0425 | 0.0296 | 0.9870 | |
| HSWt, HSWt−1, HSWt−2 | 0.0386 | 0.0274 | 0.9878 | 0.0405 | 0.0287 | 0.9882 | |
| t + 2 | HSWt, HSWt−1, HSWt−2 | 0.0581 | 0.0405 | 0.9722 | 0.0590 | 0.0416 | 0.9751 |
| t + 4 | HSWt, HSWt−1, HSWt−2 | 0.0921 | 0.0647 | 0.9302 | 0.0918 | 0.0657 | 0.9395 |
| t + 8 | HSWt, HSWt−1, HSWt−2 | 0.1449 | 0.1058 | 0.8275 | 0.1547 | 0.1151 | 0.8281 |
| t + 12 | HSWt, HSWt−1, HSWt−2 | 0.1687 | 0.1254 | 0.7661 | 0.1906 | 0.1442 | 0.7389 |
| t + 24 | HSWt, HSWt−1, HSWt−2 | 0.2055 | 0.1548 | 0.6529 | 0.2527 | 0.1910 | 0.5490 |
| Time Horizon | Input Combination | Training Period | Test Period | ||||
|---|---|---|---|---|---|---|---|
| RMSE (m) | MAE (m) | R2 | RMSE (m) | MAE (m) | R2 | ||
| t + 1 | HSWt | ||||||
| HSWt, HSWt−1, | 0.0409 | 0.0288 | 0.9862 | 0.0418 | 0.0292 | 0.9872 | |
| HSWt, HSWt−1, HSWt−2 | 0.0366 | 0.0254 | 0.9890 | 0.0398 | 0.0281 | 0.9886 | |
| t + 2 | HSWt, HSWt−1, HSWt−2 | 0.0553 | 0.0391 | 0.9780 | 0.0566 | 0.0396 | 0.9740 |
| t + 4 | HSWt, HSWt−1, HSWt−2 | 0.0871 | 0.0611 | 0.9376 | 0.0901 | 0.0652 | 0.9418 |
| t + 8 | HSWt, HSWt−1, HSWt−2 | 0.1332 | 0.0959 | 0.8543 | 0.1484 | 0.1101 | 0.8417 |
| t + 12 | HSWt, HSWt−1, HSWt−2 | 0.1635 | 0.1203 | 0.7804 | 0.1868 | 0.1405 | 0.7498 |
| t + 24 | HSWt, HSWt−1, HSWt−2 | 0.2012 | 0.1510 | 0.6674 | 0.2472 | 0.1861 | 0.5651 |
| Time Horizon | Input Combination | Training Period | Test Period | ||||
|---|---|---|---|---|---|---|---|
| RMSE (m) | MAE (m) | R2 | RMSE (m) | MAE (m) | R2 | ||
| t + 1 | HSWt | 0.0414 | 0.0291 | 0.9857 | 0.0437 | 0.0310 | 0.9863 |
| HSWt, HSWt−1, | 0.0407 | 0.0286 | 0.9864 | 0.0412 | 0.0289 | 0.9878 | |
| HSWt, HSWt−1, HSWt−2 | 0.0342 | 0.0239 | 0.9904 | 0.0396 | 0.0279 | 0.9887 | |
| t + 2 | HSWt, HSWt−1, HSWt−2 | 0.0545 | 0.0386 | 0.9787 | 0.0560 | 0.0391 | 0.9743 |
| t + 4 | HSWt, HSWt−1, HSWt−2 | 0.0865 | 0.0608 | 0.9385 | 0.0875 | 0.0631 | 0.9450 |
| t + 8 | HSWt, HSWt−1, HSWt−2 | 0.1328 | 0.0958 | 0.8551 | 0.1440 | 0.1063 | 0.8511 |
| t + 12 | HSWt, HSWt−1, HSWt−2 | 0.1625 | 0.1198 | 0.7829 | 0.1805 | 0.1360 | 0.7659 |
| t + 24 | HSWt, HSWt−1, HSWt−2 | 0.2009 | 0.1504 | 0.6683 | 0.2429 | 0.1828 | 0.5810 |
| Time Horizon | Input Combination | Training Period | Test Period | ||||
|---|---|---|---|---|---|---|---|
| RMSE (m) | MAE (m) | R2 | RMSE (m) | MAE (m) | R2 | ||
| t + 1 | HSWt | ||||||
| HSWt, HSWt−1, | 0.0404 | 0.0285 | 0.9866 | 0.0408 | 0.0288 | 0.9881 | |
| HSWt, HSWt−1, HSWt−2 | 0.0339 | 0.0232 | 0.9906 | 0.0394 | 0.0277 | 0.9888 | |
| t + 2 | HSWt, HSWt−1, HSWt−2 | 0.0472 | 0.0321 | 0.9817 | 0.0543 | 0.0387 | 0.9777 |
| t + 4 | HSWt, HSWt−1, HSWt−2 | 0.0806 | 0.0581 | 0.9491 | 0.0838 | 0.0598 | 0.9470 |
| t + 8 | HSWt, HSWt−1, HSWt−2 | 0.1284 | 0.0888 | 0.9119 | 0.1362 | 0.0997 | 0.8671 |
| t + 12 | HSWt, HSWt−1, HSWt−2 | 0.1592 | 0.1087 | 0.8782 | 0.1755 | 0.1310 | 0.7790 |
| t + 24 | HSWt, HSWt−1, HSWt−2 | 0.1932 | 0.1428 | 0.7038 | 0.2363 | 0.1797 | 0.6024 |
| Time Horizon | Input Combination | Training Period | Test Period | ||||
|---|---|---|---|---|---|---|---|
| RMSE (m) | MAE (m) | R2 | RMSE (m) | MAE (m) | R2 | ||
| t + 1 | HSWt | 0.0413 | 0.0290 | 0.9859 | 0.0435 | 0.0305 | 0.9864 |
| HSWt, HSWt−1, | 0.0402 | 0.0284 | 0.9867 | 0.0405 | 0.0286 | 0.9882 | |
| HSWt, HSWt−1, HSWt−2 | 0.0330 | 0.0227 | 0.9911 | 0.0391 | 0.0274 | 0.9890 | |
| t + 2 | HSWt, HSWt−1, HSWt−2 | 0.0450 | 0.0305 | 0.9833 | 0.0530 | 0.0374 | 0.9799 |
| t + 4 | HSWt, HSWt−1, HSWt−2 | 0.0801 | 0.0573 | 0.9596 | 0.0835 | 0.0592 | 0.9499 |
| t + 8 | HSWt, HSWt−1, HSWt−2 | 0.1263 | 0.0824 | 0.9124 | 0.1358 | 0.0996 | 0.8678 |
| t + 12 | HSWt, HSWt−1, HSWt−2 | 0.1573 | 0.1079 | 0.8808 | 0.1754 | 0.1308 | 0.7792 |
| t + 24 | HSWt, HSWt−1, HSWt−2 | 0.1919 | 0.1414 | 0.7085 | 0.2322 | 0.1776 | 0.6134 |
| Models | HSWt, | HSWt, HSWt−1, | HSWt, HSWt−1, HSWt−2 | Mean Time |
|---|---|---|---|---|
| M5RT | 0.1638 | 0.1724 | 0.1782 | 0.1715 |
| MARS | 0.1437 | 0.1519 | 0.1576 | 0.1511 |
| PCR | 0.1346 | 0.1482 | 0.1543 | 0.1457 |
| RF | 0.1083 | 0.1176 | 0.1217 | 0.1159 |
| PLSR | 0.1158 | 0.1264 | 0.1359 | 0.1260 |
| GPR | 0.0979 | 0.1068 | 0.1126 | 0.1058 |
Disclaimer/Publisher’s Note: The statements, opinions and data contained in all publications are solely those of the individual author(s) and contributor(s) and not of MDPI and/or the editor(s). MDPI and/or the editor(s) disclaim responsibility for any injury to people or property resulting from any ideas, methods, instructions or products referred to in the content. |
© 2023 by the authors. Licensee MDPI, Basel, Switzerland. This article is an open access article distributed under the terms and conditions of the Creative Commons Attribution (CC BY) license (https://creativecommons.org/licenses/by/4.0/).
Share and Cite
Ikram, R.M.A.; Cao, X.; Parmar, K.S.; Kisi, O.; Shahid, S.; Zounemat-Kermani, M. Modeling Significant Wave Heights for Multiple Time Horizons Using Metaheuristic Regression Methods. Mathematics 2023, 11, 3141. https://doi.org/10.3390/math11143141
Ikram RMA, Cao X, Parmar KS, Kisi O, Shahid S, Zounemat-Kermani M. Modeling Significant Wave Heights for Multiple Time Horizons Using Metaheuristic Regression Methods. Mathematics. 2023; 11(14):3141. https://doi.org/10.3390/math11143141
Chicago/Turabian StyleIkram, Rana Muhammad Adnan, Xinyi Cao, Kulwinder Singh Parmar, Ozgur Kisi, Shamsuddin Shahid, and Mohammad Zounemat-Kermani. 2023. "Modeling Significant Wave Heights for Multiple Time Horizons Using Metaheuristic Regression Methods" Mathematics 11, no. 14: 3141. https://doi.org/10.3390/math11143141
APA StyleIkram, R. M. A., Cao, X., Parmar, K. S., Kisi, O., Shahid, S., & Zounemat-Kermani, M. (2023). Modeling Significant Wave Heights for Multiple Time Horizons Using Metaheuristic Regression Methods. Mathematics, 11(14), 3141. https://doi.org/10.3390/math11143141

