Next Article in Journal
On Primal Soft Topology
Previous Article in Journal
Synchronization Analysis of Linearly Coupled Systems with Signal-Dependent Noises
 
 
Font Type:
Arial Georgia Verdana
Font Size:
Aa Aa Aa
Line Spacing:
Column Width:
Background:
Article

A Mathematical Study for the Transmission of Coronavirus Disease

Department of Mathematics, College of Science, University of Baghdad, Baghdad 10071, Iraq
*
Author to whom correspondence should be addressed.
Mathematics 2023, 11(10), 2330; https://doi.org/10.3390/math11102330
Submission received: 20 April 2023 / Revised: 6 May 2023 / Accepted: 13 May 2023 / Published: 16 May 2023
(This article belongs to the Section E3: Mathematical Biology)

Abstract

Globally, the COVID-19 pandemic’s development has presented significant societal and economic challenges. The carriers of COVID-19 transmission have also been identified as asymptomatic infected people. Yet, most epidemic models do not consider their impact when accounting for the disease’s indirect transmission. This study suggested and investigated a mathematical model replicating the spread of coronavirus disease among asymptomatic infected people. A study was conducted on every aspect of the system’s solution. The equilibrium points and the basic reproduction number were computed. The endemic equilibrium point and the disease-free equilibrium point had both undergone local stability analyses. A geometric technique was used to look into the global dynamics of the endemic point, whereas the Castillo-Chavez theorem was used to look into the global stability of the disease-free point. The system’s transcritical bifurcation at the disease-free point was discovered to exist. The system parameters were changed using the basic reproduction number’s sensitivity technique. Ultimately, a numerical simulation was used to apply the model to the population of Iraq in order to validate the findings and define the factors that regulate illness breakout.

1. Introduction

Epidemic modeling refers to a group of methods for analyzing the transmission of infectious agents among host populations using mathematical, statistical, and computational tools. It makes use of information and theories that describe the demographic trends, environmental traits, chances for disease transmission, and health effects of diseases [1]. It can be applied to quantification, a hypothesis based on creating forecasts and scenarios, and logical verification because it comes with appropriate evolution equations [2]. These models, like those used in other scientific fields, concentrate on the subset of characteristics and mechanisms thought to be the primary causes of a phenomenon. These models were, thus, built as a result of structural decisions driven by prior knowledge, data, observation, and a set of assumptions based on our comprehension of the phenomenon being studied. Consequently, to understand and discuss the transmission of infectious illnesses throughout human and animal populations, mathematical models are, therefore, crucial. They help with researching a disease’s dynamic behavior, forecasting the number of cases, and figuring out how the disease spreads by locating the basic reproduction number [3]. Additionally, it aids in choosing the most appropriate preventive strategies to use. Several epidemic models have been presented [4,5,6,7,8,9] and the references therein to comprehend and forecast the spread of infectious diseases. The susceptible and infectious populations are separated into two categories in the SI model, and the size of each group varies according to predetermined differential equations. The SI model has been expanded to include susceptible–infected–susceptible (SIS), susceptible–infected–recovered (SIR), susceptible–infected–recovered–susceptible (SIRS), susceptible–infected–dead (SIRD), susceptible–exposed–infected–recovered (SEIR), and many more, taking into account actual conditions, such as reinfection, recovery, immunity, population change, and exposure.
A contagious condition called coronavirus disease (COVID-19) is brought on by SARS-CoV-2. On 31 December 2019, Wuhan, China, released information on the first instance. COVID-19 can spread from person to person through droplets from the mouth or nose that are released when someone coughs, sneezes, talks, sings, or breathes loudly. In addition, contamination can happen when a healthy person contacts surfaces of things contaminated by droplets near an infected person [10]. Most COVID-19-virus-infected individuals will experience a mild to severe respiratory infection and recover without special care. Severe illnesses are more likely to strike older persons and those with underlying medical conditions such as cancer, diabetes, cardiovascular disease, or chronic respiratory diseases [11]. Based on this, the World Health Organization proclaimed the new COVID-19 a global public health emergency. A global pandemic was declared due to the new virus’s rapid spread and apparent high contagiousness. This disease’s potential global pandemic status has led to a high rate of the seriousness of the virus to the public’s health. According to reports, COVID-19 takes 3 to 7 days to incubate and can take up to 14 days on average [12]. One crucial distinction between COVID-19 and its close sibling SARS is that the novel coronavirus is thought to be contagious during incubation when no symptoms are seen in the patients [13]. Several steps have been taken to contain the outbreak, mostly quarantines to stop further transmission. Anybody who has been exposed to COVID-19 must complete a 14-day self-isolation. A nucleic acid kit was created to diagnose patients around 25 January 2020. Later, clinical diagnostics was employed to help confirm COVID-19 infection around the globe, including in all of China’s provinces.
Several researchers have proposed and investigated epidemiological models, taking into account various biological elements to comprehend the propagation of this pandemic, see, for example [11,12,13,14,15,16,17,18,19,20]. A mathematical model for the transmission of the COVID-19 disease was proposed and examined by Kassa et al. [14]. They demonstrated that when recovered people do not develop long-lasting immunity to the disease, the model exhibits a backward bifurcation at R_0 = 1. Din et al.’s new SEIR epidemic model, which captures the dynamics of COVID-19 under a convex incidence rate, is made up of four compartments: susceptible, exposed, infected, and recovered. Dehingia et al. [16] take into account how memory and the carrier affect the complex within-host behavior of the SARS-CoV-2 model. In accordance with the Caputo fractional-order derivative, they developed a mathematical model of the SARS-CoV-2 virus. Mamo [17] created the SHEIQRD coronavirus pandemic spread model, which stands for susceptible–stay at home–exposed–infected–quarantine–recovery–death. A mathematical model was put up to analyze the (COVID-19) outbreak in Wuhan, China [18]. In addition to emphasizing the significance of the environmental reservoir in the transmission and spread of this disease, their model detailed the several transmission pathways in the infection dynamics. With epidemic data up to 30 April 2020, Samui et al. [19] proposed a compartmental mathematical model to forecast and regulate the transmission dynamics of the COVID-19 pandemic in India. A compartmental model was used to examine the dynamics of the disease’s dissemination in South Africa, see Garba et al. [20]. The model’s inclusion of the effect of COVID-19-infected people contaminating the environment is a noteworthy aspect. Olivares and Staffetti [21] quantified the uncertainty and performed a sensitivity analysis on a mathematical model of the dynamics of SARS-CoV-2 virus transmission. A compartmental epidemic model was especially considered, including vaccination, social distance measures, and testing of vulnerable individuals. Recently, the COVID-19 pandemic model’s dynamic behavior has been suggested and examined; for more information, read Mohsen et al. [22]. They believe that a curfew technique was being used in addition to social isolation to contain the spread of the disease.
The COVID-19 pandemic model, which has categories for susceptible, exposed, infected (symptomatic and asymptomatic), and recovered using a standard incidence rate, is proposed and examined in this work. The Castillo-Chavez theorem [23] is utilized to examine the worldwide stability of the disease-free point, whereas a geometric technique [24] is used to examine the global dynamics of the endemic point. In this work, the fundamental reproduction number is subjected to sensitivity analysis. Finally, a model application is made to predict and control Iraq’s COVID-19 pandemic’s transmission patterns.

2. Model Construction

In this section, an epidemiological model simulating the COVID-19 disease is constructed mathematically. The following hypotheses are adopted in the construction of the model:
  • The disease divides the population into the following five compartments: susceptible individuals that are denoted by their size at time, t , by S t ; exposed individuals that are denoted by their size at time, t , by E t ; symptomatic infected individuals that are represented by their size at time, t , by I t ; asymptomatic infected individuals that are represented by their size at time, t , by J t ; and recovered individuals that are represented by their individual’s size at time, t , by R t .
  • The disease is transmitted by contact between susceptible individuals and infected (symptomatic and asymptomatic) with a standard incidence rate. The newly infected individuals become exposed first before they are transferred to one of the infected compartments.
  • The disease may cause death or else recovery at a specific rate.
According to the above hypotheses, the dynamics of disease within a specific population can be represented using the following set of nonlinear differential equations:
d S d t = A β I + ρ J S N μ S ,                 d E d t = β I + ρ J S N γ E μ E ,               d I d t = α γ E δ 1 I μ + d 1 I ,               d J d t = 1 α γ E δ 2 J μ + d 2 J , d R d t = δ 1 I + δ 2 J μ R .                        
where S 0 > 0 , E 0 0 , I 0 0 , J 0 0 , and R 0 0 ; all the parameters are positive constants and described in Table 1. Obviously, the right-hand side functions of System (1) are continuous and have continuous partial derivatives on the domain, + 5 . Consequently, the solution of System (1) exists and is unique on the interval t 0 , τ with 0 < τ < + .
Theorem 1.
The solutions of System (1) starting in the interior of  + 5  remain positive for all time.
Proof of Theorem 1.
Consider the solution S t , E t , I t , J t , R t of System (1) starting at the point S 0 , E 0 , I 0 , J 0 , R 0 . Now, from the first equation of (1), it can be obtained that:
S t = S 0 exp 0 t A S u β I u + ρ J u N μ d u > 0 .
Similarly,
E t = E 0 exp 0 t β I u + ρ J u S u E u N γ μ d u > 0 ,
I t = I 0 exp 0 t α γ E u I u δ 1 μ + d 1 d u > 0 .
J t = J 0 exp 0 t 1 α γ E u J u δ 2 μ + d 2 d u > 0
R t = R 0 exp 0 t δ 1 I u + δ 2 J u R u μ d u > 0
Hence, for all starting points in + 5 , the solution remains positive for all time. □
Theorem 2.
All solutions of System (1) are uniformly bounded.
Proof of Theorem 2.
Let M t = S t + E t + I t + J t + R t ; then, applying some calculations gives:
  d M d t = A μ S μ E μ + d 1 I μ + d 2 J μ R   A μ S + E + I + J + R = A μ M  
Direct computation gives:
M t A μ 1 e μ t + M 0 e μ t .
Therefore, for t , it can be obtained that M t N L . Therefore, all of System (1)’s solutions will reach the region:
D = S , E , I , J , R + 5 :   0 < M t A μ
Thus, all the solutions are uniformly bounded. □
Note that since the last equation of System (1) becomes a linear differential equation for the variable R t at a fixed solution’s values I t , J t , it can be solved separately after solving the first four equations that are represented in the following system:
d S d t = A β I + ρ J S N μ S = f 1 S , E , I , J ,               d E d t = β I + ρ J S N γ E μ E = f 2 S , E , I , J ,           d I d t = α γ E δ 1 I μ + d 1 I = f 3 S , E , I , J ,           d J d t = 1 α γ E δ 2 J μ + d 2 J = f 4 S , E , I , J .

3. Stability and Basic Reproduction Number

This section treats the existence of equilibrium points and the computation of the basic reproduction number. It is obvious that System (2) has two possible equilibrium points: the disease-free equilibrium point (DFEP), which is given by E 0 = A μ , 0 , 0 , 0 , and the endemic equilibrium point (EEP), which is denoted by E 1 = S * , E * , I * , J * , is determined as follows:
S * = A N β I * + μ N + β ρ J * , E * = ( μ + d 1 + δ 1 ) α γ I * , J * = γ + μ β μ + d 1 + δ 1 I * 2 + A α β γ + N μ γ + μ ( μ + d 1 + δ 1 ) I * β ρ A α γ ( γ + μ ) ( μ + d 1 + δ 1 ) I * , I * = A α 2 β γ μ + d 2 + δ 2 + A β γ ρ α 1 α μ + d 1 + δ 1 N μ α ( γ + μ ) ( μ + d 1 + δ 1 ) ( μ + d 2 + δ 2 ) β γ + μ μ + d 1 + δ 1 α μ + d 2 + δ 2 + 1 α ρ μ + d 1 + δ 1 .
Obviously, the endemic equilibrium point, E 1 = S * , E * , I * , J * , exists provided that the following condition is satisfied:
A α β γ μ + d 2 + δ 2 + A 1 α β γ ρ μ + d 1 + δ 1 N μ γ + μ μ + d 1 + δ 1 μ + d 2 + δ 2 > 1
Now, in order to compute the basic reproduction number, the approach given by Driessche and Watmough is used below [25]. One of the most fundamental and frequently employed metrics for the analysis of how a disease spreads is the basic reproduction number. It is described as the typical number of secondary cases that a primary case would cause in a completely susceptible population. In fact, it gives a broad indication of the likelihood that an infection would spread within a community, and it depends on both the transmission coefficient and the typical infectiousness length.
The compartments of System (2) are initially arranged so that the first m compartments correspond to infected people. Then, the vector of the rates of appearance of new infections in the arranged system is determined by:
F = β I + ρ J S N 0 0 0 .
The difference between the vector of the rates of transfer of individuals into the compartments of System (2) is determined through all other methods and the vector of the rates of transfer of individuals out of the compartments of System (2) is determined through:
V = γ E + μ E α γ E + δ 1 I + μ + d 1 I 1 α γ E + δ 2 J + μ + d 2 J A + β I + ρ J S N + μ S .
Accordingly, using Lemma 1, which is given by Driessche and Watmough in [25], the following is determined.
The directional derivatives of F and V are computed as follows, respectively:
D F = 0 S β N S β ρ N β I + J ρ N 0 0 0 0 0 0 0 0 0 0 0 0 .
D V = γ + μ 0 0 0 α γ μ + d 1 + δ 1 0 0 1 + α γ 0 μ + d 2 + δ 2 0 0 S β N S β ρ N μ + β I + J ρ N .
Accordingly, at the equilibrium point E 0 , it can be obtained that:
D F E 0 = 0 A β N μ A β ρ N μ 0 0 0 0 0 0 0 0 0 0 0 0 0 .
D V E 0 = γ + μ 0 0 0 α γ μ + d 1 + δ 1 0 0 1 + α γ 0 μ + d 2 + δ 2 0 0 A β N μ A β ρ N μ μ .
Now, since the compartments in System (2) involved three infected compartments, the basic reproduction number represents the maximum eigenvalues of the matrix, F 1 V 1 1 , where
F 1 = 0 A β N μ A β ρ N μ 0 0 0 0 0 0 ,
while
V 1 = γ + μ 0 0 α γ μ + d 1 + δ 1 0 1 + α γ 0 μ + d 2 + δ 2 .
Direct computation gives:
V 1 1 = 1 γ + μ 0 0 α γ γ + μ μ + d 1 + δ 1 1 μ + d 1 + δ 1 0 1 + α γ γ + μ μ + d 2 + δ 2 0 1 μ + d 2 + δ 2 .
Therefore,
F 1 V 1 1 = A α β γ N μ γ + μ μ + d 1 + δ 1 A 1 + α β γ ρ N μ γ + μ μ + d 2 + δ 2 A β N μ μ + d 1 + δ 1 A β ρ N μ μ + d 2 + δ 2 0 0 0 0 0 0 .
Hence, it is easy to verify that the maximum eigenvalues of F 1 V 1 1 , which is known as the basic reproduction number, is given by:
R 0 = A α β γ N μ γ + μ μ + d 1 + δ 1 + A 1 α β γ ρ N μ γ + μ μ + d 2 + δ 2 .
Note that, according to the form of R 0 and the existence of Condition (4), it is clear that the EEP exists if, and only if, R 0 > 1 .
Now to study the stability of the equilibrium points of System (2), the general Jacobian matrix of System (2) can be written as:
J = I β + N μ + J β ρ N 0 S β N S β ρ N β I + J ρ N γ μ S β N S β ρ N 0 α γ μ d 1 δ 1 0 0 γ α γ 0 μ d 2 δ 2 = c i j 4 × 4 .
Therefore, at the disease-free equilibrium point, the Jacobian matrix will be written as:
J E 0 = μ 0 A β N μ A β ρ N μ 0 γ μ A β N μ A β ρ N μ 0 α γ μ d 1 δ 1 0 0 γ α γ 0 μ d 2 δ 2 = a i j 4 × 4 .
Direct computation shows that the characteristic equation of J E 0 can be written as:
μ λ λ 3 + C 1 λ 2 + C 2 λ + C 3 = 0 ,
where
C 1 = a 22 + a 33 + a 44 = γ + 3 μ + d 1 + d 2 + δ 1 + δ 2 > 0 ,
C 2 = a 22 a 33 a 23 a 32 + a 22 a 44 a 24 a 42 + a 33 a 44   = A β γ α + 1 α ρ N μ + 2 γ + 3 μ μ + γ + 2 μ d 1 + γ + 2 μ + d 1 d 2 + γ + 2 μ + d 2 δ 1 + γ + 2 μ + d 1 + δ 1 δ 2
C 3 = a 22 a 33 a 44 a 24 a 42 a 33 a 23 a 32 a 44   = A α β γ μ + d 2 + δ 2 N μ A β γ 1 α ρ μ + d 1 + δ 1 N μ + γ + μ μ + d 1 + δ 1 μ + d 2 + δ 2 = γ + μ μ + d 1 + δ 1 μ + d 2 + δ 2 R 0 1   .
The expression Δ = C 1 C 2 C 3 can be determined as:
Δ = a 22 + a 33 a 22 a 33 a 23 a 32 a 22 + a 44 a 22 a 44 a 24 a 42 a 33 a 44 2 a 22 + a 33 + a 44
Clearly, Equation (8) has one explicit negative eigenvalue that is given by λ 01 = μ , while the other eigenvalues have negative real parts, provided that C 1 > 0 , C 3 > 0 and Δ > 0 . It is easy to verify that these Routh–Hurwitz stability criterion conditions are satisfied if, and only if, the following condition is met:
R 0 = A α β γ μ + d 2 + δ 2 + A 1 α β γ ρ μ + d 1 + δ 1 N μ γ + μ μ + d 1 + δ 1 μ + d 2 + δ 2 < 1 .
However, reflecting Condition (9) leads to C 3 < 0 ; then, E 0 becomes an unstable point.
The Jacobian matrix at the endemic equilibrium point can be written as:
J E 1 = I * β + N μ + J * β ρ N 0 S * β N S * β ρ N β I * + J * ρ N γ μ S * β N S * β ρ N 0 α γ μ d 1 δ 1 0 0 γ α γ 0 μ d 2 δ 2 = b i j 4 × 4
Accordingly, the characteristic equation can be determined as:
λ 4 + B 1 λ 3 + B 2 λ 2 + B 3 λ + B 4 = 0 ,
where
B 1 = b 11 + b 22 + b 33 + b 44 .
B 2 = b 11 b 22 + b 11 b 33 + b 11 b 44 + b 22 b 33 b 23 b 32 + b 22 b 44 b 24 b 42 + b 33 b 44 .
B 3 = b 11 A 1 b 11 + b 33 A 2 b 44 A 3 b 13 b 21 b 32 b 14 b 21 b 42 .
B 4 = b 11 b 33 A 2 b 32 b 44 A 4 + b 14 b 21 b 33 b 42 .
With A 1 = b 22 b 33 b 23 b 32 , A 2 = b 22 b 44 b 24 b 42 , A 3 = b 11 b 33 b 23 b 32 , and A 4 = b 11 b 23 b 13 b 21 . Moreover,
B 1 B 2 B 3 = b 11 b 22 + b 33 + b 44 B 1 b 22 + b 33 A 1 b 22 + b 44 A 2 b 33 b 44 2 b 22 + b 33 + b 44 A 5 ,
where A 5 = b 13 b 21 b 32 + b 14 b 21 b 42 < 0 , and
B 1 B 2 B 3 B 3 B 1 2 B 4 = b 11 2 b 22 + b 33 + b 44 B 1 A 1 + b 11 b 22 + b 33 A 1 2 + b 11 b 22 + b 44 A 1 A 2 + b 11 A 1 [ b 33 b 44 2 b 22 + b 33 + b 44 A 5 ] b 11 b 22 + b 33 + b 44 b 11 + b 33 B 1 A 2 + b 22 + b 33 b 11 + b 33 A 1 A 2 + b 22 + b 44 b 11 + b 33 A 2 2 + b 11 + b 33 A 2 [ b 33 b 44 2 b 22 + b 33 + b 44 A 5 ] b 11 b 44 b 22 + b 33 + b 44 B 1 A 3 + b 44 b 22 + b 33 A 1 A 3 + b 44 b 22 + b 44 A 2 A 3 + b 44 A 3 [ b 33 b 44 2 b 22 + b 33 + b 44 A 5 ] b 11 b 22 + b 33 + b 44 A 5 B 1 + b 22 + b 33 A 5 A 1 + b 22 + b 44 A 5 A 2 + A 5 [ b 33 b 44 2 b 22 + b 33 + b 44 A 5 ] b 11 b 33 b 11 + b 22 + b 33 + b 44 2 A 2 + b 32 b 44 b 11 + b 22 + b 33 + b 44 2 A 4 b 14 b 21 b 42 b 33 b 11 + b 22 + b 33 + b 44 2 2 ( b 11 b 22 + b 33 b 44 ) b 14 b 21 b 42 b 33
In terms of the elements of J E 1 , the characteristic equation coefficients become:
B 1 = γ + μ + β I * + ρ J * + N μ N + μ + d 1 + δ 1 + μ + d 2 + δ 2 .
B 2 = α β γ S * N β γ 1 α ρ S * N + μ + d 1 + δ 1 μ + d 2 + δ 2 + γ + μ + μ + d 1 + δ 1 + μ + d 2 + δ 2 β I * + ρ J * + N μ N + γ + μ μ + d 1 + δ 1 + μ + d 2 + δ 2 .
B 3 = α β γ μ S * N β γ 1 α μ ρ S * N α β γ μ + d 2 + δ 2 S * N β γ 1 α ρ μ + d 1 + δ 1 S * N + γ + μ β I * + ρ J * + N μ μ + d 1 + δ 1 + μ + d 2 + δ 2 N + β I * + ρ J * + N μ μ + d 1 + δ 1 μ + d 2 + δ 2 N + γ + μ μ + d 1 + δ 1 μ + d 2 + δ 2 .
B 4 = α β γ μ S * μ + d 2 + δ 2 N β γ 1 α μ ρ S * μ + d 1 + δ 1 N + γ + μ β I * + ρ J * + N μ μ + d 1 + δ 1 μ + d 2 + δ 2 N
With
A 1 = γ + μ μ + d 1 + δ 1 S * β α γ N .
A 2 = γ + μ μ + d 2 + δ 2 S * β α N γ 1 α .
A 3 = N μ + I * + J * ρ β N μ + d 1 + δ 1 S * β α γ N .
A 4 = N μ + I * + J * ρ β N S * β N + S * β N β I * + J * ρ N = μ N < 0 .
A 5 = S * β 2 I * + J * ρ α γ + S * ρ β 2 I * + J * ρ γ 1 α N 2 < 0 .
Theorem 3.
The endemic equilibrium point is locally asymptotically stable if the following condition is met:
S * β γ N < min γ + μ μ + d 1 + δ 1 α , γ + μ μ + d 2 + δ 2 ρ 1 α , N μ + I * + J * ρ β μ + d 1 + δ 1 N α , N μ + d 1 + δ 1   μ + d 2 + δ 2 2 γ + μ + μ + d 1 + δ 1 + μ + d 2 + δ 2 β I * + J * ρ α + ρ 1 α
Proof of Theorem 3.
This follows directly through using the Routh–Hurwitz stability criterion, which guarantees that all the eigenvalues of J E 1 have negative real parts provided that the following requirements are met: B 1 > 0 , B 3 > 0 , B 4 > 0 , B 1 B 2 B 3 > 0 and B 1 B 2 B 3 B 3 B 1 2 B 4 > 0 .

4. Global Stability

This section studies the global stability of the equilibrium points of System (2). For the disease-free equilibrium point, the Castillo-Chavez approach [23] is used to study its global stability, while the geometric approach will be used to study the global stability of the endemic point.
The Castillo-Chavez approach asserts that, if the following two states, (H1) and (H2), satisfy when R 0 < 1 , the disease-free equilibrium point will be a global asymptotically stable point. First, System (2) can be rewritten in the form:
d X d t = K X , Y   d Y d t = G X , Y ; G X , 0 = 0
where X p , so that its components denote the number of uninfected individuals, and Y q , where its components denote the number of infected individuals. Thus, U 0 = x 0 , 0 denotes the disease-free equilibrium of System (13).
The conditions, (H1) and (H2), below must be satisfied to guarantee local asymptotic stability:
H1. 
For d X d t = K X , 0 ,  U 0  is globally asymptotically stable,
H2. 
G X , Y = B Y G ^ X , Y ,  G ^ X , Y 0  for X , Y Ω ,
where B = D Y   G U 0 is an M-matrix (the off-diagonal elements of A are non-negative) and Ω is the region where the model makes biological sense. If System (13) satisfies the above two conditions, then the following theorem holds [23]:
Castillo-Chavez Theorem.
The fixed point   U 0 = x 0 , 0  is a globally asymptotic stable equilibrium of (13) provided that  R 0 < 1  and that assumptions (H1) and (H2) are satisfied.
Now, an application to the above theorem for System (2) gives:
X = S T ,   Y = E , I , J ) T ,   U 0 = x 0 , 0 = S 0 , 0 ,   and   K X , 0 = A μ S
Clearly, as t , then X x 0 = S 0 ; hence, X = S 0 is globally asymptotically stable. Moreover,
B = γ + μ β β ρ α γ μ + d 1 + δ 1 0 1 α γ 0 μ + d 2 + δ 2
and
G ^ X , Y = β I + ρ J S 0 S N 0 0
For System (2), A μ   S 0 represents the upper bound of the total population. Hence, S 0 > S N , which leads to G ^ X , Y 0 for all X , Y + 4 . Thus, the assumptions, (H1) and (H2), of the Castillo-Chavez theorem are satisfied for System (2), and hence, the following theorem follows.
Theorem 4.
When Condition (9) holds, then the disease-free equilibrium point is globally asymptotically stable.
The endemic equilibrium point, E 1 = S * , E * , I * , J * , is widely known to be globally asymptotically stable with regard to an open set, say Γ , if it is locally asymptotically stable and its basin of attraction contains Γ . Therefore, in the following, an application to the second additive compound matrix technique, which is known as the geometrical approach [24], along with autonomous convergence theorems developed in [26], is used to study the global stability of E 1 .
Consider the following autonomous dynamical system that corresponds to System (2):
d W d t = F W   ,   W = S E I J ,   F = f 1 S , E , I , J f 2 S , E , I , J f 3 S , E , I , J f 4 S , E , I , J ,
where F : Γ 4 is a simply connected open set and F C 1 Γ .
The endemic equilibrium point, E 1 , is said to be globally stable in Γ provided that it is locally stable and all the trajectories in Γ approach it.
Let Q W be a 6 × 6 matrix-valued function that is C 1 for W Γ , and assume that Q 1 W exists and is continuous for W Γ , the compact absorbing set so that they can be defined by:
Q = 1 I 0 0 0 0 0 0 1 I 0 0 0 0 0 0 0 1 I 0 0 0 0 1 E 0 0 0 0 0 0 0 1 E 0 0 0 0 0 0 1 E ,   Q 1 = I 0 0 0 0 0 0 I 0 0 0 0 0 0 0 E 0 0 0 0 I 0 0 0 0 0 0 0 E 0 0 0 0 0 0 E .
Consider
Ξ = Q F Q 1 + Q M Q 1 ,
where Q F is the matrix of the directional derivatives in the direction of F , and M is the second additive compound matrix of Jacobian matrix (6) (see [27,28]), which can be determined as follows:
Q F = I I 2 0 0 0 0 0 0 I I 2 0 0 0 0 0 0 0 I I 2 0 0 0 0 E E 2 0 0 0 0 0 0 0 E E 2 0 0 0 0 0 0 E E 2 ,
M = m i j 4 × 4 ,
where
m 11 = β I + J ρ N γ 2 μ ,   m 12 = S β N ,   m 13 = S β ρ N ,   m 14 = S β N ,   m 15 = S β ρ N ,   m 21 = α γ ,   m 22 = β I + J ρ N 2 μ d 1 δ 1 ,   m 26 = S β ρ N ,   m 31 = γ 1 α ,   m 33 = β I + J ρ N 2 μ d 2 δ 2 ,   m 36 = S β N ,   m 42 = β I + J ρ N ,   m 44 = 2 μ γ d 1 δ 1 ,   m 46 = S β ρ N ,   m 53 = β I + J ρ N ,   m 55 = 2 μ γ d 2 δ 2 ,   m 56 = S β N ,   m 64 = γ 1 α ,   m 65 = α γ ,   m 66 = 2 μ d 1 δ 1 d 2 δ 2 . m 16 = m 23 = m 24 = m 25 = m 32 = m 34 = m 35 = m 41 = m 43 = m 45 = m 51 = m 52 = m 54 = m 61 = m 62 = m 63 = 0
Accordingly, the matrix, Ξ , can be written as:
Ξ = ξ i j 6 × 6 ,
where
ξ 11 = I I + m 11 ,   ξ 12 = m 12 ,   ξ 13 = m 14 ,   ξ 14 = E m 13 I ,   ξ 15 = E m 15 I ,   ξ 16 = 0 , ξ 21 = m 21 ,   ξ 22 = I I + m 22 ,   ξ 23 = ξ 24 = ξ 25 = 0 ,   ξ 26 = E m 26 I , ξ 31 = ξ 34 = ξ 35 = 0 ,   ξ 32 = m 42 ,   ξ 33 = I I + m 44 ,   ξ 36 = E m 46 I , ξ 41 = I m 31 E ,   ξ 42 = ξ 43 = ξ 45 = 0 ,   ξ 44 = E E + m 33 ,   ξ 46 = m 36 , ξ 51 = ξ 52 = ξ 53 = 0 ,   ξ 54 = m 53 ,   ξ 55 = E E + m 55 ,   ξ 56 = m 56 , ξ 61 = ξ 62 = ξ 64 = 0 ,   ξ 63 = I m 64 E ,   ξ 65 = m 65 ,   ξ 66 = E E + m 66 .
Define the Lozinskii measure of Ξ with respect to a vector norm |∙| in 4 as [29]:
μ Ξ = lim h 0 + Ι + h   Ξ 1 h .
Consequently, the geometrical approach used in the following depends on the following two lemmas [24].
Lemma 1
If  Γ 1  is a compact absorbing subset in the interior of  Γ , and there exists  σ > 0  and a Lozinskii measure  μ Ξ σ  for all  Z Γ 1 , then every omega point of System (2) in the interior of  Γ  is an equilibrium in  Γ 1 .
Lemma 2
If  R 0 > 1  and there exists a Lozinskii measure, such that   μ Ξ < 0  for all  Z    in the interior of  Γ , then each orbit of System (2), which intersects the interior of  Γ , limits the endemic equilibrium point.
Note that, the Lozinskii measure described in Lemma 1 above can be determined by [30]:
μ Ξ = inf c : D + Z c Z   for   all   solutions   of   Z = Ξ Z ,
where the right-hand derivative, D + , is used. Therefore, the endemic equilibrium is globally asymptotically stable for R 0 > 1 if it can be identified as a norm on 6 , for which the associated Lozinski measure met μ Ξ < 0 for all Z in the interior of Γ .
Now, a norm on 6 for which the definition varies from one orthant to another can be defined as follows [31]:
Z = max H 1 , H 2 ,
where Z = z 1 , z 2 , z 3 , z 4 , z 5 , z 6 T 6 , and
H 1 z 1 , z 2 , z 3 = { max z 1 , z 2 + z 3               i f   s g n z 1 = s g n z 2 = s g n z 3 , max z 2 , z 1 + z 3               i f   s g n z 1 = s g n z 2 = s g n z 3 , max z 1 , z 2 , z 3               i f   s g n z 1 = s g n z 2 = s g n z 3 , max z 1 + z 3 , z 2 + z 3       i f   s g n z 1 = s g n z 2 = s g n z 3 , .
H 2 z 4 , z 5 , z 6 = { z 4 + z 5 + z 6               i f   s g n z 4 = s g n z 5 = s g n z 6 , max z 4 + z 5 , z 4 + z 6               i f   s g n z 4 = s g n z 5 = s g n z 6 , max z 5 , z 4 + z 6               i f   s g n z 4 = s g n z 5 = s g n z 6 , max z 4 + z 6 , z 5 + z 6       i f   s g n z 4 = s g n z 5 = s g n z 6 , .
Theorem 5.
Assume that  R 0 > 1  . The endemic equilibrium point of System (2) is globally asymptotically stable if the following inequality is met:
max I I + β I + ρ J N + γ + 2 μ S β N E I S β ρ N , I I + 2 μ + d 1 + δ 1 α γ , I I + S β N + γ + 2 μ < σ
where  σ > 0  is a constant.
Proof of Theorem 5.
It is clear that the proof follows if the following is obtained:
D + Z max I I + β I + ρ J N + γ + 2 μ S β N E I S β ρ N ,   I I + 2 μ + d 1 + δ 1 α γ , I I + S β N + γ + 2 μ .
Recall that the obtained result in Equation (19) and the Lozinskii measure given in (20) with the norm defined in (21), the following cases can be shown:
Case (1). H 1 Z > H 2 Z and z 1 , z 2 , z 3 > 0 . Clearly, from Equation (21), it can be obtained that Z = max z 1 ,   z 2 + z 3 , so the following subcases appear.
First subcase: when z 1 > z 2 + z 3 , then Z = z 1 = z 1 and H 2 Z < z 1 . Therefore, using Equations (19) and (20) gives:
D + Z = z 1 = I I + m 11 z 1 + S β N z 2 + S β N z 3 + E I S β ρ N z 4 + E I S β ρ N z 5 I I β I + ρ J N γ 2 μ z 1 + S β N z 2 + z 3 + E I S β ρ N z 4 + z 5 .
Since z 1 > z 2 + z 3 , z 4 + z 5 < H 2 Z < z 1 and Z = z 1 , then it can be obtained:
D + Z I I + β I + ρ J N + γ + 2 μ S β N E I S β ρ N Z .
It is simple to demonstrate, by using the linearity, that Inequality (23) also applies when z 1 > z 2 + z 3 and H 1 Z > H 2 Z , as well as when z 1 , z 2 , z 3 < 0 .
Second subcase: when z 1 < z 2 + z 3 , then Z = z 2 + z 3 = z 2 + z 3 and H 2 Z < z 2 + z 3 . Therefore, using Equations (19) and (20) gives:
D + Z = z 2 + z 3 = α γ z 1 + I I + m 22 z 2 + E I S β ρ N z 6   + β I + J ρ N z 2 + I I + m 44 z 3 + E I S β ρ N z 6   = α γ z 1 + I I 2 μ d 1 δ 1 z 2 + I I 2 μ γ d 1 δ 1 z 3 .
Therefore,
D + Z α γ z 1 + I I 2 μ d 1 δ 1 z 2 + z 3
Since z 1 < z 2 + z 3 , H 2 Z < z 2 + z 3 and Z = z 1 , then it can be obtained:
D + Z I I + 2 μ + d 1 + δ 1 α γ Z .
It is simple to demonstrate, by using the linearity, that Inequality (24) also applies when z 1 < z 2 + z 3 and H 1 Z > H 2 Z , as well as when z 1 , z 2 , z 3 < 0 .
Case (2). H 1 Z > H 2 Z and z 1 < 0 < z 2 , z 3 . Clearly, from Equation (21), it can be obtained that Z = max z 1 + z 3 ,   z 2 + z 3 ; thus, the following subcases appear.
First subcase: when z 1 > z 2 , then Z = z 1 + z 3 = z 1 + z 3 and H 2 Z < z 1 + z 3 . Therefore, using Equations (19) and (20) gives:
D + Z = z 1 + z 1 = I I + m 11 z 1 S β N z 2 S β N z 3 E I S β ρ N z 4 E I S β ρ N z 5 + β I + J ρ N z 2 + I I + m 44 z 3 + E I S β ρ N z 6 . = I I β I + J ρ N γ 2 μ z 1 + β I + J ρ N S β N z 2 + I I 2 μ γ d 1 δ 1 S β N z 3 E I S β ρ N z 4 + z 5 + z 6 .
Since z 1 > z 2 , z 4 + z 5 + z 6 < H 2 Z < z 1 + z 3 and Z = z 1 + z 3 , then it can be obtained:
D + Z I I S β N γ 2 μ z 1 + I I 2 μ γ d 1 δ 1 S β N z 3 .
Therefore, it can be obtained:
D + Z I I + S β N + γ + 2 μ Z .
Similarly, it is simple to demonstrate, by using the linearity, that Inequality (25) also applies when z 1 > z 2 and H 1 Z > H 2 Z , as well as when z 2 , z 3 < 0 < z 1 .
Second subcase: when z 1 < z 2 , then Z = z 2 + z 3 = z 2 + z 3 and H 2 Z < z 2 + z 3 . Therefore, using Equations (19) and (20) gives:
D + Z = z 2 + z 3 = α γ z 1 + I I + m 22 z 2 + E I S β ρ N z 6 + β I + J ρ N z 2 + I I + m 44 z 3 + E I S β ρ N z 6                               = α γ z 1 + I I 2 μ d 1 δ 1 z 2 + I I 2 μ γ d 1 δ 1 z 3 .
Therefore,
D + Z α γ z 1 + I I 2 μ d 1 δ 1 z 2 + z 3
Since z 1 < z 2 , H 2 Z < z 2 + z 3 and Z = z 2 + z 3 , then it can be obtained:
D + Z I I + 2 μ + d 1 + δ 1 α γ Z .
Again, it is simple to demonstrate, by using the linearity, that Inequality (26) also applies when z 1 < z 2 and H 1 Z > H 2 Z , as well as when z 2 , z 3 < 0 < z 1 .
Combining the outcomes of the other 12 cases and the 4 cases reported here in Equations (23)–(26), it is possible to arrive at the conclusion:
D + Z max I I + β I + ρ J N + γ + 2 μ S β N E I S β ρ N ,   I I + 2 μ + d 1 + δ 1 α γ , I I + S β N + γ + 2 μ Z .
Hence, due to Condition (22), it can be obtained that μ Ξ < 0 on the interior of the compact absorbing set Γ . Therefore, the endemic equilibrium point of System (2) is globally asymptotically stable under Condition (22), and the proof is complete. □

5. Bifurcation Analysis

Bifurcation happens when the state of a system dramatically alters the topological behavior by tiny smooth variations for specific parameter values. The factors that cause bifurcation are referred to as bifurcation parameters. The purpose of this section is to obtain the bifurcation conditions and attempt to define the possibility of various forms of System (2) bifurcations.
Consider the vector form of System (2), which is given by Equation (14). Then, the second derivate of F with respect to W can be expressed as:
D 2 F W V , V = 2 β v 1 v 3 + ρ v 4 N 2 β v 1 v 3 + ρ v 4 N 0 0 ,
where V = v 1 , v 2 ,   v 3 ,   v 4 T is a general vector. Obviously, D 3 F W V , V , V = 0 ; hence, the pitchfork bifurcation cannot occur in System (2).
Theorem 6.
When  R 0 = 1 , then System (2) nears the disease-free equilibrium point with the parameter  β = N μ γ + μ μ + d 1 + δ 1 μ + d 2 + δ 2 A α γ μ + d 2 + δ 2 + A 1 α γ ρ μ + d 1 + δ 1   β *  , which has:
  • No saddle–node bifurcation;
  • Transcritical bifurcation.
Proof of Theorem 6.
Consider the Jacobian matrix of System (2) at E 0 , β * , which can be rewritten as a function of β * by:
J 0 = J E 0 , β * = μ 0 A β * N μ A β * ρ N μ 0 γ μ A β * N μ A β * ρ N μ 0 α γ μ d 1 δ 1 0 0 γ α γ 0 μ d 2 δ 2 = a i j 4 × 4
Clearly, at β = β * or equivalently R 0 = 1 , the coefficient, C 3 , which is given in Equation (8), becomes:
C 3 = γ + μ μ + d 1 + δ 1 μ + d 2 + δ 2 R 0 1 = 0 .
Hence, the characteristic equation of J 0 can be written as:
λ μ λ λ 2 + C 1 λ + C 2 = 0 ,
where
C 1 = γ + 3 μ + d 1 + d 2 + δ 1 + δ 2 > 0 ,
C 2 = A β γ α + 1 α ρ N μ + 2 γ + 3 μ μ + γ + 2 μ d 1 + γ + 2 μ + d 1 d 2 + γ + 2 μ + d 2 δ 1 + γ + 2 μ + d 1 + δ 1 δ 2 > 0
Therefore, Equation (28) has three negative real part roots (eigenvalues) with the fourth one given by λ = 0 . Thus, the corresponding eigenvector for λ = 0 of J 0 can be written in the form U 1 = u 01 , u 02 , u 03 ,   u 04 T , while the eigenvector corresponding to the λ = 0 of J 0 * T can be represented by Ψ 1 = ψ 01 , ψ 02 , ψ 03 ,   ψ 04 T , where
U 1 = η 1 η 2 η 3 1 ,   Ψ 1 = 0 η 4 η 5 1 ,
where η 1 = a 14 a 22 a 33 a 23 a 32 a 13 a 24 a 32 a 11 a 22 a 33 a 23 a 32 , η 2 = a 24 a 33 a 22 a 33 a 23 a 32 , η 3 = a 24 a 32 a 22 a 33 a 23 a 32 , η 4 = a 33 a 42 a 22 a 33 a 23 a 32 , and η 5 = a 23 a 42 a 22 a 33 a 23 a 32 . Now, since a 22 a 33 a 23 a 32 > 0 , due to R 0 = 1 , then η 1 < 0 , while η i > 0 for i = 2 , 3 , 4 , 5 .
Moreover, using Equations (27) and (29), it can be obtained:
F β = I + ρ J S N I + ρ J S N 0 0 F β E 0 , β * = 0 0 0 0 .
D F β E 0 , β * . U 1 = S 0 N η 3 ρ S 0 N S 0 N η 3 + ρ S 0 N 0 0 .
D 2 F E 0 , β * U 1 , U 1 = 2 β * η 1 η 3 + ρ N 2 β * η 1 η 3 + ρ N 0 0 .
Therefore, straightforward computation shows that:
Ψ 1 T F β E 0 , β * = 0 .
Ψ 1 T D F β E 0 , β * . U 1 = S 0 N η 3 + ρ S 0 N η 4 0 .
Ψ 1 T D 2 F E 0 , β * U 1 , U 1 = 2 β * η 1 η 3 + ρ N η 4 0 .
According to the Sotomayor theorem [32], System (2) has no saddle–node bifurcation, while it has a transcritical bifurcation near E 0 . □

6. Sensitivity Analysis

Sensitivity analysis is used to evaluate the relative effects of various factors on a model’s stability under unclear data. The study can also identify the variables that are important. In order to conduct the analysis, we compute the sensitivity indices of the reproduction number, R 0 , to the model’s parameters using local methods.
The normalized forward sensitivity index, R 0 , serves as the foundation for the local sensitivity study. The following equations are used to derive the sensitivity index of R 0 with respect to the model’s parameters [33]:
S S θ R 0 = θ R 0 R 0 θ ,
where θ is a system’s parameter in the quantity R 0 . Obviously, S S θ R 0 shows how vulnerable R 0 is to a change in the parameter θ . An increase in the parameter value θ causes an increase (or drop) in the R 0 value, according to a positive (or negative) index. Direct computation gives:
S S A R 0 = 1 ,
S S β R 0 = 1 ,
S S ρ R 0 = ρ 1 α μ + d 1 + δ 1 α μ + d 2 + δ 2 + ρ 1 α μ + d 1 + δ 1 ,
S S μ R 0 = α μ 2 γ + 3 μ + γ + 2 μ d 1 + δ 1 μ + d 2 + δ 2 2 + 1 α μ γ + μ ρ μ + d 1 + δ 1 2 + 1 α γ + 2 μ ρ μ + d 1 + δ 1 2 μ + d 2 + δ 2 γ + μ μ + d 1 + δ 1 μ + d 2 + δ 2 α μ + d 2 + δ 2 + ρ 1 α μ + d 1 + δ 1 ,
S S γ R 0 = μ γ + μ ,
S S α R 0 = α μ + d 2 + δ 2 ρ μ + d 1 + δ 1 α μ + d 2 + δ 2 + ρ 1 α μ + d 1 + δ 1 ,
S S δ 1 R 0 = α δ 1 μ + d 2 + δ 2 μ + d 1 + δ 1 α μ + d 2 + δ 2 + ρ 1 α μ + d 1 + δ 1 ,
S S δ 2 R 0 = 1 α ρ δ 2 μ + d 1 + δ 1 μ + d 2 + δ 2 α μ + d 2 + δ 2 + ρ 1 α μ + d 1 + δ 1 ,
S S d 1 R 0 = α d 1 μ + d 2 + δ 2 μ + d 1 + δ 1 α μ + d 2 + δ 2 + ρ 1 α μ + d 1 + δ 1 ,
S S d 2 R 0 = 1 α ρ d 2 μ + d 1 + δ 1 μ + d 2 + δ 2 α μ + d 2 + δ 2 + ρ 1 α μ + d 1 + δ 1 ,
Consequently, we examined the COVID-19 basic reproduction number’s sensitivity using the population of Iraq from March 2020 to March 2021 represented by System (2). In 2020, there were about 40 million people living in Iraq, and their average age will be 71.08. Hence, the daily rates of birth and natural death are A = 1541.8 and μ = 3.8545 × 10 5 , respectively, whereas the estimates for the other variables are provided below:
A = 1541.8 , β = 0.5 , ρ = 0.25 , μ = 0.000038545 , γ = 0.5 , α = 0.2 , δ 1 = 0.2 , δ 2 = 0.3 , d 1 = 0.02 , d 2 = 0.01 , N = 40,000,000
It can be computed that the value of the basic reproduction number is given by R 0 = 0.776946 , and the sensitivity is determined by:
S S A R 0 = 1 ,
S S β R 0 = 1 ,
S S ρ R 0 = 0.41510518632 ,
S S μ R 0 = 1.00023016035 ,
S S γ R 0 = 0.0000770838201 ,
S S α R 0 = 0.48111681618 ,
S S δ 1 R 0 = 0.53162737614 ,
S S δ 2 R 0 = 0.40166475048 ,
S S d 1 R 0 = 0.053162737614 ,
S S d 2 R 0 = 0.013388825016 ,
Therefore, the parameter values provided by Equation (30) are used in Figure 1 to construct the sensitivity indices. The sensitivity indices, however, may change as some of the parameters change.
Figure 1 shows that the parameters A ,   β ,   ρ , α , and γ , are the ones that are positively proportional to the disease outbreak ( R 0 > 1 ). On the other hand, μ ,   δ 1 ,   δ 2 , d 1 , and d 2 provide the set of factors that are negatively proportional to the disease outbreak.

7. Numerical Simulation

In this part, we examine methods for containing the disease epidemic in Iraq between March 2020 and March 2021 utilizing the information provided by Equation (30) and the mathematical model for COVID-19 provided by System (2) as examples. The Runge–Kutta method of order four is used to solve System (2) with the help of Matlab R2021a code.
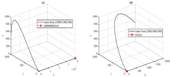
It can be observed that, for the data set (30), R 0 = 0.776946 , and hence, the solution approaches the disease-free equilibrium point, as shown in Figure 2. However, for the data set (30) with β = 1 , the trajectory is plotted in Figure 3.
As can be seen from Figure 3, System (2) approaches the endemic equilibrium point asymptotically when the basic reproduction number increases up to R 0 = 1.5539 . This result supports the finding from the sensitivity section, which suggests that there is a positive correlation between β and R 0 . Similar results were obtained when increasing the values of the parameters A ,   ρ , α , and γ as those obtained with increasing β .
Now, for data set (30) with μ = 0.01 , the trajectory as a function of time is plotted in Figure 4.
As can be seen from Figure 4, System (2) approaches the disease-free equilibrium point asymptotically when the basic reproduction number decreases down to R 0 = 0.0028 . Again, this result supports the finding from the sensitivity section, which suggests that there is a negative correlation between μ and R 0 . Similar results were obtained when increasing the values of the parameters δ 1 ,   δ 2 , d 1 , and d 2 as those obtained with increasing μ .

8. Conclusions

In this paper, a mathematical model that simulates the transition of coronavirus disease (COVID-19) was proposed and studied. Two non-negative equilibrium points were obtained: the disease-free point and the endemic point. It was obtained that the disease-free point is locally as well as globally stable when the basic reproduction number, R 0 , is less than one. However, the endemic point exists when R 0 > 1 . Moreover, it was proven that the endemic point is locally stable and can be globally stable, too, under certain conditions. It was found that for R 0 = 1 , the system undergoes a transcritical bifurcation at the disease-free point. Since the basic reproduction number is a threshold value for controlling the disease outbreak, the sensitivity analysis of the basic reproduction number for altering parameter values was investigated. Last but not least, this model was applied to the COVID-19 population in Iraq. It has been determined that the COVID-19 pandemic can be controlled by decreasing contact between susceptible and infected compartments or by increasing the recovery rates of symptomatic and asymptomatic people. A recent study by Mohsen et al. [22] found that social isolation and the use of curfews are efficient ways to stop the spread of the disease. The authors used conventional methods to investigate the local and global stability analyses of the endemic and disease-free equilibrium points. In contrast, this paper investigates the local and global stability analyses using a number of sophisticated analytical techniques, including the geometric methodology and the Castillo-Chavez theorem. Additionally, to increase the usefulness of the current study, sensitivity analysis was utilized to identify the most crucial subject that describes the impact of the parameters on the spread of disease. The parameters were split into two groups based on the results of the sensitivity analysis: one group is used to control the spread of disease, while the other one raises the likelihood that it will happen. In the future, vaccines and a potential delay in the prescribed treatments and vaccinations can be taken into account.

Author Contributions

The authors H.A.S. and R.K.N. contributed to the conception and design of the model, acquisition of data, analysis, interpretation, drafting of the manuscript, revision, and proofreading. All authors have read and agreed to the published version of the manuscript.

Funding

This research received no external funding.

Data Availability Statement

Not applicable.

Conflicts of Interest

The authors declare no conflict of interest.

References

  1. Keeling, M.J.; Rohani, P. Modeling Infectious Diseases in Humans and Animals; Princeton University Press: Princeton, NJ, USA, 2008. [Google Scholar]
  2. Sofonea, M.T.; Cauchemez, S.; Boelle, P.-Y. Epidemic models: Why and how to use them. Anaesth. Crit. Care Pain Med. 2022, 41, 101048. [Google Scholar] [CrossRef]
  3. Anderson, R.M.; Anderson, B.; May, R.M. Infectious Diseases of Humans: Dynamics and Control; Oxford University Press: Oxford, UK, 1992. [Google Scholar]
  4. Fang, H.; Chen, J.; Hu, J. Modelling the SARS epidemic by a lattice-based Monte-Carlo simulation. In Proceedings of the 2005 IEEE Engineering in Medicine and Biology 27th Annual Conference, Shanghai, China, 1–4 September 2005. [Google Scholar] [CrossRef]
  5. Osemwinyen, A.C.; Diakhaby, A. Mathematical Modelling of the Transmission Dynamics of Ebola Virus. Appl. Comput. Math. 2015, 4, 313–320. [Google Scholar] [CrossRef]
  6. Naji, R.K.; Hussien, R.M. The Dynamics of Epidemic Model with Two Types of Infectious Diseases and Vertical Transmission. J. Appl. Math. 2016, 2016, 4907964. [Google Scholar] [CrossRef]
  7. Majeed, S.N.; Naji, R.K. An Analysis of a Partial Temporary Immunity SIR Epidemic Model with Nonlinear Treatment Rate. Baghdad Sci. J. 2019, 16, 639. [Google Scholar] [CrossRef]
  8. Thirthar, A.A.; Naji, R.K.; Bozkurt, F.; Yousef, F. Modeling and analysis of an SI1I2R epidemic model with nonlinear incidence and general recovery functions of I1. Chaos Solitons Fractals 2021, 145, 110746. [Google Scholar] [CrossRef]
  9. Lee, G.; Yoon, S.-e.; Shin, K. Simple epidemic models with segmentation can be better than complex ones. PLoS ONE 2022, 17, e0262244. [Google Scholar] [CrossRef]
  10. Fatmawati; Yuliani, E.; Alfiniyah, C.; Juga, M.L.; Chukwu, C.W. On the Modeling of COVID-19 Transmission Dynamics with Two Strains: Insight through Caputo Fractional Derivative. Fractal Fract. 2022, 6, 346. [Google Scholar] [CrossRef]
  11. Mpeshe, S.C.; Nyerere, N. Modeling the Dynamics of Coronavirus Disease Pandemic Coupled with Fear Epidemics. Comput. Math. Methods Med. 2021, 2021, 6647425. [Google Scholar] [CrossRef] [PubMed]
  12. Wang, C.; Horby, P.W.; Hayden, F.G.; Gao, G.F. A novel coronavirus outbreak of global health concern. Lancet 2020, 395, 470–473. [Google Scholar] [CrossRef] [PubMed]
  13. Du, Z.; Wang, L.; Cauchemez, S.; Xu, X.; Wang, X.; Cowling, B.J.; Meyers, L. Risk for Transportation of Coronavirus Disease from Wuhan to Other Cities in China. Emerg. Infect. Dis. 2020, 26, 1049–1052. [Google Scholar] [CrossRef]
  14. Kassa, S.M.; Njagarah, J.B.H.; Terefe, Y.A. Analysis of the mitigation strategies for COVID-19: From mathematical modelling perspective. Chaos Solitons Fractals 2020, 138, 109968. [Google Scholar] [CrossRef] [PubMed]
  15. Din, R.ud.; Seadawy, A.R.; Shah, K.; Ullah, A.; Baleanu, D. Study of global dynamics of COVID-19 via a new mathematical model. Results Phys. 2020, 19, 103468. [Google Scholar] [CrossRef]
  16. Dehingia, K.; Mohsen, A.A.; Alharbi, S.A.; Alsemiry, R.D.; Rezapour, S. Dynamical Behavior of a Fractional Order Model for Within-Host SARS-CoV-2. Mathematics 2022, 10, 2344. [Google Scholar] [CrossRef]
  17. Mamo, D.K. Model the transmission dynamics of COVID-19 propagation with public health intervention. Results Appl. Math. 2020, 7, 100123. [Google Scholar] [CrossRef]
  18. Yang, C.Y.; Wang, J. A mathematical model for the novel coronavirus epidemic in Wuhan. China. Math. Biosci. Eng. 2020, 17, 2708–2724. [Google Scholar] [CrossRef]
  19. Samui, P.; Mondal, J.; Khajanchi, S. A mathematical model for COVID-19 transmission dynamic with a case study of India. Chaos. Chaos Solitons Fractals 2020, 140, 110173. [Google Scholar] [CrossRef] [PubMed]
  20. Garba, S.M.; Lubuma, J.M.; Tsanou, B. Modeling the transmission dynamics of the COVID-19 pandemic in South Africa. Math. Biosci. 2020, 328, 108441. [Google Scholar] [CrossRef] [PubMed]
  21. Olivares, A.; Staffetti, E. Uncertainty quantification of a mathematical model of COVID-19 transmission dynamics with mass vaccination strategy. Chaos Solitons Fractals 2021, 146, 110895. [Google Scholar] [CrossRef]
  22. Mohsen, A.A.; AL-Husseiny, H.F.; Naji, R.K. The dynamics of Coronavirus pandemic disease model in the existence of a curfew strategy. J. Interdiscip. Math. 2022, 25, 1777–1797. [Google Scholar] [CrossRef]
  23. Castillo-Chavez, C.; Blower, S.; Driessche, P.V.; Kirschner, D.; Yakubu, A.A. A Mathematical Approaches for Emerging and Reemerging Infectious Diseases: An Introduction; Springer: New York, NY, USA, 2002; Volume 1. [Google Scholar]
  24. Li, M.Y.; Muldowney, J.S. A geometric approach to global-stability problems. SIAM J. Math. Anal. 1996, 27, 1070–1083. [Google Scholar] [CrossRef]
  25. Van den Driessche, P.; Watmough, J. Reproduction numbers and sub-threshold endemic equilibria for compartmental models of disease transmission. Math. Biosci. 2002, 180, 29–48. [Google Scholar] [CrossRef] [PubMed]
  26. Smith, R.A. Some applications of Hausdorff dimension inequalities for ordinary differential equations. Proc. R. Soc. Edinb. Sect. A Math. 1986, 104, 235–259. [Google Scholar] [CrossRef]
  27. Satar, H.A.; Naji, R.K. Stability and Bifurcation of a Cholera Epidemic Model with Saturated Recovery Rate. Appl. Appl. Math. (AAM) 2021, 16, 1248–1273. [Google Scholar]
  28. Li, M.Y.; Wang, L. A criterion for stability of matrices. J. Math. Anal. Appl. 1998, 225, 249–264. [Google Scholar] [CrossRef]
  29. Strom, T. On logarithmic norms. SIAM J. Numer. Anal. 1975, 12, 741–753. [Google Scholar] [CrossRef]
  30. Zhou, X.; Cui, J.; Zhang, Z. Global results for a cholera model with imperfect vaccination. J. Frankl. Inst. 2012, 349, 770–791. [Google Scholar] [CrossRef]
  31. Gumel, A.B.; McCluskey, C.C.; Watmough, J. An SVEIR model for assessing potential impact of an imperfect anti-SARS vaccine. Math. Biosci. Eng. 2006, 3, 485–512. [Google Scholar]
  32. Perko, L. Differential Equations and Dynamical Systems, 3rd ed.; Springer: New York, NY, USA, 2001. [Google Scholar]
  33. Gjorgjieva, J.; Smith, K.; Chowell, G.; Sanchez, F.; Snyder, J.; Castillo-Chavez, C. The role of vaccination in the control of SARS. Math. Biosci. Eng. 2005, 2, 753–769. [Google Scholar] [CrossRef]
Figure 1. Sensitivity of the R 0 . as a function of system’s (2) parameters.
Figure 1. Sensitivity of the R 0 . as a function of system’s (2) parameters.
Mathematics 11 02330 g001
Figure 2. The trajectory of System (2) using data set (30) approaches asymptotically E 0 = 40,000,000 ,   0 ,   0 ,   0 . (a) A 3D plot of S E I . (b) A 3D plot of S E J . (c) A 3D plot of S I J . (d) A 3D plot of E I J .
Figure 2. The trajectory of System (2) using data set (30) approaches asymptotically E 0 = 40,000,000 ,   0 ,   0 ,   0 . (a) A 3D plot of S E I . (b) A 3D plot of S E J . (c) A 3D plot of S I J . (d) A 3D plot of E I J .
Mathematics 11 02330 g002aMathematics 11 02330 g002b
Figure 3. The trajectory of System (2) using data set (30) with β = 1 approaches asymptotically E 1 = 25,744,000 ,   988.4 ,   449.18 ,   1275.2 . (a) A 3D plot of S E I . (b) A 3D plot of S E J . (c) A 3D plot of S I J . (d) A 3D plot of E I J .
Figure 3. The trajectory of System (2) using data set (30) with β = 1 approaches asymptotically E 1 = 25,744,000 ,   988.4 ,   449.18 ,   1275.2 . (a) A 3D plot of S E I . (b) A 3D plot of S E J . (c) A 3D plot of S I J . (d) A 3D plot of E I J .
Mathematics 11 02330 g003
Figure 4. The trajectory as a function of time (days) of System (2) using data set (30) with μ = 0.01 approaches asymptotically E 0 = 40,000,000 ,   0 ,   0 ,   0 .
Figure 4. The trajectory as a function of time (days) of System (2) using data set (30) with μ = 0.01 approaches asymptotically E 0 = 40,000,000 ,   0 ,   0 ,   0 .
Mathematics 11 02330 g004
Table 1. Parameters description of System (1).
Table 1. Parameters description of System (1).
ParameterDescription
A The recruitment.
β The incidence rate.
ρ The rate of unsecured contact between S t and J t .
μ The natural death rate.
γ .The rate at which the exposed population becomes infective.
α 0 , 1 The probability of an exposed population becoming symptomatically infected.
δ i ; i = 1 , 2 The recovery rate of the symptomatic and asymptomatic individuals, respectively.
d i ; i = 1 , 2 The disease death rate of the symptomatic and asymptomatic individuals, respectively.
Disclaimer/Publisher’s Note: The statements, opinions and data contained in all publications are solely those of the individual author(s) and contributor(s) and not of MDPI and/or the editor(s). MDPI and/or the editor(s) disclaim responsibility for any injury to people or property resulting from any ideas, methods, instructions or products referred to in the content.

Share and Cite

MDPI and ACS Style

Satar, H.A.; Naji, R.K. A Mathematical Study for the Transmission of Coronavirus Disease. Mathematics 2023, 11, 2330. https://doi.org/10.3390/math11102330

AMA Style

Satar HA, Naji RK. A Mathematical Study for the Transmission of Coronavirus Disease. Mathematics. 2023; 11(10):2330. https://doi.org/10.3390/math11102330

Chicago/Turabian Style

Satar, Huda Abdul, and Raid Kamel Naji. 2023. "A Mathematical Study for the Transmission of Coronavirus Disease" Mathematics 11, no. 10: 2330. https://doi.org/10.3390/math11102330

APA Style

Satar, H. A., & Naji, R. K. (2023). A Mathematical Study for the Transmission of Coronavirus Disease. Mathematics, 11(10), 2330. https://doi.org/10.3390/math11102330

Note that from the first issue of 2016, this journal uses article numbers instead of page numbers. See further details here.

Article Metrics

Back to TopTop