Optimal Operation of PV Sources in DC Grids for Improving Technical, Economical, and Environmental Conditions by Using Vortex Search Algorithm and a Matrix Hourly Power Flow
Abstract
1. Introduction
1.1. General Context
1.2. Motivation
1.3. State of the Art
1.4. Scope and Main Contributions
- i.
- A new master–slave approach to solve the NLP model that represents the problem under study in grid-connected and standalone DC networks. The master stage uses the Vortex Search algorithm (VSA) with a continuous codification to define the output power of the PV distributed generators without obliging the electrical system to follow the maximum power point every time. This allows a flexible power injection by the PV DGs.
- ii.
- In the slave stage, a matrix successive approximation power flow method is proposed to evaluate the objective functions proposed and the constraints that comprise the problem, by considering an variable power generation and demand scenario. This matrix formulation of power flow guarantees the convergence of the solution and reduces the processing time required when compared with a classical hourly power flow reported in the literature.
- iii.
- A methodology that presents the best trade-off between the quality solution and processing times when analyzing economical, technical, and environmental indexes in DC grids.
- iv.
- Two grid-connected and standalone test systems based on the operative conditions of Colombian regions.
1.5. Paper Organization
2. Mathematical Formulation
3. Codification and Optimization Methodology
3.1. Codification Problem
3.2. Solution Methodology
3.2.1. Vortex Search Algorithm
| Algorithm 1: Pseudocode vortex search algorithm. |
![]() |
3.2.2. Matrix Hourly Power Flow
| Algorithm 2: Traditional hourly power flow based on successive approximation method (SA). |
![]() |
4. Test Systems, Generation and Demand Curves, and Additional Considerations
4.1. Grid-Connected Test Feeder
4.2. Standalone Test Feeder
4.3. Test Feeders Generation Curves
4.4. Test Feeders Demand Curves
4.5. Parametric Information for the Objective Functions Calculation
5. Simulation Results and Discussion
5.1. Capurganá’s Network: Standalone System
5.2. Medellín’s Network: Grid-Connected System
6. Conclusions and Future Work
Author Contributions
Funding
Institutional Review Board Statement
Informed Consent Statement
Data Availability Statement
Acknowledgments
Conflicts of Interest
References
- Saeed, M.H.; Fangzong, W.; Kalwar, B.A.; Iqbal, S. A Review on Microgrids’ Challenges & Perspectives. IEEE Access 2021, 9, 166502–166517. [Google Scholar]
- Löfquist, L. Is there a universal human right to electricity? Int. J. Hum. Rights 2020, 24, 711–723. [Google Scholar] [CrossRef]
- Sarkodie, S.A.; Adams, S. Electricity access, human development index, governance and income inequality in Sub-Saharan Africa. Energy Rep. 2020, 6, 455–466. [Google Scholar] [CrossRef]
- Saint Akadiri, S.; Alola, A.A.; Olasehinde-Williams, G.; Etokakpan, M.U. The role of electricity consumption, globalization and economic growth in carbon dioxide emissions and its implications for environmental sustainability targets. Sci. Total. Environ. 2020, 708, 134653. [Google Scholar] [CrossRef] [PubMed]
- Lamb, W.F.; Wiedmann, T.; Pongratz, J.; Andrew, R.; Crippa, M.; Olivier, J.G.J.; Wiedenhofer, D.; Mattioli, G.; Khourdajie, A.A.; House, J.; et al. A review of trends and drivers of greenhouse gas emissions by sector from 1990 to 2018. Environ. Res. Lett. 2021, 16, 073005. [Google Scholar] [CrossRef]
- Valencia, A.; Hincapie, R.A.; Gallego, R.A. Optimal location, selection, and operation of battery energy storage systems and renewable distributed generation in medium–low voltage distribution networks. J. Energy Storage 2021, 34, 102158. [Google Scholar] [CrossRef]
- Abdelgawad, H.; Sood, V.K. A comprehensive review on microgrid architectures for distributed generation. In Proceedings of the 2019 IEEE Electrical Power and Energy Conference (EPEC), IEEE, Montreal, QC, Canada, 6–18 October 2019; pp. 1–8. [Google Scholar]
- Li, J.; Liu, F.; Wang, Z.; Low, S.H.; Mei, S. Optimal power flow in stand-alone DC microgrids. IEEE Trans. Power Syst. 2018, 33, 5496–5506. [Google Scholar] [CrossRef]
- Garcés, A. On the convergence of Newton’s method in power flow studies for DC microgrids. IEEE Trans. Power Syst. 2018, 33, 5770–5777. [Google Scholar] [CrossRef]
- Tawalbeh, M.; Al-Othman, A.; Kafiah, F.; Abdelsalam, E.; Almomani, F.; Alkasrawi, M. Environmental impacts of solar photovoltaic systems: A critical review of recent progress and future outlook. Sci. Total. Environ. 2021, 759, 143528. [Google Scholar] [CrossRef]
- Moreno, C.; Milanes, C.B.; Arguello, W.; Fontalvo, A.; Alvarez, R.N. Challenges and perspectives of the use of photovoltaic solar energy in Colombia. Int. J. Electr. Comput. Eng. 2022, 12, 4521–4528. [Google Scholar] [CrossRef]
- López, A.R.; Krumm, A.; Schattenhofer, L.; Burandt, T.; Montoya, F.C.; Oberländer, N.; Oei, P.Y. Solar PV generation in Colombia-A qualitative and quantitative approach to analyze the potential of solar energy market. Renew. Energy 2020, 148, 1266–1279. [Google Scholar] [CrossRef]
- Insuasty-Reina, J.G. A system dynamics model for the analysis of CO2 emissions derived from the inclusion of hydrogen obtained from coal in the energy matrix in Colombia. Int. J. Energy Econ. Policy 2022, 12, 72–82. [Google Scholar] [CrossRef]
- Li, C.; De Bosio, F.; Chen, F.; Chaudhary, S.K.; Vasquez, J.C.; Guerrero, J.M. Economic dispatch for operating cost minimization under real-time pricing in droop-controlled DC microgrid. IEEE J. Emerg. Sel. Top. Power Electron. 2016, 5, 587–595. [Google Scholar] [CrossRef]
- Gao, S.; Jia, H.; Marnay, C. Techno-economic evaluation of mixed AC and DC power distribution network for integrating large-scale photovoltaic power generation. IEEE Access 2019, 7, 105019–105029. [Google Scholar] [CrossRef]
- Tan, Q.; Ding, Y.; Ye, Q.; Mei, S.; Zhang, Y.; Wei, Y. Optimization and evaluation of a dispatch model for an integrated wind-photovoltaic-thermal power system based on dynamic carbon emissions trading. Appl. Energy 2019, 253, 113598. [Google Scholar] [CrossRef]
- Younes, Z.; Alhamrouni, I.; Mekhilef, S.; Reyasudin, M. A memory-based gravitational search algorithm for solving economic dispatch problem in micro-grid. Ain Shams Eng. J. 2021, 12, 1985–1994. [Google Scholar] [CrossRef]
- Velasquez, O.S.; Montoya Giraldo, O.D.; Garrido Arevalo, V.M.; Grisales Norena, L.F. Optimal power flow in direct-current power grids via black hole optimization. Adv. Electr. Electron. Eng. 2019, 17, 24–32. [Google Scholar] [CrossRef]
- Garzon-Rivera, O.; Ocampo, J.; Grisales-Noreña, L.; Montoya, O.; Rojas-Montano, J. Optimal power flow in Direct Current Networks using the antlion optimizer. Stat. Optim. Inf. Comput. 2020, 8, 846–857. [Google Scholar] [CrossRef]
- Radosavljević, J.; Arsić, N.; Milovanović, M.; Ktena, A. Optimal placement and sizing of renewable distributed generation using hybrid metaheuristic algorithm. J. Mod. Power Syst. Clean Energy 2020, 8, 499–510. [Google Scholar] [CrossRef]
- Montoya, O.D.; Grisales-Noreña, L.F.; Gil-González, W.; Alcalá, G.; Hernandez-Escobedo, Q. Optimal location and sizing of PV sources in DC networks for minimizing greenhouse emissions in diesel generators. Symmetry 2020, 12, 322. [Google Scholar] [CrossRef]
- Grisales-Noreña, L.F.; Montoya, O.D.; Ramos-Paja, C.A. An energy management system for optimal operation of BSS in DC distributed generation environments based on a parallel PSO algorithm. J. Energy Storage 2020, 29, 101488. [Google Scholar] [CrossRef]
- Rosales-Muñoz, A.A.; Grisales-Noreña, L.F.; Montano, J.; Montoya, O.D.; Perea-Moreno, A.J. Application of the multiverse optimization method to solve the optimal power flow problem in direct current electrical networks. Sustainability 2021, 13, 8703. [Google Scholar] [CrossRef]
- Sahoo, R.R.; Ray, M. PSO based test case generation for critical path using improved combined fitness function. J. King Saud-Univ.-Comput. Inf. Sci. 2020, 32, 479–490. [Google Scholar] [CrossRef]
- Zhang, X.; Beram, S.M.; Haq, M.A.; Wawale, S.G.; Buttar, A.M. Research on algorithms for control design of human–machine interface system using ML. Int. J. Syst. Assur. Eng. Manag. 2021, 13, 462–469. [Google Scholar] [CrossRef]
- Jin, Y.; Olhofer, M.; Sendhoff, B. A framework for evolutionary optimization with approximate fitness functions. IEEE Trans. Evol. Comput. 2002, 6, 481–494. [Google Scholar]
- Grisales-Noreña, L.F.; Montoya, O.D.; Hernández, J.C.; Ramos-Paja, C.A.; Perea-Moreno, A.J. A Discrete-Continuous PSO for the Optimal Integration of D-STATCOMs into Electrical Distribution Systems by Considering Annual Power Loss and Investment Costs. Mathematics 2022, 10, 2453. [Google Scholar] [CrossRef]
- Özkış, A.; Babalık, A. A novel metaheuristic for multi-objective optimization problems: The multi-objective vortex search algorithm. Inf. Sci. 2017, 402, 124–148. [Google Scholar] [CrossRef]
- Fathy, A.; Abd Elaziz, M.; Alharbi, A.G. A novel approach based on hybrid vortex search algorithm and differential evolution for identifying the optimal parameters of PEM fuel cell. Renew. Energy 2020, 146, 1833–1845. [Google Scholar] [CrossRef]
- Altintasi, C.; Aydin, O.; Taplamacioglu, M.C.; Salor, O. Power system harmonic and interharmonic estimation using Vortex Search Algorithm. Electr. Power Syst. Res. 2020, 182, 106187. [Google Scholar] [CrossRef]
- Grisales-Noreña, L.; Montoya-Giraldo, O.; Gil-González, W. Optimal Integration of Distributed Generators into DC Microgrids Using a Hybrid Methodology: Genetic and Vortex Search Algorithms. Arab. J. Sci. Eng. 2022, 47, 14657–14672. [Google Scholar] [CrossRef]
- Montoya, O.D.; Garrido, V.M.; Gil-González, W.; Grisales-Noreña, L.F. Power flow analysis in DC grids: Two alternative numerical methods. IEEE Trans. Circuits Syst. Ii: Express Briefs 2019, 66, 1865–1869. [Google Scholar] [CrossRef]
- Baran, M.E.; Wu, F.F. Network reconfiguration in distribution systems for loss reduction and load balancing. IEEE Power Eng. Rev. 1989, 9, 101–102. [Google Scholar] [CrossRef]
- Falaghi, H.; Ramezani, M.; Haghifam, M.R.; Milani, K.R. Optimal selection of conductors in radial distribution systems with time varying load. In Proceedings of the CIRED 2005-18th International Conference and Exhibition on Electricity Distribution, IET, Turin, Italy, 6–9 June 2005; pp. 1–4. [Google Scholar]
- Hassan, Q.; Jaszczur, M.; Przenzak, E.; Abdulateef, J. The PV cell temperature effect on the energy production and module efficiency. Contemp. Probl. Power Eng. Environ. Prot. 2016, 33, 1. [Google Scholar]
- Schwingshackl, C.; Petitta, M.; Wagner, J.; Belluardo, G.; Moser, D.; Castelli, M.; Zebisch, M.; Tetzlaff, A. Wind Effect on PV Module Temperature: Analysis of Different Techniques for an Accurate Estimation. Energy Procedia 2013, 40, 77–86. [Google Scholar] [CrossRef]
- NASA. NASA Prediction Of Worldwide Energy Resources, Washington D. C., United States. Available online: https://power.larc.nasa.gov/ (accessed on 21 September 2022).
- XM SA ESP. Sinergox Database, Colombia. Available online: https://sinergox.xm.com.co/Paginas/Home.aspx (accessed on 21 September 2022).
- Instituto de Planificación y Promoción de Soluciones Energéticas para Zonas No Interconectadas. Informes Mensuales de Telimetría, Colombia. Available online: https://ipse.gov.co/cnm/informe-mensuales-telemetria/ (accessed on 21 September 2022).
- Sistema Único de Información de Servicios Públicos Domicialiarios. Consolidado de Energía por Empresa y Departamento, Colombia. Available online: https://sui.superservicios.gov.co/Reportes-del-sector/Energia/Reportes-comerciales/Consolidado-de-energia-por-empresa-y-departamento (accessed on 21 September 2022).
- Sistema Único de Información de Servicios Públicos Domicialiarios. Consolidado de Información téCnica Operativa ZNI, Colombia. Available online: https://sui.superservicios.gov.co/Reportes-del-sector/Energia/Reportes-comerciales/Consolidado-de-informacion-tecnica-operativa-ZNI (accessed on 21 September 2022).
- Wang, P.; Wang, W.; Xu, D. Optimal sizing of distributed generations in DC microgrids with comprehensive consideration of system operation modes and operation targets. IEEE Access 2018, 6, 31129–31140. [Google Scholar] [CrossRef]
- XM SA EPS. En Colombia Factor de Emisión de CO2 por Generación Eléctrica del Sistema Interconectado: 164.38 Gramos de CO2 por Kilovatio Hora, Colombia. Available online: https://www.xm.com.co/noticias/en-colombia-factor-de-emision-de-co2-por-generacion-electrica-del-sistema-interconectado (accessed on 21 September 2022).
- Academia Colombiana de Ciencias Exactas, F. Factores de Emisión de los Combustibles Colombianos, Colombia. 2016. Available online: https://bdigital.upme.gov.co/bitstream/handle/001/1285/17%20Factores%20de%20emision%20de%20combustibles.pdf;jsessionid=5016BD31B13035A5FBF551BC26B1293E?sequence=18 (accessed on 21 September 2022).
- Abou El Ela, A.; El-Sehiemy, R.A.; Shaheen, A.; Shalaby, A. Application of the crow search algorithm for economic environmental dispatch. In Proceedings of the 2017 Nineteenth International Middle East Power Systems Conference (MEPCON), IEEE, Cairo, Egypt, 19–21 December 2017; pp. 78–83. [Google Scholar]
- Verma, S.; Shiva, C.K. A novel salp swarm algorithm for expansion planning with security constraints. Iran. J. Sci. Technol. Trans. Electr. Eng. 2020, 44, 1335–1344. [Google Scholar] [CrossRef]










| Method | Avg. Time (ms) | Total Iterations | Energy Loss (kWh) |
|---|---|---|---|
| SA | 0.7449 | 185 | 2186.2803 |
| MHPF | 0.2405 | 8 | 2186.2803 |
| Line l | Node i | Node j | (kW) | (A) | |
|---|---|---|---|---|---|
| 1 | 1 | 2 | 0.0922 | 100 | 320 |
| 2 | 2 | 3 | 0.4930 | 90 | 280 |
| 3 | 3 | 4 | 0.3660 | 120 | 195 |
| 4 | 4 | 5 | 0.3811 | 60 | 195 |
| 5 | 5 | 6 | 0.8190 | 60 | 195 |
| 6 | 6 | 7 | 0.1872 | 200 | 95 |
| 7 | 7 | 8 | 17114 | 200 | 85 |
| 8 | 8 | 9 | 10300 | 60 | 70 |
| 9 | 9 | 10 | 10400 | 60 | 55 |
| 10 | 10 | 11 | 0.1966 | 45 | 55 |
| 11 | 11 | 12 | 0.3744 | 60 | 55 |
| 12 | 12 | 13 | 14.680 | 60 | 40 |
| 13 | 13 | 14 | 0.5416 | 120 | 40 |
| 14 | 14 | 15 | 0.5910 | 60 | 25 |
| 15 | 15 | 16 | 0.7463 | 60 | 20 |
| 16 | 16 | 17 | 12890 | 60 | 20 |
| 17 | 17 | 18 | 0.7320 | 90 | 20 |
| 18 | 2 | 19 | 0.1640 | 90 | 30 |
| 19 | 19 | 20 | 15042 | 90 | 25 |
| 20 | 20 | 21 | 0.4095 | 90 | 20 |
| 21 | 21 | 22 | 0.7089 | 90 | 20 |
| 22 | 3 | 23 | 0.4512 | 90 | 85 |
| 23 | 23 | 24 | 0.8980 | 420 | 70 |
| 24 | 24 | 25 | 0.8900 | 420 | 40 |
| 25 | 6 | 26 | 0.2030 | 60 | 85 |
| 26 | 26 | 27 | 0.2842 | 60 | 85 |
| 27 | 27 | 28 | 10590 | 60 | 70 |
| 28 | 28 | 29 | 0.8042 | 120 | 70 |
| 29 | 29 | 30 | 0.5075 | 200 | 55 |
| 30 | 30 | 31 | 0.9744 | 150 | 40 |
| 31 | 31 | 32 | 0.3105 | 210 | 25 |
| 32 | 32 | 33 | 0.3410 | 60 | 20 |
| Line l | Node i | Node j | (kW) | (A) | |
|---|---|---|---|---|---|
| 1 | 1 | 2 | 0.0140 | 0 | 195 |
| 2 | 2 | 3 | 0.7463 | 0 | 145 |
| 3 | 3 | 4 | 0.4052 | 297.5 | 85 |
| 4 | 4 | 5 | 1.1524 | 0 | 70 |
| 5 | 5 | 6 | 0.5261 | 255 | 70 |
| 6 | 6 | 7 | 0.7127 | 0 | 55 |
| 7 | 7 | 8 | 1.6628 | 212.5 | 55 |
| 8 | 8 | 9 | 5.3434 | 0 | 20 |
| 9 | 9 | 10 | 2.1522 | 266.05 | 20 |
| 10 | 2 | 11 | 0.4052 | 85 | 70 |
| 11 | 11 | 12 | 1.1524 | 340 | 55 |
| 12 | 12 | 13 | 0.5261 | 297.5 | 40 |
| 13 | 13 | 14 | 1.2358 | 191.25 | 25 |
| 14 | 14 | 15 | 2.8835 | 106.25 | 20 |
| 15 | 15 | 16 | 5.3434 | 255 | 20 |
| 16 | 3 | 17 | 1.2942 | 255 | 55 |
| 17 | 17 | 18 | 0.7027 | 127.5 | 40 |
| 18 | 18 | 19 | 3.3234 | 297.5 | 40 |
| 19 | 19 | 20 | 1.5172 | 340 | 20 |
| 20 | 20 | 21 | 0.7127 | 85 | 20 |
| 21 | 4 | 22 | 8.2528 | 106.25 | 20 |
| 22 | 5 | 23 | 9.1961 | 55.25 | 20 |
| 23 | 6 | 24 | 0.7463 | 69.7 | 20 |
| 24 | 8 | 25 | 2.0112 | 255 | 20 |
| 25 | 8 | 26 | 3.3234 | 63.75 | 20 |
| 26 | 26 | 27 | 0.5261 | 170 | 20 |
| Parameter | Value | Unit | Parameter | Value | Unit |
|---|---|---|---|---|---|
| 100 | W | 0.95 | - | ||
| 1000 | W/m | −0.0045 | 1/°C | ||
| 25 | C | 46 | °C | ||
| 800 | W/m | 20 | C | ||
| 0.141 | - | 0.9 | - |
| Area | Medellín (Grid-Connected) | Capurganá (Standalone) | ||||
|---|---|---|---|---|---|---|
| Hour | ||||||
| 1 | 0 | 16.14132 | 0 | 0 | 24.44252 | 0 |
| 2 | 0 | 15.90636 | 0 | 0 | 24.32474 | 0 |
| 3 | 0 | 15.68132 | 0 | 0 | 24.22545 | 0 |
| 4 | 0 | 15.46022 | 0 | 0 | 24.14674 | 0 |
| 5 | 0 | 15.27545 | 0 | 0 | 24.08422 | 0 |
| 6 | 0 | 15.10329 | 0 | 0 | 24.03482 | 0 |
| 7 | 46.02425 | 15.15718 | 0.04541 | 29.14570 | 24.10367 | 0.02770 |
| 8 | 190.83559 | 16.15636 | 0.18424 | 142.11066 | 24.78126 | 0.13277 |
| 9 | 362.83753 | 17.43868 | 0.34100 | 291.61926 | 25.68211 | 0.26622 |
| 10 | 526.64647 | 18.87312 | 0.48161 | 431.95384 | 26.63671 | 0.38547 |
| 11 | 640.99058 | 20.27438 | 0.57375 | 540.61581 | 27.47515 | 0.47362 |
| 12 | 709.05312 | 21.36342 | 0.62572 | 605.16362 | 28.10252 | 0.52397 |
| 13 | 701.86370 | 21.98721 | 0.61809 | 606.93027 | 28.46775 | 0.52442 |
| 14 | 626.82690 | 22.12107 | 0.55716 | 583.07479 | 28.56923 | 0.50519 |
| 15 | 499.86074 | 21.83071 | 0.45236 | 490.55904 | 28.42334 | 0.43065 |
| 16 | 346.26581 | 21.20351 | 0.32052 | 359.22033 | 28.03460 | 0.32148 |
| 17 | 186.66671 | 20.38668 | 0.17693 | 204.48775 | 27.44945 | 0.18722 |
| 18 | 52.33403 | 19.35951 | 0.05066 | 64.51775 | 26.69008 | 0.06034 |
| 19 | 0.50986 | 18.32258 | 0.00050 | 3.17460 | 25.89016 | 0.00300 |
| 20 | 0 | 17.72414 | 0 | 0 | 25.39227 | 0 |
| 21 | 0 | 17.29586 | 0 | 0 | 25.09285 | 0 |
| 22 | 0 | 16.96148 | 0 | 0 | 24.87663 | 0 |
| 23 | 0 | 16.67395 | 0 | 0 | 24.70841 | 0 |
| 24 | 0 | 16.40545 | 0 | 0 | 24.56926 | 0 |
| Area | Medellín (Grid-Connected) | Capurganá (Standalone) | ||
|---|---|---|---|---|
| Hour | ||||
| 1 | 1,012,876.20 | 0.65509 | 428.04117 | 0.84573 |
| 2 | 974,315.40 | 0.63015 | 409.76717 | 0.80962 |
| 3 | 951,768.01 | 0.61557 | 317.81654 | 0.62795 |
| 4 | 952,169.92 | 0.61583 | 256.70648 | 0.50720 |
| 5 | 996,601.97 | 0.64457 | 51.70864 | 0.10217 |
| 6 | 1,080,667.80 | 0.69894 | 11.05835 | 0.02185 |
| 7 | 1,135,234.91 | 0.73423 | 32.49553 | 0.06421 |
| 8 | 1,226,850.93 | 0.79348 | 62.77491 | 0.12403 |
| 9 | 1,303,895.33 | 0.84331 | 119.17381 | 0.23547 |
| 10 | 1,354,781.01 | 0.87622 | 281.26057 | 0.55572 |
| 11 | 1,417,860.03 | 0.91702 | 333.09429 | 0.65813 |
| 12 | 1,462,589.11 | 0.94595 | 358.36076 | 0.70805 |
| 13 | 1,459,381.62 | 0.94388 | 368.01140 | 0.72712 |
| 14 | 1,439,889.28 | 0.93127 | 369.70917 | 0.73048 |
| 15 | 1,430,823.70 | 0.92541 | 379.97901 | 0.75077 |
| 16 | 1,426,481.64 | 0.92260 | 388.65478 | 0.76791 |
| 17 | 1,404,019.24 | 0.90807 | 386.78365 | 0.76421 |
| 18 | 1,373,896.43 | 0.88859 | 395.19266 | 0.78083 |
| 19 | 1,463,002.74 | 0.94622 | 430.88177 | 0.85134 |
| 20 | 1,478,398.44 | 0.95618 | 464.61670 | 0.91800 |
| 21 | 1,415,579.31 | 0.91555 | 476.40313 | 0.94128 |
| 22 | 1,310,824.08 | 0.84779 | 473.67462 | 0.93589 |
| 23 | 1,187,930.28 | 0.76831 | 467.29281 | 0.92328 |
| 24 | 1,086,900.38 | 0.70297 | 452.18590 | 0.89344 |
| Parameter | Value | Unit | Parameter | Value | Unit |
|---|---|---|---|---|---|
| 0.1302 | USD/kWh | 0.1644 | kg/kWh | ||
| 0.2913 | USD/kWh | 0.2671 | kg/kWh | ||
| 0.0019 | USD/kWh | ±10 | % |
| Method | Optimization Parameter | Value |
|---|---|---|
| VSA | Number of particles | 163 |
| Maximum iterations | 762 | |
| Nonimprovement iterations | 762 | |
| x parameter | 0.08 | |
| CSA | Number of particles | 177 |
| Maximum iterations | 471 | |
| Nonimprovement iterations | 295 | |
| Memory capacity (mc) | 0.65 | |
| Flight length (fl) | 3.25 | |
| MVO | Number of particles | 41 |
| Maximum iterations | 1326 | |
| Nonimprovement iterations | 188 | |
| Wep-min | 0.68 | |
| Wep-max | 0.51 | |
| P parameter | 3 | |
| PSO | Number of particles | 159 |
| Maximum iterations | 492 | |
| Nonimprovement iterations | 229 | |
| Maximum inertia (Wmax) | 0.99 | |
| Minimum inertia (Wmin) | 0.32 | |
| Cognitive component (C1) | 0.06 | |
| Social component (C2) | 1.54 | |
| SSA | Number of particles | 141 |
| Maximum iterations | 1577 | |
| Nonimprovement iterations | 547 |
| CAPURGANÁ’S STANDALONE SYSTEM | |||
|---|---|---|---|
| Objective function | |||
| Base case | 489.3042 | 18,485.0507 | 16,951.2974 |
| Average solution | |||
| Algorithm | |||
| VSA | 359.8317 | 12,055.3410 | 11,016.6177 |
| CSA | 369.1944 | 13,663.8328 | 12,534.4183 |
| MVO | 360.0291 | 12,231.1691 | 11,131.5617 |
| PSO | 362.0496 | 12,340.2908 | 11,267.5734 |
| SSA | 359.8537 | 12,074.5543 | 11,039.5781 |
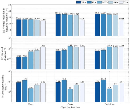
| Percentage of average reduction (%) | |||
| Algorithm | |||
| VSA | 26.4605 | 34.7833 | 35.0102 |
| CSA | 24.5471 | 26.0817 | 26.0563 |
| MVO | 26.4202 | 33.8321 | 34.3321 |
| PSO | 26.0073 | 33.2418 | 33.5297 |
| SSA | 26.4560 | 34.6794 | 34.8747 |
| STD (%) | |||
| Algorithm | |||
| VSA | 0.0212 | 0.3042 | 0.2886 |
| CSA | 1.7548 | 2.3077 | 2.1093 |
| MVO | 0.2356 | 2.4301 | 2.0192 |
| PSO | 0.4095 | 1.7711 | 1.6491 |
| SSA | 0.0230 | 0.4363 | 0.4329 |
| Time (s) | |||
| Algorithm | |||
| VSA | 7.69 | 7.84 | 7.78 |
| CSA | 6.54 | 6.76 | 6.74 |
| MVO | 2.02 | 1.80 | 1.90 |
| PSO | 4.21 | 4.43 | 4.44 |
| SSA | 12.59 | 12.90 | 13.12 |
| Energy Losses (Figure 8a) | |||
|---|---|---|---|
| Method | Time (s) | Distance to the origin | |
| VSA | 359.8317 | 7.69 | 359.9139 |
| CSA | 369.1944 | 6.54 | 369.2522 |
| MVO | 360.0291 | 2.02 | 360.0348 |
| PSO | 362.0496 | 4.21 | 362.0741 |
| SSA | 359.8537 | 12.59 | 360.0739 |
| Costs (Figure 8b) | |||
| Method | Time (s) | Distance to the origin | |
| VSA | 12,055.3410 | 7.84 | 12,055.3436 |
| CSA | 13,663.8328 | 6.76 | 13,663.8345 |
| MVO | 12,231.1691 | 1.80 | 12,231.1693 |
| PSO | 12,340.2908 | 4.43 | 12,340.2916 |
| SSA | 12,074.5543 | 12.90 | 12,074.5612 |
| Emissions (Figure 8c) | |||
| Method | Time (s) | Distance to the origin | |
| VSA | 11,016.6177 | 7.78 | 11,016.6205 |
| CSA | 12,534.4183 | 6.74 | 12,534.4201 |
| MVO | 11,131.5617 | 1.90 | 11,131.5619 |
| PSO | 11,267.5734 | 4.44 | 11,267.5743 |
| SSA | 11,039.5781 | 13.12 | 11,039.5858 |
| MEDELLÍN’S GRID-CONNECTED SYSTEM | |||
|---|---|---|---|
| Objective function | |||
| Base case | 2186.2803 | 9776.3892 | 12,345.1497 |
| Average solution | |||
| Algorithm | |||
| VSA | 1225.2909 | 7249.3825 | 9108.9096 |
| CSA | 1270.1562 | 7407.9046 | 9328.7685 |
| MVO | 1231.2531 | 7298.7157 | 9187.9682 |
| PSO | 1268.5973 | 7392.0432 | 9282.4081 |
| SSA | 1225.3323 | 7297.9712 | 9166.6746 |
| Percentage of average reduction (%) | |||
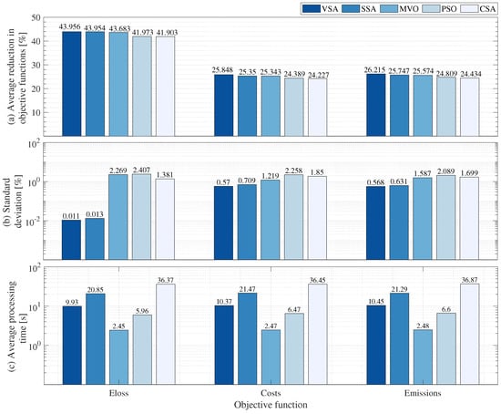
| Algorithm | |||
| VSA | 43.9555 | 25.8481 | 26.2147 |
| CSA | 41.9033 | 24.2266 | 24.4337 |
| MVO | 43.6827 | 25.3434 | 25.5743 |
| PSO | 41.9746 | 24.3888 | 24.8093 |
| SSA | 43.9536 | 25.3511 | 25.7468 |
| STD (%) | |||
| Algorithm | |||
| VSA | 0.0108 | 0.5697 | 0.5676 |
| CSA | 1.3806 | 1.8500 | 1.6987 |
| MVO | 2.2694 | 1.2190 | 1.5868 |
| PSO | 2.4065 | 2.2579 | 2.0891 |
| SSA | 0.0131 | 0.7089 | 0.6306 |
| Time (s) | |||
| Algorithm | |||
| VSA | 9.93 | 10.37 | 10.45 |
| CSA | 36.37 | 36.45 | 36.87 |
| MVO | 2.45 | 2.47 | 2.48 |
| PSO | 5.96 | 6.47 | 6.60 |
| SSA | 20.85 | 21.47 | 21.29 |
| Energy Losses (Figure 10a) | |||
|---|---|---|---|
| Method | Time(s) | Distance to the origin | |
| VSA | 1225.2909 | 9.93 | 1225.3312 |
| CSA | 1270.1562 | 36.37 | 1270.6767 |
| MVO | 1231.2531 | 2.45 | 1231.2555 |
| PSO | 1268.5973 | 5.96 | 1268.6113 |
| SSA | 1225.3323 | 20.85 | 1225.5097 |
| Costs (Figure 10b) | |||
| Method | Time(s) | Distance to the origin | |
| VSA | 7249.3825 | 10.37 | 7249.3899 |
| CSA | 7407.9046 | 36.45 | 7407.9943 |
| MVO | 7298.7157 | 2.47 | 7298.7161 |
| PSO | 7392.0432 | 6.47 | 7392.0461 |
| SSA | 7297.9712 | 21.47 | 7298.0028 |
| Emissions (Figure 10c) | |||
| Method | Time(s) | Distance to the origin | |
| VSA | 9108.9096 | 10.45 | 9108.9155 |
| CSA | 9328.7685 | 36.87 | 9328.8414 |
| MVO | 9187.9682 | 2.48 | 9187.9685 |
| PSO | 9282.4081 | 6.60 | 9282.4104 |
| SSA | 9166.6746 | 21.29 | 9166.6993 |
Disclaimer/Publisher’s Note: The statements, opinions and data contained in all publications are solely those of the individual author(s) and contributor(s) and not of MDPI and/or the editor(s). MDPI and/or the editor(s) disclaim responsibility for any injury to people or property resulting from any ideas, methods, instructions or products referred to in the content. |
© 2022 by the authors. Licensee MDPI, Basel, Switzerland. This article is an open access article distributed under the terms and conditions of the Creative Commons Attribution (CC BY) license (https://creativecommons.org/licenses/by/4.0/).
Share and Cite
Grisales-Noreña, L.F.; Rosales-Muñoz, A.A.; Cortés-Caicedo, B.; Montoya, O.D.; Andrade, F. Optimal Operation of PV Sources in DC Grids for Improving Technical, Economical, and Environmental Conditions by Using Vortex Search Algorithm and a Matrix Hourly Power Flow. Mathematics 2023, 11, 93. https://doi.org/10.3390/math11010093
Grisales-Noreña LF, Rosales-Muñoz AA, Cortés-Caicedo B, Montoya OD, Andrade F. Optimal Operation of PV Sources in DC Grids for Improving Technical, Economical, and Environmental Conditions by Using Vortex Search Algorithm and a Matrix Hourly Power Flow. Mathematics. 2023; 11(1):93. https://doi.org/10.3390/math11010093
Chicago/Turabian StyleGrisales-Noreña, Luis Fernando, Andrés Alfonso Rosales-Muñoz, Brandon Cortés-Caicedo, Oscar Danilo Montoya, and Fabio Andrade. 2023. "Optimal Operation of PV Sources in DC Grids for Improving Technical, Economical, and Environmental Conditions by Using Vortex Search Algorithm and a Matrix Hourly Power Flow" Mathematics 11, no. 1: 93. https://doi.org/10.3390/math11010093
APA StyleGrisales-Noreña, L. F., Rosales-Muñoz, A. A., Cortés-Caicedo, B., Montoya, O. D., & Andrade, F. (2023). Optimal Operation of PV Sources in DC Grids for Improving Technical, Economical, and Environmental Conditions by Using Vortex Search Algorithm and a Matrix Hourly Power Flow. Mathematics, 11(1), 93. https://doi.org/10.3390/math11010093



