Next Article in Journal
Insecure Property Rights and Conflicts: How to Solve Them?
Previous Article in Journal
Extending the Applicability of Highly Efficient Iterative Methods for Nonlinear Equations and Their Applications
 
 
Font Type:
Arial Georgia Verdana
Font Size:
Aa Aa Aa
Line Spacing:
Column Width:
Background:
Article

An Analysis of the Photo-Thermoelastic Waves Due to the Interaction between Electrons and Holes in Semiconductor Materials under Laser Pulses

by
Hashim M. Alshehri
1 and
Khaled Lotfy
2,3,*
1
Mathematics Department, Faculty of Science, King Abdulaziz University, Jeddah 21521, Saudi Arabia
2
Department of Mathematics, Faculty of Science, Zagazig University, Zagazig P.O. Box 44519, Egypt
3
Department of Mathematics, Faculty of Science, Taibah University, P.O. Box 344, Madinah 30002, Saudi Arabia
*
Author to whom correspondence should be addressed.
Mathematics 2023, 11(1), 127; https://doi.org/10.3390/math11010127
Submission received: 22 November 2022 / Revised: 20 December 2022 / Accepted: 22 December 2022 / Published: 27 December 2022
(This article belongs to the Section E4: Mathematical Physics)

Abstract

In this paper, the interaction between holes and electrons in semiconductor media is analyzed based on the existing mathematical–physical model. The elasto-thermodiffusion (ETD) theory, according to photothermal (PT) transport processes, has been used to study the model under the impact of the non-Gaussian laser pulse. A one-dimensional (1D) electronic/thermoelastic deformation is described, in detail, by the governing field equations. The governing field equations are taken in non-dimensional forms. The governing equations are established based on coupled elasticity theory, plasma diffusion equations, and moving equations. To determine the physical field quantities in this problem analytically in the Laplace domain, some boundary conditions are taken at the free surface of the semiconductor medium. The inversion of the Laplace transform is implemented using a numerical method to obtain the complete solutions in the time domain for the basic physical fields involved. The effects of the phase lag (relaxation time) of the temperature gradient, phase lag of the heat flux, and laser pulses are graphically obtained and discussed in comparison to silicon and germanium semiconductor materials. The wave behavior of the main fields in the semiconductors, according to optoelectronics and the thermoelastic processes, is obtained and graphically represented.

1. Introduction

Recently, the number of modern materials which can be classified as either conductive or insulating has increased. These materials are neither as insulating as glass nor as conductive as aluminum. These materials, including silicon and carbon, are referred to as semiconductors and are currently present in significant amounts in the environment. Semiconductors are currently essential components in many industrial areas, especially in electronic circuits, transistors, and clean power-generating cells. At absolute temperatures, the free electrons in the atoms of the semiconductors are present in the lower levels (the valence energy band). In this case, the electrons cannot move, or move from one place to another, and the electric current cannot flow. As the internal resistance of semiconductors decreases with increasing temperature, and with the gradual rise in temperature, some electrons can move from the valence band to the conduction band. In this case, with the movement of electrons, a flow of electric current can be created. With each transition of an electron into the conduction band, there will be a hole in the valence band. Therefore, electrons and holes are adjacent in semiconductors. In recent years, research in photoacoustic (PA) and photothermal (PT) science and technology has greatly advanced new techniques for studying semiconductors and microelectronic systems. For most semiconductor materials, photo-generation of the electron-hole pairs, also known as the carrier–diffusion waves or plasma waves, formed by the absorbed intensity-modulated optical beam, can be the primary factor in PA and PT studies.
To resolve the paradox in the Fourier equation of heat, Biot [1] developed the novel coupled thermoelasticity theory. When Biot [1] introduced the dynamic theory of thermoelasticity (CD theory), he modified the Fourier law of heat. When they added a single relaxation time to the heat equation, Lord and Shulman (LS) [2] introduced a novel model (LS model). On the other hand, Green and Lindsay (GL) [3] developed the equation of heat conduction by inserting a double relaxation time into the heat (energy) equation. The relaxation times of the heat and elastic equations, which were presented in the governing equations, were connected by the generalized thermoelasticity (GTE) theory. After it was introduced, the generalized theory of thermoelasticity was developed by many scientists and had several applications [4,5,6]. These applications were utilized to study the interaction of thermal, electromagnetic, and mechanical waves in a solid thermoelastic medium using the generalized thermoelasticity theory [7,8].
Maruszewski [9,10] first proposed a theoretical mathematical model, which describes the interaction between the thermal, elastic, and diffusion fields in semiconductors. Maruszewski [11] investigated thermos-diffusive propagation when investigating thermal memory during surface wave propagation in semiconductors. Recent research has shown that the heat conduction effect for solid semiconductor materials is extremely important when mass and heat transfer (thermal diffusivity) change [12,13]. Recent research has used the photothermal (PT) technique to describe the wave propagation of solid semiconductor media when the interaction between electrons and holes is taken into account [14]. When a semiconductor is examined, the photothermal mechanism involves thermoelastic (TE) and photo-electronic deformation (ED), and the free electron/hole carrier density should be taken into account. The PT theory can be used to determine the physical properties of semiconductors. Gordon et al. [15] investigated the interaction of a laser emission with a semiconductor to produce electromagnetic radiation and ultrasonic waves. Lotfy et al. [16,17,18] investigated the interaction between the PT theory and GTE theory under the influence of several fields. The interaction between optical and thermal-elastic waves is taken into consideration during PT diffusion processes, as well as the gradient of the temperature (changing thermal conductivity) [19,20,21]. The above studies ignored the interaction between electrons and holes under the influence of laser pulses in the context of thermal/electronic diffusion processes.
The main goal of the current research is to understand the behavior of the propagated waves of excited semiconductor media during elastic–thermal diffusive processes under the impact of laser pulses. Using the non-Gaussian laser pulse effect, the linear photo-thermoelasticity (LPTE) theory of semiconductors is used. This paper examines generalized elasto-thermodiffusion waves in semiconductor materials according to one-dimensional deformation (elastic and electronic) in the presence of excitation processes with laser pulses. When examining the governing equation, the interaction between electrons and holes under the influence of the non-Gaussian laser pulses is taken into consideration. A semiconductor medium with thermal and elastic characteristics is taken into consideration without ignoring the interaction between the electrons and holes which are photo-generated by an intensity-modulated beam of the non-Gaussian laser pulse. Using the Laplace transform, one can deduce the main fields from the governing equations analytically. For the complete solutions of the fundamental quantities, the Laplace transform’s inversion process is utilized numerically with the use of appropriate computer programing (MATLAB). The obtained results for the carrier density, normal displacement, hole charge carrier, and temperature distribution of silicon and germanium materials can be numerically verified using graphical illustrations that show the effect of many parameters (relaxation times, laser pulses, physical constants of medium, and time).

2. Basic Equations

Assume that the 1D semiconductor medium is homogenous, isotropic, thermoelastic, and in a stable state. Let u ( x , t ) , θ ( x , t ) , E ( x , t ) , and H ( x , t ) refer to the main physical quantities which describe the displacement vector, medium temperature change at any time t , the electron charge carrier concentration (the electron carrier density), and the hole charge carrier concentration, respectively. The main governing field Equations (1)–(4) that describe the interference between thermal, elastic, hole, and electron-hole charge carrier distributions can be taken in 1D under the influence of laser pulses in the context of the photo/electronic/thermoelastic deformation processes. According to the linear theory of thermoelasticity in semiconductors, the governing field equations can be written as a mathematical–physical model (the mathematical equations describe the physical phenomenon of electron/hole interaction under the impact of laser pulse) as following [9]:
(I)
The heat conduction equation which linked the temperature, displacement, carrier density, and hole charge carrier field (electronic, thermal, and elastic properties) under the effect of laser pulses (considering the medium is uniformly heated by a laser pulse with non-Gaussian profile) is [9,10,11,22]:
K ( 1 + τ θ t ) 2 T x 2 + m e q 2 E x 2 + m h q 2 H x 2 ρ ( a 1 e E t + a 1 h H t ) ( 1 + τ q t ) [ ρ C w T t + ρ T 0 α e E t + ρ T 0 α h H t + T 0 γ x u t ] = [ ρ a 1 e t n E + ρ a 1 h t h H ] + ( 1 + τ q t ) p δ e ( Ω t + δ x ) } .
where p represents the power intensity of the laser, the optical absorption coefficient is δ , and Ω expresses the pulse parameter.
(II)
The wave equations (thermal/plasma/elastic) are [9,10,11]:
m q e 2 T x 2 + D e ρ 2 E x 2 ρ ( 1 a 2 e T 0 α e + t e t ) E t a 2 e [ ρ C w T t + ρ T 0 α h H t + T 0 γ x u t ] = ρ t 1 e ( 1 + t e t ) E } ,
m q h 2 T x 2 + D h ρ 2 H x 2 ρ ( 1 a 2 h T 0 α h + t h t ) H t a 2 h [ ρ C w T t + ρ T 0 α e E t + T 0 γ t u x ] = ρ t 1 h ( 1 + t h t ) H ,
(III)
The equation of motion in the absence of the body forces is [9,10,11]:
ρ 2 u t 2 = ( 2 μ + λ ) 2 u x 2 γ ( 1 + τ θ t ) T x δ e E x δ h H x ,
where μ and λ are the elastic parameters, ρ is the density, α t represents the linear coefficient of thermal expansion, and C w is the specific heat coefficient. On the other hand, δ e and δ h are the electrons’ and holes’ elastodiffusive parameters, and K is the thermal conductivity. However, the quantities m e q , m q e , m h q , m q h express the Peltier–Dufour– Seebeck–Soret-like parameters. The diffusion coefficients for electrons and holes are D e and D h , respectively. The thermal memories in this problem are t θ and t q . However, the relaxation times of the electrons and holes are t e and t h , respectively. The thermodiffusive parameters α h and α e are for holes and electrons, and the flux-like constants are a Q e , a Q h , a Q , a e , a h . The remained notations are: γ = ( 3 λ + 2 μ ) α t , a 1 e = a Q e a Q , a 1 h = a Q h a Q , a 2 e = a Q e a e and a 2 h = a Q h a h .
The constitutive equation for the field of electron/hole carriers in a 1D stress–strain–heat plasma has the following structure [22,23,24]:
σ x x = ( 2 μ + λ ) u x ( γ ( 1 + τ θ t ) T + δ e E ) δ h H = σ
The dimensionless quantities can be expressed as (for more simplicity):
( x , u ) = ω * ( x , u ) C T , ( t , τ q , τ θ , t e , t h , t 1 e , t 1 h ) = ω * ( t , τ q , τ θ , t e , t h , t 1 e , t 1 h ) , β 2 = C T 2 C L 2 , k = K ρ C e , σ i j = σ i j μ , E = δ n ( E e 0 ) 2 μ + λ , Ω = Ω K ρ C w C T 2 , δ = δ K ρ C w C T , ω * = C w ( λ + 2 μ ) K , ( δ ¯ e , δ ¯ h ) = ( δ e e 0 , δ h h 0 ) γ T 0 , T = γ T 2 μ + λ , H = δ h ( H h 0 ) 2 μ + λ , C T 2 = 2 μ + λ ρ , C L 2 = μ ρ . } .
For more clarification (dimensionless analysis), where ω * = C w ( λ + 2 μ ) K , using the units in Table 1, yields:
ω * = J k g K . N m 2 W m 1 K 1 = J . N k g W m = J . k g . m s 2 k g W m = J . 1 s 2 W = J . 1 s 2 J s = 1 s . ,
In the dimensionless, using the value of ω * , in this case, the time can be chosen as:
t = ω * t t = 1 s ( s ) = 1 ,
Using the same way, the dimensionless can be applied to the other quantities, where e 0 , in an equilibrium state, is the value of the concentration of electrons, and h 0 is the equilibrium value of the concentration of holes.
When Equation (6) is used following Equations (1)–(4), we may omit the dashes for convenience, resulting in:
{ ( 1 + τ θ t ) 2 x 2 ( 1 + τ q t ) t } T + { α 1 2 x 2 α 2 ( 1 + τ q t ) α 3 t α 4 } E + { α 5 2 x 2 ( 1 + τ α t ) α 6 α 7 } H ( 1 + τ q t ) ε 1 t ( u x ) = ( 1 + τ q t ) Γ 1 e ( Ω t + δ x ) } ,
{ 2 x 2 α 8 t } T + { α 9 2 x 2 ( α 10 + t e t ) α 11 + ( 1 + t e t ) α 11 t n } E α 12 H t α 13 x u t = 0 } ,
{ 2 x 2 α 18 t } T + { α 14 2 x 2 ( α 15 + t h t ) α 16 t + ( 1 + t h t ) α 17 } H α 19 E t α 20 t u x = 0 } ,
{ 2 x 2 2 t 2 } u ( 1 + τ θ t ) T x E x α 21 H x = 0 .
Where the above equations’ coefficients are located:
α 1 = m n q α t d e K , α 2 = T 0 α e C w , α 3 = a 1 e C w , α 4 = a 1 e γ C w τ n ( 2 μ + λ ) , α 5 = γ m h q h 0 ( 2 μ + λ ) K , α 6 = T 0 α h K h 0 C w , α 7 = a 1 h γ ω t h K , α 8 = a 2 e K m q e , α 9 = D e ρ α t m q e d e , α 10 = 1 a 2 e T 0 α e , α 11 = α t K m q e d e C w , α 12 = a 2 e γ h 0 α h ω m q e ,
α 13 = a 2 e γ 2 T 0 ω ρ m q e , α 14 = D e h 0 γ C T 2 m q h , α 15 = 1 a 2 h T 0 α e , α 16 = γ h 0 ω m q h , α 17 = γ h 0 ω m q h τ 1 h , α 18 = a 2 h K m q h , α 19 = a 2 h γ T 0 α e ( 2 μ + λ ) ω m q h δ n , α 20 = a 2 h γ 2 T 0 ω m q h ρ , α 21 = δ h h 0 ( 2 μ + λ ) , ε 1 = T 0 γ 2 ω ρ K , Γ 1 = p δ ( 1 τ q Ω ) ρ C w C T .
The following initial conditions, which have homogeneity properties at rest, can be taken into account to mathematically solve the problem:
u ( x , t ) | t = 0 = u ( x , t ) t | t = 0 = 0 , T ( x , t ) | t = 0 = T ( x , t ) t | t = 0 = 0 , H ( x , t ) | t = 0 = H ( x , t ) t | t = 0 = 0 ,   E ( x , t ) | t = 0 = E ( x , t ) t | t = 0 = 0 .

3. The Mathematical Solutions

It is possible to utilize the Laplace transform, which may be defined for the function ( x , t ) as follows, for the time–space domain:
L ( ( x , t ) ) = ¯ ( x , s ) = 0 ( x , t ) e s t d t .
The basic Equations (7)–(10) are transformed using Equation (12), which results in:
( q 1 D 2 q 2 ) T ¯ + ( α 1 D 2 q 3 ) E ¯ + ( α 5 D 2 q 4 ) H ¯ q 5 D u ¯ = Γ 2 e δ x ,
( D 2 q 7 ) T ¯ + ( α 9 D 2 q 6 ) E ¯ q 8 H ¯ q 9 D u ¯ = 0 ,
( D 2 q 10 ) T ¯ + ( α 14 D 2 q 11 ) H ¯ q 12 E ¯ q 13 D u ¯ = 0 ,
( D 2 s 2 ) u ¯ q 14 D T ¯ D E ¯ α 21 D H ¯ = 0 .
where D = d d x , q 1 = ( 1 + τ θ t ) , q 2 = ( 1 + τ q t ) s , Γ 2 = Γ 1 ( 1 + τ q s ) s + Ω ,   q 4 = ( 1 + τ q t ) α 6 + α 7 , q 5 = ( 1 + τ q s ) ε 1 s , q 6 = ( α 10 + t e s ) α 11 ( 1 + t e s ) α 11 t e , q 7 = α 8 s , q 8 = α 12 s , q 9 = , α 13 s , q 10 = α 18 s , q 11 = ( α 15 + t h s ) α 16 s ( 1 + t h s ) α 17 , q 12 = α 19 s , q 13 = α 20 s , q 14 = ( 1 + τ θ s ) , q 3 = ( α 2 ( 1 + τ q t ) + α 3 t + α 4 ) . Between Equations (13) and (16), which can be utilized in the program Mathematica, eliminating T ¯ , u ¯ , E ¯ , and H ¯ results in:
( D 8 1 D 6 + 2 D 4 3 D 2 + 4 ) { H ¯ , E ¯ , T ¯ , u ¯ } ( x , s ) = C e δ x ,
where C = Γ 1 ( δ 2 q 2 s 2 ) ( s + Ω ) . The coefficients of Equation (17) are:
1 = 1 ( α 9 α 14 q 1 α 1 α 14 α 5 α 9 ) ( s 2 α 9 α 14 q 1 + s 2 α 1 α 14 + α 5 α 9 + α 1 α 14 q 9 q 14 + α 5 α 9 q 13 q 14 α 9 α 12 q 1 q 13 α 9 α 14 q 5 q 14 α 1 α 12 q 9 + α 1 α 12 q 13 + α 1 α 14 q 7 + α 5 α 9 q 11 + α 9 α 12 q 5 α 9 α 14 q 2 α 9 q 1 q 10 α 14 q 1 q 6 α 14 q 1 q 9 α 1 q 8 + α 1 q 10 + α 5 q 6 + α 5 q 9 α 5 q 12 α 5 q 13 + α 9 q 4 + α 14 q 3 ) . }
2 = 1 ( α 9 α 14 q 1 α 1 α 14 α 5 α 9 ) ( s 2 α 1 α 14 q 7 s 2 α 5 α 9 q 11 + s 2 α 14 α 9 q 2 + s 2 α 9 q 1 q 6 + s 2 α 1 q 8 s 2 α 1 q 10 s 2 α 5 q 6 + s 2 α 5 q 12 s 2 α 9 q 4 s 2 α 14 q 3 α 1 α 12 q 7 q 13 + α 1 α 12 q 9 q 11 + α 1 q 8 q 13 q 14 α 1 q 9 q 10 q 14 α 5 q 6 q 13 q 14 + α 5 q 9 q 12 q 14 + α 9 α 12 q 2 q 13 α 9 α 12 q 5 q 11 α 9 α 4 q 13 q 14 + α 9 q 5 q 10 q 14 + α 5 q 7 q 12 + α 12 q 1 q 6 q 13 α 12 q 1 q 9 q 12 α 14 q 3 q 9 q 14 + α 14 q 5 q 6 q 14 α 1 q 7 q 10 + α 1 q 8 q 11 α 5 q 6 q 11 α 5 q 9 q 11 + α 9 q 2 q 10 α 9 q 4 q 11 + α 12 q 3 q 9 α 12 q 3 q 13 + q 1 q 9 q 10 α 12 q 5 q 6 + α 12 q 5 q 12 + α 14 q 2 q 9 α 14 q 3 q 7 α 14 q 5 q 7 + q 1 q 6 q 10 q 1 q 8 q 12 q 1 q 8 q 13 + q 3 q 8 q 3 q 10 q 4 q 6 q 4 q 9 + q 4 q 12 + q 5 q 8 + q 4 q 13 q 5 q 10 ) } ,
3 = 1 ( α 9 α 14 q 1 α 1 α 14 α 5 α 9 ) ( s 2 α 1 q 7 q 11 s 2 α 1 q 8 q 11 + s 2 α 5 q 6 q 11 s 2 α 5 q 7 q 12 s 2 α 9 q 8 s 2 α 2 q 10 s 2 q 1 q 6 q 10 + s 2 q 1 q 8 q 12 s 2 q 3 q 8 + s 2 q 4 q 6 s 2 q 4 q 12 α 12 q 2 q 6 q 13 + α 12 q 2 q 9 q 11 + α 12 q 3 q 7 q 3 q 8 q 13 q 14 + q 3 q 9 q 10 q 14 + q 4 q 6 q 13 q 14 q 4 q 9 q 12 q 14 q 5 q 6 q 10 q 14 + q 5 q 8 q 12 q 14 q 2 q 6 q 10 + q 2 q 8 q 12 + q 2 q 8 q 13 q 2 q 9 q 10 + q 3 q 7 q 10 q 3 q 8 q 11 + q 4 q 6 q 11 q 4 q 7 q 12 q 4 q 7 q 13 + q 4 q 9 q 11 + q 5 q 7 q 10 q 5 q 8 q 11 ) }
4 = ( s 2 q 2 q 6 q 10 q 2 q 3 q 12 s 2 s 2 q 3 q 7 q 10 + s 2 q 3 q 3 q 11 s 2 q 4 q 6 q 11 + s 2 q 4 q 7 q 12 ) ( α 9 α 14 q 1 α 1 α 14 α 5 α 9 ) .
The main differential Equation (17) was resolved using the factorization technique as follows:
( D 2 m 1 2 ) ( D 2 m 2 2 ) ( D 2 m 3 2 ) ( D 2 m 4 2 ) { T ¯ , u ¯ , E ¯ , H ¯ } ( x , s ) = C e δ x
When x is chosen as the positive real portion, the symbols m i 2 ( i = 1 , 2 , 3 , 4 ) express the roots that may be picked. Equation (22) has a linear solution:
T ¯ ( x , s ) = i = 1 4 Β i ( s ) e m i x + Ψ e δ x .
As a result, the linear solutions of the other physical quantities can be expressed as follows:
E ¯ ( x , s ) = i = 1 4 Β i ( s ) e m i x + f 1 ( s ) e δ x = i = 1 4 H 1 i Β i ( s ) e m i x + f 1 ( s ) e δ x ,
u ¯ ( x , s ) = i = 1 4 Β i ( s ) exp ( m i x ) + f 2 ( s ) e δ x = i = 1 4 H 2 i Β i ( s ) exp ( m i x ) + f 2 ( s ) e δ x ,
H ¯ ( x , s ) = i = 1 4 Β i ( s ) exp ( m i x ) + f 3 ( s ) e δ x = i = 1 4 H 4 i Β i ( s ) exp ( m i x ) + f 3 ( s ) e δ x ,
σ ¯ ( x , s ) = i = 1 4 Β i ( s ) exp ( m i x ) + f 4 ( s ) e δ x = i = 1 4 H 4 i Β i ( s ) exp ( m i x ) + f 4 ( s ) e δ x
where Ψ = C ( δ 8 1 δ 6 + 2 δ 4 3 δ 2 + 4 ) .
The unknown parameters Β i , i = 1 , 2 , 3 , 4 can be derived from the boundary conditions, which depend on the Laplace parameter s . The coefficients f i , ( i = 1 , 2 , 3 , 4 ) and H j i j , i = 1 , 2 , 3 , 4 are written in the following form:
f 1 = Ψ c 1 δ 4 + c 2 δ 2 + c 3 c 4 δ 4 + c 5 δ + c 6 ,
f 2 = Ψ { ( δ 2 q 1 q 2 ) q 9 δ q 5 δ ( δ q 7 ) ( δ 2 α 5 q 4 ) q 9 δ + q 5 q 8 δ ( ( δ α 1 q 3 ) q 9 δ q 5 δ ( δ 2 α 9 q 6 ) ) H 3 i ( δ 2 α 5 q 4 ) q 9 δ + q 5 q 8 δ } ,
f 2 = Ψ { ( δ 2 q 1 q 2 ) q 9 δ q 5 δ ( δ q 7 ) ( δ 2 α 5 q 4 ) q 9 δ + q 5 q 8 δ ( ( δ α 1 q 3 ) q 9 δ q 5 δ ( δ 2 α 9 q 6 ) ) H 3 i ( δ 2 α 5 q 4 ) q 9 δ + q 5 q 8 δ } ,
f 3 = Ψ { ( δ 2 q 1 q 2 ) q 5 δ + ( δ 2 α 5 q 4 ) H 2 i q 5 δ + ( δ 2 α 1 q 3 ) H 1 i q 5 δ } ,
f 4 = Ψ ( α 23 ( δ H 2 i ( ( 1 + s τ θ ) H 1 i + 1 ) α 22 H 3 i ) ) ,
H 1 i = c 1 m i 4 + c 2 m i 2 + c 3 c 4 m i 4 + c 5 m i 2 + c 6 ,   H 3 i = ( m i 2 q 1 q 2 ) q 5 m i + ( m i 2 α 5 q 4 ) H 2 i q 5 m i + ( m i 2 α 1 q 3 ) H 1 i q 5 m i ,
H 2 i = ( m i 2 q 1 q 2 ) q 9 m i q 5 m i ( m i 2 q 7 ) ( m i 2 α 5 q 4 ) q 9 m i + q 5 q 8 m i ( ( m i 2 α 1 q 3 ) q 9 m i q 5 m i ( m i 2 α 9 q 6 ) ) H 3 i ( m i 2 α 5 q 4 ) q 9 m i + q 5 q 8 m i ,
H 4 i = α 23 ( m i H 2 i ( ( 1 + s τ θ ) H 1 i + 1 ) α 22 H 3 i ) .
Solutions for the physical quantities are provided in terms of the unknown parameters. Some surface-applied boundary conditions are used to achieve their complete solutions.

4. Boundary Conditions

The surface of an elastic semiconductor material is subjected to mechanical, plasma, thermal, and carrier charge field loads to obtain the entire values of the Β i parameters.
(I)
The Laplace transform, subjected to an exponentially decaying pulse (exponential laser pulsed heat), is obtained at the free surface x = 0 . It can be used to represent the pulsing heat flux boundary condition (thermally gradient temperature) in the following manner (the time duration of a laser pulse can be obtained in Figure 1). A non-Gaussian laser pulse is applied (an exponentially decaying pulse with a pulse exponentially decaying at large times). The so-called ultra-short lasers are those with pulse duration ranging from nanoseconds to femtoseconds, in general. In the case of ultra-short-pulsed laser heating, the high-intensity energy flux and ultra-short duration laser beam have introduced situations where very large thermal gradients or an ultra-high heating speed may exist on the boundaries. The thermal condition is taken with uniform heating by the laser pulse and a temporal non-Gaussian profile, which may be scaled to any point upon the boundary (when we consider the laser pulse lies on the surface of the medium when x = 0 ), as [25]:
T ( r , t ) x | x = 0 = q 0 t 2 e t t p 16 t p 2 ,
where t p is the time of the pulse heat flux, and q 0 is a constant. Therefore,
T ( r , s ) x | x = o = q 0 t p 8 ( 1 + p t p ) 3 .
(II)
In the case of equilibrium concentration, the mechanical condition at the free surface x = 0 can be arbitrarily chosen under the Laplace transform, producing:
σ ¯ ( 0 , s ) = 0 .
From Equation (31) yields:
i = 1 4 H 4 i Β i ( s ) + f 4 ( s ) = 0 .
(III)
The plasma boundary condition is the result of the charge carrier field of the electron acting on the free surface. This condition can be illustrated when the carrier density diffusion is transmitted during the photo-generated scenario in the setting of the recombination processes. The plasma condition can be rewritten as follows:
E ¯ ( 0 , s ) = ƛ e 0 D e R ¯ ( s ) .
Additionally, the following relationship is obtained:
i = 1 4 H 1 i Β i ( s ) + f 1 ( s ) = s ˜ e 0 D e .
(IV)
On the other hand, the equilibrium concentration scenario allows for the selection of the hole charge carrier field at the free surface condition. In this case, using the Laplace transform, we obtain:
H ¯ ( 0 , s ) = h 0 .
Equation (26) results in:
i = 1 4 H 3 i Β i ( s ) + f 3 ( s ) = h 0 .
The parameter ƛ is given an arbitrary value in the equations above, whereas the characters R ( s ) stand for the function of the Heaviside unit step. In terms of the parameters Β i ( s ) , the four Equations (30), (32), (34), and (36) build a four-system equation. Values can be obtained by solving this system algebraically in the proper manner.

5. Processes of the Laplace Transform Inversion

The Laplace transform inversion into the time domain can be used to obtain the dimensionless physical fields in one dimension. The Laplace transforms can be inverted numerically using the Riemann sum approximation technique. As a result, a rapid Fourier transform-based numerical inversion of the Laplace transform (NILT) approach is used [26]. Any function’s N ¯ ( x , s ) inverse in the Laplace domain can be found as follows [27]:
N ( x , t ) = L 1 { N ¯ ( x , s ) } = 1 2 π i n i n + i exp ( s t ) N ¯ ( x , s ) d s .
However, i = 1 and s = n + i Μ ( n , Μ R ), rewriting the inverted Equation (37) as:
N ( x , t ) = exp ( n t ) 2 π exp ( i β t ) N ¯ ( x , n + i β ) d β .
To obtain the following relationship, extend the function N ( x , t ) in closed form during the interval [ 0 , 2 t ] using the Fourier series:
N ( x , t ) = e n t t [ 1 2 N ¯ ( x , n ) + R e k = 1 ϒ N ¯ ( x , n + i k π t ) ( 1 ) k ] .
R e is the real part. However, a large enough number ϒ may be chosen at will, and the notation n can be chosen according to n t 4.7 [26].

6. Special Cases

6.1. The Theory of Generalized Thermoelasticity

When the charge fields of the electrons (carrier density) and holes are disregarded (i.e., E = 0 , and H = 0 ), the governing Equations (1)–(4) are reduced to the generalized thermoelasticity theory. The main equations can be reduced as follows in one dimension, though [7,8]:
K ( 1 + τ θ t ) 2 T x 2 ( t + τ q 2 t 2 ) ( ρ C E T + γ T 0 u x ) = ( 1 + τ q t ) p δ e ( Ω t + δ x ) .
The formula for the stress–strain–heat equation is:
σ x x = ( 2 μ + λ ) u x γ ( 1 + τ θ t ) T = σ
The motion equation can be expressed as follows:
ρ 2 u t 2 = σ x x x .
On the other hand, when τ θ = 0 , the system of equations is limited to the case of the Lord and Shulman (LS) model; the parameter τ θ is the phase lag of the temperature gradient, and τ q represents the phase lag of the heat flux. When 0 τ θ < τ q , the dual phase lag DPL model is obtained. However, if τ θ = τ q = 0.0 , the coupled thermoelasticity (CT) model is observed.

6.2. The Generalized Theory of Photo-Thermoelasticity

The governing equations are reduced to the generalized theory of photo-thermoelasticity with thermal memories in the case when the holes’ charge field is ignored (i.e., H = 0 ). In several of the aforementioned surveys of the literature [22,23,24], these main equations are examined. The main four Equations (1)–(4) are reduced to the following:
m q e 2 T x 2 + D e ρ 2 E x 2 ρ ( 1 a 2 e T 0 α e + t e t ) E t a 2 n [ ρ C w T t + T 0 γ x u t ] = ρ t 1 e ( 1 + t e t ) E } ,
K ( 1 + τ θ t ) 2 T x 2 + m e q 2 E x 2 ρ a 1 e E t ( 1 + τ q t ) [ ρ C w T t + ρ T 0 α e E t + T 0 γ x u t ] = ( 1 + τ q t ) p δ e ( Ω t + δ x ) } ,
ρ 2 u t 2 = ( 2 μ + λ ) 2 u x 2 γ ( 1 + τ θ t ) T x δ e E x .

6.3. The Non-Gaussian Laser Pulses’ Effect

The effect of the non-Gaussian laser pulses is shown in the previous basic equations. However, when the power intensity of the effect of the laser pulses is neglected (i.e., p = 0 ), the model understudy becomes a model of the generalized photo-thermoelasticity theory under the effect of electron and hole interactions.

7. Numerical Results and Discussions

To confirm the validity of the derived theoretical and analytical results, we can perform numerical simulations of the main physical quantities under study. In this section, some numerical simulations are discussed to determine the wave propagation of the main physical field. Thermal, displacement, carrier density (electron charge field), stress, and hole charge carriers are some of the physical quantities that have numerical values and can be seen graphically. The physical parameters of semiconductor materials such as silicon (Si) and germanium (Ge) are used to obtain the numerical simulation. The physical constants of Si and Ge have been utilized in the SI units using MATLAB (2022a) to plot the main physical quantities. Table 1 and Table 2 list the physical constants for Si and Ge, respectively, as follows [28,29,30,31]:

7.1. The Impact of Thermal Memory Parameters

When the interaction between the electrons and holes occurs, Figure 2a–d, which represents the first category) displays the principal dimensionless physical fields with the distance. Figure 2 displays the effect of different values of thermal memories according to the theories of photo-thermoelasticity (CT, LS, and DPL models when τ θ = 0.002 , τ q = 0.004 ) for a small dimensionless time t = 0.01 , and t p = 2 p s . The physical constants of the silicon medium are utilized as an example of a semiconductor to carry out the numerical simulation in this category when Ω = 6 , and q 0 = 10 . The first Figure 2a shows the behavior of the thermal wave propagation with changing distance under the influence of different thermal memories. It is clear from the figure that the amplitude of the thermal wave starts from the surface with positive values that fulfill the boundary thermal condition. The internal collision mechanisms within the semiconductor become more active as a result of the temperature effect of the laser pulses, which causes them to begin to move upward near the surface. In any case, the thermal waves’ maximum values are near the surface, where they gradually decrease until they are stable and are in equilibrium as the distance between them grows. This behavior is physically acceptable. The second Figure 2b illustrates how the movement of the inner particles rises as a direct result of enhancing the thermal effect of the laser pulses and pushing the inner electrons to the surface, leaving gaps behind. Elastic waves behave in a manner that is described by the displacement distribution inside the semiconductor medium. The arrival of the elastic wave to the maximum values close to the surface is caused by an increase in displacements based on the thermal effect and an increase in collisions. It then decreases until it reaches minimal values as we get closer to the surface, adopting a wave behavior of increasing and decreasing until dissipation inside the semiconductor medium reaches the equilibrium state and proves that waves propagating in elastic media have finite speeds. Figure 2c describes the state of mechanical wave propagation, using the normal stress component distribution with varying distances x for different values of relaxation times. It is clear from this figure that the stress component fulfills the boundary mechanical condition and starts from the surface with zero values. The increase near the surface is a result of the stress on the semiconductor material with the absorbed light energy to reach the maximum values. Then, it decreases to a minimum value with wave behavior until it fades with the increasing distance. However, Figure 2d describes the state of photothermal excitation, which can be expressed as plasma waves or the carrier density effect. As a result of the processes of interference between the electrons and holes, the plasma waves meet the boundary conditions starting from positive values at the surface to take increasing near the surface to reach the maximum value. The temperature influence of the laser pulses is lessened as one moves away from the surface, which causes the plasma waves to gradually diminish until they stabilize at a greater distance x . On the other hand, Zhang et al. [30] used computational exploration and screening to obtain some physical properties of photocatalyst metals such as charge carrier concentrations. The temperature and carrier density distribution subfigures illustrate that the thermal wave and plasma wave behaviors are consistent with those of the tests described in [32,33].

7.2. The Laser Pulses’ Effect

Figure 3a–d displays the distribution of the main physical fields (temperature, displacement, normal stress, and carrier density) against the distance x in two cases. The first case describes the material under the effect of a laser pulse, which is a legend using laser pulses. However, the second case describes the medium without the impact of laser pulses, which is a legend without laser pulses. The numerical simulation is carried out dimensionless according to the DPL model for silicon (Si) material. This graph makes it clear how the laser pulses affect the distribution of the wave propagation for all of the physical parameters under study. On the other hand, the presence of laser pulses changes the physical properties of the semiconductors, which is shown in the behavior of the wave propagation inside the material.

7.3. The Effect of Physical Constants

Germanium (Ge) and silicon (Si), two elastic semiconductor media, are compared in Figure 4a–d (the fourth group). In this category, the values of the studied physical fields (temperature, displacement, normal stress, and carrier density) have been quantitatively assessed using the DPL model while being influenced by laser pulses. It is evident from the figure that the physical constant differences between Ge and Si materials have a significant influence on all wave propagation across all dimensionless wave distributions. However, the physical characteristics of the semiconductor materials have an impact on the sizes of all physical field wave propagations. Large changes in the propagation surface charge density of the elastic, thermal, and diffusive waves are thought to be the cause of the interactions between the mechanical, thermal, and electron/hole charge-carrying domains [31].

7.4. The 3D Plot

Figure 5a–d depicts a three-dimensional (3D) graph of the distributions of the important physical fields (temperature, displacement, normal stress, and carrier density) against interval distance x [0, 6] and interval time [0, 4 × 10 2 ]. According to the DPL model, all calculations are conducted when the interaction between the electron and hole occurs for the silicon material. The variations in distance and time affect the magnitude values of all fields. All distributions were expanded until they achieved the equilibrium state as the time–space range increased. The elastic, thermal, and plasma waves as well as the mechanical waves are all significantly influenced by the coupling between the charge carrier fields for electrons and holes in the first range close to the boundary.

7.5. The Time Impact

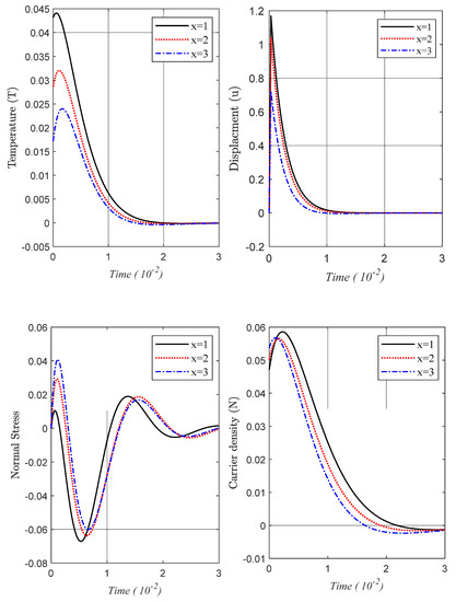
We consider the applied laser pulse according to the DPL model for Si material. Figure 6 shows the resulting temperature, displacement, normal stress, and carrier density versus time in the range [0, 0.03] at three values of distance ( x = 1 , x = 2 , x = 3 ). From this figure, it is clear that there is an increase in the amplitude of the distributions under study which then decreases with time and goes deeper into the semiconductor material.

8. Conclusions

The photo-thermoelastic model is used to examine the interactions between heat, plasma, and elastic waves in semiconducting materials. The photo-thermoelastic model is used to study the influences of the thermal relaxation times (phase lag of temperature gradient and heat flux parameters) and laser pulses on the distributions of all waves propagated. The discussion shows that the different thermal memory parameters, according to the photo-thermoelastic models, significantly affect the wave propagation within the semiconductor. The classical thermoelastic theory (CD theory) will not be suitable to describe the behavior of the structure. Therefore, generalized LS and GL theories will be better to explain the photo-thermoelastic effect of the nanostructure. The results of this investigation show that the fundamental variables, in particular the thermal memory, laser pulse parameters, and material physical constants of the medium, have a considerable impact on the behavior of the mechanical, thermal, and photo-electronic (plasma) wave propagation within a semiconductor. All physical quantities’ values converge to zero as x increases to reach the equilibrium state, and all functions are continuous. The present study may be helpful for the theoretical modeling of photo-thermoelasticity. Further, it is expected to be useful for designing structures in various engineering problems, modern physics, mechanical material design, photothermal efficiency, and the solar cell. The analysis and results in this article will be very significant in the study of the uses of semiconductors such as diodes, triodes, and modern electronics devices.

Author Contributions

Conceptualization, K.L.; methodology, K.L.; software, H.M.A.; validation, H.M.A.; investigation; data curation, K.L.; writing—original draft preparation, H.M.A.; visualization, K.L.; supervision, H.M.A. All authors have read and agreed to the published version of the manuscript.

Funding

This research work was funded by the Institutional Fund Projects under grant No. (G-077-130-1443). Therefore, the authors gratefully acknowledge the technical and financial support from the Ministry of Education and Deanship of Scientific Research (DSR), King Abdulaziz University (KAU), Jeddah, Saudi Arabia.

Data Availability Statement

The datasets used and/or analyzed during the current study are available from the corresponding author on reasonable request.

Conflicts of Interest

The authors declare no conflict of interest.

References

  1. Biot, M.A. Thermoelasticity and Irreversible Thermodynamics. J. Appl. Phys. 1956, 27, 240–253. [Google Scholar] [CrossRef]
  2. Lord, H.; Shulman, Y. A generalized dynamical theory of thermoelasticity. J. Mech. Phys. Solids 1967, 15, 299–309. [Google Scholar] [CrossRef]
  3. Green, A.E.; Lindsay, K.A. Thermoelasticity. J. Elast. 1972, 2, 1–7. [Google Scholar] [CrossRef]
  4. Chandrasekharaiah, D.S. Thermoelasticity with Second Sound: A Review. Appl. Mech. Rev. 1986, 39, 355–376. [Google Scholar] [CrossRef]
  5. Chandrasekharaiah, D.S. Hyperbolic Thermoelasticity: A Review of Recent Literature. Appl. Mech. Rev. 1998, 51, 705–729. [Google Scholar] [CrossRef]
  6. Sharma, J.N.; Kumar, V.; Chand, D. Reflection of generalized thermoelastic waves from the boundary of a half-space. J. Therm. Stress. 2003, 26, 925–942. [Google Scholar] [CrossRef]
  7. Abbas, I.A.; Abdalla, A.-E.N.; Alzahrani, F.; Spagnuolo, M. Wave propagation in a generalized thermoelastic plate using eigenvalue approach. J. Therm. Stress. 2016, 39, 1367–1377. [Google Scholar] [CrossRef]
  8. Marin, M.; Lupu, M. On Harmonic Vibrations in Thermoelasticity of Micropolar Bodies. J. Vib. Control 1998, 4, 507–518. [Google Scholar] [CrossRef]
  9. Maruszewski, B. Electro-magneto-thermo-elasticity of Extrinsic Semiconductors, Classical Irreversible Thermodynamic Approach. Arch. Mech. 1986, 38, 71–82. [Google Scholar]
  10. Maruszewski, B. Electro-magneto-thermo-elasticity of Extrinsic Semiconductors, Extended Irreversible Thermodynamic Approach. Arch. Mech. 1986, 38, 83–95. [Google Scholar]
  11. Maruszewski, B. Coupled evolution equations of deformable semiconductors. Int. J. Eng. Sci. 1987, 25, 145–153. [Google Scholar] [CrossRef]
  12. Sharma, J.N.; Thakur, N. Plane harmonic elasto-thermodiffusive waves in semiconductor materials. J. Mech. Mater. Struct. 2006, 1, 813–835. [Google Scholar] [CrossRef]
  13. Mandelis, A. Photoacoustic and Thermal Wave Phenomena in Semiconductors; Elsevier: Cambridge, MA, USA, 1987. [Google Scholar]
  14. Almond, D.; Patel, P. Photothermal Science and Techniques; Springer Science & Business Media: Berlin, Germany, 1996. [Google Scholar]
  15. Gordon, J.P.; Leite, R.C.C.; Moore, R.S.; Porto, S.P.S.; Whinnery, J.R. Long-transient effects in lasers with inserted liquid samples. Bull. Am. Phys. Soc. 1964, 119, 501. [Google Scholar] [CrossRef]
  16. Lotfy, K. Effect of Variable Thermal Conductivity during the Photothermal Diffusion Process of Semiconductor Medium. Silicon 2019, 11, 1863–1873. [Google Scholar] [CrossRef]
  17. Lotfy, K.; Tantawi, R.S. Photo-thermal-elastic interaction in a functionally graded material (FGM) and magnetic field. Silicon 2020, 12, 295–303. [Google Scholar] [CrossRef]
  18. Lotfy, K. A novel model of magneto photothermal diffusion (MPD) on polymer nano-composite semiconductor with initial stress. Waves Random Complex Media 2019, 31, 83–100. [Google Scholar] [CrossRef]
  19. Abouelregal, A.E.; Marin, M.; Askar, S. Thermo-Optical Mechanical Waves in a Rotating Solid Semiconductor Sphere Using the Improved Green–Naghdi III Model. Mathematics 2021, 9, 2902. [Google Scholar] [CrossRef]
  20. Lotfy, K.; Elidy, E.S.; Tantawi, R. Piezo-photo-thermoelasticity transport process for hyperbolic two-temperature theory of semiconductor material. Int. J. Mod. Phys. C 2021, 32, 2150088. [Google Scholar] [CrossRef]
  21. Alhejaili, W.; Lotfy, K.; El-Bary, A. Photo–elasto–thermodiffusion waves of semiconductor with ramp-type heating for electrons–holes-coupled model with initial stress. Waves Random Complex Media 2022. [Google Scholar] [CrossRef]
  22. Zenkour, A.; Abouelregal, A. Two-temperature theory for a heated semi-infinite solid by a pulsed laser radiation. Arch. Thermodyn. 2020, 41, 85–101. [Google Scholar]
  23. Lotfy, K.; Gabr, M. Response of a semiconducting infinite medium under two temperature theory with photothermal excitation due to laser pulses. Opt. Laser Technol. 2017, 97, 198–208. [Google Scholar] [CrossRef]
  24. Mahdy, A.M.S.; Lotfy, K.; El-Bary, A.; Sarhan, H.H. Effect of rotation and magnetic field on a numerical-refined heat conduction in a semiconductor medium during photo-excitation processes. Eur. Phys. J. Plus 2021, 136, 553. [Google Scholar] [CrossRef]
  25. Sun, Y.; Fang, D.; Saka, M.; Soh, A.K. Laser-induced vibrations of micro-beams under different boundary conditions. Int. J. Solids Struct. 2008, 45, 1993–2013. [Google Scholar] [CrossRef]
  26. Brancik, L. Programs for fast numerical inversion of Laplace transforms in MATLAB language environment. Proc. 7th Conf. MATLAB 1999, 99, 27–39. [Google Scholar]
  27. Honig, G.; Hirdes, U. A method for the numerical inversion of Laplace transform. J. Comput. Appl. Math. 1984, 10, 113–132. [Google Scholar] [CrossRef]
  28. Mondal, S.; Sur, A. Photo-thermo-elastic wave propagation in an orthotropic semiconductor with a spherical cavity and memory responses. Waves Random Complex Media 2020, 31, 1835–1858. [Google Scholar] [CrossRef]
  29. Abbas, I.; Alzahranib, F.; Elaiwb, A. A DPL model of photothermal interaction in a semiconductor material. Waves Random Complex Media 2019, 29, 328–343. [Google Scholar] [CrossRef]
  30. Raddadi, M.H.; Lotfy, K.; Elidy, E.S.; El-Bary, A.; Tantawi, R.S. A Novel Photo Elasto-Thermodiffusion Waves with Electron-Holes in Semiconductor Materials with Hyperbolic Two Temperature. Crystals 2022, 12, 1458. [Google Scholar] [CrossRef]
  31. Zhang, W.; Yang, W.; Liu, Y.; Liu, Z.; Zhang, F. Computational exploration and screening of novel Janus MA2Z4 (M = Sc-Zn, Y-Ag, Hf-Au; A = Si, Ge; Z = N, P) monolayers and potential application as a photocatalyst. Front. Phys. 2022, 17, 63509. [Google Scholar] [CrossRef]
  32. Xiao, Y.; Shen, C.; Zhang, W. Screening and prediction of metal-doped α-borophene monolayer for nitric oxide elimination. Mater. Today Chem. 2022, 25, 100958. [Google Scholar] [CrossRef]
  33. Liu, J.; Han, M.; Wang, R.; Xu, S.; Wang, X. Photothermal phenomenon: Extended ideas for thermophysical properties characterization. J. Appl. Phys. 2022, 131, 065107. [Google Scholar] [CrossRef]
Figure 1. Temporal profile of the laser pulse.
Figure 1. Temporal profile of the laser pulse.
Mathematics 11 00127 g001
Figure 2. (ad) The comparison between the physical field distributions against the distance according to the different values of thermal memories under the effect of laser pulses for Si material.
Figure 2. (ad) The comparison between the physical field distributions against the distance according to the different values of thermal memories under the effect of laser pulses for Si material.
Mathematics 11 00127 g002
Figure 3. (ad) The comparison between the physical field distributions against the distance under the impact of laser pulses and without the effect of laser pulses in the context of the DPL model for Si material.
Figure 3. (ad) The comparison between the physical field distributions against the distance under the impact of laser pulses and without the effect of laser pulses in the context of the DPL model for Si material.
Mathematics 11 00127 g003
Figure 4. (ad) The comparison between the physical field distributions against the distance according to the different physical constants of Si and Ge materials in the context of the DPL model.
Figure 4. (ad) The comparison between the physical field distributions against the distance according to the different physical constants of Si and Ge materials in the context of the DPL model.
Mathematics 11 00127 g004
Figure 5. (ad) The wave propagation of the physical field distributions against the distance and time interval [0, 0.04] according to Si materials in the context of the DPL model.
Figure 5. (ad) The wave propagation of the physical field distributions against the distance and time interval [0, 0.04] according to Si materials in the context of the DPL model.
Mathematics 11 00127 g005
Figure 6. The wave propagation of the physical field distributions against the time interval [0, 0.03] according to Si materials in the context of the DPL model.
Figure 6. The wave propagation of the physical field distributions against the time interval [0, 0.03] according to Si materials in the context of the DPL model.
Mathematics 11 00127 g006
Table 1. The physical constants in SI units of Si material.
Table 1. The physical constants in SI units of Si material.
UnitSymbolValueUnitSymbolValue
N . m 2 λ
μ
6.4 × 10 10
6.5 × 10 10
m 3 d e 9 × 10 31
kg . m 3 ρ 2330 sec ( s ) τ 0 0.00005
K T 0 800 V . K 1 m q n 1.4 × 10 5
sec ( s ) τ 5 × 10 5 V . K 1 m n q 1.4 × 10 5
K 1 α t 4.14 × 10 6 V . K 1 m q h 0.004 × 10 6
W . m 1 . K 1 K 150 V . K 1 m h q 0.004 × 10 6
J . kg 1 . K 1 C w 695 m 2 . s 1 D n 0.35 × 10 2
J . m 2 p 10 11 m 2 . s 1 D h 0.125 × 10 2
m . s 1 s ˜ 2 m 3 n ˜ 0 10 20
m 1 δ 3 m 2 . s 1 α e 1 × 10 2
ps t 0 4 m 2 . s 1 α h 5 × 10 3
eV E g 1.11 m 2 . s 1 D E 2.5 × 10 3
Table 2. The physical constants in SI units of Ge material.
Table 2. The physical constants in SI units of Ge material.
UnitSymbolValueUnitSymbolValue
N . m 2 λ
μ
0.48 × 10 11
0.53 × 10 11
m 3 d e 6 × 10 31
kg . m 3 ρ 5300 sec ( s ) τ 0 0.00005
K T 0 723 V . K 1 m q n 1.4 × 10 5
sec ( s ) τ 1.4 × 10 6 V . K 1 m n q 1.4 × 10 5
K 1 α t 3.4 × 10 3 V . K 1 m q h 0.004 10 6
W . m 1 . K 1 K 60 V . K 1 m h q 0.004 × 10 6
J . kg 1 K 1 C w 310 m 2 . s 1 D e 10 2
J . m 2 p 10 11 m 2 . s 1 D h 0.5 × 10 2
m . s 1 s ˜ 2 m 3 n ˜ 0 10 20
m 1 δ 3 m 2 . s 1 α e 3.4 × 10 3
ps t 0 4 m 2 . s 1 α h 1.3 × 10 3
eV E g 0.72 m 2 . s 1 D E 10 2
Disclaimer/Publisher’s Note: The statements, opinions and data contained in all publications are solely those of the individual author(s) and contributor(s) and not of MDPI and/or the editor(s). MDPI and/or the editor(s) disclaim responsibility for any injury to people or property resulting from any ideas, methods, instructions or products referred to in the content.

Share and Cite

MDPI and ACS Style

Alshehri, H.M.; Lotfy, K. An Analysis of the Photo-Thermoelastic Waves Due to the Interaction between Electrons and Holes in Semiconductor Materials under Laser Pulses. Mathematics 2023, 11, 127. https://doi.org/10.3390/math11010127

AMA Style

Alshehri HM, Lotfy K. An Analysis of the Photo-Thermoelastic Waves Due to the Interaction between Electrons and Holes in Semiconductor Materials under Laser Pulses. Mathematics. 2023; 11(1):127. https://doi.org/10.3390/math11010127

Chicago/Turabian Style

Alshehri, Hashim M., and Khaled Lotfy. 2023. "An Analysis of the Photo-Thermoelastic Waves Due to the Interaction between Electrons and Holes in Semiconductor Materials under Laser Pulses" Mathematics 11, no. 1: 127. https://doi.org/10.3390/math11010127

APA Style

Alshehri, H. M., & Lotfy, K. (2023). An Analysis of the Photo-Thermoelastic Waves Due to the Interaction between Electrons and Holes in Semiconductor Materials under Laser Pulses. Mathematics, 11(1), 127. https://doi.org/10.3390/math11010127

Note that from the first issue of 2016, this journal uses article numbers instead of page numbers. See further details here.

Article Metrics

Back to TopTop