Next Article in Journal
A Safe and Efficient Lane Change Decision-Making Strategy of Autonomous Driving Based on Deep Reinforcement Learning
Next Article in Special Issue
Differential Game for an Infinite System of Two-Block Differential Equations
Previous Article in Journal
Existence and Uniqueness Theorems in the Inverse Problem of Recovering Surface Fluxes from Pointwise Measurements
Previous Article in Special Issue
Pursuit Differential Game with Slow Pursuers on the 1-Skeleton Graph of the Icosahedron
 
 
Font Type:
Arial Georgia Verdana
Font Size:
Aa Aa Aa
Line Spacing:
Column Width:
Background:
Article

The Effect of Bounded Rationality on Human Cooperation with Voluntary Participation

1
Institute for Interdisciplinary Quantum Information Technology, Jilin Engineering Normal University, Changchun 130052, China
2
Jilin Engineering Laboratory for Quantum Information Technology, Changchun 130052, China
3
National Institute of Natural Hazards, Ministry of Emergency Management of China, Beijing 100085, China
4
School of Physics, Nankai University, Tianjin 300071, China
*
Author to whom correspondence should be addressed.
Mathematics 2022, 10(9), 1550; https://doi.org/10.3390/math10091550
Submission received: 24 March 2022 / Revised: 14 April 2022 / Accepted: 15 April 2022 / Published: 5 May 2022
(This article belongs to the Special Issue Differential Games and Its Applications)

Abstract

The evolution of human cooperation is an important issue concerning social science. A deep understanding of human bounded rationality is a prerequisite for promoting collective cooperation and solving social dilemmas. Here we construct an asymmetric micro-dynamic based on bounded rationality from a micro perspective by combining behavioral economics and cognitive psychology with evolutionary game theory. Asynchronously updated Monte Carlo simulations were conducted where individuals were located on a square lattice to play a voluntary public goods game. The results showed that “free riding” behaviors can be effectively suppressed in most situations. The cooperation level can be obviously enhanced in a population comprising easily satisfied cooperators and greedy defectors. Moreover, essential conditions for the stability of the system are further discussed at the microscopic level, and altruistic behavior can be explained that an individual with lower expectations for or underestimation of a single game is more likely to cooperate. We argue that, compared to traditional approaches, the integration of interdisciplinary ideas should be taken more seriously.

1. Introduction

The evolution of human cooperation in social dilemmas has been explored in various fields for decades [1,2,3,4,5]. Especially, discovering or constructing new evolutionary dynamics more consistent with social development and psychological behavior has become one of the most challenging works. Social dilemmas usually rise in conflicts of interest between individuals and their collective. The “Tragedy of the Commons” proposed by Hardin [6] illustrates the phenomenon that public resources may be overused due to such conflicts. Olson [7] suggests that in the absence of external intervention, the decision-making behavior of rational individuals seeking self-interest often leads to irrational results from the collective. Compared to “Nash Equilibrium”, Evolutionary Stable Strategy (ESS), based on the hypothesis of bounded rationality [8], is more practical and lays the foundation for evolutionary game theory.
The public goods game (PGG) is commonly used as a basic model in evolutionary game theory to study the evolution of cooperation. In order to solve specific problems in social dilemmas, various game mechanisms have been explored in different situations [9,10,11]. Voluntary participation enables individuals to drop out of the games and avoid the risks leading to rock-paper-scissors dynamics [11,12,13]. It shows us that cooperation can subsist in sizable groups even without any interaction among individuals. On the other hand, as is representative of microscopic dynamic processes, the aspiration-based updating rule [14,15,16,17,18,19,20,21] and self-adjusting rule [22,23] are often used to study the evolution of cooperation in anonymous games. There is no information exchange between individuals and they only make decisions based on their own benefits, so interactive behaviors such as imitation [24,25] are not involved. This kind of dynamics is considered an intrinsic attribute of individuals to study the driving forces of human or animal behavior.
In fact, since the “Allais paradox” [26], human decision-making behavior has been noticed to deviate from the expected utility theory [27,28,29,30]. Simon specifically discussed the relationship between “procedural rationality” and “substantive rationality” [31]. In most situations, human decisions are affected by complex factors such as knowledge, analytical ability, and environment, so individuals cannot maintain their “substantive rationality” with preference consistency and utility maximization. Subsequently, many psychological phenomena, such as the isolation effect [32], endowment effect [33], framing effect [34], and anchoring effect [35] have been proposed to explain human bounded rationality. More importantly, Prospect Theory [36,37], based on many empirical studies, reveals that human decisions under risk are inconsistent with the basic tenets of utility theory. Recently, Ruggeri et al. [38] re-conducted the experiments related to Prospect Theory on 4098 participants from 19 countries, and the results show that most of the experiments could be successfully replicated, again verifying the universal significance of Prospect Theory in describing human behavior under uncertain conditions.
Until now, the evolution of human cooperation was still an important issue concerning social science. Compared to traditional approaches, the integration of interdisciplinary ideas receives more and more attention. The decision-making behavior of individuals under uncertain conditions, described by Prospect Theory, is significantly asymmetric based on psychological reference points, which is more consistent with the real behavior patterns of human beings. At the same time, evolutionary game theory based on bounded rationality provides us with a research frame with low-cost, repeatable results and controllable parameters. Therefore, we attempt to combine empirical theories such as behavioral economics and cognitive psychology with the micro-dynamics of evolutionary game theory to explore how to quantify the bounded rationality of human beings in social dilemmas so as to further study the emergence and evolution of group cooperation.

2. Models and Methods

In the traditional model of PGG, an individual could decide to contribute certain capital to the common pool as a cooperator (C) or free ride as a defector (D). The voluntary participation mechanism [11,12,13] provides an additional option, loner (L), for individuals to drop out of the game. Cooperators and defectors can share the multiplied outcomes of the common pool and loners obtain fixed payoffs. Given that G is the number of individuals involved in a single game and n C , n D , and G n C n D denote the numbers of cooperators, defectors and loners, respectively, the specific payoffs for each strategy are:
{ P C = r × n C n C + n D c , P D = r × n C n C + n D , P L = σ ,
where r is the multiplied factor of the common pool. In addition, c = 1 denotes the contribution of a cooperator and the payoff for a loner, and σ = 1 is a variable parameter in our simulations. Note that the condition 1 < 1 + σ < r < G must be satisfied to ensure the existence of a social dilemma.
As a general form of micro-dynamic commonly used in evolutionary games, an individual makes a decision according to the difference between its payoff and a reference point. The update of strategy s x can be expressed as follows:
Γ ( s x s x ) = g ( π x α x )
where π x is the payoff for player x and α x can be the payoff for a neighbor or a mental reference point. Generally, the function g ( π x α x ) is nonlinear, representing the bounded rationality of individuals.
On the other hand, the utility value function in Prospect Theory qualitatively describes an individual’s judgment under uncertain conditions [36], in which the utility value is given by
U = { ( Δ W ) β + , Δ W 0 , g a i n s λ ( ( Δ W ) ) β , Δ W < 0 , l o s s e s
where Δ W = π α denotes the relative payoff on the basis of the reference point α , β + , β ( 0 , 1 ] denote the individual sensitivities to gains and losses, respectively, and λ ( λ > 1 ) is a coefficient representing loss aversion. Empirical studies show that the ratio of the slope of the utility value function between the two ranges of small or moderate gains and losses is about 2:1, i.e., λ = 2 [39]. The utility value function has the following three characteristics:
  • Relative incomes: Individuals define gains and losses based on relative incomes to a certain reference point rather than their absolute wealth.
  • Nonlinear variation: The utility value function is concave for gains and convex for losses. Accordingly, we have Δ W > 0 U > 0 , U < 0 and Δ W 0 U 0 , U > 0 .
  • Loss aversion: The utility value function is steeper for losses than for gains, i.e., Δ W > 0 U Δ W > U Δ W , U Δ W > u Δ W .
Here we construct an asymmetric micro-dynamic combining Prospect Theory in voluntary PGG under full anonymity. Player x adopts the mixed strategy s x ( p L , p i , p j ) , where i is the current strategy and i , j { C , D } , i j . The updating rule is based on the individual’s own payoff π, reference point α , and common information:
s x ( p L , p i , p j ) s x ( p L , p i , p j )
where
{ p L = max ( 0 , min ( 1 p j , p L p i ) ) p i = 1 p L p j
Referring to the form of utility value function in Prospect Theory (Equation (3)), the transition of probability ( p i ) between current strategy i and L is given by
p i = { ω ( π α P m a x α ) γ + , π i α ( g a i n ) λ ω ( α π α P m i n ) γ , π i < α ( l o s s )
where ω [ 0 , 1 ] denotes the weight of a single game given by each individual. It sets the range of probability variation and can implement the transition between pure strategies from P m i n to P m a x as ω = 1 . Here, the sensitives to gains and losses are denoted by γ + and γ , respectively. λ > 1 is the coefficient of loss aversion. P m a x and P m i n are the maximum and minimum payoffs for an individual to obtain in a single game, that is π , α [ P m i n , P m a x ] . Note that such payoff ranges for a cooperator and a defector are different and we can infer from Equation (1) that
{ P C m a x = r 1 , n C 2 , n D = 0 P D m a x = G 1 G r , n C = G 1 , n D = 1 P C m i n = 1 G r 1 , n C = 1 , n D = G 1 P D m i n = 0 , n C = 0 , n D 2
Then we have P C m a x < P D m a x , P C m i n < P D m i n and
P C m a x P C m i n = P D m a x P D m i n = G 1 G r
under the condition 1 < 1 + σ < r < G .
To facilitate the theoretical analysis, we use greediness β to represent the position of reference point α within [ P m i n , P m a x ] :
α S x = β S x P S x , m a x + ( 1 β S x ) P S x , m i n , S x [ C , D ] .
For instance, β C = 1 indicates a greedy cooperator whose reference point is α C = P C , m a x . The relative payoff has been normalized by the range [ P m i n , P m a x ] , which means the two cases π C = P C m a x and π D = P D m a x have the same maximum utility of 1. Compared to the utility value function (Equation (3)) in Prospect Theory, we have made two modifications by introducing ω and the payoff range [ P m i n , P m a x ] . Thus, the utility judgment can be turned into probabilistic decision applied in evolutionary games (Figure 1a). By considering the differences between strategies C and D, such as ω C ω D (Figure 1b) and α C α D (Figure 1c), we can further explore the influence of asymmetric micro-dynamics on the evolutionary process.
The commonly used Monte Carlo method in statistical physics has been applied in the simulations. M 2 individuals are located in an M × M square lattice with periodic boundary conditions. In each step, a (player x) is randomly selected and makes a decision (C, D or L) according to the mixed strategy s x ( p L , p C , p D ) to play voluntary PGG with the 4 von Neumann neighbors (N1, N2, N3, N4). Thus, 5 players are involved in a single game ( G = 5 ) and there would be no game if n C + n D 1 . In this approach, player x participates in 5 single games separately centered on itself and the other 4 neighbors (Figure 2). Hence we consider the average value
π x = 1 5 i = 1 5 P x i
as the payoff for player x in the current step. In each round, the process repeats M 2 times, ensuring that every player has one chance on average to make a decision. Such an asynchronous updating process is called a Monte Carlo Step (MCS). In addition, each individual adopts a random strategy ( p L = p C = p D = 1 / 3 ) as the initial condition in the following simulations:

3. Results

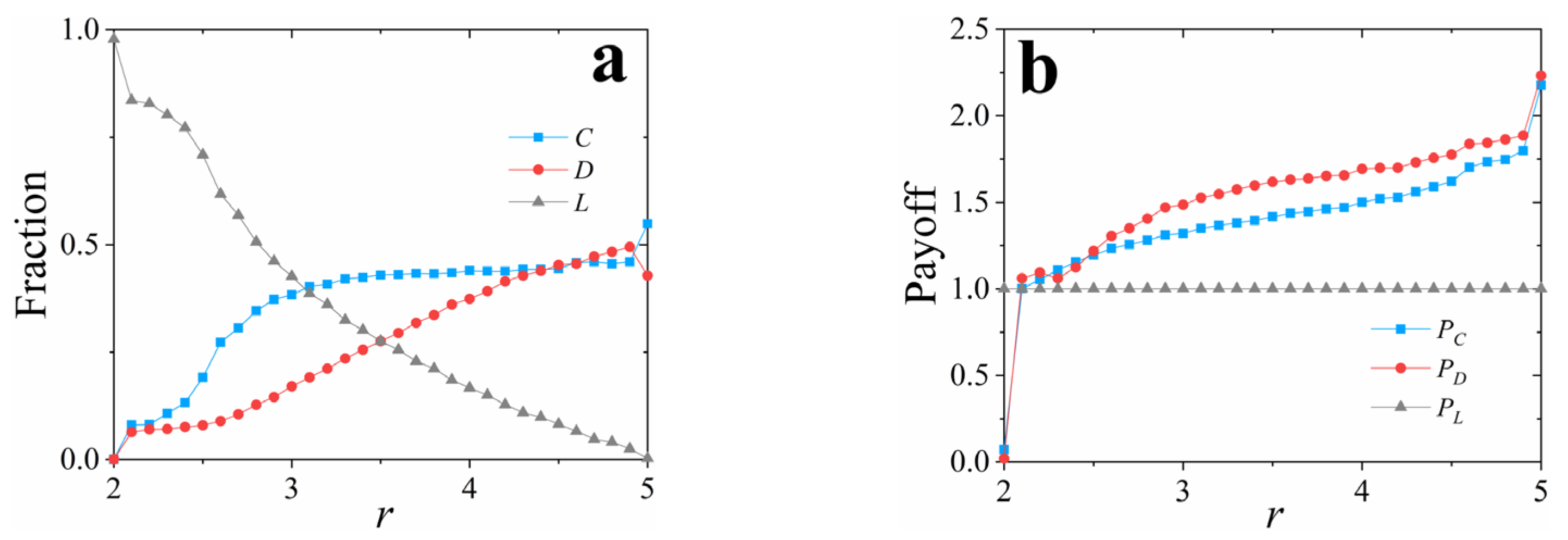
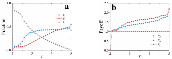
Given the nonlinearity and asymmetry of the micro-dynamics, we have different results (Figure 3) than in previous work [22]. The fraction of loners decreases monotonically with r. In addition, there is no extremum in the level of cooperation ( f C ) and it increases as r increases; however, the promotion becomes insignificant when r > 3.3 . With the same weight and reference point ( ω = 0.02 , α = 1 ) between C and D, the level of cooperation has been slightly promoted and the free riding is inhibited to some extent to a high value of r. Similarly, we can see in Figure 3b that the average payoffs for participants (C and D) are significantly lower than those of loners ( σ = 1 ) as r 2 . In this case, most of the participants would drop out of the game as loners. Subsequently, cooperators and defectors can obtain more payoffs than loners as r increases so that more individuals participate in the PGG. Moreover, defectors benefit more than cooperators from games on average. Due to the promotion of cooperation, all the players participating in the PGG can obtain more payoffs than those who adopt the linear and symmetric micro-dynamic [22].
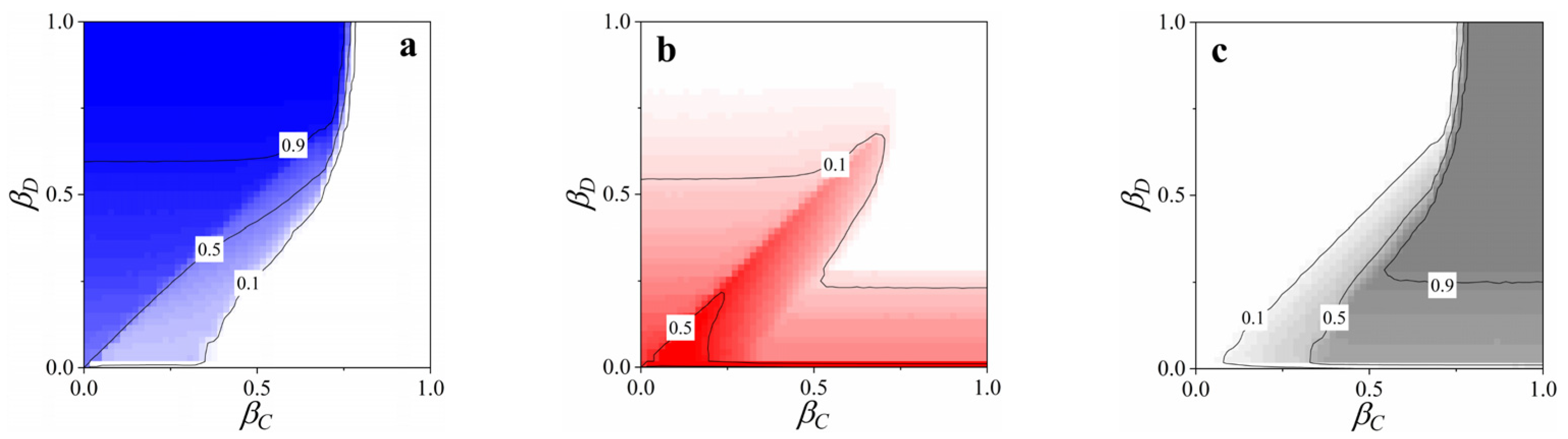
When the difference in weight between C and D is considered, the fractions of strategies vary nonlinearly with ω C and ω D (Figure 4). In general, when r = 3.5 , a low ω C value and high ω D value can significantly promote the level of cooperation (Figure 4a). If participants decrease the weight of a single game, i.e., ω C < 0.2 , ω D < 0.5 , the fraction of defectors ( f D ) increases above 0.1 (Figure 4b). In addition, strategy L prevails ( f L > 0.5 ) as ω C increases and ω D decreases (Figure 4c). Note that the variation rules basically hold for different values of r (see Figure A1). So far, we can conclude that the way participants assign their weight in a single game leads to very different evolutionary outcomes.
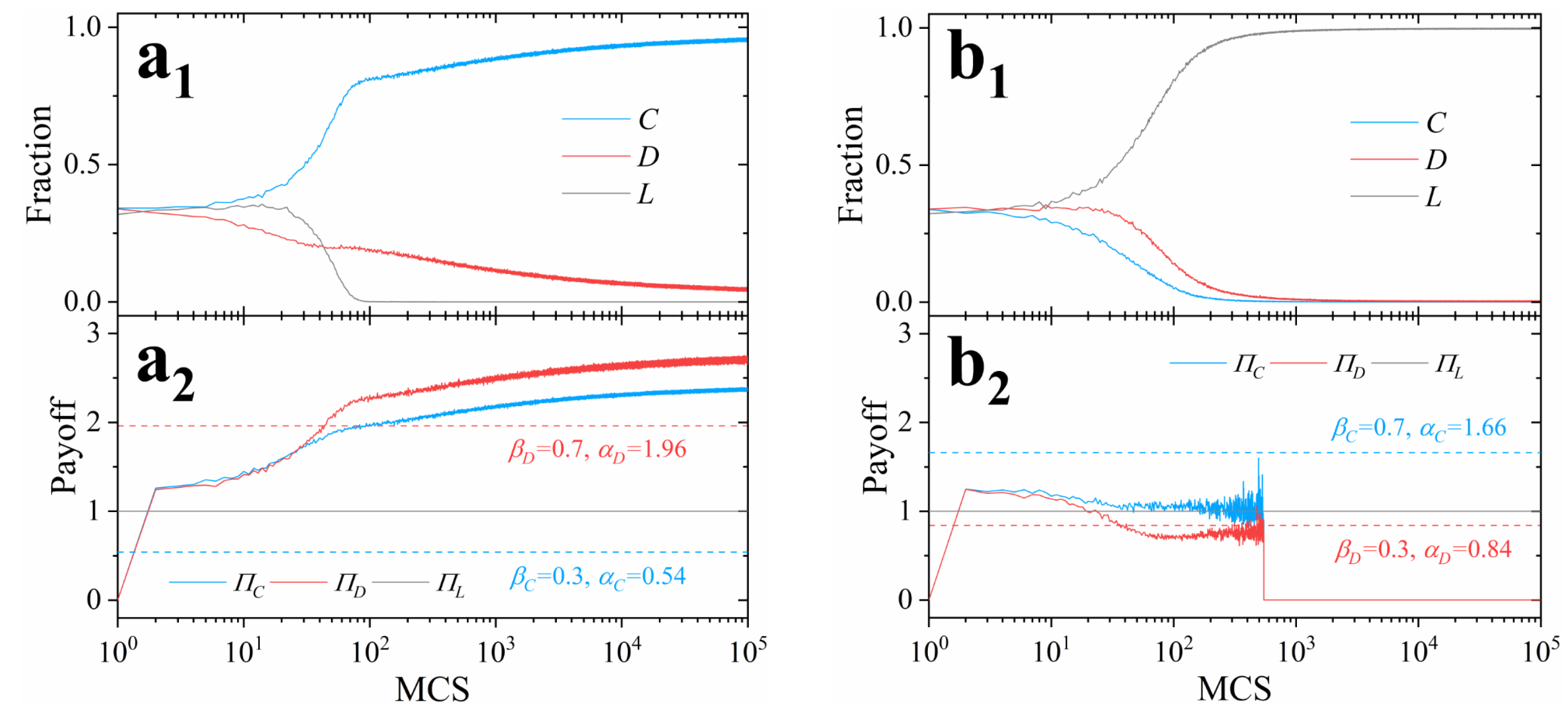
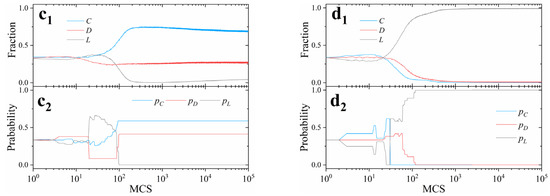
The specific evolutionary processes of the fraction for each strategy under four different conditions are depicted in Figure 5a1–d1. In addition, Figure 5a2–d2 show the corresponding evolutionary processes of a typical individual’s mixed strategy. We can see in Figure 5a1,a2 that when cooperators and defectors assign the same weight to a single game, the evolutionary process presents as more fluctuant with a low ω value. Otherwise, the system tends to stabilize more quickly and free riding (strategy D) is restrained. On the other hand, the cooperation level can be significantly enhanced with a low ω C value and high ω D value (Figure 5c1). Furthermore, most individuals choose to quit the PGG if the ω D is increased to be larger than ω C (Figure 5d1). The results discussed above are in accordance with those in Figure 4. The evolutions of different strategies are determined by an average of the individuals’ decisions in each MCS. However, the evolution of an individual’s mixed strategy depends on its strategy and the environment (neighbors’ strategies). This process cannot directly reflect the evolution of the cooperation level in the population (Figure 5a2–d2). As defined above, ω represents the importance that an individual attaches to a single PGG. We can visually figure that the mixed strategy with a larger ω fluctuates more violently. Especially when ω C ω D , the differences in fluctuations between p C and p D appear more obviously (Figure 5c2,d2). Note that once the mixed strategy becomes stable, it is probably fixed in the subsequent process, except for some perturbations (Figure 5a2). Furthermore, we can infer that when most individuals’ strategies are relatively fixed, the system would achieve a stable status. Moreover, the time for stability depends on the values of ω C and ω D . In other words, an increase in ω accelerates the updating of individuals’ strategies.
Since the assignments of each strategy are indifferent ( p L = p C = p D = 1 / 3 ) among individuals at the beginning, there is no deviation in the population (standard deviation = 0). According to Figure 5a1, the system has not reached a stable state, as M C S = 100 (Figure 6a–c), so the differentiation of strategies among individuals is not sufficient. Subsequently, we can visually see in Figure 6d–f that a majority of individuals turn their mixed strategies into pure strategies ( p C = 1 or p D = 1 or p L = 1 ) when M C S = 100,000 , as depicted in Figure 5a2,b2,d2. Such a transition between the two different periods can be analysed by the averages and standard deviations of strategies in the population (Figure 6g). The standard deviations of strategies become so large in the stable state that most individuals’ mixed strategies generally deviate from the average values. In addition, Figure 5a2–d2 show that the update of strategy depends on the previous state, which is a continuous evolutionary process. By comparing Figure 5a1 to Figure 6g, the fraction of strategies ( f C , f D , f L ) and the average probability of individuals’ mixed strategies ( p ¯ C , p ¯ D , p ¯ L ) in the population are highly-correlated. Statistically, the fraction of each strategy can be expressed as
f S x = 1 M 2 i M 2 p S x i = p ¯ S x , S x { C , D , L } .
The stability of system depends on individual mixed strategy from the microscopic level which is different from the dynamic stability in imitation processes [24,25]. Moreover, all types of strategies are distributed evenly in the population, and no cluster is formed.
In the traditional model of voluntary PGG [11,12,13], since π x and σ are the only two pieces of payoff information for player x, σ is naturally considered as the aspiration level in evolutionary games, namely α = σ . On the other hand, from the perspective of cognitive psychology, an individual may not regard σ as its reference point due to some psychological factors. For instance, if player x strongly believes he would benefit more in the next round by holding his current strategy, then the utility value of a loner’s payoff is relatively lower than σ (i.e., α x < σ ). Further, we can derive from Equations (6)–(8) that α C = α D β C β D + 0.11 β C > β D .
This indicates that if cooperators and defectors set σ as a common aspiration level, the former can be considered to be more greedy than the latter due to the asymmetric range of payoffs (Equation (6)). On the contrary, we can obtain the following inference: β C = β D α C < α D .
This means that the reference point for a cooperator is lower than that of a defector with the same greediness. Thus, the cooperation level can be promoted in various degrees (Figure 7a). Compared to the two-strategy PGG [40], the effect of greediness (or reference point) on the fraction of strategies appears to be more irregular (Figure 7a–c). To facilitate the analysis, we discuss the following four limiting cases: (a) Contented cooperators and greedy defectors ( β C 0 , β D 1 ) significantly enhance cooperation; (b) Greedy cooperators and contented defectors ( β C 1 , β D 0 ) hinder cooperation, resulting in more escapes; (c) The level of cooperation is determined by the relative magnitude between β C and β D as β C , β D 0 . In addition, in this case, individuals are easily satisfied with their payoffs and seldom drop off the game ( f L 0 ). (d) When all the participants are greedy ( β C , β D 1 ), they would rather quit the game as loners due to low returns. Thus, we can figure out how the voluntary mechanism effectively inhibits free-riding behavior with different types of participants. Note that the conclusions discussed above also apply to other values of r (see Figure A2).
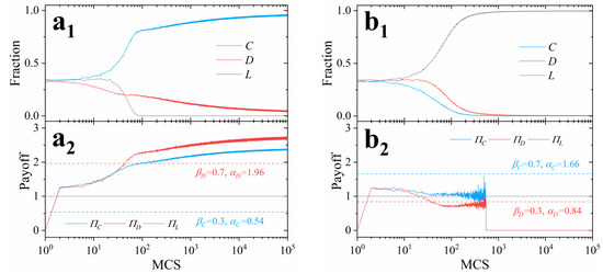
As shown in Figure 8a1, the fraction of cooperators quickly rises up to a high level ( f C > 0.75 ) within 100 MCSs. With the foregoing discussions, this indicates that most individuals have increased the probability of cooperation in their mixed strategies. However, the fact is that the average payoffs for cooperators are objectively lower than those for defectors most of the time (Figure 8a2). It depends on the relative greediness between cooperators and defectors. For instance, easily satisfied cooperators subjectively believe they receive higher returns than greedy defectors as β C < β D (Figure 8a2). On the contrary, greedy cooperators would drop out of the game as loners as β C > β D (Figure 8b2). This leads to a sustained reduction in the number of cooperators and eventually results in non-participants in the system (Figure 8b1).
Further, we can see in Figure 8a1 that the growth of the cooperation level gradually slows down after 100 MCSs and the system tends to stabilize even though the difference in relative payoffs ( Π α ) between C and D still exists. On the other hand, we know from Equation (5) that the update of an individual’s mixed strategy depends on its own payoff and the environment (neighbors’ strategies). According to Figure 5b2, an individual’s mixed strategy may maintain stability for a period before the system stabilizes because the environment has not been stable. Hence, the stability of the system lies on the stability at the micro level. In other words, the stability of an individual’s mixed strategy needs specific additional conditions (Table 1):
  • When player x quits as a loner, he returns to the game according to the probability distribution of his mixed strategy. Once the probability of L reaches 100% ( p L = 1 ), this indicates that player x has experienced more losses than gains in previous games. Hence, he becomes a loner adopting pure strategy L and will no longer participate in the next games without additional conditions.
  • As shown in Figure 5a2, when an individual’s mixed strategy turns to pure strategy C ( p C = 1 ), the evolutionary process is usually unstable unless its payoff is always higher than the reference point ( π C > α C ).
  • The same situation applies to the individuals who adopt a pure strategy D ( p D = 1 ). The additional condition is π D > α D .
  • Figure 5c2 demonstrates that an individual may adopt a mixed strategy ( p C , p D ) at the stable state of the system as long as both strategies can make gains ( π C > α C , π D > α D ). In this situation, the voluntary mechanism doesn’t work, similar to the two-strategy PGG [40].
  • In the same way, an individual can theoretically adopt a mixed strategy ( p C , p D , p L ) at the stable state. However, in terms of probability, this situation rarely occurs in the evolution process.
To summarize, the probability distribution of an individual’s mixed strategy and the additional (environmental) conditions can be respectively considered as the en-dogenous and exogenous factors that affect the decision-making process. Moreover, it is the interaction between endogenous and exogenous factors that determines the evo-lutionary direction of collective behavior.

4. Conclusions

In traditional PGG, the voluntary mechanism provides an additional option for individuals dropping out of the game to avoid losses from “free riding”. Furthermore, under full anonymity, participants only know the payoffs for themselves and loners. However, the difference in the range of benefits ( [ P m i n , P m a x ] ) between C and D is usually neglected as public information to all the individuals. In addition, many empirical studies have demonstrated that human decision-making under uncertain conditions systematically deviates from expected utility theory, known as the concept of “bounded rationality”. Based on these considerations, we reconstructed the microscopic dynamic in a voluntary PGG by combining Prospect Theory with evolutionary game theory. Asynchronous updating Monte Carlo simulations were carried out on a square lattice to explore the effects of bounded rationality on human cooperation. Compared to the asymmetric micro-dynamics of two-strategy PGG [40], we introduced a new variable ω (the individual weight of a single game) to convert the utility value judgement into probabilistic decision which is commonly used in evolutionary games.
The results showed that the evolution of cooperation is nonlinearly affected by the relationship between ω C and ω D . In general, cooperation can be significantly promoted as ω C < ω D 1 . In addition, the influence of greediness, β C and β D , on the results of evolution appears to be more complicated. Due to the voluntary mechanism, the “free riding” behaviors (defection) are effectively suppressed in most situations. Moreover, the cooperation level can be obviously enhanced in a population comprising easily satisfied cooperators and greedy defectors ( β C < β D ), unless cooperators are greedy enough ( β C 1 ). Furthermore, we have explored the strategy evolutions of typical individuals and statistically analyzed the regularity of strategy distribution, demonstrating that a majority of individuals turn their decisions from a mixed strategy into a pure strategy. Subsequently, the overall environment stabilizes the rest of the individuals’ mixed strategies, resulting in the equilibrium of the system.
Similar to the aspiration to update the rules in previous works, the dynamics we constructed in this paper also focused on the model of microscopic behaviors, except the empirical findings in cognitive psychology have been well taken into our account. The new asymmetric micro-dynamic, as an intrinsic attribute of individuals, is unrelated to the structure of the population. It can be used to study the evolution of cooperation with voluntary participation in different types of networks in the future. According to our results, the emergence of cooperation or altruistic behavior can be explained from the microscopic level that an individual with lower expectations or underestimation of a single game is more likely to cooperate.

Author Contributions

Conceptualization, L.Y. and L.Z.; methodology, L.Y. and L.Z.; software, L.Y.; validation, all authors.; formal analysis, L.Y. and L.Z.; investigation, all authors; writing–original draft preparation, L.Y.; writing–review and editing, all authors; funding acquisition, L.Y., D.Y. and L.Z. All authors have read and agreed to the published version of the manuscript.

Funding

This research was supported by the National Natural Science Foundation of China (NSFC), Grant No. 41874113; Tianjin Natural Science Foundation, Grant No. 20JCYBJC01020; and the Specialized Fund for the Doctoral Research of Jilin Engineering Normal University, Grant No. BSKJ202006.

Data Availability Statement

Not applicable.

Conflicts of Interest

The authors declare no conflict of interest.

Appendix A

Figure A1. Fractions of cooperators (blue), defectors (red), and loners (gray) as functions of cooperators’ and defectors’ weights ( ω C and ω D ) in a single game for (ac) r = 2.5 and (df) r = 4.5 . The other parameters are the same as in Figure 4.
Figure A1. Fractions of cooperators (blue), defectors (red), and loners (gray) as functions of cooperators’ and defectors’ weights ( ω C and ω D ) in a single game for (ac) r = 2.5 and (df) r = 4.5 . The other parameters are the same as in Figure 4.
Mathematics 10 01550 g0a1
Figure A2. Fractions of cooperators (blue), defectors (red), and loners (gray) as functions of cooperators’ and defectors’ greediness ( β C and β D ) for (ac) r = 2.5 and (df) r = 4.5 . The other parameters are the same as in Figure 7.
Figure A2. Fractions of cooperators (blue), defectors (red), and loners (gray) as functions of cooperators’ and defectors’ greediness ( β C and β D ) for (ac) r = 2.5 and (df) r = 4.5 . The other parameters are the same as in Figure 7.
Mathematics 10 01550 g0a2aMathematics 10 01550 g0a2b

References

  1. Santos, F.C.; Pacheco, J.M. Scale-free networks provide a unifying framework for the emergence of cooperation. Phys. Rev. Lett. 2005, 95, 098104. [Google Scholar] [CrossRef] [PubMed]
  2. Ohtsuki, H.; Hauert, C.; Lieberman, E.; Nowak, M.A. A simple rule for the evolution of cooperation on graphs and social networks. Nature 2006, 441, 502–505. [Google Scholar] [CrossRef] [PubMed]
  3. Rand, D.G.; Nowak, M.A. Human Cooperation. Trends Cogn. Sci. 2013, 17, 413–425. [Google Scholar] [CrossRef] [PubMed]
  4. Perc, M.; Jordan, J.J.; Rand, D.G.; Wang, Z.; Boccaletti, S.; Szolnoki, A. Statistical physics of human cooperation. Phys. Rep. 2017, 687, 1–51. [Google Scholar] [CrossRef]
  5. Fehr, E.; Schurtenberger, I. Normative foundations of human cooperation. Nat. Hum. Behav. 2018, 2, 458–468. [Google Scholar] [CrossRef] [PubMed]
  6. Hardin, G. The tragedy of the commons. Science 1968, 162, 1243–1248. [Google Scholar] [CrossRef]
  7. Olson, M. The Logic of Collective Action; Harvard University Press: Cambridge, MA, USA, 1965. [Google Scholar]
  8. Smith, J.M. Evolution and the Theory of Games; Cambridge University Press: Cambridge, MA, USA, 1982. [Google Scholar]
  9. Fehr, E.; Gächter, S. Altruistic punishment in humans. Nature 2002, 415, 137–140. [Google Scholar] [CrossRef]
  10. Milinski, M.; Semmann, D.; Krambeck, H.-J. Reputation helps solve the “tragedy of the commons”. Nature 2002, 415, 424–426. [Google Scholar] [CrossRef]
  11. Hauert, C.; De Monte, S.; Hofbauer, J.; Sigmund, K. Volunteering as red queen mechanism for cooperation in public goods games. Science 2002, 296, 1129–1132. [Google Scholar] [CrossRef]
  12. Szabó, G.; Hauert, C. Evolutionary prisoner’s dilemma games with voluntary participation. Phys. Rev. E 2002, 66, 062903. [Google Scholar] [CrossRef]
  13. Semmann, D.; Krambeck, H.J.; Milinski, M. Volunteering leads to rock-paper-scissors dynamics in a public goods game. Nature 2003, 425, 390. [Google Scholar] [CrossRef] [PubMed]
  14. Du, J.; Wu, B.; Wang, L. Aspiration dynamics and the sustainability of resources in the public goods dilemma. Phys. Lett. A 2016, 380, 1432–1436. [Google Scholar] [CrossRef]
  15. Du, J. Redistribution promotes cooperation in spatial public goods games under aspiration dynamics. Appl. Math. Comput. 2019, 363, 124629. [Google Scholar] [CrossRef]
  16. Quan, J.; Zhou, Y.; Wang, X.; Yang, J. Evidential reasoning based on imitation and aspiration information in strategy learning promotes cooperation in optional spatial public goods game. Chaos Solitons Fractals 2020, 133, 109634. [Google Scholar] [CrossRef]
  17. Platkowski, T. Enhanced cooperation in prisoner’s dilemma with aspiration. Appl. Math. Lett. 2009, 22, 1161–1165. [Google Scholar] [CrossRef][Green Version]
  18. Perc, M.; Wang, Z. Heterogeneous aspirations promote cooperation in the prisoner’s dilemma game. PLoS ONE 2010, 5, e15117. [Google Scholar] [CrossRef]
  19. Lim, I.S.; Wittek, P. Satisfied-defect, unsatisfied-cooperate: An evolutionary dynamics of cooperation led by aspiration. Phys. Rev. E 2018, 98, 0362113. [Google Scholar] [CrossRef]
  20. Liu, C.; Shi, J.; Li, T.; Liu, J. Aspiration driven coevolution resolves social dilemmas in networks. Appl. Math. Comput. 2019, 342, 247–254. [Google Scholar] [CrossRef]
  21. Arefin, M.R.; Tanimoto, J. Evolution of cooperation in social dilemmas under the coexistence of aspiration and imitation mechanisms. Phys. Rev. E 2020, 102, 032120. [Google Scholar] [CrossRef]
  22. Xu, Z.; Wang, Z.; Song, H.; Zhang, L. Self-adjusting rule in spatial voluntary public goods games. EPL 2010, 90, 20001. [Google Scholar] [CrossRef]
  23. Yang, L.; Xu, Z.; Zhang, L.; Yang, D. Strategy intervention in spatial voluntary public goods games. EPL 2018, 122, 10003. [Google Scholar] [CrossRef]
  24. Szabó, G.; TőKe, C. Evolutionary prisoner’s dilemma game on a square lattice. Phys. Rev. E 1998, 58, 69–73. [Google Scholar] [CrossRef]
  25. Traulsen, A.; Pacheco, J.M.; Nowak, M.A. Pairwise comparison and selection temperature in evolutionary game dynamics. J. Theor. Biol. 2007, 246, 522–529. [Google Scholar] [CrossRef] [PubMed]
  26. Allais, M. Le Comportement de l’Homme Rationnel devant le Risque: Critique des Postulats et Axiomes de l’Ecole Americaine. Econometrica 1953, 21, 503–546. [Google Scholar] [CrossRef]
  27. Simon, H.A. Bounded rationality and organizational learning. Organ. Sci. 1991, 2, 125–134. [Google Scholar] [CrossRef]
  28. Selten, R. Features of experimentally observed bounded rationality. Eur. Econ. Rev. 1998, 42, 413–436. [Google Scholar] [CrossRef]
  29. Schlag, K.H. Why imitate, and if so, how?: A boundedly rational approach to multi-armed bandits. J. Econ. Theory 1998, 78, 130–156. [Google Scholar] [CrossRef]
  30. Agiza, H.N.; Hegazi, A.S.; Elsadany, A.A. Complex dynamics and synchronization of a duopoly game with bounded rationality. Math. Comput. Simul. 2002, 58, 133–146. [Google Scholar] [CrossRef]
  31. Simon, H. Models of Bounded Rationality; MIT Press: Cambridge, MA, USA, 1982. [Google Scholar]
  32. Tversky, A. Elimination by aspects: A theory of choice. Psychol. Rev. 1972, 79, 281–299. [Google Scholar] [CrossRef]
  33. Kahneman, D.; Knetsch, J.L.; Thaler, R.H. Experimental tests of the endowment effect and the coase theorem. J. Political Econ. 1990, 98, 1325–1348. [Google Scholar] [CrossRef]
  34. Tversky, A.; Kahneman, D. The framing of decisions and the psychology of choice. Science 1981, 211, 453–458. [Google Scholar] [CrossRef] [PubMed]
  35. Tversky, A.; Kahneman, D. Judgment under uncertainty: Heuristics and biases. Science 1974, 185, 1124–1131. [Google Scholar] [CrossRef] [PubMed]
  36. Kahneman, D.; Tversky, A. Prospect theory: An analysis of decision under risk. Econometrica 1979, 47, 263–292. [Google Scholar] [CrossRef]
  37. Kahneman, D.; Tversky, A. Advances in prospect theory: Cumulative representation of uncertainty. J. Risk Uncertain. 1992, 5, 297–323. [Google Scholar]
  38. Ruggeri, K.; Alí, S.; Berge, M.L.; Bertoldo, G.; Bjørndal, L.D.; Cortijos-Bernabeu, A.; Davison, C.; Demić, E.; Esteban-Serna, C.; Friedemann, M.; et al. Replicating patterns of prospect theory for decision under risk. Nat. Hum. Behav. 2020, 4, 622–633. [Google Scholar] [CrossRef] [PubMed]
  39. Tversky, A.; Kahneman, D. Loss aversion in riskless choice: A reference-dependent model. Q. J. Econ. 1991, 106, 1039–1061. [Google Scholar] [CrossRef]
  40. Yang, L.; Zhang, L.; Yang, D. Asymmetric micro-dynamics in spatial anonymous public goods game. Appl. Math. Comput. 2022, 415, 126737. [Google Scholar] [CrossRef]
Figure 1. Schematic diagram of asymmetric micro−dynamics in an anonymous voluntary public goods game, where (a) ω C = ω D , α C = α D ; (b) ω C ω D , α C = α D ; and (c) ω C = ω D , α C α D .
Figure 1. Schematic diagram of asymmetric micro−dynamics in an anonymous voluntary public goods game, where (a) ω C = ω D , α C = α D ; (b) ω C ω D , α C = α D ; and (c) ω C = ω D , α C α D .
Mathematics 10 01550 g001
Figure 2. Schematic diagram of the asynchronous updating process.
Figure 2. Schematic diagram of the asynchronous updating process.
Mathematics 10 01550 g002
Figure 3. Cooperation level of the population (a) and the corresponding average payoff for strategies (b) as a function of r. The parameters are ω = 0.02 , α = 1 , γ + = γ = 0.5 , λ = 2 , M = 100 .
Figure 3. Cooperation level of the population (a) and the corresponding average payoff for strategies (b) as a function of r. The parameters are ω = 0.02 , α = 1 , γ + = γ = 0.5 , λ = 2 , M = 100 .
Mathematics 10 01550 g003
Figure 4. Fractions of (a) cooperators (blue), (b) defectors (red), and (c) loners (gray) as functions of cooperators’ and defectors’ weights ( ω C and ω D ) in a single game. The other parameters are r = 3.5 , α = 1 , γ + = γ = 0.5 , λ = 2 , M = 100 .
Figure 4. Fractions of (a) cooperators (blue), (b) defectors (red), and (c) loners (gray) as functions of cooperators’ and defectors’ weights ( ω C and ω D ) in a single game. The other parameters are r = 3.5 , α = 1 , γ + = γ = 0.5 , λ = 2 , M = 100 .
Mathematics 10 01550 g004
Figure 5. Evolutionary processes of the fraction for each strategy, as (a1) ω C = ω D = 0.02 ; (b1) ω C = ω D = 0.2 ; (c1) ω C = 0.02 , ω D = 0.2 ; (d1) ω C = 0.2 , ω D = 0.02 and the corresponding evolutionary processes of a typical individual’s mixed strategy (a2d2). The other parameters are r = 3.5 , α = 1 , γ + = γ = 0.5 , λ = 2 , and M = 100 .
Figure 5. Evolutionary processes of the fraction for each strategy, as (a1) ω C = ω D = 0.02 ; (b1) ω C = ω D = 0.2 ; (c1) ω C = 0.02 , ω D = 0.2 ; (d1) ω C = 0.2 , ω D = 0.02 and the corresponding evolutionary processes of a typical individual’s mixed strategy (a2d2). The other parameters are r = 3.5 , α = 1 , γ + = γ = 0.5 , λ = 2 , and M = 100 .
Mathematics 10 01550 g005aMathematics 10 01550 g005b
Figure 6. Distributions of p C , p D and p L in the population, as (ac) M C S = 100 and (df) M C S = 100,000 for ω C = ω D = 0.02 . The probabilities of C, D, and L in mixed strategy are shown in various degrees of blue, red, and black, respectively. (g) Statistical data of the mixed strategies of the population in different evolutionary periods. The other parameters are r = 3.5 , α = 1 , γ + = γ = 0.5 , λ = 2 , and M = 100 .
Figure 6. Distributions of p C , p D and p L in the population, as (ac) M C S = 100 and (df) M C S = 100,000 for ω C = ω D = 0.02 . The probabilities of C, D, and L in mixed strategy are shown in various degrees of blue, red, and black, respectively. (g) Statistical data of the mixed strategies of the population in different evolutionary periods. The other parameters are r = 3.5 , α = 1 , γ + = γ = 0.5 , λ = 2 , and M = 100 .
Mathematics 10 01550 g006
Figure 7. Fraction of (a) cooperators (blue), (b) defectors (red), and (c) loners (gray) as a function of cooperators’ and defectors’ greediness ( β C and β D ). The other parameters are r = 3.5 , ω C = ω D = 0.02 , γ + = γ = 0.5 , λ = 2 , and M = 100 .
Figure 7. Fraction of (a) cooperators (blue), (b) defectors (red), and (c) loners (gray) as a function of cooperators’ and defectors’ greediness ( β C and β D ). The other parameters are r = 3.5 , ω C = ω D = 0.02 , γ + = γ = 0.5 , λ = 2 , and M = 100 .
Mathematics 10 01550 g007
Figure 8. Evolutionary processes of strategies ( f C , f D , f L ) and the corresponding average payoffs ( Π C , Π D , Π L ) for (a1,a2) β C = 0.3 , β D = 0.7 and (b1,b2) β C = 0.7 , β D = 0.3 . The other parameters are the same as in Figure 7.
Figure 8. Evolutionary processes of strategies ( f C , f D , f L ) and the corresponding average payoffs ( Π C , Π D , Π L ) for (a1,a2) β C = 0.3 , β D = 0.7 and (b1,b2) β C = 0.7 , β D = 0.3 . The other parameters are the same as in Figure 7.
Mathematics 10 01550 g008
Table 1. Essential conditions for an individual’s stable strategy.
Table 1. Essential conditions for an individual’s stable strategy.
No.Strategy TypeProbability Distribution
(Endogenous Factors)
Additional Conditions
(Exogenous Factors)
1Mathematics 10 01550 i001 Pure L p C = p D = 0 ,   p L = 1 /
2Mathematics 10 01550 i002 Pure C p D = p L = 0 ,   p C = 1 π C > α C
3Mathematics 10 01550 i003 Pure D p C = p L = 0 ,   p D = 1 π D > α D
4Mathematics 10 01550 i004 Mixed (C, D) p L = 0 ,   p C , p D ( 0 , 1 ] π C > α C ,   π D > α D
5Mathematics 10 01550 i005 Mixed (C, D, L) p C , p D , p L [ 0 , 1 ] π C = α C ,   π D = α D
Publisher’s Note: MDPI stays neutral with regard to jurisdictional claims in published maps and institutional affiliations.

Share and Cite

MDPI and ACS Style

Yang, L.; Yang, D.; Zhang, L. The Effect of Bounded Rationality on Human Cooperation with Voluntary Participation. Mathematics 2022, 10, 1550. https://doi.org/10.3390/math10091550

AMA Style

Yang L, Yang D, Zhang L. The Effect of Bounded Rationality on Human Cooperation with Voluntary Participation. Mathematics. 2022; 10(9):1550. https://doi.org/10.3390/math10091550

Chicago/Turabian Style

Yang, Luhe, Duoxing Yang, and Lianzhong Zhang. 2022. "The Effect of Bounded Rationality on Human Cooperation with Voluntary Participation" Mathematics 10, no. 9: 1550. https://doi.org/10.3390/math10091550

APA Style

Yang, L., Yang, D., & Zhang, L. (2022). The Effect of Bounded Rationality on Human Cooperation with Voluntary Participation. Mathematics, 10(9), 1550. https://doi.org/10.3390/math10091550

Note that from the first issue of 2016, this journal uses article numbers instead of page numbers. See further details here.

Article Metrics

Back to TopTop