Static and Dynamic Stability of Carbon Fiber Reinforced Polymer Cylindrical Shell Subject to Non-Normal Boundary Condition with One Generatrix Clamped
Abstract
:1. Introduction
2. Equations of Motion
3. Static Bifurcation and Stability
4. Dynamic Stability Analysis
5. Conclusions
- (1)
- Bifurcation phenomena might occur when the static in-plane load is greater than the critical load.
- (2)
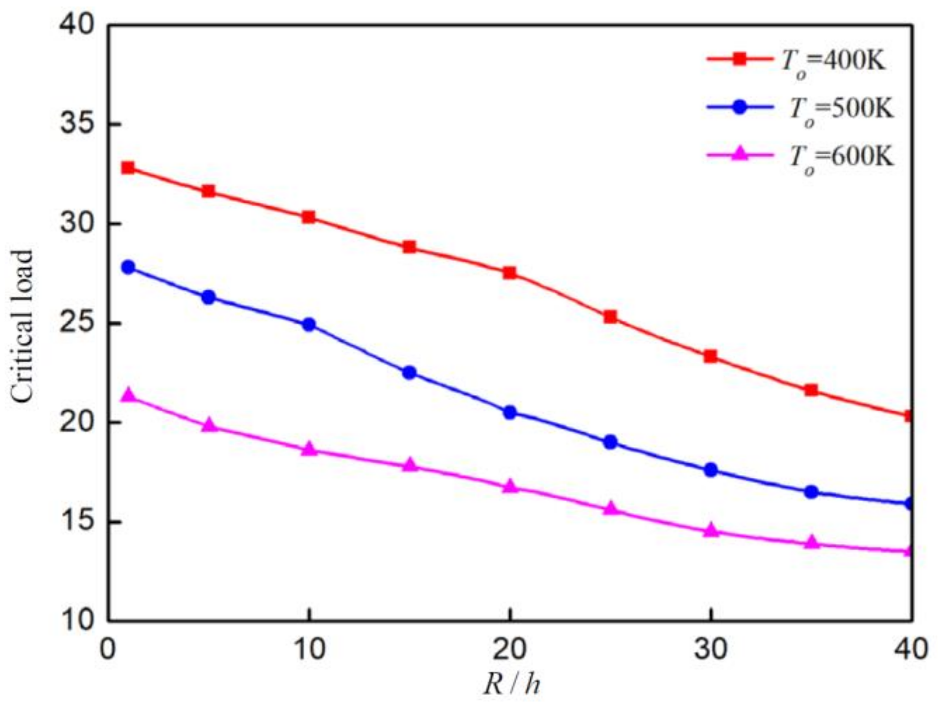
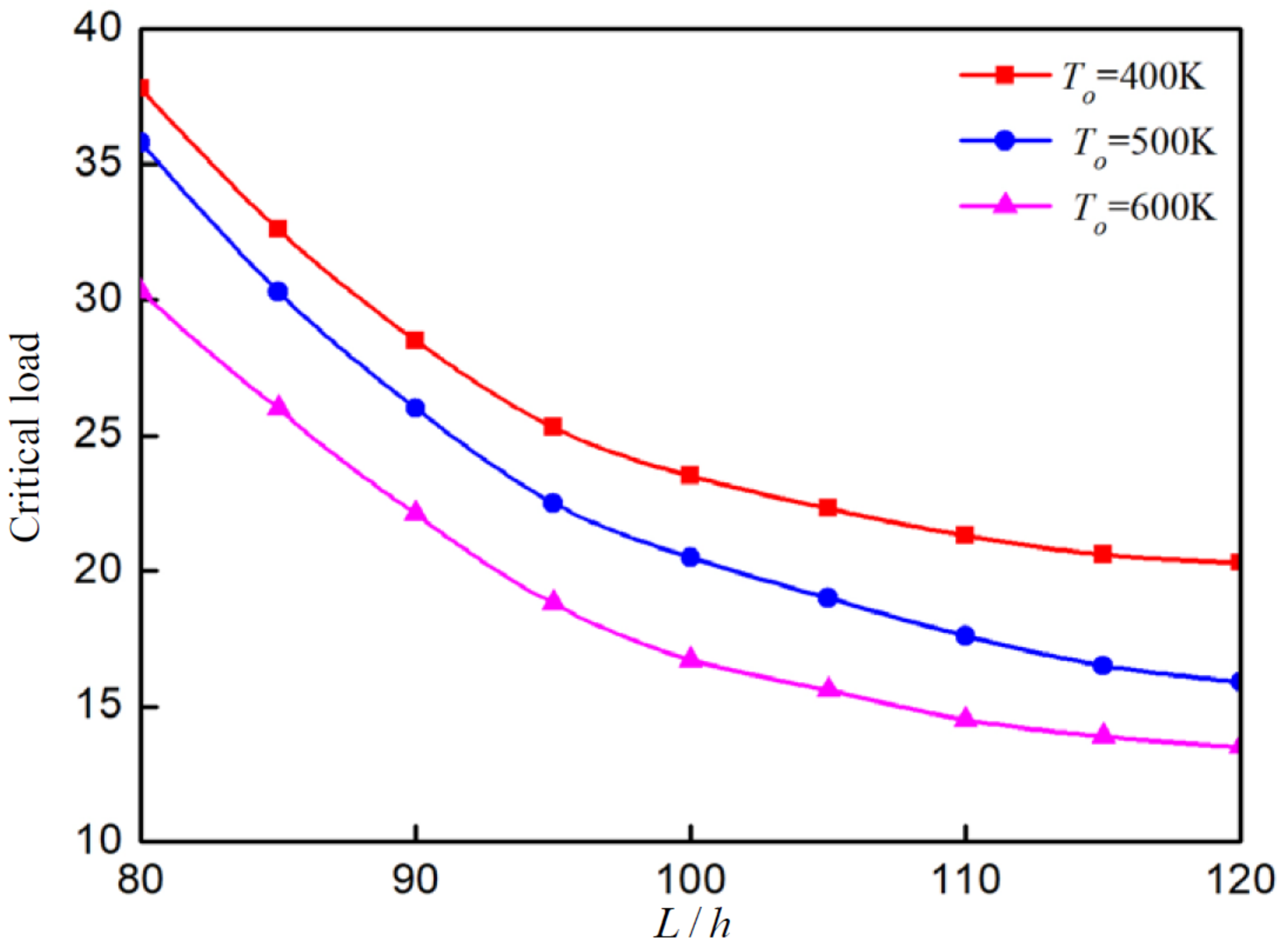
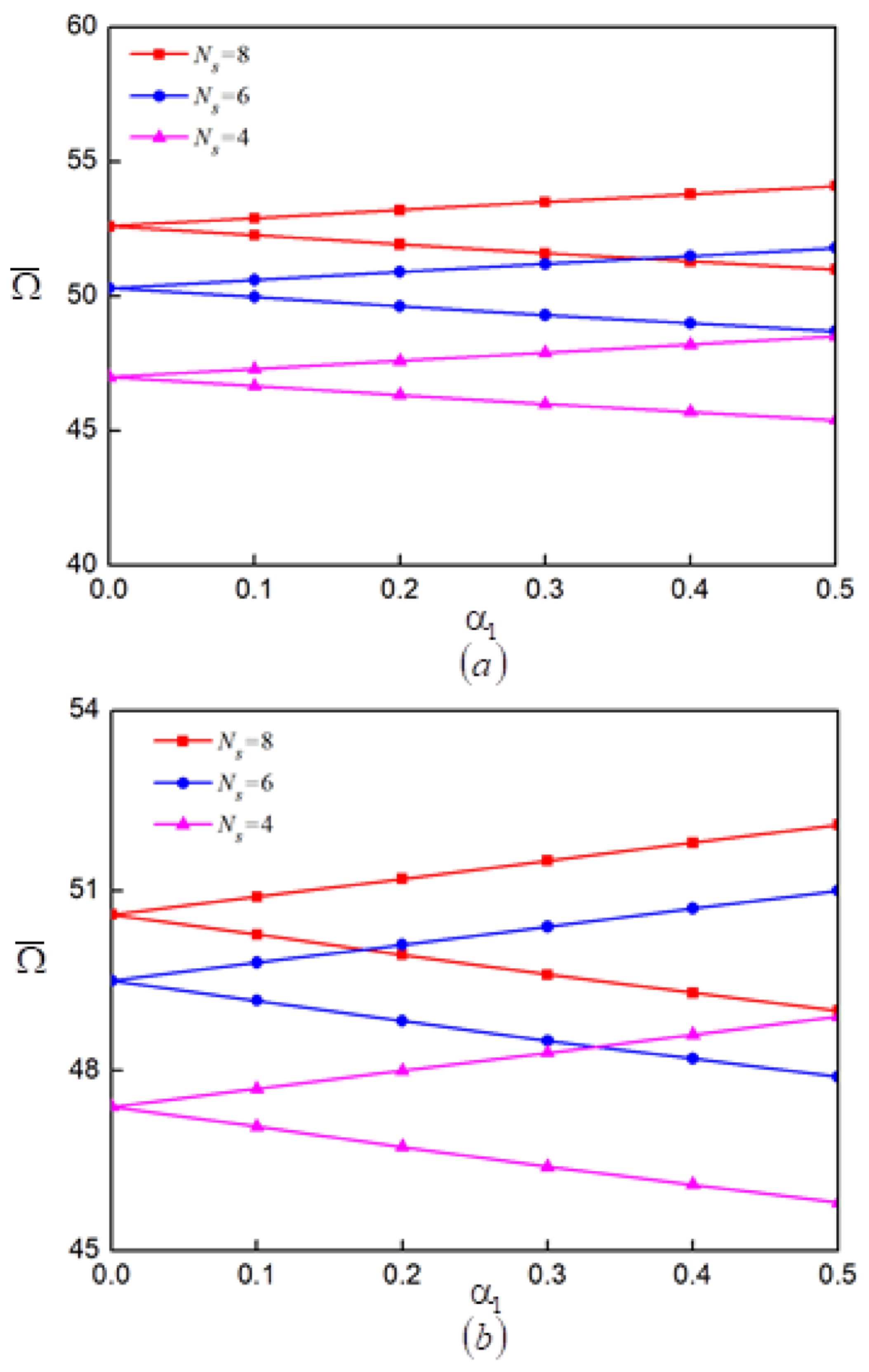
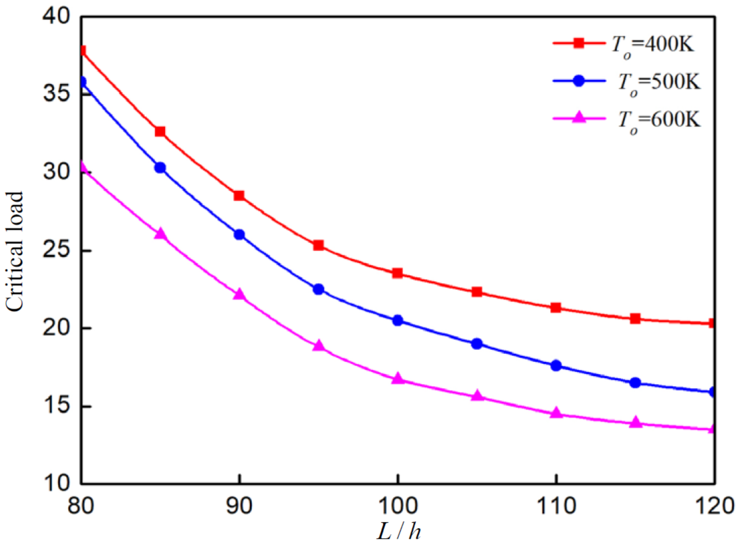
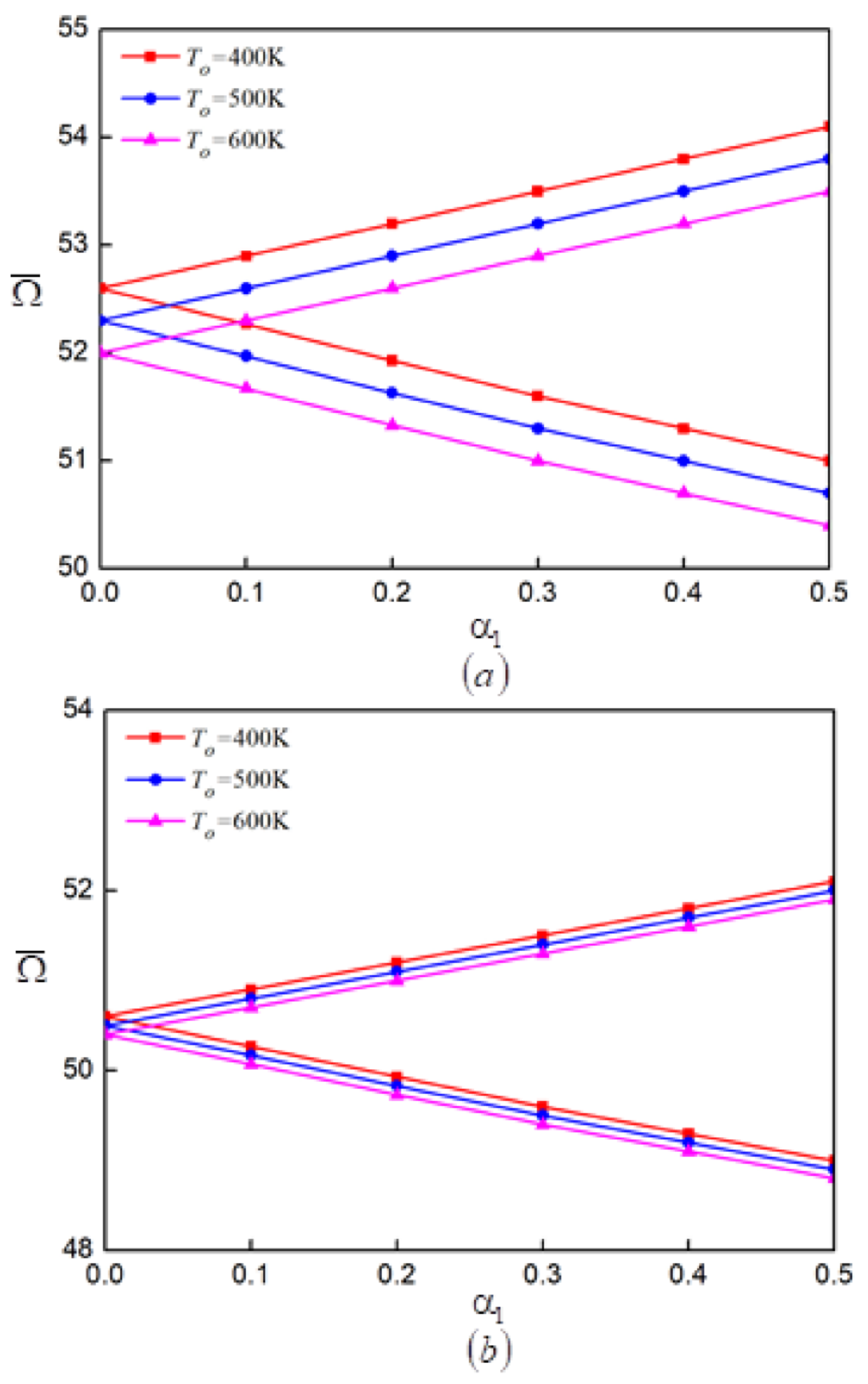
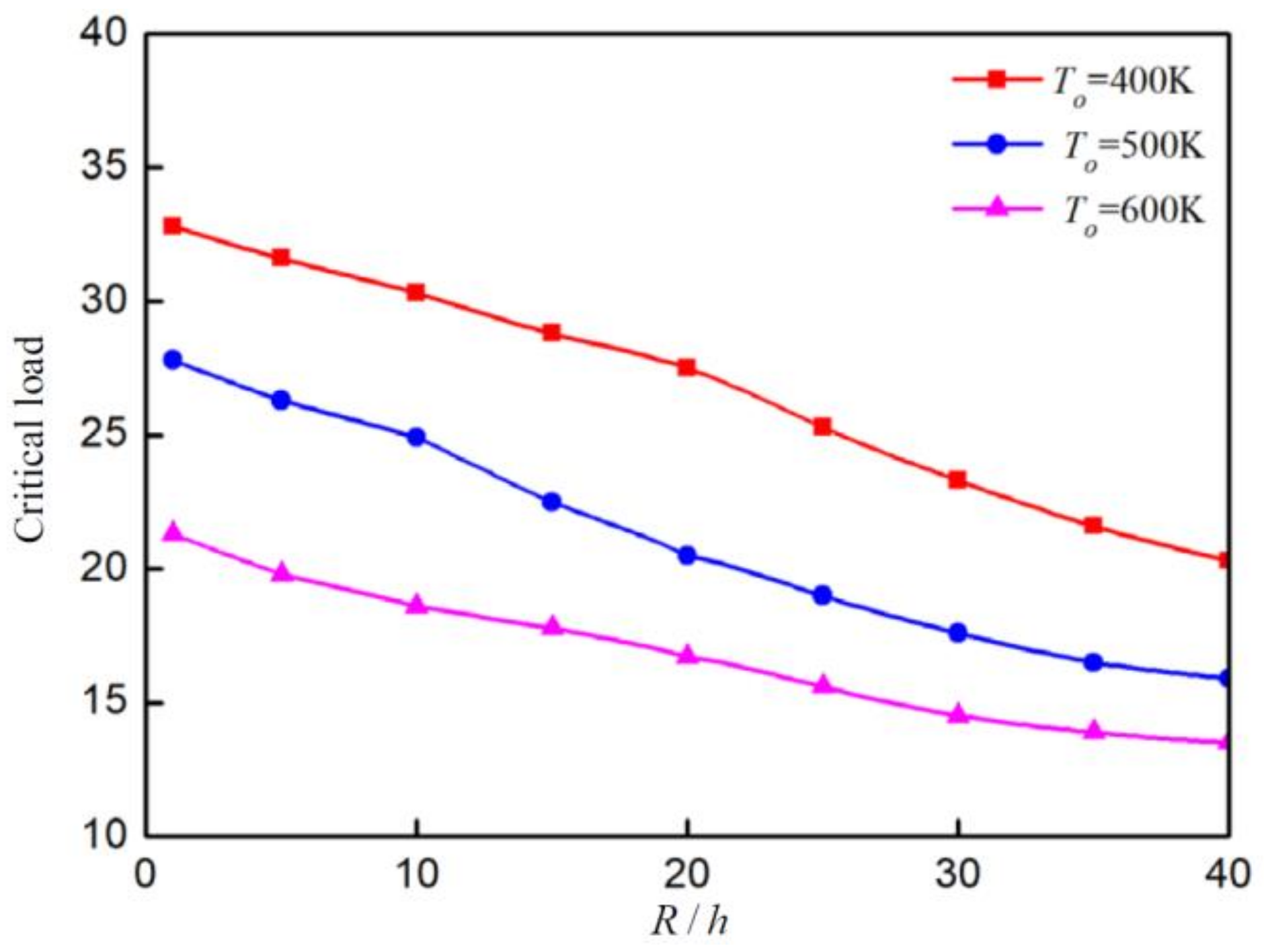
- The ratio of radius to thickness, the ratio of length to thickness, the number of layers and the temperature field have significant effects on static bifurcation characteristics of a CFRP laminated cylindrical shell.
- (3)
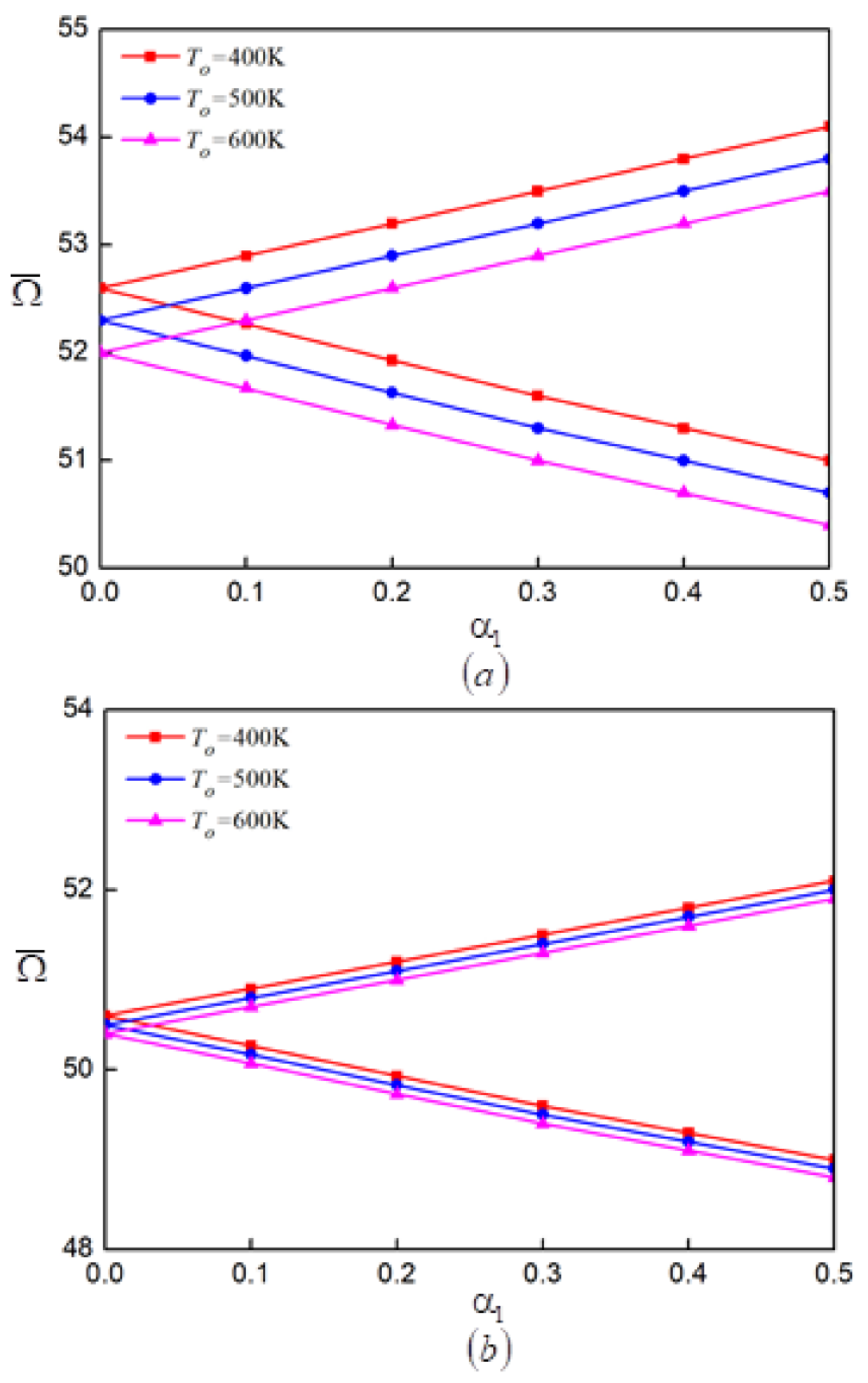
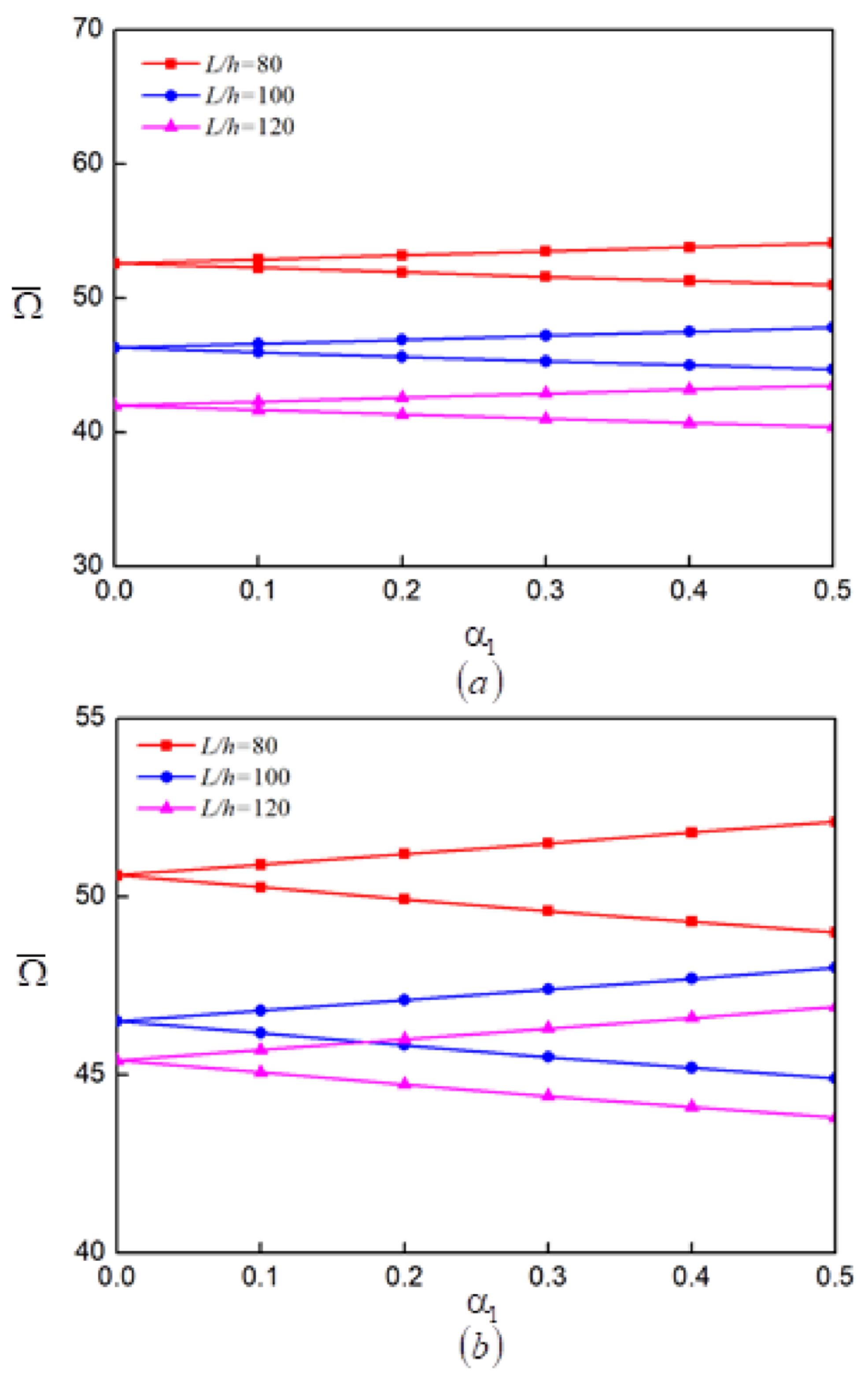
- With an increase of ratio of radius to thickness, the ratio of length to thickness and the temperature field, the unstable regions in both modes are translated to a lower parametric excitation frequency.
- (4)
- When the number of layers decreases, the unstable regions of the system begin at a lower frequency.
Author Contributions
Funding
Institutional Review Board Statement
Informed Consent Statement
Acknowledgments
Conflicts of Interest
Appendix A
References
- Montesano, J.; Bougherara, H.; Fawaz, Z. Application of infrared thermography for the characterization of damage in braided carbon fiber reinforced polymer matrix composites. Compos. Part B Eng. 2014, 60, 137–143. [Google Scholar] [CrossRef]
- Zhu, J.H.; Wei, L.; Wang, Z.; Liang, C.K.; Fang, Y. Application of carbon fiber reinforced polymer anode in electrochemical chloride extraction of steel-reinforced concrete. Constr. Build. Mater. 2016, 120, 275–283. [Google Scholar] [CrossRef]
- Zhu, J.H.; Zhu, M.; Han, N.; Liu, W.; Xing, F. Electrical and Mechanical Performance of Carbon Fiber-Reinforced Polymer Used as the Impressed Current Anode Material. Materials 2014, 7, 5438–5453. [Google Scholar] [CrossRef] [PubMed] [Green Version]
- Asadi, H.; Wang, Q. Dynamic stability analysis of a pressurized FG-CNTRC cylindrical shell interacting with supersonic airflow. Compos. Part B Eng. 2017, 118, 15–25. [Google Scholar] [CrossRef]
- Zhang, W.; Yang, S.W.; Mao, J.J. Nonlinear radial breathing vibrations of CFRP laminated cylindrical shell with non-normal boundary conditions subjected to axial pressure and radial line load at two ends. Compos. Struct. 2018, 190, 52–78. [Google Scholar] [CrossRef]
- Yang, S.W.; Zhang, W.; Mao, J.J. Nonlinear vibrations of carbon fiber reinforced polymer laminated cylindrical shell under non-normal boundary conditions with 1:2 internal resonance. Eur. J. Mech./A Solids 2019, 74, 317–336. [Google Scholar] [CrossRef]
- Kiral, B.G.; Kiral, Z.; Ozturk, H. Stability analysis of delaminated composite beams. Compos. Struct. 2015, 93, 342–350. [Google Scholar]
- Ke, L.L.; Wang, Y.S. Size effect on dynamic stability of functionally graded microbeams based on a modified couple stress theory. Compos. Struct. 2011, 79, 406–418. [Google Scholar] [CrossRef]
- Couto, C.; Maia, E.; Real, P.V.; Lopes, N. The effect of non-uniform bending on the lateral stability of steel beams with slender cross-section at elevated temperatures. Eng. Struct. 2018, 163, 153–166. [Google Scholar] [CrossRef]
- Talebitooti, M. Analytical and finite-element solutions for the buckling of composite sandwich conical shell with clamped ends under external pressure. Arch. Appl. Mech. 2017, 87, 59–73. [Google Scholar] [CrossRef]
- Maali, M.; Showkati, H.; Fatemi, S.M. Investigation of the buckling behavior of conical shells under weld-induced imperfections. Thin-Walled Struct. 2012, 57, 13–24. [Google Scholar] [CrossRef]
- Bich, D.H.; Phuong, N.T.; Tung, H.V. Buckling of functionally graded conical panels under mechanical loads. Compos. Struct. 2012, 94, 1379–1384. [Google Scholar] [CrossRef]
- Gajdzicki, M.; Perlinski, W.; Michalak, B. Stability analysis of bi-directionally corrugated steel plates with orthotropic plate model. Eng. Struct. 2018, 160, 519–534. [Google Scholar] [CrossRef]
- Zeng, H.C.; Huang, C.S.; Leissa, A.W.; Chang, M.J. Vibrations and stability of a loaded side-cracked rectangular plate via the MLS-Ritz method. Thin-Walled Struct. 2016, 106, 459–470. [Google Scholar] [CrossRef]
- Dey, T.; Ramachandra, L.S. Static and dynamic unstable analysis of composite cylindrical shell panels subjected to partial edge loading. Int. J. Non-Linear Mech. 2014, 64, 46–56. [Google Scholar] [CrossRef]
- Han, Q.K.; Qin, Z.Y.; Lu, W.X.; Chu, F.L. Dynamic stability analysis of periodic axial loaded cylindrical shell with time-dependent rotating speeds. Nonlinear Dyn. 2015, 81, 1649–1664. [Google Scholar] [CrossRef]
- Kolanua, N.R.; Rajub, G.; Ramji, M. Experimental and numerical studies on the buckling and post-buckling behavior of single blade-stiffened CFRP panels. Compos. Struct. 2018, 196, 135–154. [Google Scholar] [CrossRef]
- Salvetti, M.; Gilioli, A.; Sbarufatti, C.; Manes, A.; Giglio, M. Analytical model of the dynamic behaviour of CFRP plates subjected to low velocity impacts. Compos. Part B Eng. 2018, 142, 47–55. [Google Scholar] [CrossRef]
- Cui, J.; Dong, D.; Zhang, X.; Huang, X.; Lu, G. Influence of thickness of composite layers on failure behaviors of carbon fiber reinforced plastics/aluminum alloy electromagnetic riveted lap joints under high-speed loading. Int. J. Impact Eng. 2018, 115, 1–9. [Google Scholar] [CrossRef]
- Zhang, F.S.; Xu, J.Z.; Xu, G.D.; Zu, L. The buckling behavior of radome with different braided angles based on CFRP. Compos. Struct. 2017, 176, 597–607. [Google Scholar] [CrossRef]
- Juntanalikit, P.; Jirawattanasomkul, T.; Pimanmas, A. Experimental and numerical study of strengthening non-ductile RC columns with and without lap splice by Carbon Fiber Reinforced Polymer (CFRP) jacketing. Eng. Struct. 2016, 125, 400–418. [Google Scholar] [CrossRef]
- Reuter, C.; Sauerland, K.H.; Tröster, T. Experimental and numerical crushing analysis of circular CFRP tubes under axial impact loading. Compos. Struct. 2017, 174, 33–44. [Google Scholar] [CrossRef]
- Timme, S.; Trappe, V.; Korzen, M.; Schartel, B. Fire stability of carbon fiber reinforced polymer shells on the intermediate-scale. Compos. Struct. 2017, 178, 320–329. [Google Scholar] [CrossRef]
- Zhang, W.; Zhao, M.H. Nonlinear vibrations of a composite laminated cantilever rectangular plate with one-to-one internal resonance. Nonlinear Dyn. 2012, 70, 295–313. [Google Scholar] [CrossRef]
- Zhao, M.H.; Zhang, W. Nonlinear dynamics of composite laminated cantilever rectangular plate subject to third-order piston aerodynamics. Acta Mech. 2014, 225, 1985–2004. [Google Scholar] [CrossRef]
- Zhang, W.; Zhao, M.H.; Guo, X.Y. Nonlinear responses of a symmetric cross-ply composite laminated cantilever rectangular plate under in-plane and moment excitations. Compos. Struct. 2013, 100, 554–565. [Google Scholar] [CrossRef]
- Hwu, C.; Hsu, H.W.; Lin, Y.H. Free vibration of composite sandwich plates and cylindrical shells. Compos. Struct. 2017, 171, 528–537. [Google Scholar] [CrossRef]
- Viswanathan, K.; Javed, S. Free vibration of anti-symmetric angle-ply cylindrical shell walls using first-order shear deformation theory. J. Vib. Control 2016, 22, 1757–1768. [Google Scholar] [CrossRef]
- Sarkheil, S.; Foumani, M.S. Free vibrational characteristics of rotating joined cylindrical-conical shells. Thin-Walled Struct. 2016, 107, 657–670. [Google Scholar] [CrossRef]
- Amabili, M.; Balasubramanian, P.; Ferrari, G. Travelling wave and non-stationary response in nonlinear vibrations of water-filled circular cylindrical shells: Experiments and simulations. J. Sound Vib. 2016, 381, 220–245. [Google Scholar] [CrossRef]
- Song, Z.G.; Zhang, L.W.; Liew, K.M. Vibration analysis of CNT-reinforced functionally graded composite cylindrical shells in thermal environments. Int. J. Mech. Sci. 2016, 115–116, 339–347. [Google Scholar] [CrossRef]
- Zhang, W.; Hao, Y.X.; Yang, J. Nonlinear dynamics of FGM circular cylindrical shell with clamped-clamped edges. Compos. Struct. 2012, 94, 1075–1086. [Google Scholar] [CrossRef]
- Du, C.C.; Li, Y.H. Nonlinear resonance behavior of functionally graded cylindrical shells in thermal environments. Compos. Struct. 2013, 102, 164–174. [Google Scholar] [CrossRef]
- Sun, Y.; Zhang, W.; Yao, M.H. Multi-pulse chaotic dynamics of circular mesh antenna with 1:2 internal resonance. Int. J. Appl. Mech. 2017, 9, 1750060. [Google Scholar] [CrossRef]
- Liu, T.; Zhang, W.; Wang, J.F. Nonlinear dynamics of composite laminated circular cylindrical shell clamped along a generatrix and with membranes at both ends. Nonlinear Dyn. 2017, 90, 1393–1417. [Google Scholar] [CrossRef]
- Wang, Y.Q. Nonlinear vibration of a rotating laminated composite circular cylindrical shell: Traveling wave vibration. Nonlinear Dyn. 2014, 77, 1693–1707. [Google Scholar] [CrossRef]
- Hao, Y.X.; Yang, S.W.; Zhang, W.; Yao, M.H.; Wang, A.W. Flutter of high-dimension nonlinear system for a FGM truncated conical shell. Mech. Adv. Mater. Struct. 2018, 25, 47–61. [Google Scholar] [CrossRef]
- Wang, Y.Q.; Guo, X.H.; Chang, H.H.; Li, H.Y. Nonlinear dynamic response of rotating circular cylindrical shells with precession of vibrating shape, Part I: Numerical solution. Int. J. Mech. Sci. 2010, 52, 1217–1224. [Google Scholar] [CrossRef]
- Wang, Y.Q.; Guo, X.H.; Chang, H.H.; Li, H.Y. Nonlinear dynamic response of rotating circular cylindrical shells with precession of vibrating shape, Part II: Approximate analytical solution. Int. J. Mech. Sci. 2010, 52, 1208–1216. [Google Scholar] [CrossRef]
- Shen, H.S. Nonlinear vibration of shear deformable FGM cylindrical shells surrounded by an elastic medium. Compos. Struct. 2012, 94, 1144–1154. [Google Scholar] [CrossRef]
- Shen, H.S.; Wang, H. Nonlinear vibration of shear deformable FGM cylindrical panels resting on an elastic medium in thermal environments. Compos. Part B Eng. 2014, 60, 167–177. [Google Scholar] [CrossRef]
- Reddy, J.N. Mechanics of Laminated Composite Plates and Shells: Theory and Analysis; CRC Press: New York, NY, USA, 2004. [Google Scholar]
- Hao, Y.X.; Zhang, W.; Yang, L.; Wang, J.H. Dynamic Response of Cantilever FGM Cylindrical Shell. Appl. Mech. Mater. 2012, 130, 3986–3993. [Google Scholar] [CrossRef]
- Efraim, E.; Eisenberger, M. Exact vibration analysis of variable thickness thick annular isotropic and FGM plates. J. Sound Vib. 2007, 299, 720–738. [Google Scholar] [CrossRef]
- Noseir, A.; Reddy, J.N. A study of non-linear dynamic equations of higher-order deformation plate theories. Int. J. Non-Linear Mech. 1991, 26, 233–249. [Google Scholar] [CrossRef]
- Bhimaraddi, A. Large amplitude vibrations of imperfect antisymmetric angle-ply laminated plates. J. Sound Vib. 1993, 162, 457–470. [Google Scholar] [CrossRef]
- Zhang, X.M.; Liu, G.R.; Lam, K.Y. Vibration analysis of thin cylindrical shells using wave propagation approach. J. Sound Vib. 2001, 239, 397–403. [Google Scholar] [CrossRef]
- Song, Z.G.; Li, F.M. Aerothermoelastic analysis and active flutter control of supersonic composite laminated cylindrical shells. Compos. Struct. 2013, 106, 653–660. [Google Scholar] [CrossRef]
- Lee, D.S. Nonlinear dynamic buckling of orthotropic cylindrical shells subjected to rapidly applied loads. J. Eng. Math. 2000, 38, 141–154. [Google Scholar] [CrossRef]
- Gao, K.; Gao, W.; Wu, D.; Song, C. Nonlinear dynamic stability of the orthotropic functionally graded cylindrical shell surrounded by Winkler-Pasternak elastic foundation subjected to a linearly increasing load. J. Sound Vib. 2018, 415, 147–168. [Google Scholar] [CrossRef]
- Darabi, M.; Ganesan, R. Non-linear dynamic unstable analysis of laminated composite cylindrical shells subjected to periodic axial loads. Compos. Struct. 2016, 147, 168–184. [Google Scholar] [CrossRef]
- Lei, Z.X.; Zhang, L.W.; Liew, K.M.; Yu, J.L. Dynamic stability analysis of carbon nanotubereinforced functionally graded cylindrical panels using the element-free kp-Ritz method. Compos. Struct. 2014, 113, 328–338. [Google Scholar] [CrossRef]
- Ganapathi, M.; Balamurugan, V. Dynamic unstable analysis of laminated composite circular cylindrical shell. Comput. Struct. 1998, 69, 181–189. [Google Scholar] [CrossRef]
- Dey, T.; Ramachandra, L.S. Dynamic stability of simply supported composite cylindrical shells under partial axial loading. J. Sound Vib. 2015, 353, 272–291. [Google Scholar] [CrossRef]

















| Zhang et al. [47] | Song et al. [48] | Present Study | ||
|---|---|---|---|---|
| 0.05 | 0 | 0.0929586 | 0.0929392 | 0.0929465 |
| 1 | 0.0161065 | 0.0161299 | 0.0151185 | |
| 2 | 0.0393038 | 0.0393231 | 0.0393236 | |
| 3 | 0.1098113 | 0.1097653 | 0.1096523 | |
| 4 | 0.1098113 | 0.1097653 | 0.1098103 | |
| 0.002 | 0 | 0.0929296 | 0.0929296 | 0.0929236 |
| 1 | 0.0161011 | 0.0161011 | 0.01610032 | |
| 2 | 0.0054532 | 0.0054536 | 0.0054532 | |
| 3 | 0.0050418 | 0.0050424 | 0.0050423 | |
| 4 | 0.0085340 | 0.0085344 | 0.0085354 |
| Lee et al. [49] | Gao et al. [50] | Present Study | |
|---|---|---|---|
| (1, 1) | 78,139.72 | 78,145.73 | 78,151.26 |
| (1, 2) | 29,556.79 | 29,580.83 | 29,578.52 |
| (1, 3) | 13,850.67 | 13,904.75 | 13,895.28 |
| (2, 1) | 32,341.27 | 32,347.28 | 32,343.52 |
| (2, 2) | 19,852.90 | 19,876.93 | 19,856.36 |
| (2, 3) | 12,046.73 | 12,100.82 | 12,089.65 |
Publisher’s Note: MDPI stays neutral with regard to jurisdictional claims in published maps and institutional affiliations. |
© 2022 by the authors. Licensee MDPI, Basel, Switzerland. This article is an open access article distributed under the terms and conditions of the Creative Commons Attribution (CC BY) license (https://creativecommons.org/licenses/by/4.0/).
Share and Cite
Yang, S.; Hao, Y.; Zhang, W.; Liu, L.; Ma, W. Static and Dynamic Stability of Carbon Fiber Reinforced Polymer Cylindrical Shell Subject to Non-Normal Boundary Condition with One Generatrix Clamped. Mathematics 2022, 10, 1531. https://doi.org/10.3390/math10091531
Yang S, Hao Y, Zhang W, Liu L, Ma W. Static and Dynamic Stability of Carbon Fiber Reinforced Polymer Cylindrical Shell Subject to Non-Normal Boundary Condition with One Generatrix Clamped. Mathematics. 2022; 10(9):1531. https://doi.org/10.3390/math10091531
Chicago/Turabian StyleYang, Shaowu, Yuxin Hao, Wei Zhang, Lingtao Liu, and Wensai Ma. 2022. "Static and Dynamic Stability of Carbon Fiber Reinforced Polymer Cylindrical Shell Subject to Non-Normal Boundary Condition with One Generatrix Clamped" Mathematics 10, no. 9: 1531. https://doi.org/10.3390/math10091531
APA StyleYang, S., Hao, Y., Zhang, W., Liu, L., & Ma, W. (2022). Static and Dynamic Stability of Carbon Fiber Reinforced Polymer Cylindrical Shell Subject to Non-Normal Boundary Condition with One Generatrix Clamped. Mathematics, 10(9), 1531. https://doi.org/10.3390/math10091531

