Effect of Non-Identical Magnetic Fields on Thermomagnetic Convective Flow of a Nanoliquid Using Buongiorno’s Model
Abstract
:1. Introduction
2. Materials and Methods
2.1. Problem Formulation
2.2. Numerical Technique
2.3. Comparisons with Others
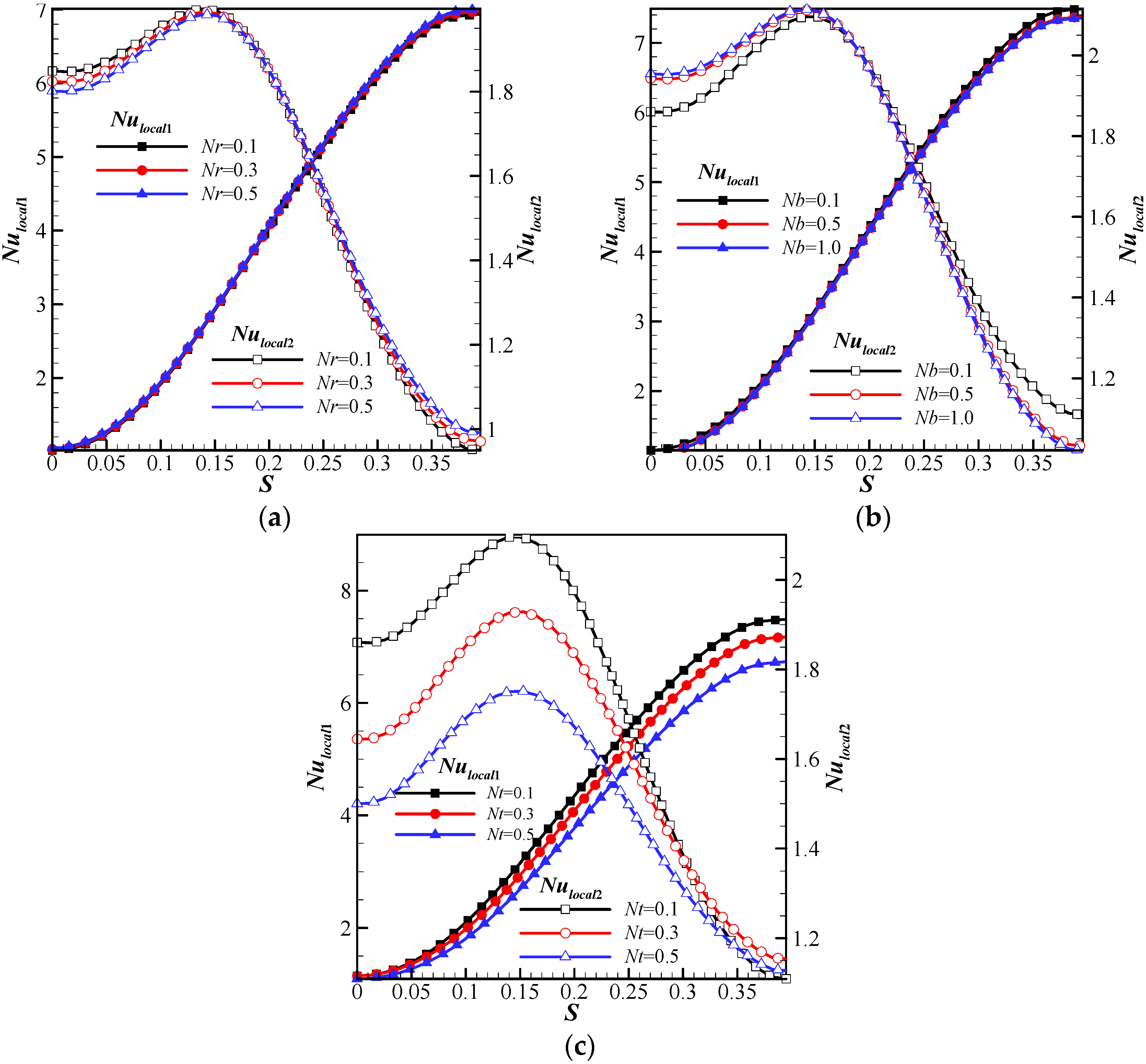
3. Results and Discussion
4. Conclusions
- –
- The rise of the magnetic sources strengths ratio illustrates an increase in the upper magnetic source power that reflects an increment of the thermal diffusive zone in the upper part of the cavity. As a result, the along the bottom hot element decreases, but along the upper one increases;
- –
- An increment of characterizes a decrease of the heat transfer rate.
- –
- The rise of the thermophoresis parameter reflects a reduction of , while major modifications can be found only in distributions of nanoparticles;
- –
- The influence of the Brownian diffusion characteristic and buoyancy ratio is non-significant.
- –
- An increase in from 0 to 1000 leads to an increment of and a reduction of . However, the opposite effects can be observed while increasing from 1000 to 10,000.
- –
- An increase in the is associated with an insignificant increase in the Nusselt number.
Author Contributions
Funding
Institutional Review Board Statement
Informed Consent Statement
Data Availability Statement
Acknowledgments
Conflicts of Interest
References
- Punith Gowda, R.J.; Naveen Kumar, R.; Jyothi, A.M.; Prasannakumara, B.C.; Sarris, I.E. Impact of binary chemical reaction and activation energy on heat and mass transfer of marangoni driven boundary layer flow of a non-Newtonian nanofluid. Processes 2021, 9, 702. [Google Scholar] [CrossRef]
- Izadi, M.; Shahmardan, M.; Behzadmehr, A. Richardson number ratio effect on laminar mixed convection of a nanofluid flow in an annulus. Int. J. Comput. Methods Eng. Sci. Mech. 2013, 14, 304–316. [Google Scholar] [CrossRef]
- Selimefendigil, F.; Öztop, H.F. Control of natural convection in a CNT-water nanofluid filled 3D cavity by using an inner T-shaped obstacle and thermoelectric cooler. Int. J. Mech. Sci. 2020, 169, 105104. [Google Scholar] [CrossRef]
- Arshad, A.; Jabbal, M.; Sardari, P.T.; Bashir, M.A.; Faraji, H.; Yan, Y. Transient simulation of finned heat sinks embedded with PCM for electronics cooling. Therm. Sci. Eng. Prog. 2020, 18, 100520. [Google Scholar] [CrossRef]
- Alsabery, A.I.; Armaghani, T.; Chamkha, A.J.; Hashim, I. Two-phase nanofluid model and magnetic field effects on mixed convection in a lid-driven cavity containing heated triangular wall. Alex. Eng. J. 2020, 59, 129–148. [Google Scholar] [CrossRef]
- Li, Z.; Shahsavar, A.; Al-Rashed, A.A.; Talebizadehsardari, P. Effect of porous medium and nanoparticles presences in a counter-current triple-tube composite porous/nano-PCM system. Appl. Therm. Eng. 2020, 167, 114777. [Google Scholar] [CrossRef]
- Alsabery, A.I.; Mohebbi, R.; Chamkha, A.J.; Hashim, I. Effect of local thermal non-equilibrium model on natural convection in a nanofluid-filled wavy-walled porous cavity containing inner solid cylinder. Chem. Eng. Sci. 2019, 201, 247–263. [Google Scholar] [CrossRef]
- Sardari, P.T.; Giddings, D.; Grant, D.; Gillott, M.; Walker, G.S. Discharge of a composite metal foam/phase change material to air heat exchanger for a domestic thermal storage unit. Renew. Energy 2020, 148, 987–1001. [Google Scholar] [CrossRef]
- Hayat, T.; Aziz, A.; Muhammad, T.; Alsaedi, A. Numerical treatment for Darcy–Forchheimer flow of nanofluid due to a rotating disk with convective heat and mass conditions. Int. J. Numer. Methods Heat Fluid Flow 2018, 28, 2531–2550. [Google Scholar] [CrossRef]
- Hayat, T.; Aziz, A.; Muhammad, T.; Alsaedi, A. Numerical simulation for three-dimensional flow of Carreau nanofluid over a nonlinear stretching surface with convective heat and mass conditions. J. Braz. Soc. Mech. Sci. Eng. 2019, 41, 55. [Google Scholar] [CrossRef]
- Garmroodi, M.D.; Ahmadpour, A.; Talati, F. MHD mixed convection of nanofluids in the presence of multiple rotating cylinders in different configurations: A two-phase numerical study. Int. J. Mech. Sci. 2019, 150, 247–264. [Google Scholar] [CrossRef]
- Selimefendigil, F.; Öztop, H.F. Magnetic field effects on the forced convection of CuO-water nanofluid flow in a channel with circular cylinders and thermal predictions using ANFIS. Int. J. Mech. Sci. 2018, 146, 9–24. [Google Scholar] [CrossRef]
- Shafiq, A.; Hammouch, Z.; Sindhu, T. Bioconvective MHD flow of tangent hyperbolic nanofluid with newtonian heating. Int. J. Mech. Sci. 2017, 133, 759–766. [Google Scholar] [CrossRef]
- Nayak, M. MHD 3D flow and heat transfer analysis of nanofluid by shrinking surface inspired by thermal radiation and viscous dissipation. Int. J. Mech. Sci. 2017, 124, 185–193. [Google Scholar] [CrossRef]
- Izadi, M.; Mohebbi, R.; Delouei, A.A.; Sajjadi, H. Natural convection of a magnetizable hybrid nanofluid inside a porous enclosure subjected to two variable magnetic fields. Int. J. Mech. Sci. 2019, 151, 154–169. [Google Scholar] [CrossRef]
- Selimefendigil, F.; Öztop, H.F. Fluid-solid interaction of elastic-step type corrugation effects on the mixed convection of nanofluid in a vented cavity with magnetic field. Int. J. Mech. Sci. 2019, 152, 185–197. [Google Scholar] [CrossRef]
- Hayat, T.; Riaz, R.; Aziz, A.; Alsaedi, A. Analysis of entropy generation for MHD flow of third grade nanofluid over a nonlinear stretching surface embedded in a porous medium. Phys. Scr. 2019, 94, 125703. [Google Scholar] [CrossRef]
- Sheikholeslami, M.; Shehzad, S.; Li, Z. Nanofluid heat transfer intensification in a permeable channel due to magnetic field using lattice Boltzmann method. Phys. B Condens. Matter 2018, 542, 51–58. [Google Scholar] [CrossRef]
- Malmir-Chegini, Y.; Amanifard, N. Heat transfer enhancement inside semi-insulated horizontal pipe by controlling the secondary flow of oil-based ferro-fluid in the presence of non-uniform magnetic field: A general correlation for the Nusselt number. Appl. Therm. Eng. 2019, 159, 113839. [Google Scholar] [CrossRef]
- Gui, N.G.J.; Stanley, C.; Nguyen, N.-T.; Rosengarten, G. Ferrofluids for heat transfer enhancement under an external magnetic field. Int. J. Heat Mass Transf. 2018, 123, 110–121. [Google Scholar]
- Bezaatpour, M.; Goharkhah, M. Effect of magnetic field on the hydrodynamic and heat transfer of magnetite ferrofluid flow in a porous fin heat sink. J. Magn. Magn. Mater. 2019, 476, 506–515. [Google Scholar] [CrossRef]
- Zhou, J.; Gu, G.; Meng, X.; Shao, C. Effect of alternating gradient magnetic field on heat transfer enhancement of magnetoreological fluid flowing through microchannel. Appl. Therm. Eng. 2019, 150, 1116–1125. [Google Scholar] [CrossRef]
- Asadi, A.; Nezhad, A.H.; Sarhaddi, F.; Keykha, T. Laminar ferrofluid heat transfer in presence of non-uniform magnetic field in a channel with sinusoidal wall: A numerical study. J. Magn. Magn. Mater. 2019, 471, 56–63. [Google Scholar] [CrossRef]
- Zonouzi, S.A.; Khodabandeh, R.; Safarzadeh, H.; Aminfar, H.; Trushkina, Y.; Mohammadpourfard, M.; Ghanbarpour, M.; Alvarez, G.S. Experimental investigation of the flow and heat transfer of magnetic nanofluid in a vertical tube in the presence of magnetic quadrupole field. Exp. Therm. Fluid Sci. 2018, 91, 155–165. [Google Scholar] [CrossRef]
- Fadaei, F.; Dehkordi, A.M.; Shahrokhi, M.; Abbasi, Z. Convective-heat transfer of magnetic-sensitive nanofluids in the presence of rotating magnetic field. Appl. Therm. Eng. 2017, 116, 329–343. [Google Scholar] [CrossRef]
- Gibanov, N.S.; Sheremet, M.A.; Oztop, H.F.; Nusier, O.K. Convective heat transfer of ferrofluid in a lid-driven cavity with a heat-conducting solid backward step under the effect of a variable magnetic field. Numer. Heat Transf. Part A Appl. 2017, 72, 54–67. [Google Scholar] [CrossRef]
- Selimefendigil, F.; Oztop, H.F.; Sheremet, M.A.; Abu-Hamdeh, N. Forced convection of Fe3O4-water nanofluid in a bifurcating channel under the effect of variable magnetic field. Energies 2019, 12, 666. [Google Scholar] [CrossRef] [Green Version]
- Mehryan, S.; Izadi, M.; Chamkha, A.J.; Sheremet, M.A. Natural convection and entropy generation of a ferrofluid in a square enclosure under the effect of a horizontal periodic magnetic field. J. Mol. Liq. 2018, 263, 510–525. [Google Scholar] [CrossRef]
- Hosseinzadeh, K.; Roghani, S.; Mogharrebi, A.; Asadi, A.; Ganji, D. Optimization of hybrid nanoparticles with mixture fluid flow in an octagonal porous medium by effect of radiation and magnetic field. J. Therm. Anal. Calorim. 2021, 143, 1413–1424. [Google Scholar] [CrossRef]
- Hayat, T.; Aziz, A.; Muhammad, T.; Alsaedi, A. On magnetohydrodynamic three-dimensional flow of nanofluid over a convectively heated nonlinear stretching surface. Int. J. Heat Mass Transf. 2016, 100, 566–572. [Google Scholar] [CrossRef]
- Dogonchi, A.; Sheremet, M.A.; Ganji, D.; Pop, I. Free convection of copper–water nanofluid in a porous gap between hot rectangular cylinder and cold circular cylinder under the effect of inclined magnetic field. J. Therm. Anal. Calorim. 2019, 135, 1171–1184. [Google Scholar] [CrossRef]
- Buongiorno, J. Convective transport in nanofluids. J. Heat Transf. 2006, 128, 240–250. [Google Scholar] [CrossRef]
- Tahmasebi, A.; Mahdavi, M.; Ghalambaz, M. Local thermal nonequilibrium conjugate natural convection heat transfer of nanofluids in a cavity partially filled with porous media using Buongiorno’s model. Numer. Heat Transf. Part A Appl. 2018, 73, 254–276. [Google Scholar] [CrossRef]
- Schenk, O.; Gärtner, K. Solving unsymmetric sparse systems of linear equations with PARDISO. Future Gener. Comput. Syst. 2004, 20, 475–487. [Google Scholar] [CrossRef]
- Wriggers, P. Nonlinear Finite Element Methods; Springer Science & Business Media: Berlin/Heidelberg, Germany, 2008. [Google Scholar]
- Verbosio, F.; De Coninck, A.; Kourounis, D.; Schenk, O. Enhancing the scalability of selected inversion factorization algorithms in genomic prediction. J. Comput. Sci. 2017, 22, 99–108. [Google Scholar] [CrossRef]
- Reddy, J.N.; Gartling, D.K. The Finite Element Method in Heat Transfer and Fluid Dynamics; CRC Press: Boca Raton, FL, USA, 2010. [Google Scholar]
- Calcagni, B.; Marsili, F.; Paroncini, M. Natural convective heat transfer in square enclosures heated from below. Appl. Therm. Eng. 2005, 25, 2522–2531. [Google Scholar] [CrossRef]
- Kim, B.; Lee, D.; Ha, M.; Yoon, H. A numerical study of natural convection in a square enclosure with a circular cylinder at different vertical locations. Int. J. Heat Mass Transf. 2008, 51, 1888–1906. [Google Scholar] [CrossRef]











Publisher’s Note: MDPI stays neutral with regard to jurisdictional claims in published maps and institutional affiliations. |
© 2022 by the authors. Licensee MDPI, Basel, Switzerland. This article is an open access article distributed under the terms and conditions of the Creative Commons Attribution (CC BY) license (https://creativecommons.org/licenses/by/4.0/).
Share and Cite
Khedher, N.B.; Sheremet, M.; Saif Alghawli, A.; Mohamed, A.; Mehryan, S.A.M. Effect of Non-Identical Magnetic Fields on Thermomagnetic Convective Flow of a Nanoliquid Using Buongiorno’s Model. Mathematics 2022, 10, 1222. https://doi.org/10.3390/math10081222
Khedher NB, Sheremet M, Saif Alghawli A, Mohamed A, Mehryan SAM. Effect of Non-Identical Magnetic Fields on Thermomagnetic Convective Flow of a Nanoliquid Using Buongiorno’s Model. Mathematics. 2022; 10(8):1222. https://doi.org/10.3390/math10081222
Chicago/Turabian StyleKhedher, Nidhal Ben, Mikhail Sheremet, Abed Saif Alghawli, Abdullah Mohamed, and Seyed Abdollah Mansouri Mehryan. 2022. "Effect of Non-Identical Magnetic Fields on Thermomagnetic Convective Flow of a Nanoliquid Using Buongiorno’s Model" Mathematics 10, no. 8: 1222. https://doi.org/10.3390/math10081222
APA StyleKhedher, N. B., Sheremet, M., Saif Alghawli, A., Mohamed, A., & Mehryan, S. A. M. (2022). Effect of Non-Identical Magnetic Fields on Thermomagnetic Convective Flow of a Nanoliquid Using Buongiorno’s Model. Mathematics, 10(8), 1222. https://doi.org/10.3390/math10081222

