Effect of a Vaccination against the Dengue Fever Epidemic in an Age Structure Population: From the Perspective of the Local and Global Stability Analysis
Abstract
1. Introduction
2. Methodology
2.1. Mathematical Model
The Non-Negativeness of the Solutions
2.2. Stability Analysis
2.2.1. Steady States and Basic Reproduction Number
2.2.2. Local and Global Stabilities
2.2.3. Bifurcation Analysis
2.2.4. Sensitivity Analysis
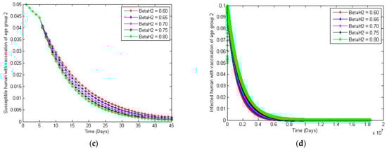
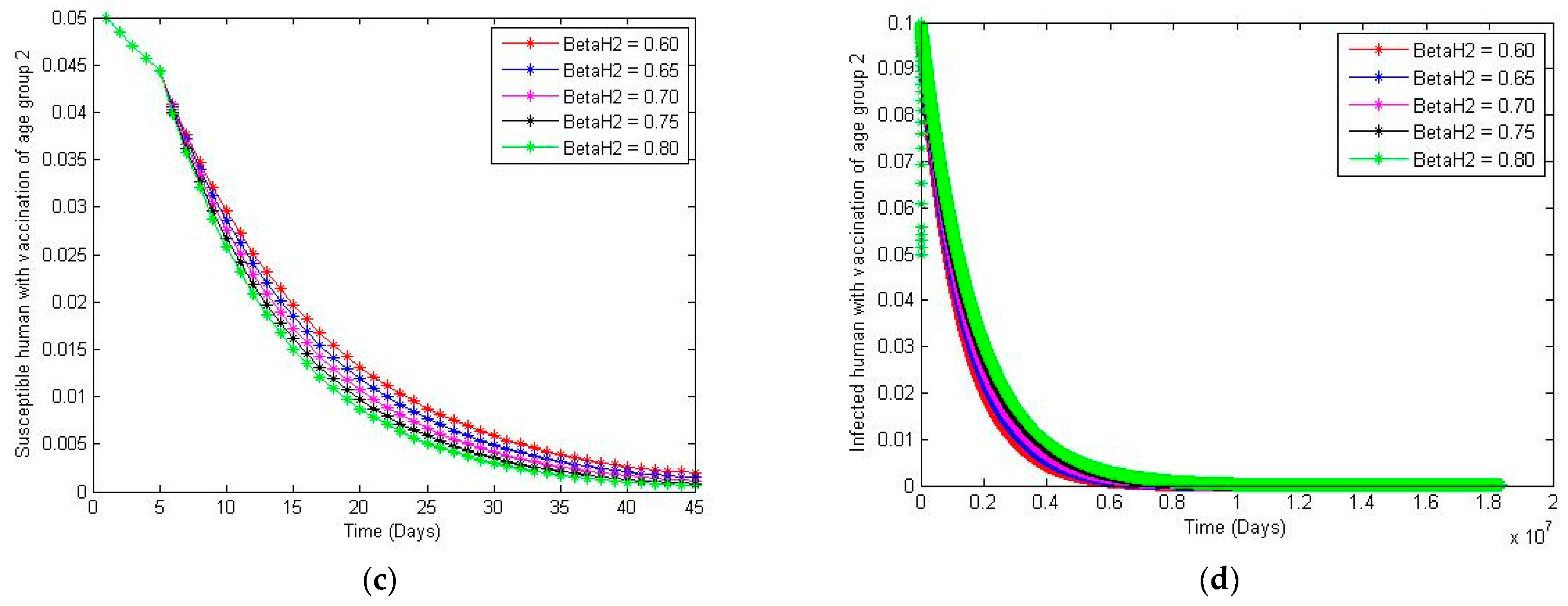
3. Numerical Results
4. Discussion and Conclusions
Author Contributions
Funding
Institutional Review Board Statement
Informed Consent Statement
Data Availability Statement
Conflicts of Interest
References
- World Health Organization. Dengue and Severe Dengue. Available online: https://www.who.int/news-room/fact-sheets/detail/dengue-and-severe-dengue (accessed on 19 October 2021).
- World Health Organization. Fact Sheet: Questions and Answers on Dengue Vaccines: Phase III Study of CYD-TDV. Available online: http://www.who.int/immunization/research/development/WHO_dengue_vaccine_QA_July2014.pdf (accessed on 5 January 2021).
- World Health Organization. Dengue vaccine: WHO position paper. Wkly. Epidemiol. Rec. Relev. Épidémiologique Hebdomadair 2016, 91, 349–364. [Google Scholar]
- Side, S.; Noorani, S. A SIR model for spread of dengue fever disease (Simulation for South Sulawesi, Indonesia and Selangor, Malaysia). WJMS 2013, 9, 96–105. [Google Scholar]
- Chaturvedi, U.C.; Nagar, R. Dengue and dengue heamorrhagic fever: Indian perspective. J. Biosci. 2008, 33, 429–441. [Google Scholar] [CrossRef]
- Coudeville, L.; Garnett, G. Transmission dynamics of the four dengue serotypes in Southern Vietnam and potential impact of vaccination. PLoS ONE 2012, 7, 51244. [Google Scholar] [CrossRef] [PubMed]
- Ross, R.; Howard, L.O.; Gorgas, W.C. The Prevention of Malaria; John Murray: London, UK, 1911. [Google Scholar]
- Yaacob, Y. Analysis of a dengue disease transmission model without immunity. MATEMATIKA Malays. J. Ind. Appl. Math. 2007, 23, 75–81. [Google Scholar]
- World Health Organization. Current Status of Dengue/Dengue Haemorrhagic Fever in WHO Southeast Asia Region. Available online: https://apps.who.int/iris/handle/10665/148538 (accessed on 2 October 2021).
- Chanprasopchai, P.; Tang, I.M.; Pongsumpun, P. Effect of rainfall for the dynamical transmission model of the dengue disease in Thailand. Comput. Math. Methods Med. 2017, 2017, 2541862. [Google Scholar] [CrossRef] [PubMed]
- Aguiar, M.; Stollenwerk, N.; Halstead, S.B. The impact of the newly licensed dengue vaccine in epidemic countries. PLoS Negl. Trop. Dis. 2016, 10, 0005179. [Google Scholar] [CrossRef]
- Hadinegoro, S.R.; Arredondo-Garcia, J.L.; Capeding, M.R.; Deseda, C.; Chotpitayasunondh, T.; Dietze, R.; Ismail, H.H.M.; Reynales, H.; Limkittikul, K.; Rivera-Medina, D.M.; et al. Efficacy and Long-Term Safety of a Dengue Vaccine in Regions of Endemic Disease. N. Engl. J. Med. 2015, 373, 1195–1206. [Google Scholar] [CrossRef]
- Coudeville, L.; Baurin, N.; Azou, M.L.; Guy, B. Potential impact of dengue vaccination: Insights from two large-scale phase III trials with a tetravalent dengue vaccine. Vaccine 2016, 34, 6426–6435. [Google Scholar] [CrossRef]
- Villar, L.; Dayan, G.H.; Arredondo-Garcia, J.L.; Rivera, D.M.; Cunha, R.; Deseda, C.; Reynales, H.; Costa, M.S.; Morales-Ramirez, J.O.; Carrasquilla, G.; et al. Efficacy of a tetravalent dengue vaccine in children in Latin America. N. Engl. J. Med. 2015, 372, 113–123. [Google Scholar] [CrossRef]
- Rodrigues, H.; Monteiro, M.; Torres, D. Vaccination models and optimal control strategies to dengue. Math. Biosci. 2014, 247, 1–12. [Google Scholar] [CrossRef] [PubMed]
- Sabchareon, A.; Wallace, D.; Sirivichayakul, C.; Limkittikul, K.; Chanthavanich, P.; Suvannadabba, S.; Jiwariyavej, V.; Dulyachai, W.; Pengsaa, K.; Wartel, T.A.; et al. Protective efficacy of the recombinant, live-attenuated, CYD tetravalent dengue vaccine in Thai schoolchildren: A randomised, controlled phase 2b trial. Lancet 2012, 380, 1559–1567. [Google Scholar] [CrossRef]
- Capeding, M.R.; Tran, N.H.; Hadinegoro, S.R.S.; Ismail, H.I.H.M.; Chotpitayasunondh, T.; Chua, M.N.; Luong, C.Q.; Rusmil, K.; Wirawan, D.N.; Nallusamy, R.; et al. Clinical efficacy and safety of a novel tetravalent dengue vaccine in healthy children in Asia: A phase 3, randomised, observer-masked, placebo-controlled trial. Lancet 2014, 384, 1358–1365. [Google Scholar] [CrossRef]
- Chanprasopchai, P.; Tang, I.M.; Pongsumpun, P. SIR Model for Dengue Disease with Effect of Dengue Vaccination. Comput. Math. Methods Med. 2018, 2018, 1–14. [Google Scholar] [CrossRef] [PubMed]
- Esteva, L.; Vargas, C. A model for dengue disease with variable human population. J. Math. Biol. 1999, 38, 220–240. [Google Scholar] [CrossRef]
- Driessche, P.; Watmough, J. Reproduction numbers and sub-threshold endemic equilibria for compartmental models of disease transmission. Math. Biosci. 2002, 180, 29–48. [Google Scholar] [CrossRef]
- Chamnan, A.; Pongsumpun, P.; Tang, I.-M.; Wongvanich, N. Local and Global Stability Analysis of Dengue Disease with Vaccination and Optimal Control. Symmetry 2021, 13, 1917. [Google Scholar] [CrossRef]
- Sanusi, W.; Badwi, N.; Zaki, A.; Sidjara, S.; Sari, N.; Pratama, M.I.; Side, S. Analysis and simulation of SIRS model for dengue fever transmission in South Sulawesi, Indonesia. J. Appl. Math. 2021, 2021, 120138. [Google Scholar] [CrossRef]
- Dwivedi, A.; Keval, R. Analysis for transmission of dengue disease with different class of human population. Epidemiol. Methods 2021, 10, 20200046. [Google Scholar] [CrossRef]
- Ministry of Public Health Thailand. Dengue Fever. Available online: http://www.boe.moph.go.th/boedb/surdata/disease.php?dcontent=old&ds=66 (accessed on 30 January 2021).
- Lamwong, J.; Pongsumpun, P.; Tang, I.M.; Wongvanich, N. The lyapunov analyses of mers-cov transmission in Thailand. Curr. Appl. Sci. Technol. 2019, 19, 112–122. [Google Scholar]
- Guo, S.M.; Li, X.Z.; Ghosh, M. Analysis of dengue disease model with nonlinear incidence. Discret. Dyn. Nat. Soc. 2013, 2013, 320581. [Google Scholar] [CrossRef]
- Pongsumpun, P.; Sungchasit, R.; Tang, I.M. Lyapunov function for a dengue transmission model where two species of mosquitoes are present: Global stability. Am. J. Appl. Sci. 2017, 14, 994–1004. [Google Scholar] [CrossRef][Green Version]
- Tewa, J.; Dimi, J.; Bowong, S. Lyapunov functions for a dengue disease transmission model. Chaos Solitons Fractals 2009, 39, 936–941. [Google Scholar] [CrossRef]
- Liu, G.; Chen, J.; Liang, Z.; Peng, Z.; Li, J. Dynamical Analysis and Optimal Control for a SEIR Model Based on Virus Mutation in WSNs. Mathematics 2021, 9, 929. [Google Scholar] [CrossRef]
- Castillo-Chavez, C.; Song, B. Dynamical models of tuberculosis and their applications. Math. Biosci. Eng. 2004, 1, 361–404. [Google Scholar] [CrossRef]
- Chamnan, A.; Pongsumpun, P.; Tang, I.-M.; Wongvanich, N. Optimal Control of Dengue Transmission with Vaccination. Mathematics 2021, 9, 1833. [Google Scholar] [CrossRef]
- Prathumwan, D.; Trachoo, K.; Chaiya, I. Mathematical Modeling for Prediction Dynamics of the Coronavirus Disease 2019 (COVID-19) Pandemic, Quarantine Control Measures. Symmetry 2020, 12, 1404. [Google Scholar] [CrossRef]
- Chitnis, N.; Hyman, J.M.; Cushing, J.M. Determining important parameters in the spread of malaria through the sensitivity analysis of a mathematical model. Bull. Math. Biol. 2008, 70, 1272–1296. [Google Scholar]
- L’Azou, M.; Moureau, A.; Sarti, E.; Nealon, J.; Zambrano, B.; Wartel, T.A.; Villar, L.; Capeding, M.R.Z.; Ochiai, L. Symptomatic dengue in children in 10 Asian and Latin American countries. N. Engl. J. Med. 2016, 374, 1155–1166. [Google Scholar] [CrossRef]
- Vandepitte, W.; Chaweethamawat, A.; Yoksan, S. Seroprevalence of neutralizing antibody against dengue virus in healthcare workers in Bangkok, Thailand. Southeast Asian J. Trop. Med. Public Health 2019, 50, 410–415. [Google Scholar]











| Variable and Parameters | References |
|---|---|
| The number of the susceptible human populations | |
| The number of the infected human populations | |
| The number of the recovered human populations | |
| The number of the susceptible human population with vaccines | |
| The number of the infected human population with vaccines | |
| The number of the susceptible vector populations | |
| The number of the infected vector populations | |
| Transmission rate of dengue virus from human to vector | |
| Constant recruitment rate of vector populations | |
| Birth rate of the human populations | |
| Natural mortality rate of the human populations | |
| Natural mortality rate of the vector populations | |
| Mortality rate from the infected of the human populations | |
| Mortality rate from the infected of the vector populations | |
| Total human populations | |
| Total vector populations |
| Parameters | Sensitivity Indices |
|---|---|
| 0.50000 | |
| 0.50000 | |
| 0.50000 | |
| 0.00010 | |
| 0.18643 | |
| −0.01736 | |
| −0.03510 | |
| −0.00660 | |
| 0.17551 | |
| 0.11116 | |
| 0.21333 | |
| 0.26206 | |
| 0.34021 | |
| 0.21120 |
Publisher’s Note: MDPI stays neutral with regard to jurisdictional claims in published maps and institutional affiliations. |
© 2022 by the authors. Licensee MDPI, Basel, Switzerland. This article is an open access article distributed under the terms and conditions of the Creative Commons Attribution (CC BY) license (https://creativecommons.org/licenses/by/4.0/).
Share and Cite
Chamnan, A.; Pongsumpun, P.; Tang, I.-M.; Wongvanich, N. Effect of a Vaccination against the Dengue Fever Epidemic in an Age Structure Population: From the Perspective of the Local and Global Stability Analysis. Mathematics 2022, 10, 904. https://doi.org/10.3390/math10060904
Chamnan A, Pongsumpun P, Tang I-M, Wongvanich N. Effect of a Vaccination against the Dengue Fever Epidemic in an Age Structure Population: From the Perspective of the Local and Global Stability Analysis. Mathematics. 2022; 10(6):904. https://doi.org/10.3390/math10060904
Chicago/Turabian StyleChamnan, Anusit, Puntani Pongsumpun, I-Ming Tang, and Napasool Wongvanich. 2022. "Effect of a Vaccination against the Dengue Fever Epidemic in an Age Structure Population: From the Perspective of the Local and Global Stability Analysis" Mathematics 10, no. 6: 904. https://doi.org/10.3390/math10060904
APA StyleChamnan, A., Pongsumpun, P., Tang, I.-M., & Wongvanich, N. (2022). Effect of a Vaccination against the Dengue Fever Epidemic in an Age Structure Population: From the Perspective of the Local and Global Stability Analysis. Mathematics, 10(6), 904. https://doi.org/10.3390/math10060904

