Exact Analytical H-BER for Ad Hoc XOR H-Map Detector for Two Differentially Modulated BPSK Sources in H-MAC Channel
Abstract
1. Introduction
2. Related Works
3. Materials and Methods
H-BER Formula Derivation
4. Results
4.1. Analytical H-BER Formula for Ad Hoc (AH) Differential Detector
4.2. Analytical H-BER Formula for Coherent Detector (Coh)
4.3. Analytical H-BER Formula for Approximate Coherent (ApC) Detector
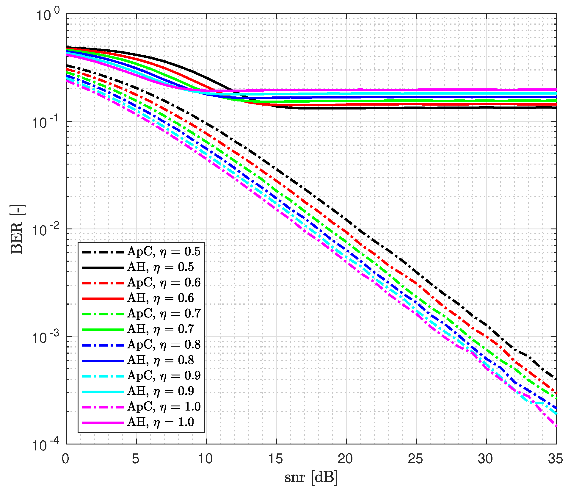
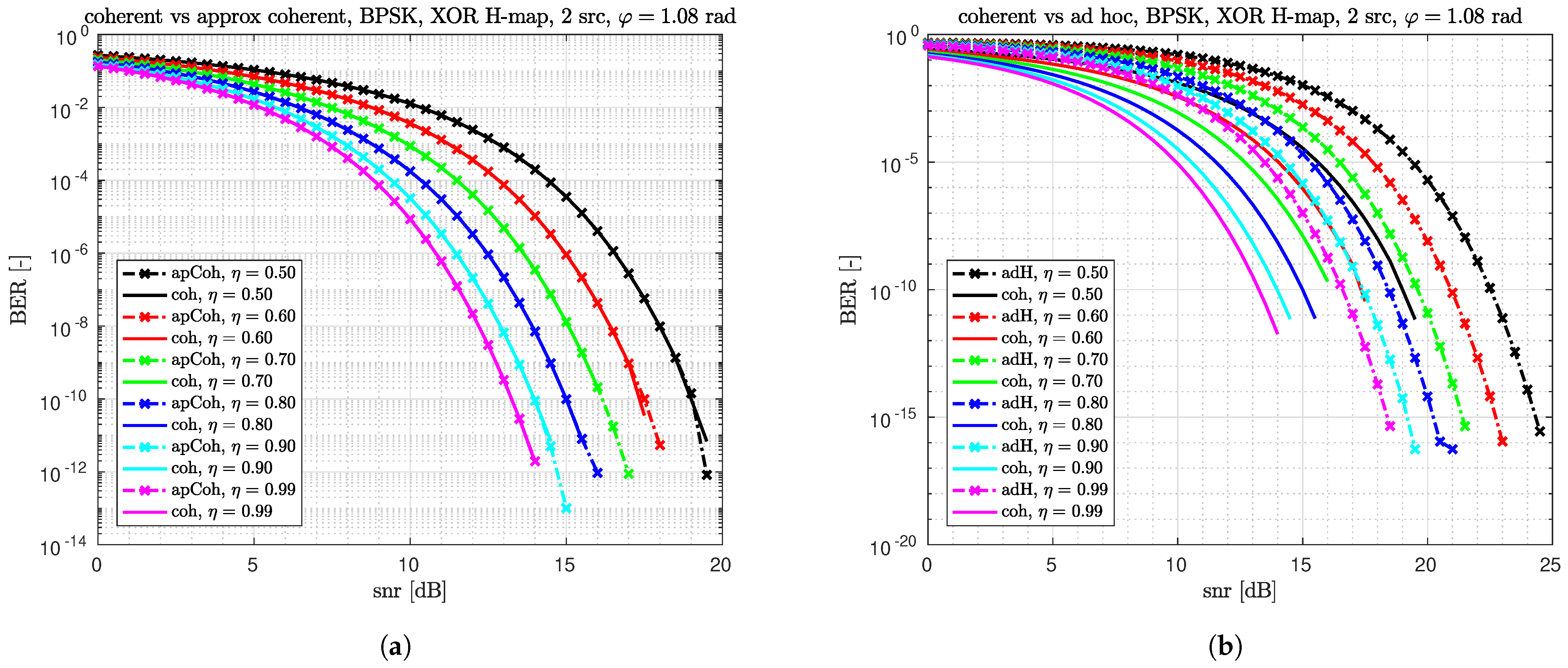
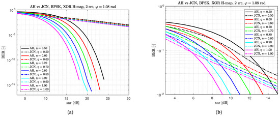
4.4. Comparison of AH Differential Detector with Other Two Differential Detectors
4.5. Other Numerical Results
- 1.
- Decision regions for coherent and differential detectors.
- 2.
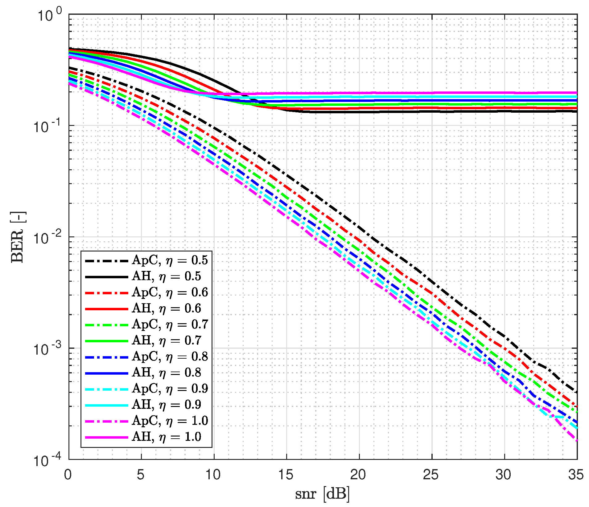
- Comparison of H-BER performance of coherent vs. approximate coherent detector and coherent vs. ad hoc detector.
- 3.
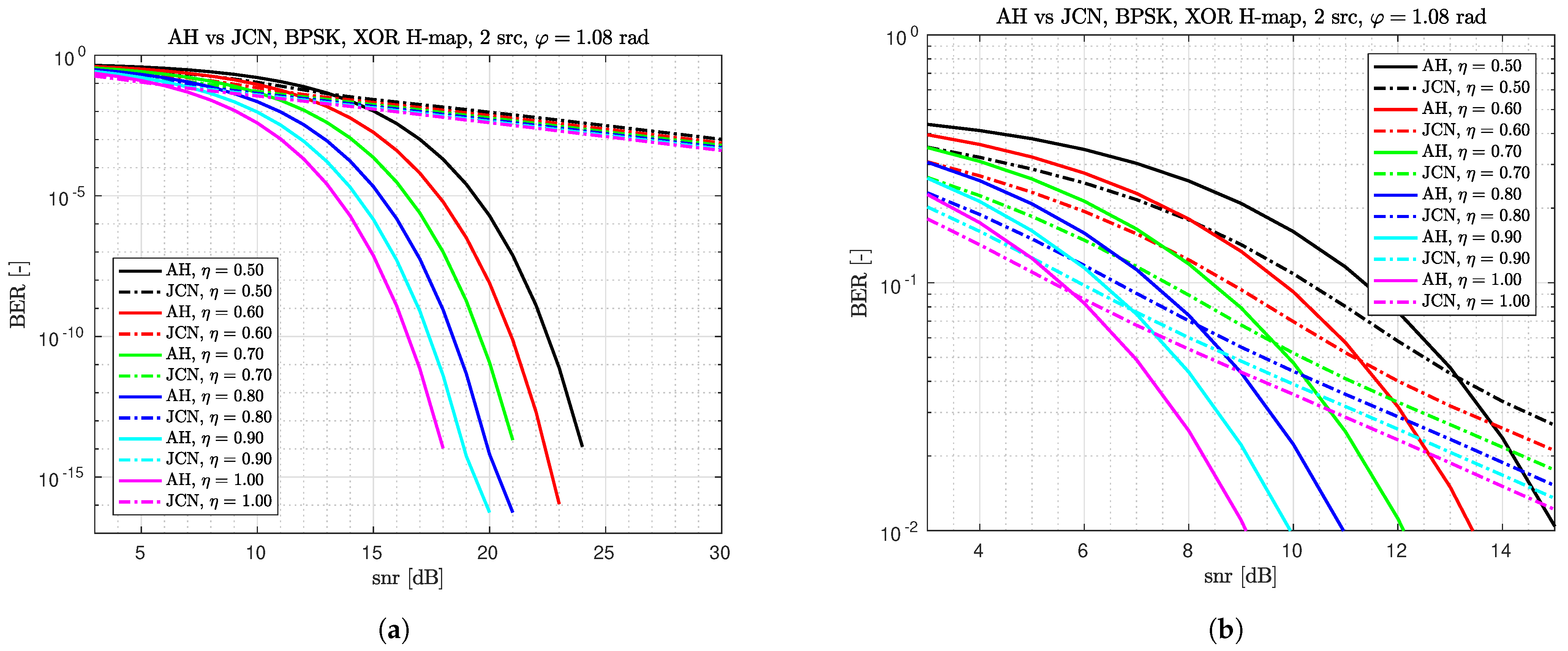
- H-BER performance of the ad hoc differential detector vs. the approximate coherent detector for the Rayleigh channel.
5. Discussion
Author Contributions
Funding
Institutional Review Board Statement
Informed Consent Statement
Data Availability Statement
Conflicts of Interest
Abbreviations
| TWRC | Two-Way Relay Channel |
| BPSK | Binary Phase Shift Keying |
| HDF | Hierarchical Decode and Forward |
| AF | Amplify and Forward |
| PLNC/WPNC | (Wireless) Physical Layer Network Coding |
| H-MAC | Hierarchical Multiple Access Channel |
| H-BER | Hierarchical Bit Error Rate |
| CSI | Channel State Information |
| DBPSK | Differential BPSK |
| SNR | Signal to Noise Ratio |
| Probability Density Function | |
| cdf | Cumulative Density Function |
| JML | Joint Maximum Likelihood detector, maximum marginalized, from [13] |
| JML2 | Joint Maximum Likelihood detector, marginalized by integration |
| JCN | Joint Complex-Normal differential detector from [9] |
| AH/AdH | Ad Hoc Differential Detector |
| Coh | Coherent Detector |
| ApC | Approximate Coherent Detector |
| RV | Random Variable |
Appendix A. Complex Normal and Normal Distributions
Appendix B. Derivation of pdf of Detector Metrics
Appendix B.1. AH Differential Detector
Appendix B.2. Coherent Detector
Appendix B.3. Approximate Coherent Detector
Appendix C. Operations with Random Variables
Appendix C.1. Joint Distribution of cosh(U), cosh(V) and Their Ratio Distribution
Appendix C.2. Joint Distribution of Absolute Values of U, V
Appendix C.3. Difference of Two Nonnegative RVs
Appendix C.4. Minimum of Two Independent RVs
References
- Ahlswede, R.; Cai, N.; Li, S.Y.R.; Yeung, R.W. Network information flow. IEEE Trans. Inf. Theory 2000, 46, 1204–1216. [Google Scholar] [CrossRef]
- Sykora, J.; Burr, A. Wireless Physical Layer Network Coding; Cambridge University Press: Cambridge, UK, 2018. [Google Scholar] [CrossRef]
- Song, L.; Li, Y.; Huang, A.; Jiao, B.; Vasilakos, A.V. Differential modulation for bidirectional relaying with analog network coding. IEEE Trans. Signal Process. 2010, 58, 3933–3938. [Google Scholar] [CrossRef]
- Song, L.; Hong, G.; Jiao, B.; Debbah, M. Joint relay selection and analog network coding using differential modulation in two-way relay channels. IEEE Trans. Veh. Technol. 2010, 59, 2932–2939. [Google Scholar] [CrossRef]
- Xu, W.; Wang, Q.; Lin, M. Distributed space-time coding scheme with differential detection and power allocation for cooperative relay network. Telecommun. Syst. 2017, 66, 431–445. [Google Scholar] [CrossRef]
- Kanthimathi, M.; Amutha, R. Performance analysis of generalized differential modulation using DAPSK for bi-directional relay networks. In Proceedings of the 2017 2nd International Conference on Computing and Communications Technologies, ICCCT 2017, Chennai, India, 23–24 February 2017; Institute of Electrical and Electronics Engineers Inc.: Chennai, India, 2017; pp. 33–36. [Google Scholar] [CrossRef]
- Ju, M.; Kim, I.M. Error Performance Analysis of BPSK Modulation in Physical-Layer Network-Coded Bidirectional Relay Networks. IEEE Trans. Commun. 2010, 58, 2770–2775. [Google Scholar] [CrossRef]
- Huang, M.; Yuan, J. Error performance of physical-layer network coding in multiple-antenna TWRC. IEEE Trans. Veh. Technol. 2014, 63, 3750–3761. [Google Scholar] [CrossRef]
- Guan, W.; Liu, K.J. Performance analysis of two-way relaying with non-coherent differential modulation. IEEE Trans. Wirel. Commun. 2011, 10, 2004–2014. [Google Scholar] [CrossRef]
- Xu, W.; Yang, Z.; Ding, Z.; Wang, L.; Fan, P. Wireless information and power transfer in two-way relaying network with non-coherent differential modulation. Eurasip J. Wirel. Commun. Netw. 2015, 2015, 131. [Google Scholar] [CrossRef][Green Version]
- Fan, J.; Li, L.; Bao, T.; Zhang, H. Two-way relaying with non-coherent differential MPSK modulation. In Proceedings of the 2015 IEEE International Conference on Signal Processing, Communications and Computing, ICSPCC 2015, Ningbo, China, 19–22 September 2015; Institute of Electrical and Electronics Engineers Inc.: Ningbo, China, 2015. [Google Scholar] [CrossRef]
- Zhu, K.; Burr, A.G. Two-way non-coherent Physical-Layer Network Coded differential distributed space-time block coding. In Proceedings of the IEEE Wireless Communications and Networking Conference, WCNC, Shanghai, China, 7–10 April 2013; pp. 2416–2421. [Google Scholar] [CrossRef]
- Hron, P.; Sykora, J. Closed-Form Differential Hierarchical Demodulator of 2-source Hierarchical-MAC Channel. IEEE Commun. Lett. 2021, 25, 3704–3708. [Google Scholar] [CrossRef]
- Papoulis, A. Probability & Statistics; Prentice Hall: Englewood Cliffs, NJ, USA, 1990; p. 454. [Google Scholar]







| Event Name | b | ||||
|---|---|---|---|---|---|
| 1 | 1 | 0 | 0 | ||
| 1 | −1 | 1 | |||
| −1 | 1 | 1 | |||
| −1 | −1 | 0 | 0 |
Publisher’s Note: MDPI stays neutral with regard to jurisdictional claims in published maps and institutional affiliations. |
© 2022 by the authors. Licensee MDPI, Basel, Switzerland. This article is an open access article distributed under the terms and conditions of the Creative Commons Attribution (CC BY) license (https://creativecommons.org/licenses/by/4.0/).
Share and Cite
Lukac, J.; Sykora, J. Exact Analytical H-BER for Ad Hoc XOR H-Map Detector for Two Differentially Modulated BPSK Sources in H-MAC Channel. Mathematics 2022, 10, 903. https://doi.org/10.3390/math10060903
Lukac J, Sykora J. Exact Analytical H-BER for Ad Hoc XOR H-Map Detector for Two Differentially Modulated BPSK Sources in H-MAC Channel. Mathematics. 2022; 10(6):903. https://doi.org/10.3390/math10060903
Chicago/Turabian StyleLukac, Jozef, and Jan Sykora. 2022. "Exact Analytical H-BER for Ad Hoc XOR H-Map Detector for Two Differentially Modulated BPSK Sources in H-MAC Channel" Mathematics 10, no. 6: 903. https://doi.org/10.3390/math10060903
APA StyleLukac, J., & Sykora, J. (2022). Exact Analytical H-BER for Ad Hoc XOR H-Map Detector for Two Differentially Modulated BPSK Sources in H-MAC Channel. Mathematics, 10(6), 903. https://doi.org/10.3390/math10060903

