Fuzzy-Logic-Based Comparative Analysis of Different Maximum Power Point Tracking Controllers for Hybrid Renewal Energy Systems
Abstract
:1. Introduction
- Step 1.
- Sense the voltage and current values by the voltage and current sensors from RE sources such as PV, WT, and FC.
- Step 2.
- Use the sensed voltage and current values to design the MPPT controller.
- Step 3.
- These MPPT controllers are used to generate the best possible duty cycle to DC–DC power converters.
- Step 4.
- Respective DC–DC converters are connect with PV, WT, and FC models that produce maximum voltage to the DC link as per given input patterns.
- Step 5.
- The DC link is set to control the voltage of all renewable energy sources, which are connected in parallel with the DC link.
- Step 6.
- Finally, add all currents and make constant all voltage in the DC link due to the parallel connection of renewable energy sources.
- Step 7.
- Using all renewable energy sources with MPPT controllers generates the maximum power to the load.
2. Proposed Combinations of Renewable Energy Sources
- Modeling of different controllers for different combinations of RE sources.
- Calculate the optimum duty cycle in favor of the DC–DC power converters for achieving the MP.
- Investigations of the best combinations with MPPT controllers.
3. Proposed Different Types of MPPT Controllers
- A.
- MPPT Controller based on P&O
- A.1
- Mathematical Modeling of P&O MPPT controller
- B.
- MPPT Controller Based on FLC
- B.1
- Basic Impression of Fuzzy Differential Equations
- (a)
- A component F′(f0) ∈ Fn is present for all g > 0 satisfactorily near 0; here, F(f0 − g) ⊖ F(f0), F(f0) ⊖ F(f0 − g) and the limits are equal to F′(f0).
- (b)
- An element F′(f0) ∈ Fn is present for all g < 0 satisfactorily near 0; there are F(f0 + g) ⊖ F(f0), F(f0) ⊖ F(f0 − g), and the limits are equal to F′(f0).
- (i)
- If F is differentiated in the first form (a), after that, gα and fα are called differentiable functions.
- (ii)
- If F is differentiable in the second form (b), then fα and gα are also differentiable functions and
- (i)
- If F subsists differentiate in the first form (a), after that, F′ is an integrable if and only if F (a) ≺ F (f) for all f ∈ S.
- (ii)
- If F represents the differentiable in the second form (b), then F′ is an integrable if and only if F (f) ≺ F (a) for all f ∈ S.
- B.2
- Fuzzy Differential Equations
4. Simulation Model of Complete Systems
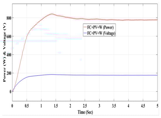
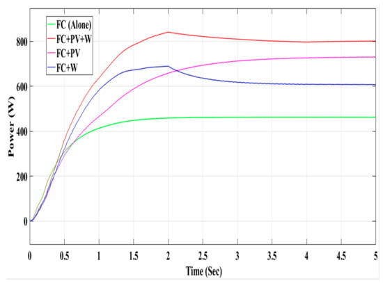
5. Results and Discussions
- (i)
- RE sources backed by an FC, similar to a storage system, and their converters connected to the DC link;
- (ii)
- Load-side converter and single-phase load; and
- (iii)
- Real time-based MPPT controller implementing the EMS. The WECS is made up of a WT with an induction generator. When the electrical power produced by solar PV–WT is a smaller amount than the load requirement, the solar PV array and wind system are controlled with MPPT.
6. Conclusions
Author Contributions
Funding
Institutional Review Board Statement
Informed Consent Statement
Data Availability Statement
Acknowledgments
Conflicts of Interest
Abbreviations
| ∆E | Change of Error | MF | Membership Function |
| BS | Battery Storage | MIPC | Multi-Input Power Converter |
| Cin | Internal Capacitance | MP | Maximum Power |
| Co | Output Capacitance | MPP | Maximum Power Point |
| CV | Constant Voltage | MPPT | Maximum Power Point Tracking |
| D | Duty Cycle | MPSO | Modified PSO |
| DFIG | Doubly-Fed Induction Generators | NN | Neural Network |
| E | Error | OP | Operating Point |
| EE | Electrical Energy | P&O | Perturb and Observe |
| FC | Fuel Cells | PEM | Proton Exchange Membrane |
| FF | Fossil fuels | PEM-FC | Polymeric Exchange Membrane Fuel Cell |
| FL | Fuzzy Logic | PSO | Particle Swarm Optimization |
| FOCV | Fractional Open-Circuit Voltage | PV | Photo-voltaic |
| Fs | Switching Frequency | RE | Renewable Energy |
| GA | Genetic Algorithm | Rin | Internal Resistance |
| H | High | S | Small |
| HC | Hill Climbing | SPV | Solar Photovoltaic |
| HRE | Hybrid Renewable Energy | UC | Ultra-Capacitor |
| HRES | Hybrid Renewable Energy Sources | V | Voltage |
| IFPSO | Improved Fuzzy Particle Swarm Optimization | W | Wind |
| INC | Incremental Conductance | WT | Wind Turbine |
| L | Inductor | WTG | Wind Turbine Generators |
| M | Medium |
References
- Rubbia, C. Today the world of tomorrow- The energy challenge. Energy Convers. Manag. 2006, 47, 2695–2697. [Google Scholar] [CrossRef]
- Zahran, M. Photovoltaic hybrid systems reliability and availability. J. Power Electron. 2003, 3, 145–150. [Google Scholar]
- Kaldellis, J.K.; Fragos, P.; Kapsali, M. Systematic experimental study of the pollution deposition impact on the energy yield of photovoltaic installations. Renew. Energy 2011, 36, 2717–2724. [Google Scholar] [CrossRef]
- Dursun, E.; Kilic, O. Comparative evaluation of different power management strategies of a stand-alone PV/Wind/PEMFC hybrid power system. Int. J. Electr. Power Energy Syst. 2012, 34, 81–89. [Google Scholar] [CrossRef]
- Khan, M.J.; Mathew, L. Different Kinds of Maximum Power Point Tracking Control Method for Photovoltaic Systems: A Review. Arch. Comput. Methods Eng. 2017, 24, 855–867. [Google Scholar] [CrossRef]
- Esram, T.; Chapman, P.L. Comparison of Photovoltaic Array Maximum Power Point Tracking Techniques. IEEE Trans. Energy Convers. 2007, 22, 439–449. [Google Scholar] [CrossRef] [Green Version]
- Jiang, J.A.; Huang, T.L.; Hsiao, Y.T.; Chen, C.H. Maximum power tracking for photovoltaic power systems. Tamkang J. Sci. Eng. 2005, 8, 147–153. [Google Scholar]
- Ahn, C.W.; Choi, J.Y.; Lee, D.-H.; An, J. Adaptive Maximum Power Point Tracking Algorithm for Photovoltaic Power Systems. IEICE Trans. Commun. 2010, 93, 1334–1337. [Google Scholar] [CrossRef]
- Safari, A.; Mekhilef, S. Simulation and Hardware Implementation of Incremental Conductance MPPT With Direct Control Method Using a Cuk Converter. IEEE Trans. Ind. Electron. 2011, 58, 1154–1161. [Google Scholar] [CrossRef]
- Kumaresan, N.; Kavikumar, J.; Ratnavelu, K. Simulink Approach to Solve Fuzzy Differential Equation under Generalized Differentiability. Int. J. Math. Comput. Sci. 2012, 6, 453–456. [Google Scholar]
- Giraud, F.; Salameh, Z. Steady-state performance of a grid-connected rooftop hybrid wind-photovoltaic power system with battery storage. IEEE Trans. Energy Convers. 2001, 16, 1–7. [Google Scholar] [CrossRef]
- Masoum, M.A.S.; Dehbonei, H.; Fuchs, E.F. Theoretical and experimental analyses of photovoltaic systems with voltage and current-based maximum power-point tracking. IEEE Trans. Energy Convers. 2002, 17, 514–522. [Google Scholar] [CrossRef] [Green Version]
- Alabedin, A.M.Z.; El-Saadany, E.F.; Salama, M.M.A. Maximum power point tracking for Photovoltaic systems using fuzzy logic and artificial neural networks. In Proceedings of the IEEE Conference on Power and Energy Society General Meeting, Detroit, MI, USA, 24–28 July 2011; pp. 1–9. [Google Scholar]
- Kamal, E.; Koutb, M.; Sobaih, A.A.; Abozalam, B. An intelligent maximum power extraction algorithm for hybrid wind–diesel-storage system. Int. J. Electr. Power Energy Syst. 2010, 32, 170–177. [Google Scholar] [CrossRef]
- Rowe, A.; Li, X. Mathematical modeling of proton exchange membrane fuel cells. J. Power Sources 2001, 102, 82–96. [Google Scholar] [CrossRef] [Green Version]
- Hasikos, J.; Sarimveis, H.; Zervas, P.L.; Markatos, N.C. Operational optimization and real-time control of fuel-cell systems. J. Power Sources 2009, 193, 258–268. [Google Scholar] [CrossRef]
- Entchev, E.; Yang, L. Application of adaptive neuro-fuzzy inference system techniques and artificial neural networks to predict solid oxide fuel cell performance in residential microgeneration installation. J. Power Sources 2007, 170, 122–129. [Google Scholar] [CrossRef]
- Koutroulis, E.; Kalaitzakis, K. Design of a maximum power tracking system for wind-energy-conversion applications. IEEE Trans. Ind. Electron. 2006, 53, 486–494. [Google Scholar] [CrossRef]
- Villalva, M.G.; Gazoli, J.R.; Filho, E.R. Comprehensive Approach to Modeling and Simulation of Photovoltaic Arrays. IEEE Trans. Power Electron. 2009, 24, 1198–1208. [Google Scholar] [CrossRef]
- Foti, S.; Testa, A.; De Caro, S.; Tornello, L.; Scelba, G.; Cacciato, M. Multi-Level Multi-Input Converter for Hybrid Renewable Energy Generators. Energies 2021, 14, 1764. [Google Scholar] [CrossRef]
- Jahannoush, M.; Nowdeh, S.A. Optimal designing and management of a stand-alone hybrid energy system using meta-heuristic improved sine–cosine algorithm for Recreational Center, case study for Iran country. Appl. Soft Comput. 2020, 96, 106611. [Google Scholar] [CrossRef]
- Alabedin, A.Z.; El-Saadany, E.F.; Salama, M.M.A. Maximum Power Extraction For Hybrid Solar Wind Renewable Energy System Based on Swarm Optimization. Int. J. Renew. Energy Res. 2021, 11, 1215–1222. [Google Scholar]
- Ganji, E.; Moghaddam, R.K.; Toloui, A.; Taghizadeh, M. A new frequency control approach for isolated WT/FC/UC power system using improved fuzzy PSO & maximum power point tracking of the WT system. J. Intell. Fuzzy Syst. 2014, 27, 1963–1976. [Google Scholar]
- Sharma, M.K.; Soni, S.U. Performance Analysis of a Standalone PV-Wind-Diesel Hybrid System using ANFIS based Controller. Int. J. Comput. Appl. 2016, 147, 18–23. [Google Scholar]
- Ali, N. An ANFIS Based Advanced MPPT Control of a Wind-Solar Hybrid Power Generation System. Int. Rev. Model. Simul. 2014, 7, 638–643. [Google Scholar]
- Kumar, P.S.; Chandrasena, R.P.S.; Ramu, V.; Srinivas, G.N.; Babu, K.V.S.M. Energy Management System for Small Scale Hybrid Wind Solar Battery Based Microgrid. IEEE Access 2020, 8, 8336–8345. [Google Scholar] [CrossRef]
- Doncy, J.K.; Davis, S. Integrated flyback converter with MPPT control for photovoltaic applications. Int. J. Power Electron. Controll. Convert. 2018, 4, 33–40. [Google Scholar]
- Nguyen, X.H. Matlab/Simulink Based Modeling to Study Effect of Partial Shadow on Solar Photovoltaic Array. Environ. Syst. Res. 2015, 4, 20. [Google Scholar] [CrossRef]
- Khan, M.J.; Mathew, L. Maximum Power Point Tracking Control Method for a Hybrid PV/WT/FC Renewable Energy System. Int. J. Control Theory Appl. 2017, 10, 411–424. [Google Scholar]
- Karanjkar, D.S.; Chatterji, S.; Kumar, A.; Shimi, S. Fuzzy adaptive proportional-integral-derivative controller with dynamic set-point adjustment for maximum power point tracking in solar photovoltaic system. Syst. Sci. Control Eng. 2014, 2, 562–582. [Google Scholar] [CrossRef] [Green Version]
- Valenciaga, F.; Puleston, P. Supervisor Control for a Stand-Alone Hybrid Generation System Using Wind and Photovoltaic Energy. IEEE Trans. Energy Convers. 2005, 20, 398–405. [Google Scholar] [CrossRef]
- Khan, M.J.; Mathew, L. Fuzzy logic controller-based MPPT for hybrid photo-voltaic/wind/fuel cell power system. Neural Comput. Appl. 2019, 31, 6331–6344. [Google Scholar] [CrossRef]
- Malik, H.; Yadav, A.K. A novel hybrid approach based on relief algorithm and fuzzy reinforcement learning approach for predicting wind speed. Sustain. Energy Technol. Assess. 2021, 43, 100920. [Google Scholar] [CrossRef]
- Malik, H.; Yadav, A.K.; Mishra, S.; Mehto, T. Application of neuro-fuzzy scheme to investigate the winding insulation paper deterioration in oil-immersed power transformer. Int. J. Electr. Power Energy Syst. 2013, 53, 256–271. [Google Scholar] [CrossRef]
- Kukker, A.; Sharma, R.; Malik, H. An Intelligent Genetic Fuzzy Classifier for Transformer Faults. IETE J. Res. 2020, 66, 1–12. [Google Scholar] [CrossRef]
- Malik, H.; Sharma, R.; Mishra, S. Fuzzy reinforcement learning based intelligent classifier for power transformer faults. ISA Trans. 2020, 101, 390–398. [Google Scholar] [CrossRef]
- Vigya; Mahto, T.; Malik, H.; Mukherjee, V.; Alotaibi, M.A.; Almutairi, A. Renewable generation based hybrid power system control using fractional order-fuzzy controller. Energy Rep. 2021, 7, 641–653. [Google Scholar] [CrossRef]
- Malik, H.; Almutairic, A. Modified Fuzzy-Q-Learning (MFQL)-Based Mechanical Fault Diagnosis for Direct-Drive Wind Turbines Using Electrical Signals. IEEE Access 2021, 9, 52569–52579. [Google Scholar] [CrossRef]
- Mahto, T.; Kumar, R.; Malik, H.; Hussain, S.; Ustun, T. Fractional Order Fuzzy Based Virtual Inertia Controller Design for Frequency Stability in Isolated Hybrid Power Systems. Energies 2021, 14, 1634. [Google Scholar] [CrossRef]
- Navin, N.K.; Sharma, R.; Malik, H. Solving nonconvex economic thermal power dispatch problem with multiple fuel system and valve point loading effect using fuzzy reinforcement learning. J. Intell. Fuzzy Syst. 2018, 35, 4921–4931. [Google Scholar] [CrossRef]


































| ∆E | S | M | H | |
|---|---|---|---|---|
| E | ||||
| S | S | M | M | |
| M | M | H | H | |
| H | M | H | H | |
| S. No. | The Parameter Used for FC Model | Value |
|---|---|---|
| 1 | Voltage at “0” A | 65 V |
| 2 | Voltage at “1” A | 58 V |
| 3 | Nominal OP Voltage | 28.8 V |
| 4 | Nominal OP Current | 35 A |
| 5 | Maximum OP Current | 45 A |
| 6 | Nominal and MP | 1000 W |
| 7 | The Resistance of FC | 0.63 Ω |
| 8 | One Cell Voltage | 1.19 V |
| 9 | Air Flow Rate | 2400 lpm |
| 10 | Temperature | 303 K |
| 11 | Flow Rate of Fuel | 31.1 l0pm |
| 12 | Supply Fuel by Pressure | 0.50 bar |
| 13 | Supply Air by Pressure | 1.0 bar |
| 14 | Composition of Fuel (Hydrogen) | 99.95% |
| 15 | Composition of Oxidant (Oxygen) | 21% |
| S. No. | The parameter used for Boost Converter | Value |
| 01 | Input Resistance (Rin) | 0.5 Ohm |
| 02 | Input Capacitance (Cin) | 470 µF |
| 03 | Inductor (L) | 30 mH |
| 04 | Output Capacitor (C0) | 20 µF |
| 05 | Switching Frequency (fs) | 100 kHz |
| 06 | Input Voltage (V) | 28.8 V |
| 07 | Duty Ratio (D) | Varies |
| 08 | Load Resistance | 40 Ohm |
| Sr. No. | The Parameter Used for PV Model | Value |
|---|---|---|
| 01 | Nominal Voltage (Open Circuit Voltage) | 44 Volts |
| 02 | Nominal Current (Short Circuit Current) | 8.1 Amp. |
| 03 | Voltage at MPP Vmp (V) | 34.4 Volts |
| 04 | Current at MPP Imp (A) | 7.8 Amp. |
| 05 | PV Current (Nominal) (Ipv,n) | 2.25 Amp. |
| 06 | Solar Radiation (Nominal) (Gn) | 800 Watt/sq.m. |
| 07 | Temperature (Nominal) (Tn) | 293.15 Kelvin |
| 08 | Current Temperature Coefficient ISC (KI) | 0.025 (%/deg. Celsius) |
| 09 | Voltage Temperature Coefficient VOC (KV) | −0.3583 (%/deg. Celsius) |
| 10 | Diode Saturation Current I0 (A) | 2.467 × 10−10 |
| 11 | Diode Ideality Factor (A) | 0.982 |
| 12 | Electron Charge (Q) | 1.602 × 10−19 C |
| 13 | Boltzmann’s Constant (K) | 1.38 × 10−23 |
| 14 | No. of series-connected cells in each module (NS) | 72 |
| 15 | No. of the Series-Connected Module (NSS) | 2 |
| 16 | No. of the Parallel-Connected Module (NPP) | 1 |
| 17 | Series Resistance (Rs) | 0.523 Ohm |
| 18 | Parallel Resistance (Rp) | 60,305.11 Ohm |
| Sr. No. | The Parameter used for Boost Converter | Value |
| 01 | Input Resistance (Rin, Ω) | 1 Ohm |
| 02 | Input Capacitance (Cin, μF) | 2000 µF |
| 03 | Inductor (L, mH) | 10 mH |
| 04 | Output Capacitor (C0, μF) | 2000 µF |
| 05 | Switching Frequency (fs, kHz) | 100 kHz |
| 06 | Input Voltage (V) | 88 V |
| 07 | Duty Ratio (D) | Varies |
| 08 | Load Resistance (Ω) | 40 Ohm |
| Sr. No. | The Parameter Used for WTIG Model | Value |
|---|---|---|
| 01 | Nominal WT Output Power | 1.2 × 103 Watt |
| 02 | Base Wind Speed | 12 m/s |
| 03 | Base Rotation Speed (pu of Base Generator Speed) | 1 |
| 04 | Maximum Pitch Angle | 45 deg. |
| 05 | Maximum Rate of Change of Pitch Angle | 2 (deg./s) |
| 06 | Pitch Angle Controller Gain (Kp) | 5 |
| 07 | Pitch Angle Controller Gain (Ki) | 25 |
| 08 | Nominal Power | 1.2 × 103/0.9 (VA) |
| 09 | Line-to-Line Voltage | 415 (Vrms) |
| 10 | Frequency | 50 Hz |
| 11 | Pairs of Poles | 4 |
| 12 | Inertia Constant | 5.04 |
| 13 | Friction Factor | 0.01 |
| 14 | Stator (RS, Llr) | [0.005, 0.125] |
| 15 | Rotor (Rr, Llr) | [0.004, 0.18] |
| Sr. No. | The Parameter Used for Buck Converter | Value |
| 01 | Input Resistance (Rin) | 0.03 Ohm |
| 02 | Input Capacitance (Cin) | 2000 µF |
| 03 | Inductor (L) Value | 10 mH |
| 04 | Capacitor (C0) | 2000 µF |
| 05 | Frequency (fs) | 100 kHz |
| 06 | Voltage (Vin) | 300 V |
| 07 | Duty Ratio (D) | Varies |
| 08 | Load (Resistance) | 40 Ohms |
| Sr. No | Combinations | Power (W) | Voltage (V) | MPPT Controller |
|---|---|---|---|---|
| 1 | FC Only | 399 W | 125 V | P&O-based Controller |
| 2 | FC–PV | 565 W | 150 V | |
| 3 | FC–W | 652 W | 161 V | |
| 4 | FC–PV–W | 775 W | 175 V | |
| 5 | FC Only | 460 W | 135 V | FL-based Controller |
| 6 | FC–PV | 728 W | 170 V | |
| 7 | FC–W | 610 W | 155 V | |
| 8 | FC–PV–W | 803 W | 179 V |
Publisher’s Note: MDPI stays neutral with regard to jurisdictional claims in published maps and institutional affiliations. |
© 2022 by the authors. Licensee MDPI, Basel, Switzerland. This article is an open access article distributed under the terms and conditions of the Creative Commons Attribution (CC BY) license (https://creativecommons.org/licenses/by/4.0/).
Share and Cite
Khan, M.J.; Mathew, L.; Alotaibi, M.A.; Malik, H.; Nassar, M.E. Fuzzy-Logic-Based Comparative Analysis of Different Maximum Power Point Tracking Controllers for Hybrid Renewal Energy Systems. Mathematics 2022, 10, 529. https://doi.org/10.3390/math10030529
Khan MJ, Mathew L, Alotaibi MA, Malik H, Nassar ME. Fuzzy-Logic-Based Comparative Analysis of Different Maximum Power Point Tracking Controllers for Hybrid Renewal Energy Systems. Mathematics. 2022; 10(3):529. https://doi.org/10.3390/math10030529
Chicago/Turabian StyleKhan, Mohammad Junaid, Lini Mathew, Majed A. Alotaibi, Hasmat Malik, and Mohammed E. Nassar. 2022. "Fuzzy-Logic-Based Comparative Analysis of Different Maximum Power Point Tracking Controllers for Hybrid Renewal Energy Systems" Mathematics 10, no. 3: 529. https://doi.org/10.3390/math10030529
APA StyleKhan, M. J., Mathew, L., Alotaibi, M. A., Malik, H., & Nassar, M. E. (2022). Fuzzy-Logic-Based Comparative Analysis of Different Maximum Power Point Tracking Controllers for Hybrid Renewal Energy Systems. Mathematics, 10(3), 529. https://doi.org/10.3390/math10030529

