A Quasi-3D Higher-Order Theory for Bending of FG Nanoplates Embedded in an Elastic Medium in a Thermal Environment
Abstract
1. Introduction
2. Geometrical Formulation
2.1. Nonlinear Thermal Conditions
2.2. Displacements and Strains
2.3. Constitutive Equations
2.4. Governing Equations
3. Closed-Form Solution
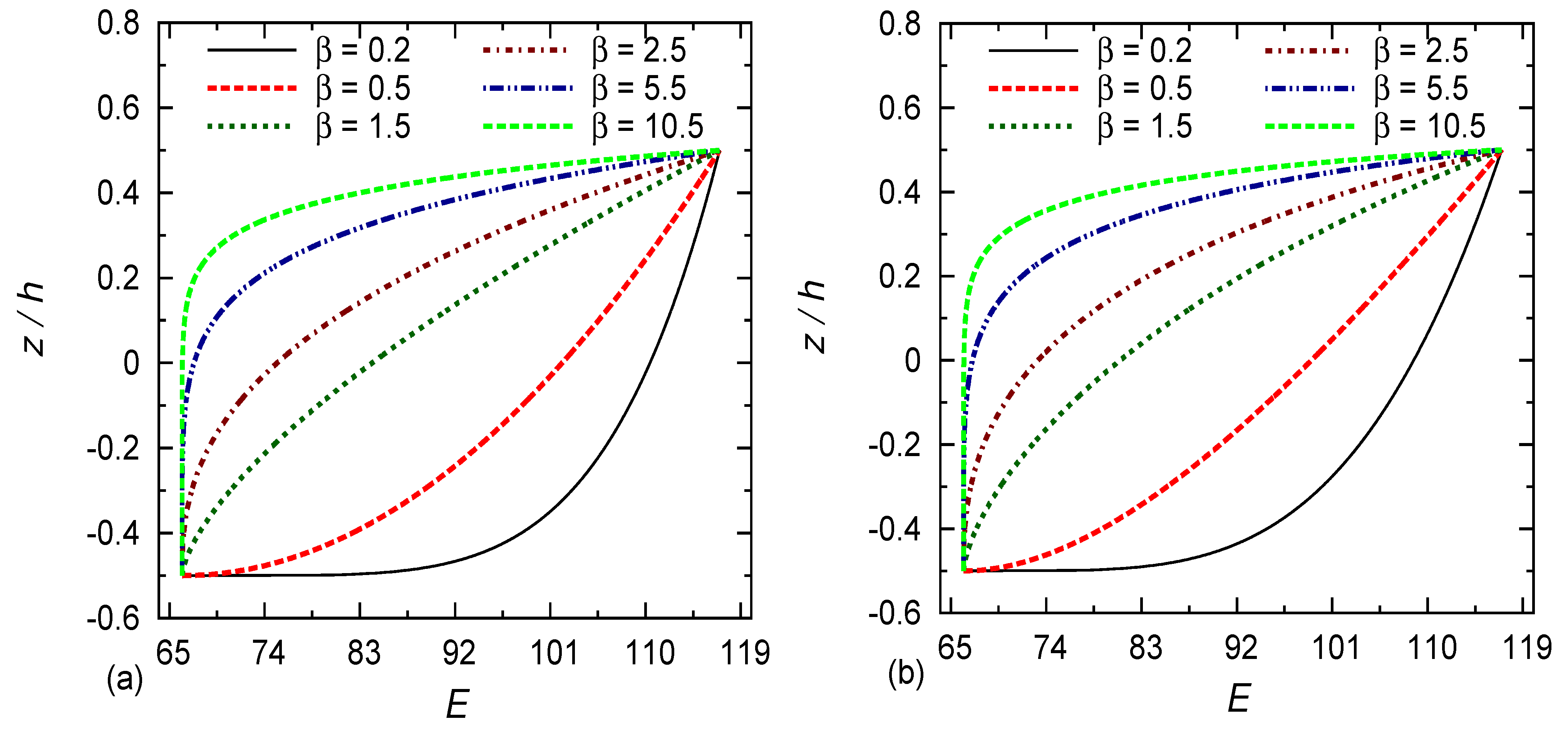
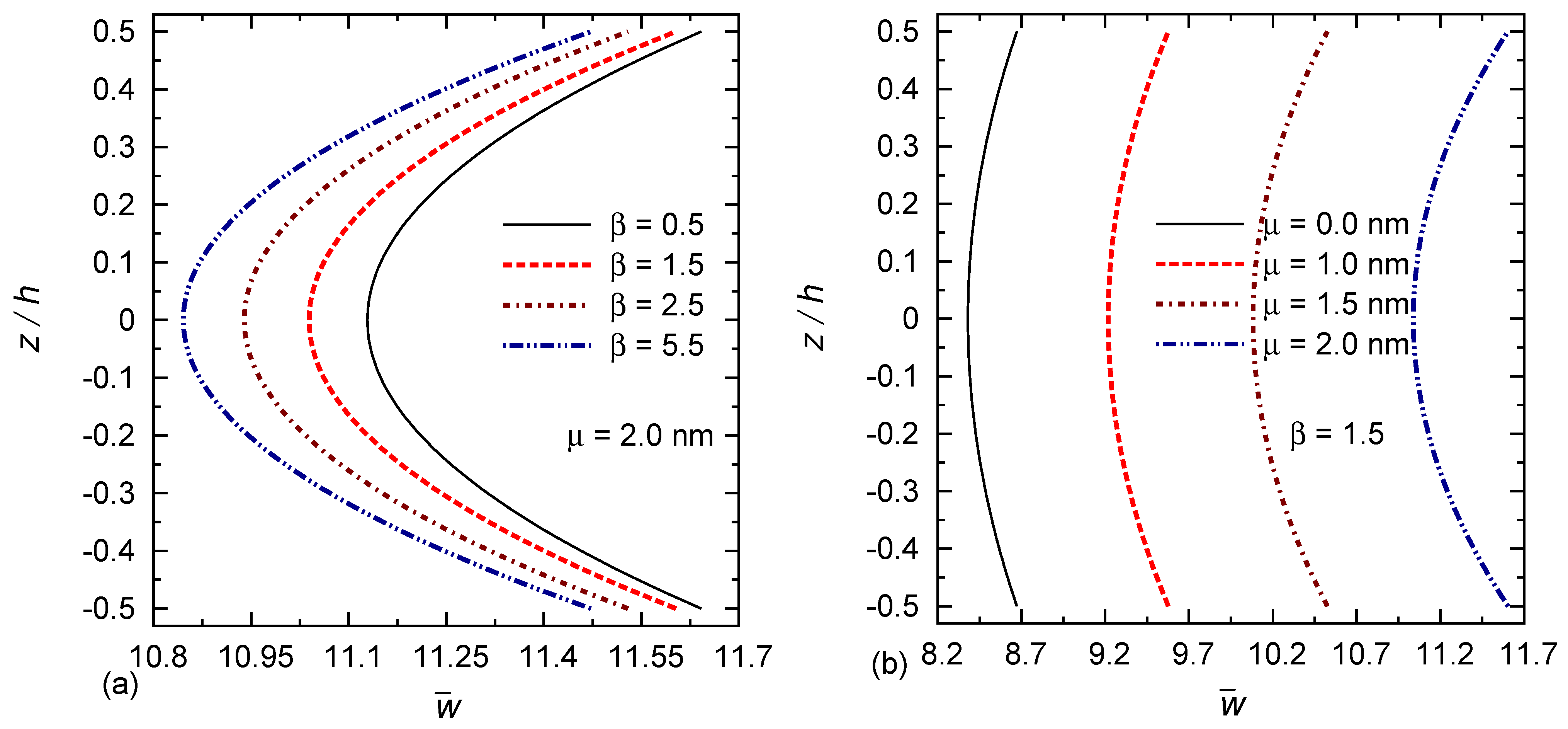
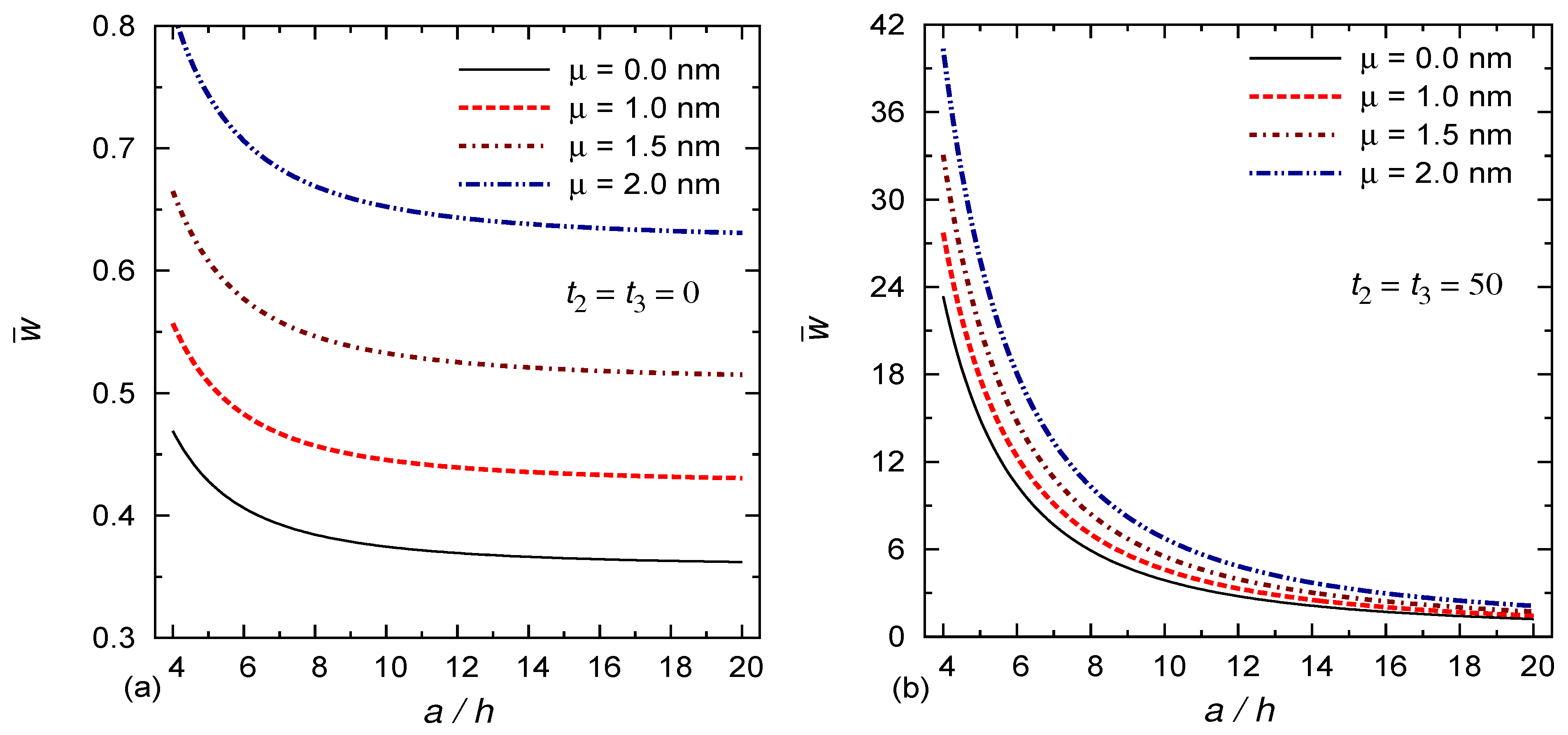
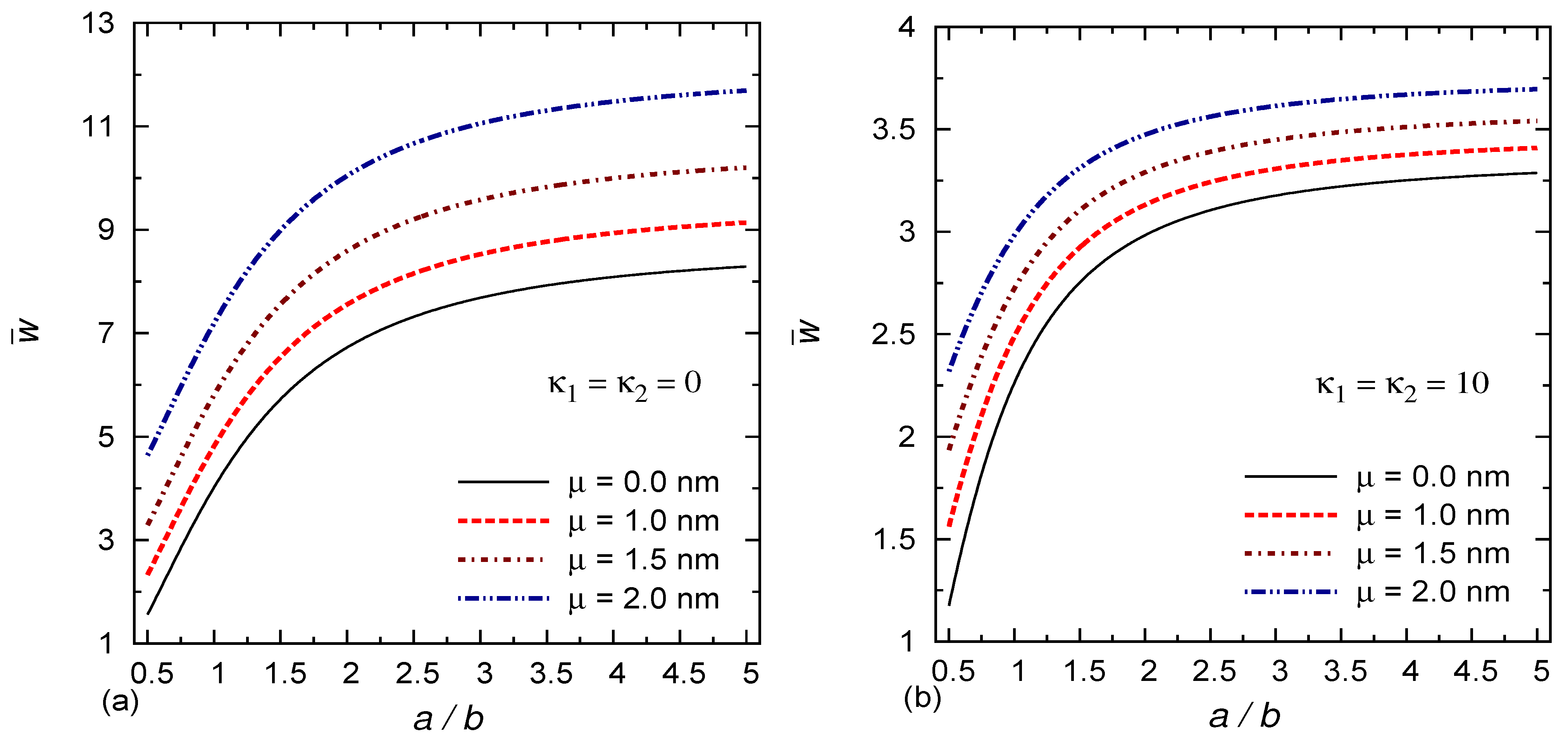
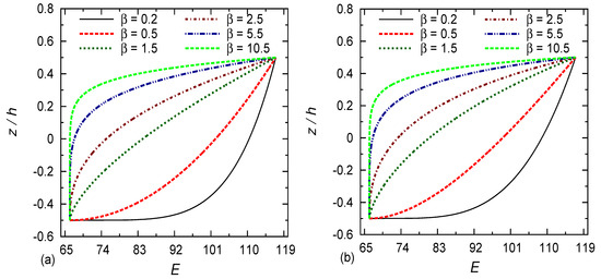
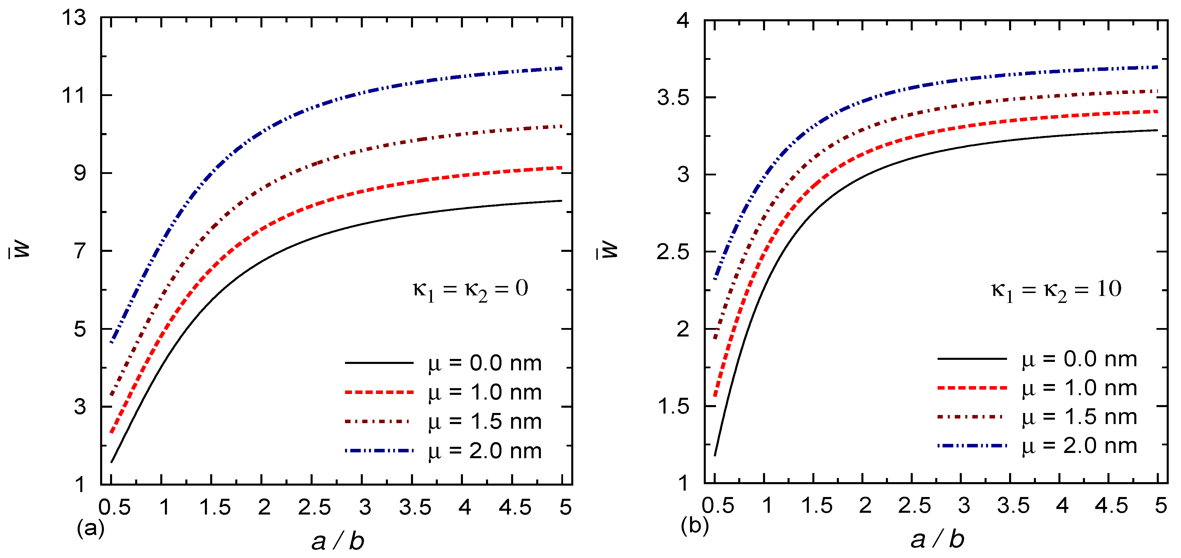
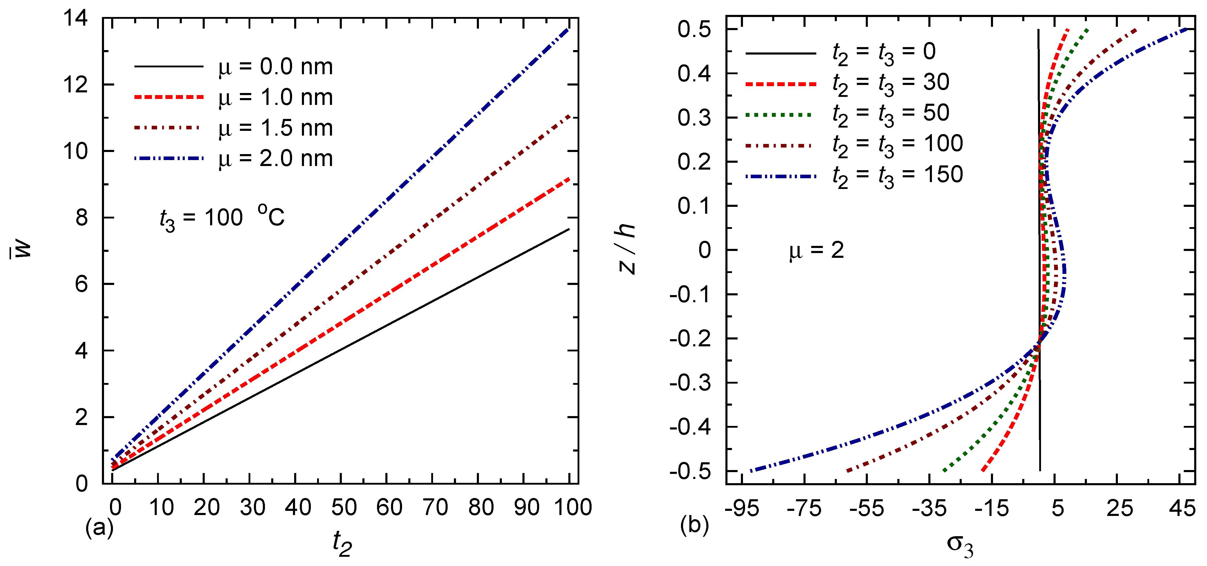
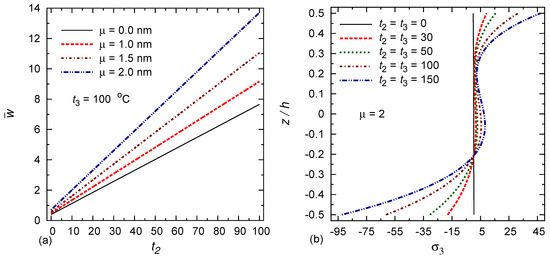
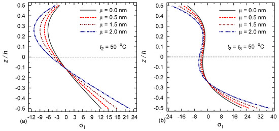
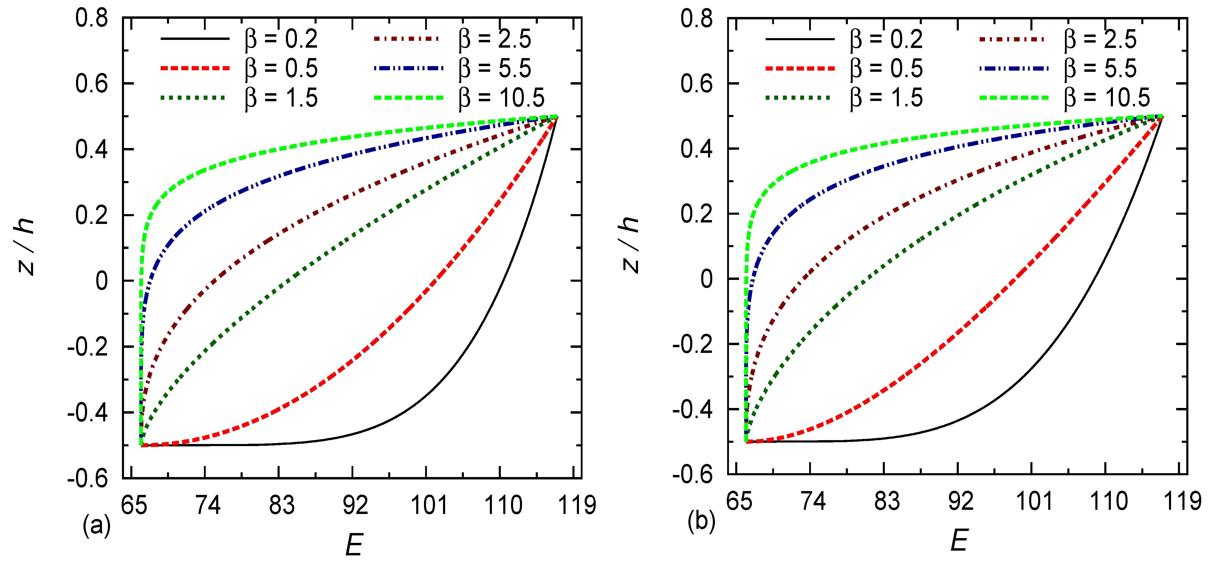
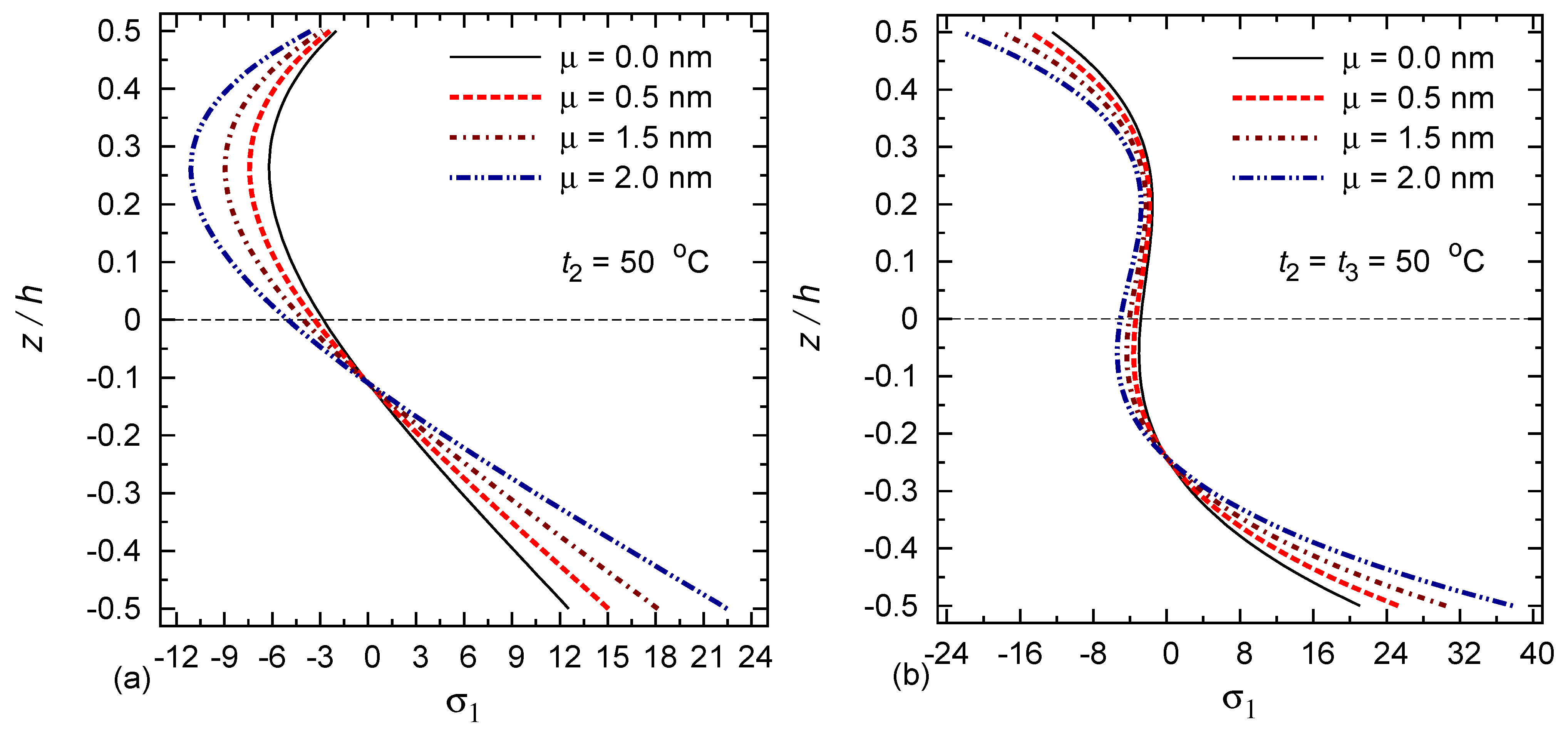
4. Numerical Results
4.1. Comparison Analyses
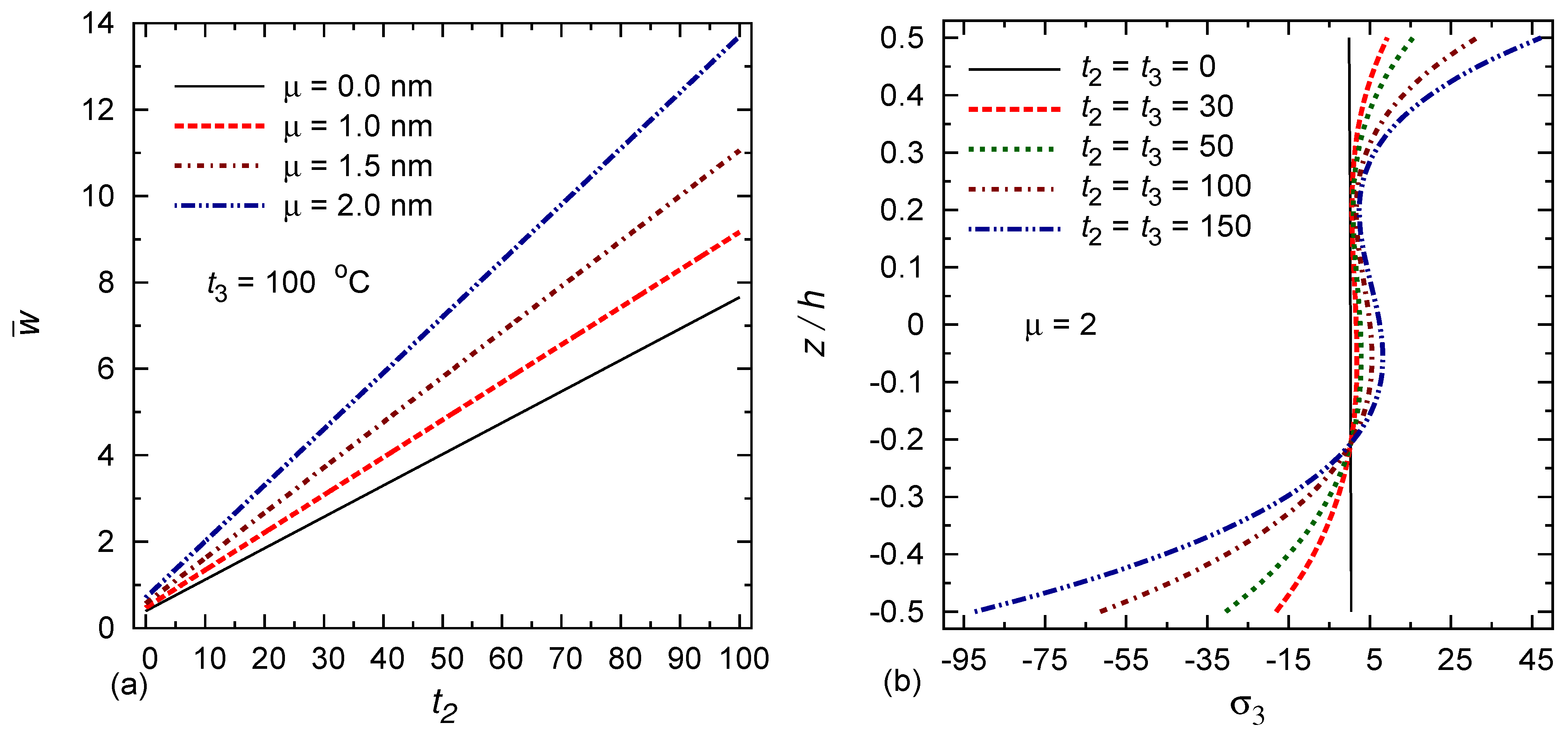
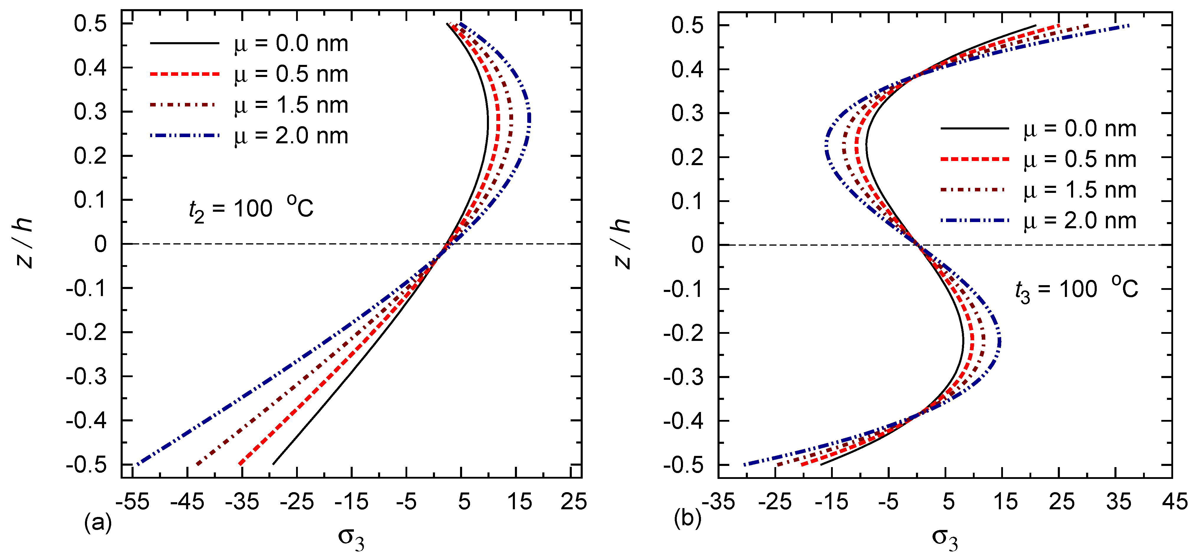
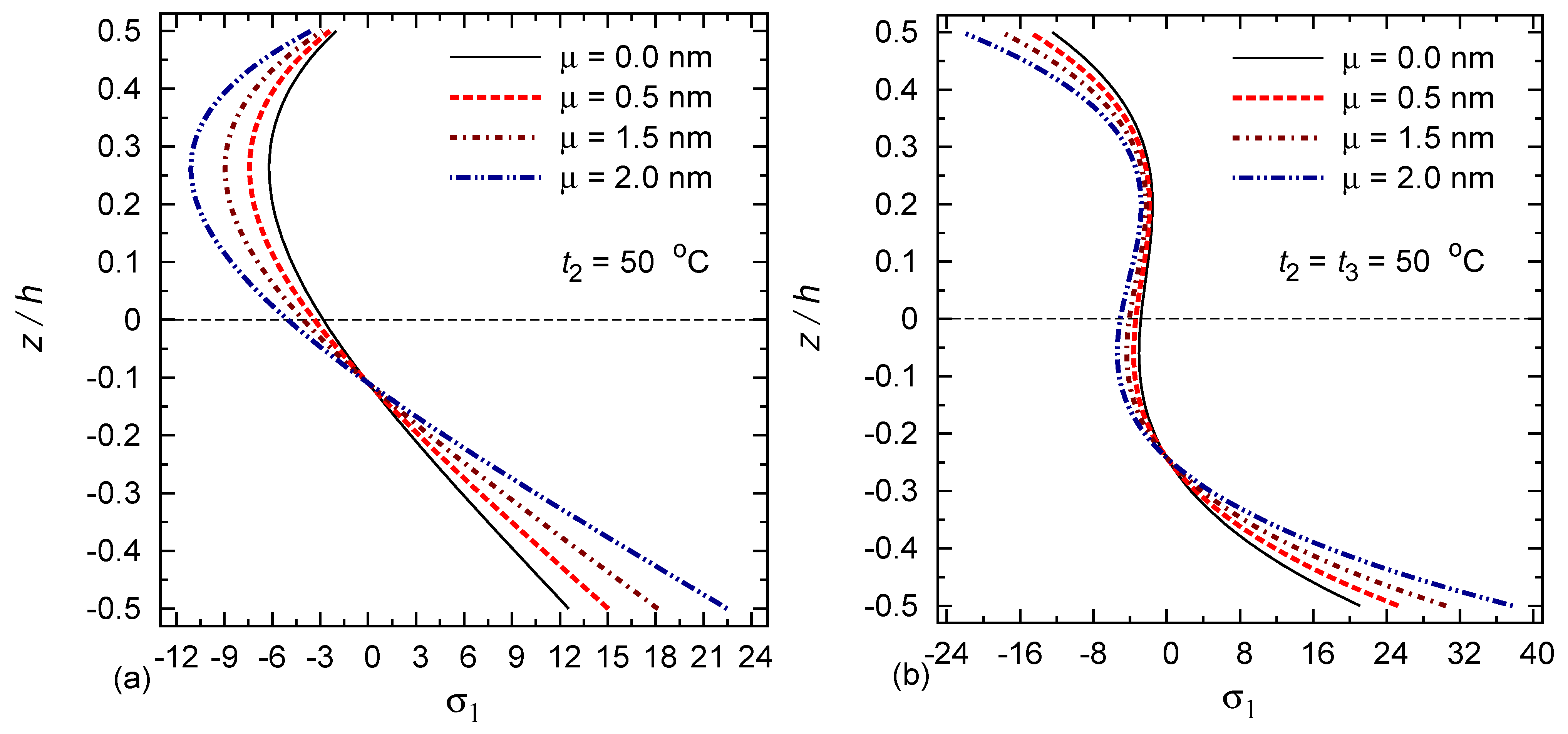
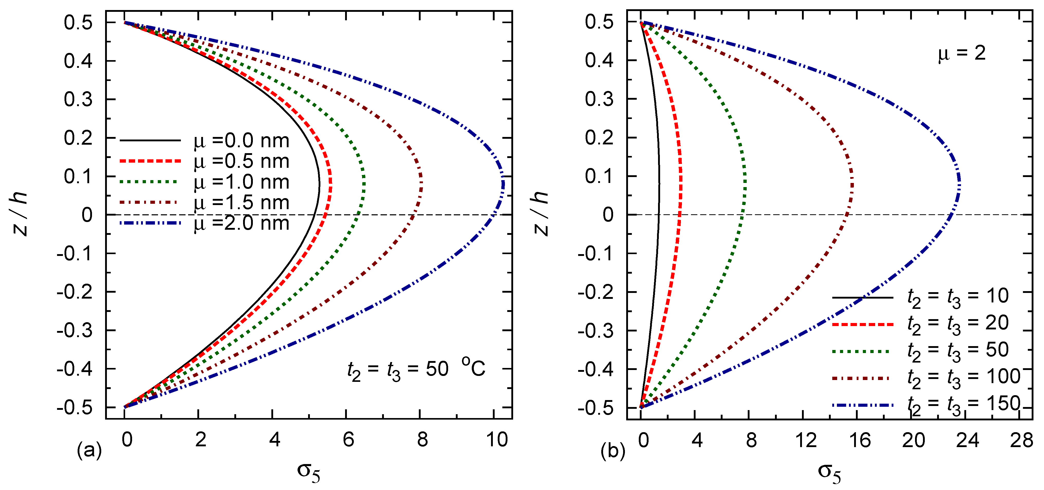
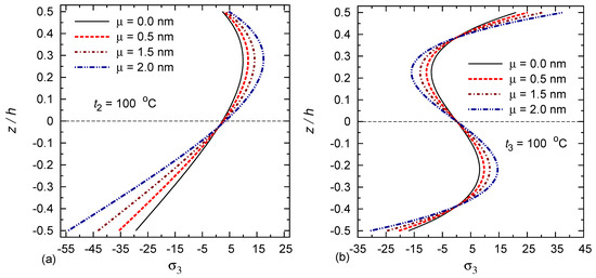
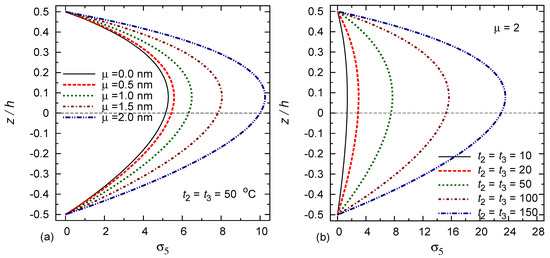
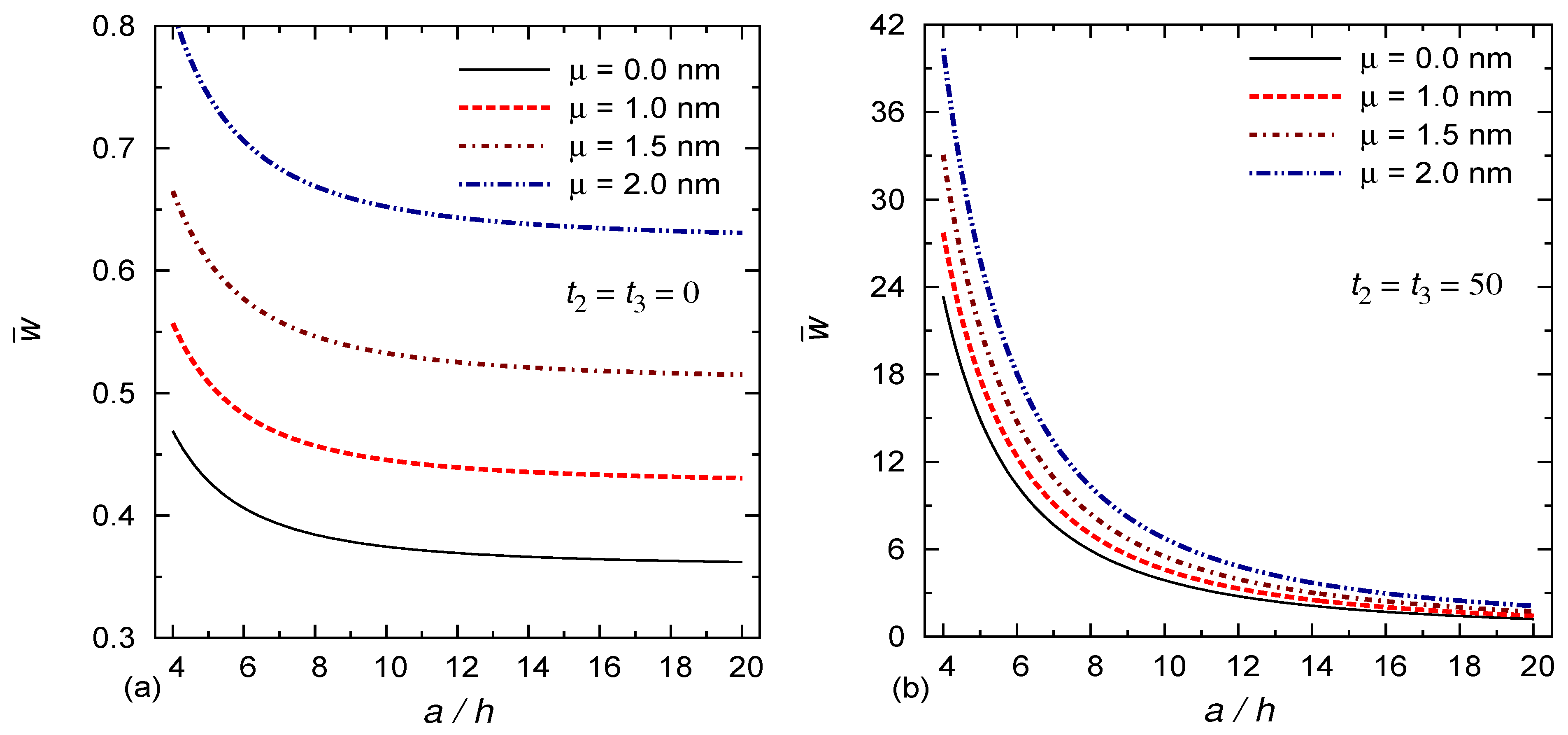
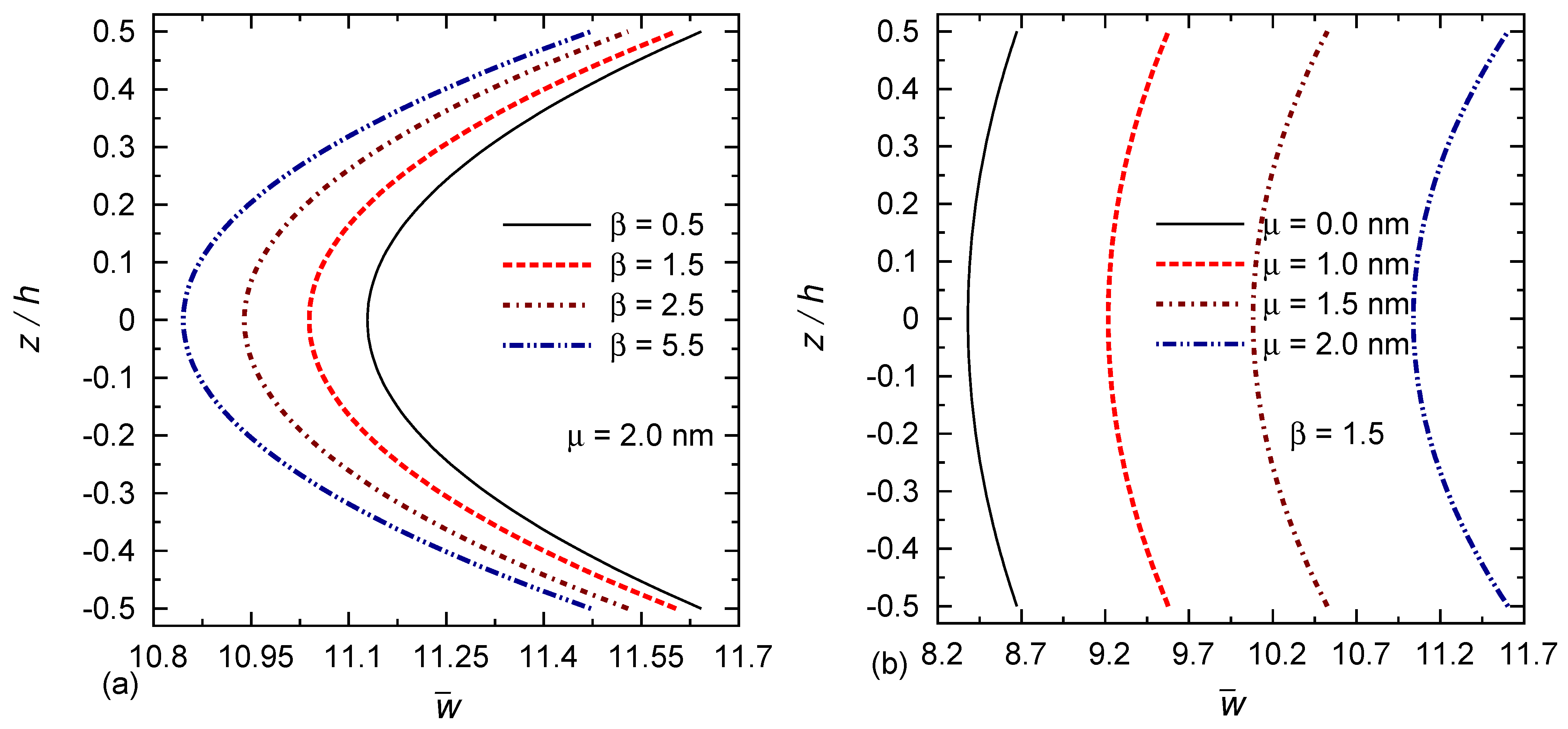
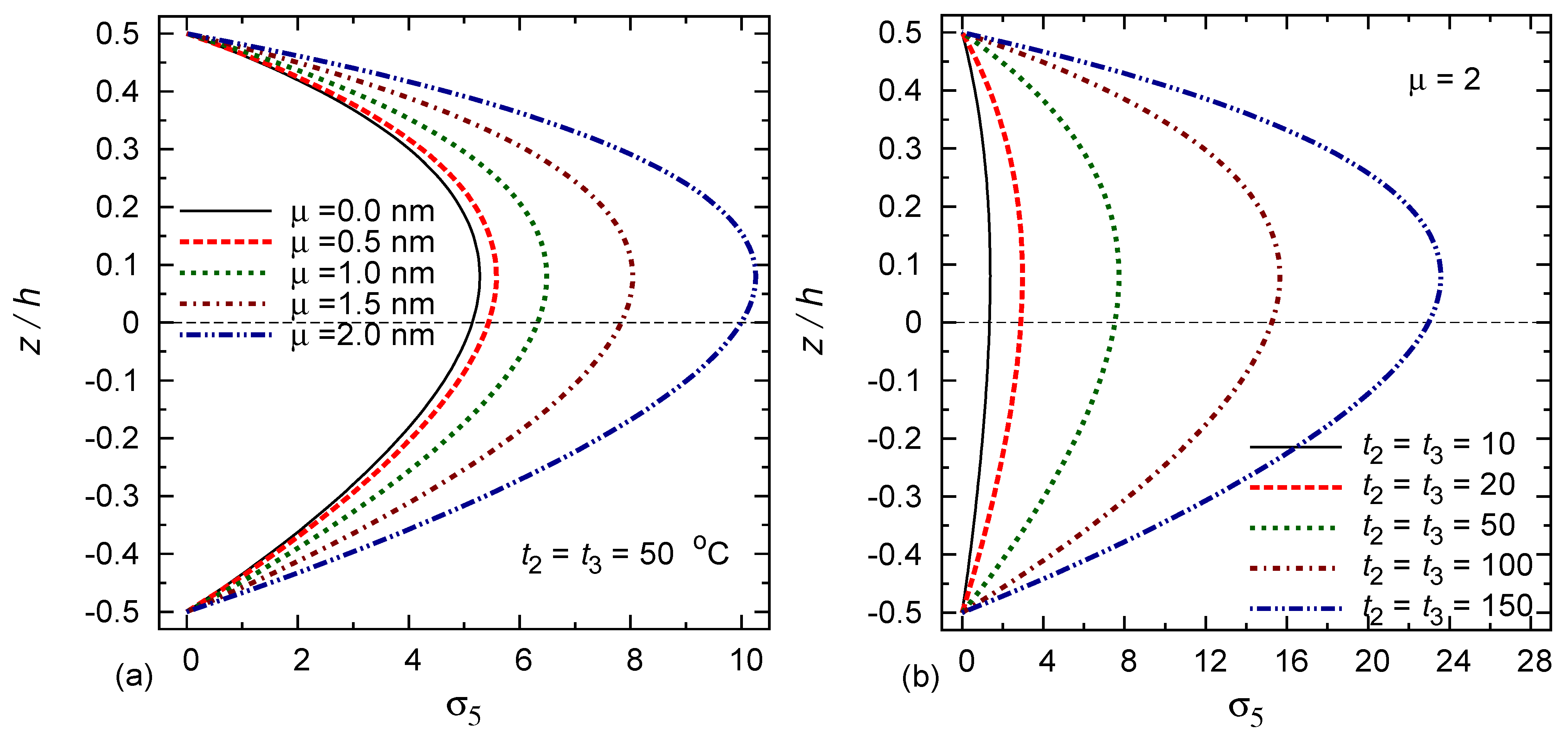
4.2. Benchmark Results
5. Conclusions
Author Contributions
Funding
Institutional Review Board Statement
Informed Consent Statement
Data Availability Statement
Acknowledgments
Conflicts of Interest
Appendix A
Appendix B
Appendix C
References
- Aifantis, E.C. Strain gradient interpretation of size effects. Int. J. Fract. 1999, 95, 299–314. [Google Scholar] [CrossRef]
- Reddy, J.N. Nonlocal theories for bending, buckling and vibration of beams. Int. J. Eng. Sci. 2007, 45, 288–307. [Google Scholar] [CrossRef]
- Hashemi, S.H.; Samaei, A.T. Buckling analysis of micro/nanoscale plates via nonlocal elasticity theory. Physica E 2011, 43, 1400–1404. [Google Scholar] [CrossRef]
- Zenkour, A.M.; Sobhy, M. Nonlocal elasticity theory for thermal buckling of nanoplates lying on Winkler-Pasternak elastic substrate medium. Physica E 2013, 53, 251–259. [Google Scholar] [CrossRef]
- Sobhy, M. Thermomechanical bending and free vibration of single-layered graphene sheets embedded in an elastic medium. Physica E 2014, 56, 400–409. [Google Scholar] [CrossRef]
- Yang, B.; Ding, H.J.; Chen, W.Q. Elasticity solutions for functionally graded rectangular plates with two opposite edges simply-supported. Appl. Math. Model. 2012, 36, 488–503. [Google Scholar] [CrossRef]
- Birman, V.; Byrd, L.W. Modeling and analysis of functionally graded materials and structures. Appl. Mech. Rev. 2007, 60, 195–216. [Google Scholar] [CrossRef]
- Mantari, J.L.; Guedes Soares, C. A novel higher-order shear deformation theory with stretching effect for functionally graded plates. Compos. Part B Eng. 2013, 45, 268–2681. [Google Scholar] [CrossRef]
- Wang, Z.X.; Shen, H.-S. Nonlinear dynamic response of sandwich plates with FGM face sheets resting on elastic foundations in thermal environments. Ocean Eng. 2013, 57, 99–110. [Google Scholar] [CrossRef]
- Sofiyev, A.H. Thermal buckling of FGM shells resting on a two parameter elastic foundation. Thin-Walled Struct. 2011, 49, 1304–1311. [Google Scholar] [CrossRef]
- Duc, N.D.; Tung, H.V. Mechanical and thermal postbuckling of higher-order shear deformable functionally graded plates on elastic foundations. Compos. Struct. 2011, 93, 2874–2881. [Google Scholar] [CrossRef]
- Kasaeian, A.B.; Vatan, S.N.; Daneshmand, S. FGM materials and finding an appropriate model for the thermal conductivity. Procedia Eng. 2011, 14, 3199–3204. [Google Scholar] [CrossRef][Green Version]
- Sepahi, O.; Forouzan, M.R.; Malekzadeh, P. Large deflection analysis of thermo-mechanical loaded annular FGM plates on nonlinear elastic foundation via DQM. Compos. Struct. 2010, 92, 2369–2378. [Google Scholar] [CrossRef]
- Hashemi, S.H.; Bedroud, M.; Nazemnezhad, R. An exact analytical solution for free vibration of functionally graded circular/annular Mindlin nanoplates via nonlocal elasticity. Compos. Struct. 2013, 103, 108–118. [Google Scholar] [CrossRef]
- Nazemnezhad, R.; Hashemi, S.H. Nonlocal nonlinear free vibration of functionally graded nanobeams. Compos. Struct. 2014, 110, 192–199. [Google Scholar] [CrossRef]
- Hashemi, S.H.; Nazemnezhad, R.; Bedroud, M. Surface effects on nonlinear free vibration of functionally graded nanobeams using nonlocal elasticity. Appl. Math. Model. 2014, 38, 3538–3553. [Google Scholar] [CrossRef]
- Hashemi, S.H.; Nahas, I.; Fakher, M.; Nazemnezhad, R. Surface effects on free vibration of piezoelectric functionally graded nanobeams using nonlocal elasticity. Acta Mech. 2014, 225, 1555–1564. [Google Scholar] [CrossRef]
- Thai, H.T.; Vo, T.P. A nonlocal sinusoidal shear deformation beam theory with application to bending, buckling, and vibration of nanobeams. Int. J. Eng. Sci. 2012, 54, 58–66. [Google Scholar] [CrossRef]
- Eringen, A.C.; Edelen, D.G.B. On nonlocal elasticity. Int. J. Eng. Sci. 1972, 10, 233–248. [Google Scholar] [CrossRef]
- Zenkour, A.M.; Allam, M.N.M.; Radwan, A.F. Bending of cross-ply laminated plates resting on elastic foundations under thermo-mechanical loading. Int. J. Mech. Mater. Des. 2013, 9, 239–251. [Google Scholar] [CrossRef]
- Zenkour, A.M.; Allam, M.N.M.; Radwan, A.F. Effects of hygrothermal conditions on cross-ply laminated plates resting on elastic foundations. Arch. Civ. Mech. Eng. 2014, 14, 144–159. [Google Scholar] [CrossRef]
- Winkler, E. Die Lehre von der Elastizität and Festigkeit; Dominicus: Prague, Czech Republic, 1867. [Google Scholar]
- Zenkour, A.M.; Allam, M.N.M.; Shaker, M.O.; Radwan, A.F. On the simple and mixed first-order theories for plates resting on elastic foundations. Acta Mech. 2011, 220, 33–46. [Google Scholar] [CrossRef]
- Zenkour, A.M.; Radwan, A.F. On the simple and mixed first-order theories for functionally graded plates resting on elastic foundations. Meccanica 2013, 48, 1501–1516. [Google Scholar] [CrossRef]
- Thai, H.-T.; Choi, D.-H. A refined plate theory for functionally graded plates resting on elastic foundation. Compos. Sci. Technol. 2011, 71, 1850–1858. [Google Scholar] [CrossRef]
- Thai, H.-T.; Choi, D.-H. A simple refined theory for bending, buckling, and vibration of thick plates resting on elastic foundation. Int. J. Mech. Sci. 2013, 73, 40–52. [Google Scholar] [CrossRef]
- Yas, M.H.; Tahouneh, V. 3-D Free vibration analysis of thick functionally graded annular plates on Pasternak elastic foundation via differential quadrature method (DQM). Acta Mech. 2012, 223, 43–62. [Google Scholar] [CrossRef]
- Shen, H.-S. Nonlinear analysis of simply-supported Reissner-Mindlin plates subjected to lateral pressure and thermal loading and resting on two-parameter elastic foundations. Eng. Struct. 2000, 23, 1481–1493. [Google Scholar] [CrossRef]
- Zenkour, A.M. Thermo-electrical buckling response of actuated functionally graded piezoelectric nanoscale plates. Results Phys. 2019, 13, 102192. [Google Scholar] [CrossRef]
- Alzahrani, E.O.; Zenkour, A.M.; Sobhy, M. Small scale effect on hygro-thermomechanical bending of nanoplates embedded in an elastic medium. Compos. Struct. 2013, 105, 163–172. [Google Scholar] [CrossRef]
- Zenkour, A.M.; Sobhy, M. Nonlocal piezo-hygrothermal analysis for vibration characteristics of a piezoelectric Kelvin-Voigt viscoelastic nanoplate embedded in a viscoelastic medium. Acta Mech. 2018, 229, 3–19. [Google Scholar] [CrossRef]
- Zenkour, A.M. Bending of FGM plates by a simplified four-unknown shear and normal deformations theory. Int. J. Appl. Mech. 2013, 5, 1350020. [Google Scholar] [CrossRef]
- Zenkour, A.M. A simple four-unknown refined theory for bending analysis of functionally graded plates. Appl. Math. Model. 2013, 37, 9041–9051. [Google Scholar] [CrossRef]
- Zenkour, A.M. Bending analysis of functionally graded sandwich plates using a simple four-unknown shear and normal deformations theory. J. Sandw. Struct. Mater. 2013, 15, 629–656. [Google Scholar] [CrossRef]
- Al Khateeb, S.A.; Zenkour, A.M. A refined four-unknown plate theory for advanced plates resting on elastic foundations in hygrothermal environment. Compos. Struct. 2014, 111, 240–248. [Google Scholar] [CrossRef]
- Zenkour, A.M. Thermal bending of layered composite plates resting on elastic foundations using four-unkown shear and normal deformations theory. Compos. Struct. 2015, 122, 260–270. [Google Scholar] [CrossRef]
- Zenkour, A.M. A simplified four-unknown shear and normal deformations theory for bidirectional laminated plates. Sadhana Acad. Proc. Eng. Sci. 2015, 40, 215–234. [Google Scholar] [CrossRef][Green Version]
- Thai, C.H.; Zenkour, A.M.; Abdel Wahab, M.; Thai, H.N. A simple four-unknown shear and normal deformations theory for functionally graded isotropic and sandwich plates based on isogeometric analysis. Compos. Struct. 2016, 139, 77–95. [Google Scholar] [CrossRef]
- Eringen, A.C. On differential-equations of nonlocal elasticity and solutions of screw dislocation and surface-waves. J. Appl. Phys. 1983, 54, 4703–4710. [Google Scholar] [CrossRef]
- Eringen, A.C. Nonlocal Continuum Field Theories; Springer: New York, NY, USA, 2002. [Google Scholar]
- Eringen, A.C. Theory of micropolar plates. Z. Angew. Math. Phys. 1967, 18, 12–30. [Google Scholar] [CrossRef]
- Eringen, A.C. Nonlocal polar elastic continua. Int. J. Eng. Sci. 1972, 10, 1–16. [Google Scholar] [CrossRef]
- Carrera, E.; Brischetto, S.; Cinefra, M.; Soave, M. Effects of thickness stretching in functionally graded plates and shells. Compos. Part B 2011, 42, 123–133. [Google Scholar] [CrossRef]
- Carrera, E.; Brischetto, S.; Robaldo, A. Variable kinematic model for the analysis of functionally graded material plates. AIAA J. 2008, 46, 194–203. [Google Scholar] [CrossRef]
- Neves, A.M.A.; Ferreira, A.J.M.; Carrera, E.; Roque, C.M.C.; Cinefra, M.; Jorge, R.M.N.; Soares, C.M.M. Bending of FGM plates by a sinusoidal plate formulation and collocation with radial basis functions. Mech. Res. Commun. 2011, 38, 368–371. [Google Scholar] [CrossRef]
- Thai, H.-T.; Vo, T.P. A new sinusoidal shear deformation theory for bending, buckling, and vibration of functionally graded plates. Appl. Math. Model. 2013, 37, 3269–3281. [Google Scholar] [CrossRef]
- Han, J.B.; Liew, K.M. Numerical differential quadrature method for Reissner/Mindlin plates on two-parameter foundations. Int. J. Mech. Sci. 1997, 39, 977–989. [Google Scholar] [CrossRef]
- Sobhy, M. A comprehensive study on FGM nanoplates embedded in an elastic medium. Compos. Struct. 2015, 134, 966–980. [Google Scholar] [CrossRef]









| Mechanical Bending | Thermal Bending | |||
|---|---|---|---|---|
| Properties | Aluminum | Alumina | Titanium | Zirconia |
| 70 | 380 | 66.2 | 117 | |
| 0.3 | 0.3 | 1/3 | 1/3 | |
| /°C) | — | — | 10.3 | 7.11 |
| Theory | 10 | 100 | 10 | 100 | |||
|---|---|---|---|---|---|---|---|
| 1 | Ref. [43] | 0.729 | 0.589 | 0.563 | 0.806 | 2.015 | 20.150 |
| Ref. [44] | 0.717 | 0.588 | 0.563 | 0.622 | 1.506 | 14.969 | |
| Ref. [45] | 0.700 | 0.585 | 0.562 | 0.593 | 1.495 | 14.969 | |
| Present | 0.6929 | 0.5685 | 0.5462 | 0.5795 | 1.4647 | 14.549 | |
| 4 | Ref. [43] | 1.113 | 0.874 | 0.829 | 0.642 | 1.605 | 16.049 |
| Ref. [44] | 1.159 | 0.882 | 0.829 | 0.488 | 1.197 | 11.923 | |
| Ref. [45] | 1.118 | 0.875 | 0.829 | 0.440 | 1.178 | 11.932 | |
| Present | 1.0945 | 0.8411 | 0.7933 | 0.4204 | 1.1241 | 11.3919 | |
| 10 | Ref. [43] | 1.318 | 0.997 | 0.936 | 0.480 | 1.199 | 11.990 |
| Ref. [44] | 1.375 | 1.007 | 0.936 | 0.370 | 0.897 | 8.908 | |
| Ref. [45] | 1.349 | 0.875 | 0.829 | 0.323 | 1.178 | 11.932 | |
| Present | 1.3247 | 0.9786 | 0.9139 | 0.3089 | 0.8438 | 8.5898 | |
| Theory | |||||||
|---|---|---|---|---|---|---|---|
| ceramic | Ref. [46] | 0.2960 | 1.9955 | 1.3121 | 0.7065 | 0.2132 | 0.2462 |
| present | 0.2936 | 2.0211 | 1.3240 | 0.6932 | 0.2428 | 0.2731 | |
| 1 | Ref. [46] | 0.5889 | 3.0870 | 1.4894 | 0.6110 | 0.2622 | 0.2462 |
| present | 0.5684 | 3.1022 | 1.4647 | 0.5618 | 0.2985 | 0.2731 | |
| 2 | Ref. [46] | 0.7573 | 3.6094 | 1.3954 | 0.5441 | 0.2763 | 0.2265 |
| present | 0.7224 | 3.6032 | 1.3509 | 0.4944 | 0.2758 | 0.2202 | |
| 3 | Ref. [46] | 0.8377 | 3.8742 | 1.2748 | 0.5525 | 0.2715 | 0.2107 |
| present | 0.7977 | 3.8407 | 1.2218 | 0.5028 | 0.2429 | 0.1837 | |
| 4 | Ref. [46] | 0.8819 | 4.0693 | 1.1783 | 0.5667 | 0.2580 | 0.2029 |
| present | 0.8411 | 4.0129 | 1.1241 | 0.5184 | 0.2149 | 0.1647 | |
| 5 | Ref. [46] | 0.9118 | 4.2488 | 1.1029 | 0.5755 | 0.2429 | 0.2017 |
| present | 0.8720 | 4.1760 | 1.0510 | 0.5292 | 0.1941 | 0.1569 | |
| 6 | Ref. [46] | 0.9356 | 4.4244 | 1.0417 | 0.5803 | 0.2296 | 0.2041 |
| present | 0.8974 | 4.3405 | 0.9934 | 0.5365 | 0.1797 | 0.1556 | |
| 7 | Ref. [46] | 0.9562 | 4.5971 | 0.9903 | 0.5834 | 0.2194 | 0.2081 |
| present | 0.9199 | 4.5062 | 0.9460 | 0.5419 | 0.1704 | 0.1575 | |
| 8 | Ref. [46] | 0.9750 | 4.7661 | 0.9466 | 0.5856 | 0.2121 | 0.2124 |
| present | 0.9407 | 4.6712 | 0.9062 | 0.5462 | 0.1648 | 0.1608 | |
| 9 | Ref. [46] | 0.9925 | 4.9303 | 0.9092 | 0.5875 | 0.2072 | 0.2164 |
| present | 0.9602 | 4.8334 | 0.8723 | 0.5501 | 0.1619 | 0.1648 | |
| 10 | Ref. [46] | 1.0089 | 5.0890 | 0.8775 | 0.5894 | 0.2041 | 0.2198 |
| present | 0.9786 | 4.9916 | 0.8438 | 0.5536 | 0.1609 | 0.1689 | |
| metal | Ref. [46] | 1.6070 | 1.9955 | 1.3121 | 0.7065 | 0.2132 | 0.2462 |
| present | 1.5938 | 2.0211 | 1.3240 | 0.6932 | 0.2428 | 0.2731 |
| Ref. [47] | Ref. [26] | Present | Ref. [47] | Ref. [26] | Present | ||
|---|---|---|---|---|---|---|---|
| 1 | 5 | 3.3455 | 3.3455 | 3.16463 | 3.2200 | 3.2200 | 3.21954 |
| 10 | 2.7505 | 2.7504 | 2.60969 | 2.6684 | 2.6684 | 2.66805 | |
| 15 | 2.3331 | 2.3331 | 2.21865 | 2.2763 | 2.2763 | 2.27599 | |
| 20 | 2.0244 | 2.0244 | 1.92843 | 1.9834 | 1.9834 | 1.98315 | |
| 5 | 2.8422 | 2.8421 | 2.69617 | 2.7552 | 2.7552 | 2.75481 | |
| 10 | 2.3983 | 2.3983 | 2.28056 | 2.3390 | 2.3390 | 2.33863 | |
| 15 | 2.0730 | 2.0730 | 1.97479 | 2.0306 | 2.0306 | 2.03035 | |
| 20 | 1.8245 | 1.8244 | 1.74054 | 1.7932 | 1.7932 | 1.79296 | |
| 5 | 1.3785 | 1.3785 | 1.32246 | 1.3688 | 1.3688 | 1.36864 | |
| 10 | 1.2615 | 1.2615 | 1.21104 | 1.2543 | 1.2543 | 1.25412 | |
| 15 | 1.1627 | 1.1627 | 1.11682 | 1.1572 | 1.1572 | 1.15710 | |
| 20 | 1.0782 | 1.0782 | 1.03612 | 1.0740 | 1.0740 | 1.07389 | |
| * | ** | ||||||||
|---|---|---|---|---|---|---|---|---|---|
| Theory | (0,0) | (100,0) | (100,100) | (0,0) | (100,0) | (100,100) | |||
| 10 | 0 | Ref. [48] | 2.9603 | 2.3290 | 0.4470 | 5.2977 | 3.5671 | 0.4789 | |
| present | 2.9359 | 2.3183 | 0.4499 | 5.2539 | 3.5577 | 0.4825 | |||
| 0.5 | Ref. [48] | 5.4971 | 3.6564 | 0.4805 | 9.8374 | 5.1752 | 0.4998 | ||
| present | 5.3352 | 3.5937 | 0.4828 | 9.5477 | 5.1133 | 0.5029 | |||
| 2.5 | Ref. [48] | 8.8382 | 4.8847 | 0.4969 | 15.8166 | 6.4599 | 0.5096 | ||
| present | 8.4675 | 4.7865 | 0.4996 | 15.1532 | 6.3769 | 0.5129 | |||
| 5.5 | Ref. [48] | 10.0219 | 5.2259 | 0.5003 | 17.9350 | 6.7874 | 0.5115 | ||
| present | 9.7162 | 5.1633 | 0.5038 | 17.3878 | 6.7447 | 0.5156 | |||
| 10.5 | Ref. [48] | 11.1361 | 5.5135 | 0.5028 | 19.9288 | 7.0545 | 0.5130 | ||
| present | 10.9327 | 5.4889 | 0.5069 | 19.5648 | 7.0506 | 0.5175 | |||
| 0 | Ref. [48] | 19.9550 | 15.6991 | 3.0133 | 35.7108 | 24.0455 | 3.2284 | ||
| present | 20.2107 | 15.9589 | 3.0973 | 36.1685 | 24.4916 | 3.3219 | |||
| 0.5 | Ref. [48] | 29.6544 | 19.7250 | 2.5922 | 53.0686 | 27.9183 | 2.6962 | ||
| present | 29.7803 | 20.0596 | 2.6950 | 53.2939 | 28.5419 | 2.8071 | |||
| 2.5 | Ref. [48] | 41.8345 | 23.1212 | 2.3522 | 74.8658 | 30.5774 | 2.4120 | ||
| present | 41.3041 | 23.3484 | 2.4369 | 73.9165 | 31.1065 | 2.5021 | |||
| 5.5 | Ref. [48] | 50.4378 | 26.3004 | 2.5177 | 90.2620 | 34.1591 | 2.5744 | ||
| present | 49.5517 | 26.3324 | 2.5691 | 88.6762 | 34.3973 | 2.6293 | |||
| 10.5 | Ref. [48] | 61.1311 | 30.2661 | 2.7599 | 109.3982 | 38.7253 | 2.8160 | ||
| present | 60.3469 | 30.2976 | 2.7978 | 107.9948 | 38.9185 | 2.8563 | |||
| * | ** | ||||||||
|---|---|---|---|---|---|---|---|---|---|
| Theory | (0,0) | (100,0) | (100,100) | (0,0) | (100,0) | (100,100) | |||
| 0 | Ref. [48] | 2.4618 | 1.9368 | 0.3717 | 4.4056 | 2.9664 | 0.3983 | ||
| present | 2.7311 | 2.1566 | 0.4185 | 4.8876 | 3.3096 | 0.4489 | |||
| 0.5 | Ref. [48] | 2.4559 | 1.6336 | 0.2147 | 4.3950 | 2.3121 | 0.2233 | ||
| present | 2.7183 | 1.8309 | 0.2459 | 4.8645 | 2.6052 | 0.2562 | |||
| 2.5 | Ref. [48] | 2.1227 | 1.1732 | 0.1194 | 3.7988 | 1.5515 | 0.1224 | ||
| present | 1.7774 | 1.0047 | 0.1049 | 3.1808 | 1.3386 | 0.1077 | |||
| 5.5 | Ref. [48] | 2.1679 | 1.1304 | 0.1082 | 3.8796 | 1.4682 | 0.1107 | ||
| present | 1.7118 | 0.9097 | 0.0888 | 3.0634 | 1.1883 | 0.0908 | |||
| 10.5 | Ref. [48] | 2.3001 | 1.1388 | 0.1038 | 4.1162 | 1.4571 | 0.1060 | ||
| present | 1.9363 | 0.9721 | 0.0898 | 3.4651 | 1.2487 | 0.0916 | |||
| 0 | Ref. [48] | 10.7450 | 8.4534 | 1.6226 | 19.2289 | 12.9475 | 1.7383 | ||
| present | 10.5389 | 8.3218 | 1.6151 | 18.8601 | 12.7712 | 1.7322 | |||
| 0.5 | Ref. [48] | 4.4493 | 2.9595 | 0.3889 | 7.9624 | 4.1888 | 0.4045 | ||
| present | 4.1639 | 2.8048 | 0.3768 | 7.4517 | 3.9908 | 0.3925 | |||
| 2.5 | Ref. [48] | 7.5813 | 4.1900 | 0.4263 | 13.5671 | 5.5412 | 0.4371 | ||
| present | 7.0295 | 3.9736 | 0.4147 | 12.5797 | 5.2939 | 0.4258 | |||
| 5.5 | Ref. [48] | 8.1777 | 4.2642 | 0.4082 | 14.6345 | 5.5383 | 0.4173 | ||
| present | 7.7237 | 4.1045 | 0.4005 | 13.8222 | 5.3616 | 0.4098 | |||
| 10.5 | Ref. [48] | 8.5915 | 4.2537 | 0.3879 | 15.3751 | 5.4425 | 0.3957 | ||
| present | 8.2471 | 4.1405 | 0.3824 | 14.7587 | 5.3186 | 0.3903 | |||
| 1 | 10 | 0 | 10 | 0 | 0.48746 | 0.38594 | 0.60708 | 0.33318 |
| 10 | 10 | 0.32324 | 0.34652 | 0.94541 | 0.40092 | |||
| 50 | 0 | 10 | 0 | 1.87987 | 1.81455 | 4.18383 | 1.86379 | |
| 10 | 10 | 1.28029 | 1.63318 | 5.41912 | 2.17549 | |||
| 50 | 50 | 10 | 0 | 1.87576 | 1.81042 | 4.16179 | 1.82721 | |
| 10 | 10 | 1.27622 | 1.62833 | 5.39699 | 2.14016 | |||
| 3 | 10 | 0 | 10 | 0 | 0.38912 | 0.29807 | 0.52052 | 0.30127 |
| 10 | 10 | 0.23874 | 0.26176 | 0.82659 | 0.36535 | |||
| 50 | 0 | 10 | 0 | 1.44371 | 1.38628 | 3.62410 | 1.68999 | |
| 10 | 10 | 0.90245 | 1.22039 | 4.72572 | 1.98281 | |||
| 50 | 50 | 10 | 0 | 1.45633 | 1.39903 | 3.61608 | 1.66221 | |
| 10 | 10 | 0.91362 | 1.23191 | 4.72064 | 1.95719 | |||
| 5 | 10 | 0 | 10 | 0 | 0.30534 | 0.23133 | 0.50168 | 0.29444 |
| 10 | 10 | 0.18281 | 0.20146 | 0.80330 | 0.35847 | |||
| 50 | 0 | 10 | 0 | 1.12079 | 1.07195 | 3.50757 | 1.65380 | |
| 10 | 10 | 0.68188 | 0.93579 | 4.58793 | 1.94566 | |||
| 50 | 50 | 10 | 0 | 1.11778 | 1.06916 | 3.50444 | 1.62887 | |
| 10 | 10 | 0.67731 | 0.93184 | 4.58865 | 1.92322 | |||
| 10 | 10 | 0 | 10 | 0 | 0.20486 | 0.15336 | 0.50286 | 0.29515 |
| 10 | 10 | 0.11918 | 0.13195 | 0.81804 | 0.36261 | |||
| 50 | 0 | 10 | 0 | 0.74464 | 0.70768 | 3.54313 | 1.66206 | |
| 10 | 10 | 0.43925 | 0.61024 | 4.66649 | 1.96915 | |||
| 50 | 50 | 10 | 0 | 0.71976 | 0.68308 | 3.54437 | 1.63893 | |
| 10 | 10 | 0.41302 | 0.58472 | 4.67273 | 1.94892 | |||
| 0 | 0.5 | 1 | 1.5 | 2 | |||
|---|---|---|---|---|---|---|---|
| 10 | 10 | 1.21750 | 1.24068 | 1.30230 | 1.38399 | 2.54608 | |
| 50 | 2.15900 | 1.28133 | 1.34504 | 1.42952 | 1.51561 | ||
| 20 | 10 | 2.11913 | 2.15908 | 2.26507 | 2.40491 | 3.35866 | |
| 50 | 2.15900 | 2.19973 | 2.30779 | 2.45043 | 2.59450 | ||
| 50 | 10 | 4.82403 | 4.91429 | 5.15336 | 5.46765 | 5.78275 | |
| 50 | 4.86389 | 4.95494 | 5.19609 | 5.51317 | 5.83117 | ||
| 100 | 10 | 9.33219 | 9.50629 | 9.96717 | 10.57220 | 11.17721 | |
| 50 | 9.37206 | 9.54695 | 10.00990 | 10.61773 | 11.22563 | ||
| 10 | 10 | 0.13637 | 0.16288 | 0.24665 | 0.39753 | 0.62548 | |
| 50 | 0.05472 | 0.07783 | 0.15156 | 0.28608 | 0.49165 | ||
| 20 | 10 | 0.45713 | 0.51432 | 0.69335 | 1.01145 | 1.48607 | |
| 50 | 0.37547 | 0.42928 | 0.59826 | 0.89999 | 1.35223 | ||
| 50 | 10 | 1.41939 | 1.56865 | 2.03345 | 2.85321 | 4.06783 | |
| 50 | 1.33773 | 1.48360 | 1.93836 | 2.74175 | 3.93399 | ||
| 100 | 10 | 3.02316 | 3.32587 | 4.26694 | 5.92280 | 8.37076 | |
| 50 | 2.94150 | 3.24082 | 4.17185 | 5.81135 | 8.23692 | ||
Publisher’s Note: MDPI stays neutral with regard to jurisdictional claims in published maps and institutional affiliations. |
© 2022 by the authors. Licensee MDPI, Basel, Switzerland. This article is an open access article distributed under the terms and conditions of the Creative Commons Attribution (CC BY) license (https://creativecommons.org/licenses/by/4.0/).
Share and Cite
Zenkour, A.M.; Alazwari, M.A.; Radwan, A.F. A Quasi-3D Higher-Order Theory for Bending of FG Nanoplates Embedded in an Elastic Medium in a Thermal Environment. Mathematics 2022, 10, 234. https://doi.org/10.3390/math10020234
Zenkour AM, Alazwari MA, Radwan AF. A Quasi-3D Higher-Order Theory for Bending of FG Nanoplates Embedded in an Elastic Medium in a Thermal Environment. Mathematics. 2022; 10(2):234. https://doi.org/10.3390/math10020234
Chicago/Turabian StyleZenkour, Ashraf M., Mashhour A. Alazwari, and Ahmed F. Radwan. 2022. "A Quasi-3D Higher-Order Theory for Bending of FG Nanoplates Embedded in an Elastic Medium in a Thermal Environment" Mathematics 10, no. 2: 234. https://doi.org/10.3390/math10020234
APA StyleZenkour, A. M., Alazwari, M. A., & Radwan, A. F. (2022). A Quasi-3D Higher-Order Theory for Bending of FG Nanoplates Embedded in an Elastic Medium in a Thermal Environment. Mathematics, 10(2), 234. https://doi.org/10.3390/math10020234

