Research Status of Nonlinear Feedback Shift Register Based on Semi-Tensor Product
Abstract
1. Introduction
2. Preliminaries
- : set of real matrices of dimension .
- : Galois field of two elements.
- : set of all n-dimension vectors over .
- : identity matrix of dimension n.
- : the ith column of the identity matrix .
- .
- : set of all n-dimension vectors over .
- : set of logical matrices satisfying . For , write or for simplicity.
- : the i-th column of matrix M.
- : the i-th row of matrix M.
- : the element on the i-th row, j-th column of matrix M.
- : the largest integer less than s.
- : the determinant of matrix M.
- : the order of matrix M.
- : swap matrix, where .
3. Research Status of NFSRs Based on STP
3.1. Modeling Problems for NFSRs
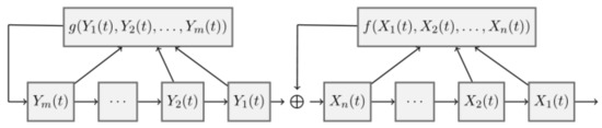
3.1.1. Fibonacci NFSRs
3.1.2. Galois NFSRs
3.1.3. Grain-Like Cascade NFSRs
3.1.4. Multi-Valued NFSRs
3.2. Structural Problems of NFSRs
3.2.1. The Equivalence Transition between Galois NFSRs and Fibonacci NFSRs
3.2.2. The Equivalence and Decomposition between Cascade NFSRs
3.2.3. Minimum Period and Maximum Period
3.3. Properties and Correlative Criteria of NFSRs
3.3.1. Nonsingularity
3.3.2. Stability and Driven Stability
3.3.3. Observability
4. Summary and Prospect of NFSRs
- (1)
- Reduce the computational complexity. Using STP to process these actual network models, the more network nodes, the higher the dimension of the system and the higher the computational performance requirements of the computer. How to reduce the computational complexity of the system is a big challenge in theoretical research of NFSR. At present, there are some methods to reduce computational complexity: approximation method [106], network aggregation method [107], logic matrix decomposition [108], pinning control [109], model order reduction [110] and block decoupling [111], etc. Based on these methods, it is a future research direction to continue to explore more effective methods to reduce computational complexity.
- (2)
- The existing related research is not perfect, and many issues have no exact result yet, such as the study of observability and driven stability in multi-valued NFSRs, the modeling of Trivium-like cascade NFSR and study of its related properties, the maximum and minimum period problems in multi-valued NFSRs. In addition, there are very few studies on non-autonomous NFSR, which can also provide a very valuable research idea to improve related research.
- (3)
- Explore more comprehensive theoretical issues of NFSRs, and provide theoretical support for the design of stream cipher algorithms and decoding algorithms. Thanks to the STP as a tool, many indicators can be easily studied. In addition to nonsingularity, observability, and stability, whether there are more indicators that can characterize the performance and security strength of NFSRs can also be used as follow-up research directions.
- (4)
- Based on the above theoretical analysis, it is the ultimate goal to give more effective stream cipher algorithms with higher security.
Author Contributions
Funding
Institutional Review Board Statement
Informed Consent Statement
Data Availability Statement
Conflicts of Interest
References
- Meier, W.; Staffelbach, O. Fast correlation attacks on certain stream ciphers. J. Cryptol. 1989, 1, 159–176. [Google Scholar] [CrossRef]
- Morrissey, T. Analysis of decoders for convolutional codes by stochastic sequential machine methods. IEEE Trans. Inf. Theory 1970, 16, 460–469. [Google Scholar] [CrossRef]
- Hellebrand, S.; Rajski, J.; Tarnick, S.; Venkataraman, S.; Courtois, B. Built-in test for circuits with scan based on reseeding of multiple-polynomial linear feedback shift registers. IEEE Trans. Comput. 1995, 44, 223–233. [Google Scholar] [CrossRef]
- Solomon, G.W. Shift Register Sequence; Holden-Day: Laguna Hills, CA, USA, 1967. [Google Scholar]
- Hell, M.; Johansson, T.; Meier, W. Grain: A stream cipher for constrained environments. In eSTREAM, ECRYPT Stream Cipher Project; Report 2005/010; Inderscience Enterprises Ltd.: Geneva, Switzerland, 2005. [Google Scholar] [CrossRef]
- Cannière, D.C.; Preneel, B. Trivium specifications. In eSTREAM, ECRYPT Stream Cipher Project; Report 2005/030; Inderscience Enterprises Ltd.: Geneva, Switzerland, 2005. [Google Scholar]
- Babbage, S.; Dodd, M. The stream cipher MICKEY(version 1). In eSTREAM, ECRYPT Stream Cipher Project; Report 2005/015; Inderscience Enterprises Ltd.: Geneva, Switzerland, 2005. [Google Scholar]
- Massey, J. Threshold Decoding; The MIT Press: Cambridge, MA, USA, 1963. [Google Scholar]
- Massey, J. Shift-register synthesis and BCH decoding. IEEE Trans. Inf. Theory 1969, 15, 122–127. [Google Scholar] [CrossRef]
- Wang, X.; Tian, T.; Qi, W. A generic method for investigating nonsingular Galois NFSRs. Des. Codes Cryptogr. 2022, 77, 387–408. [Google Scholar] [CrossRef]
- Wang, X.; Tian, T.; Qi, W. A necessary and sufficient condition for a class of nonsingular Galois NFSRs. Finite Fields Their Appl. 2022, 77, 101952. [Google Scholar] [CrossRef]
- Pan, Y.; Zhong, J.; Lin, D. On Galois NFSRs with terminal bits. In Proceedings of the 2021 IEEE International Symposium on Information Theory (ISIT), Melbourne, Australia, 12–20 July 2021; pp. 3062–3067. [Google Scholar] [CrossRef]
- Jiang, Y. Weak Grain-like structures. IEEE Trans. Inf. Theory 2020, 66, 7717–7723. [Google Scholar] [CrossRef]
- Zhang, J.; Tian, T.; Qi, W.; Zheng, Q. A new method for finding affine sub-families of NFSR sequences. IEEE Trans. Inf. Theory 2019, 65, 1249–1257. [Google Scholar] [CrossRef]
- Simpson, L.; Boztas, S. State cycles, initialization and the Trivium stream cipher. Des. Codes Cryptogr. 2012, 4, 245–258. [Google Scholar] [CrossRef]
- Zhang, S.; Chen, G. New results on the state cycles of Trivium. Des. Codes Cryptogr. 2019, 87, 149–162. [Google Scholar] [CrossRef]
- Deepthi, P.P.; Sathidevi, P.S. Design, implementation and analysis of hardware efficient stream ciphers using LFSR based hash functions. Comput. Secur. 2009, 28, 229–241. [Google Scholar] [CrossRef]
- Tian, Y.; Chen, G.; Li, J. Quavium—A new stream cipher inspired by Trivium. J. Comput. 2012, 7, 1278–1283. [Google Scholar] [CrossRef]
- Armknecht, F.; Mikhalev, V. On lightweight stream ciphers with shorter internal states. In Proceedings of the Fast Software Encryption, Istanbul, Turkey, 8–11 March 2015; Springer: Berlin/Heidelberg, Germany, 2015; pp. 451–470. [Google Scholar] [CrossRef]
- Hamann, M.; Krause, M.; Meier, W. LIZARD—A lightweight stream cipher for power-constrained devices. IACR Trans. Symmetric Cryptol. 2017, 3, 45–79. [Google Scholar] [CrossRef]
- Mikhalev, V.; Armknecht, F.; Müller, C. On ciphers that continuously access the non-volatile key. IACR Trans. Symmetric Cryptol. 2017. [Google Scholar] [CrossRef]
- Aumasson, J.P.; Dinur, I.; Meier, W.; Shamir, A. Cube testers and key recovery attacks on reduced-round MD6 and Trivium. In Proceedings of the Fast Software Encryption, 16th International Workshop, Leuven, Belgium, 22–25 February 2009; Springer: Berlin/Heidelberg, Germany, 2009. [Google Scholar] [CrossRef]
- Hu, Y.; Gao, J.; Liu, Q.; Zhang, Y. Fault analysis of Trivium. Des. Codes Cryptogr. 2012, 62, 289–311. [Google Scholar] [CrossRef]
- Zhang, J.; Qi, W.; Tian, T.; Wang, Z. Further results on the decomposition of an NFSR into the cascade connection of an NFSR into an LFSR. IEEE Trans. Inf. Theory 2015, 61, 645–654. [Google Scholar] [CrossRef]
- Dubrova, E. A transformation from the Fibonacci to the Galois NLFSRs. IEEE Trans. Inf. Theory 2009, 55, 5263–5271. [Google Scholar] [CrossRef]
- Ma, Z.; Qi, W.; Tian, T. On the decomposition of an NFSR into the cascade connection of an NFSR into an LFSR. J. Complex. 2013, 29, 173–181. [Google Scholar] [CrossRef]
- Wang, H.; Zheng, Q.; Wang, Z.; Zhao, X.; Qi, W. A new result on irreducible NFSRs with respect to cascade connection. Finite Fields Their Appl. 2021, 73, 101859. [Google Scholar] [CrossRef]
- Tian, T.; Qi, W. On the density of irreducible NFSRs. IEEE Trans. Inf. Theory 2013, 59, 4006–4012. [Google Scholar] [CrossRef]
- Jiang, Y.; Lin, D. On affine sub-families of Grain-like structures. Des. Codes Cryptogr. 2017, 82, 531–542. [Google Scholar] [CrossRef]
- Li, C.; Xie, D. Criterion for the nonsingularity of feedback shift registers. J. Electron. Inf. Technol. 1995, 17, 500–505. [Google Scholar] [CrossRef]
- Gary, M.L. Permutation polynomials and nonsingular feedback shift registers over finite fields. IEEE Trans. Inf. Theory 1989, 35, 900–902. [Google Scholar] [CrossRef]
- Liang, W.; Xu, Y.; Zeng, X. The periods of a class of nonlinear feedback shift register sequences. Chin. J. Electron. 2016, 25, 8. [Google Scholar] [CrossRef]
- Yang, Y.; Zeng, X.; Xu, Y. Periods on the cascade connection of an LFSR and an NFSR. Chin. J. Electron. 2019, 28, 301–308. [Google Scholar] [CrossRef]
- Zheng, Q.; Zhao, X.; Feng, X. Grain-like structures with minimal and maximal period sequences. Des. Codes Cryptogr. 2021, 89, 679–693. [Google Scholar] [CrossRef]
- Zhou, L.; Tian, T.; Qi, W.; Wang, Z. Constructions of de Bruijn sequences from a full-length shift register and an irreducible LFSR. Finite Fields Their Appl. 2019, 60, 101574. [Google Scholar] [CrossRef]
- Yang, B.; Mandal, K.; Aagaard, M.D.; Gong, G. Efficient composited de Bruijn sequence generators. IEEE Trans. Comput. 2017, 66, 1354–1368. [Google Scholar] [CrossRef]
- Sawada, J.; Williams, A.; Wong, D. A surprisingly simple de Bruijn sequence construction. Discret. Math. 2016, 339, 127–131. [Google Scholar] [CrossRef]
- Li, M.; Lin, D. De Bruijn sequences, adjacency graphs, and cyclotomy. IEEE Trans. Inf. Theory 2018, 64, 2941–2952. [Google Scholar] [CrossRef]
- Cheng, D.; Qi, H.; Li, Z. Analysis and Control of Boolean Networks; Springer-Verlag: London, UK, 2011. [Google Scholar]
- Cheng, D.; Qi, H.; Zhao, Y. An Introduction to Semi-Tensor Product of Matrices and Its Applications; World Scientific: Singapore, 2012. [Google Scholar]
- Zhao, Y.; Kim, J.; Filippone, M. Aggregation algorithm towards large-scale Boolean network analysis. IEEE Trans. Autom. Control 2013, 58, 1976–1985. [Google Scholar] [CrossRef]
- Li, R.; Yang, M.; Chu, T. State feedback stabilization for Boolean control networks. IEEE Trans. Autom. Control 2013, 58, 1853–1857. [Google Scholar] [CrossRef]
- Li, H.; Wang, Y. Output feedback stabilization control design for Boolean control networks. Automatica 2013, 49, 3641–3645. [Google Scholar] [CrossRef]
- Gao, B.; Li, L.; Peng, H.; Kurths, J.; Zhang, W.; Yang, Y. Principle for performing attractor transits with single control in Boolean networks. Phys. Rev. E 2013, 88, 062706. [Google Scholar] [CrossRef]
- Lu, J.; Zhong, J.; Huang, C.; Cao, J. On pinning controllability of Boolean control networks. IEEE Trans. Autom. Control 2016, 61, 1658–1663. [Google Scholar] [CrossRef]
- Zheng, Y.; Feng, J. Output tracking of delayed logical control networks with multi-constraint. Front. Inf. Technol. Electron. Eng. 2020, 21, 316–323. [Google Scholar] [CrossRef]
- Zhang, Q.; Wang, B.; Feng, J. Solution and stability of continuous-time cross-dimensional linear systems. Front. Inf. Technol. Electron. Eng. 2021, 22, 210–221. [Google Scholar] [CrossRef]
- Guo, P.; Wang, Y.; Li, H. Algebraic formulation and strategy optimization for a class of evolutionary networked games via semi-tensor product method. Automatica 2013, 49, 3384–3389. [Google Scholar] [CrossRef]
- Cheng, D. On finite potential games. Automatica 2014, 50, 1793–1801. [Google Scholar] [CrossRef]
- Cheng, D.; He, F.; Qi, H.; Xu, T. Modeling, analysis and control of networked evolutionary games. IEEE Trans. Autom. Control 2015, 60, 2402–2415. [Google Scholar] [CrossRef]
- Wang, Y.; Zheng, C.; Liu, Z. A matrix approach to graph maximum stable set and coloring problems with application to multi-agent systems. Automatica 2012, 48, 1227–1236. [Google Scholar] [CrossRef]
- Li, R.; Chu, T. Complete synchronization of Boolean networks. IEEE Trans. Neural Networks Learn. Syst. 2012, 23, 840–846. [Google Scholar] [CrossRef]
- Xu, X.; Hong, Y. Observability analysis and observer design for finite automata via matrix approach. IET Control Theory Appl. 2013, 7, 1609–1615. [Google Scholar] [CrossRef]
- Yan, Y.; Chen, Z.; Liu, Z. Semi-tensor product approach to controllability and stabilizability of finite automata. J. Syst. Eng. Electron. 2015, 26, 134–141. [Google Scholar] [CrossRef]
- Zhang, K.; Zhang, L. Observability of Boolean control networks: A unified approach based on finite automata. IEEE Trans. Autom. Control 2016, 61, 2733–2738. [Google Scholar] [CrossRef]
- Wang, B.; Feng, J.; Meng, M. Matrix approach to model matching of composite asynchronous sequential machines. IET Control Theory Appl. 2017, 11, 2122–2130. [Google Scholar] [CrossRef]
- Gao, Z.; Wang, B.; Feng, J.; Li, T. Finite automata approach to reconstructibility of switched Boolean control networks. Neurocomputing 2021, 454, 34–44. [Google Scholar] [CrossRef]
- Li, H.; Wang, Y. Boolean derivative calculation with application to fault detection of combinational circuits via the semi-tensor product method. Automatica 2012, 48, 688–693. [Google Scholar] [CrossRef]
- Ouyang, C.; Jiang, J. Reliability estimation of sequential circuit based on probabilistic transfer matrices. Acta Electron. Sin. 2013, 41, 171–177. [Google Scholar] [CrossRef]
- Chen, Y.; Xi, N.; Miao, L.; Li, H.; Wang, Y. Applications of the semi-tensor product to the Internet-based tele-operation systems. Robot 2012, 34, 50–55. [Google Scholar] [CrossRef]
- Wu, Y.; Shen, T. A logical dynamical systems approach to modeling and control of residual gas fraction in IC engines. In IFAC Proceedings Volumes, Proceedings of the 7th IFAC Symposium on Advances in Automotive Control, Tokyo, Japan, 4–7 September 2013; Elsevier B.V.: Amsterdam, The Netherlands, 2013; Volume 46, pp. 495–500. [Google Scholar] [CrossRef]
- Kabir, M.H.; Hoque, M.R.; Seo, H.; Yang, S.H. Boolean control network based modeling for context-aware system in smart home. Int. J. Smart Home 2016, 10, 65–76. [Google Scholar] [CrossRef]
- Li, H.; Zhao, G.; Meng, M.; Feng, J. A survey on applications of semi-tensor product method in engineering. Sci. China Inf. Sci. 2017, 61, 1–17. [Google Scholar] [CrossRef]
- Guo, L. Comments on “Semi-tensor product of matrices-A convenient new tool". Chin. Sci. Bull. 2011, 56, 2662–2663. [Google Scholar]
- Zhao, D.; Peng, H.; Li, L.; Hui, S.; Yang, Y. Novel way to research nonlinear feedback shift register. Sci. China Inf. Sci. 2014, 57, 1–14. [Google Scholar] [CrossRef]
- Zhong, J.; Lin, D. A new linearization method for nonlinear feedback shift registers. J. Comput. Syst. Sci. 2015, 81, 783–796. [Google Scholar] [CrossRef]
- Wang, H.; Zhong, J.; Lin, D. Linearization of multi-valued nonlinear feedback shift registers. J. Syst. Sci. Complex. 2017, 30, 494–509. [Google Scholar] [CrossRef]
- Zhong, J.; Lin, D. On minimum period of nonlinear feedback shift registers in Grain-like structure. IEEE Trans. Inf. Theory 2018, 64, 6429–6442. [Google Scholar] [CrossRef]
- Zhong, J.; Lin, D. On equivalence of cascade connections of two nonlinear feedback shift registers. Comput. J. 2019, 62, 1793–1804. [Google Scholar] [CrossRef]
- Zhong, J.; Lin, D. Decomposition of nonlinear feedback shift registers based on Boolean networks. Sci. China Inf. Sci. 2019, 62, 1–3. [Google Scholar] [CrossRef]
- Zhong, J.; Lin, D. On maximum length nonlinear feedback shift registers using a Boolean network approach. In Proceedings of the 33rd Chinese Control Conference, Nanjing, China, 28–30 July 2014; pp. 2502–2507. [Google Scholar] [CrossRef]
- Lu, J.; Li, M.; Huang, T.; Liu, Y.; Cao, J. The transformation between the Galois NLFSRs and the Fibonacci NLFSRs via semi-tensor product of matrices. Automatica 2018, 96, 393–397. [Google Scholar] [CrossRef]
- Kong, W.; Zhong, J.; Lin, D. Isomorphism and equivalence of Galois nonlinear feedback shift registers. In Proceedings of the Inscrypt 2021: Information Security and Cryptology, Virtual Event, 12–14 August 2021; Springer: Berlin/Heidelberg, Germany, 2021; pp. 301–315. [Google Scholar] [CrossRef]
- Zhong, J.; Pan, Y.; Lin, D. On Galois NFSRs equivalent to Fibonacci ones. In Proceedings of the Information Security and Cryptology, Vienna, Austria, 6–10 December 2021; Springer: Berlin/Heidelberg, Germany, 2021; pp. 433–449. [Google Scholar] [CrossRef]
- Zhong, J.; Pan, Y.; Kong, W.; Lin, D. Necessary and Sufficient Conditions for Galois NFSRs Equivalent to Fibonacci Ones and Their Application to the Stream Cipher Trivium. Cryptology ePrint Archive, Paper 2021/928. 2021. Available online: https://eprint.iacr.org/2021/928 (accessed on 28 June 2022).
- Zhao, X.; Wang, B.; Yan, Y.; Feng, J. The equivalence transformation between Galois NFSRs and Fibonacci NFSRs. Asian J. Control 2020, 23, 2865–2873. [Google Scholar] [CrossRef]
- Zhao, X. Research on nonlinear feedback shift register via semi-tensor product. Master’s Thesis, Shandong University, Jinan, China, 2021. [Google Scholar] [CrossRef]
- Gao, B.; Liu, X.; Lan, Z.; Fu, R. A novel method for reconstructing period with single input in NFSR. Chaos Solitons Fractals 2018, 109, 36–40. [Google Scholar] [CrossRef]
- Zhao, X.; Wang, B.; Zhu, S.; Feng, J. On degeneracy problem of NFSRs via semi-tensor product. In Proceedings of the 2020 39th Chinese Control Conference (CCC), Shenyang, China, 27–29 July 2020; pp. 146–151. [Google Scholar] [CrossRef]
- Li, B.; Zhu, S.; Li, J. Improved transformation between Fibonacci FSRs and Galois FSRs based on semi-tensor product. J. Frankl. Inst. 2022, 359, 224–239. [Google Scholar] [CrossRef]
- Li, B. Boolean-Network-Based Analysis and Synthesis of Pseudo-Random Sequence Generators. Ph.D. Thesis, Southeast University, Nanjing, China, 2022. [Google Scholar] [CrossRef]
- Liu, Z.; Wang, Y.; Cheng, D. Nonsingularity of feedback shift registers. Automatica 2015, 55, 247–253. [Google Scholar] [CrossRef]
- Liu, Z. Control and Application of Mix-Valued Logical Networks via the Semi-Tensor Product Method. Ph.D. Thesis, Shandong University, Jinan, China, 2014. [Google Scholar]
- Zhong, J.; Lin, D. Stability of nonlinear feedback shift registers. Sci. China Inf. Sci. 2016, 59, 197–208. [Google Scholar] [CrossRef]
- Zhong, J.; Lin, D. Driven stability of nonlinear feedback shift registers with inputs. IEEE Trans. Commun. 2016, 64, 2274–2284. [Google Scholar] [CrossRef]
- Lu, J.; Li, M.; Liu, Y.; Ho, D.W.; Kurths, J. Nonsingularity of Grain-like cascade FSRs via semi-tensor product. Sci. China Inf. Sci. 2018, 61, 010204. [Google Scholar] [CrossRef]
- Lu, J.; Li, B.; Zhong, J. A novel synthesis method for reliable feedback shift registers via Boolean networks. Sci. China Inf. Sci. 2021, 64, 1–14. [Google Scholar] [CrossRef]
- Gao, B.; Liu, X.; Wu, X.; Li, S.; Lan, Z.; Lu, H.; Liu, B. Stability of nonlinear feedback shift registers with periodic input. Comput. Mater. Contin. 2020, 62, 833–847. [Google Scholar] [CrossRef]
- Gao, B. Research on Encryption Algorithm Based on Semi-Tensor Product. Ph.D. Thesis, Beijing Jiaotong University, Beijing, China, 2014. [Google Scholar]
- Kong, W.; Zhong, J.; Lin, D. Observability of Galois nonlinear feedback shift registers. Sci. China Inf. Sci. 2021. [Google Scholar] [CrossRef]
- Wang, H.; Zhong, J.; Lin, D. Stability of multi-valued nonlinear feedback shift registers. In Proceedings of the 2016 IEEE International Conference on Information and Automation (ICIA), Ningbo, China, 1–3 August 2016; pp. 1764–1769. [Google Scholar] [CrossRef]
- Wang, H.; Lin, Q.; Chen, J.; Li, J.; Zhong, J.; Lin, D.; Wang, J.; Ma, L. On stability of multi-valued nonlinear feedback shift registers. Complexity 2019, 2019, 1–11. [Google Scholar] [CrossRef]
- Li, M.; Lu, J.; Zhong, J. Stability of (n,k) nonlinear feedback shift registers. In Proceedings of the 2017 13th IEEE Conference on Automation Science and Engineering (CASE), Xi’an, China, 20–23 August 2017; pp. 166–170. [Google Scholar] [CrossRef]
- Li, M. Research on Several Nonlinear Feedback Shift Registers Based on Semi-Tensor Product of Matrix. Master’s Thesis, Southeast University, Nanjing, China, 2018. [Google Scholar]
- Ren, B.; Liu, Y.; Lu, J.; Cao, J. A novel analysis method for Grain-like cascade FSRs. In Proceedings of the 2020 12th International Conference on Advanced Computational Intelligence (ICACI), Dali, China, 14–16 August 2020; pp. 597–601. [Google Scholar] [CrossRef]
- Ren, B. Analysis of Grain-Like Cascade Feedback Shift Registers. Master’s Thesis, Zhejiang Normal University, Jinhua, China, 2020. [Google Scholar] [CrossRef]
- Gao, Z.; Feng, J.; Yu, Y.; Cui, Y. On observability of Galois NFSRs over finite fields. Front. Inf. Technol. Electron. Eng. 2022, 1–13. [Google Scholar] [CrossRef]
- Roger, A.; Johnson, C.R. Topics in Matrix Analysis; Cambridge University Press: Cambridege, UK, 1991. [Google Scholar] [CrossRef]
- Ljung, L.; Söderström, T. Theory and Practice of Recursive Identification; MIT Press: Cambridge, MA, USA, 1983. [Google Scholar]
- Dubrova, E.; Hell, M. Espresso: A stream cipher for 5G wireless communication systems. Cryptogr. Commun. 2017, 9, 273–289. [Google Scholar] [CrossRef]
- Dubrova, E. Finding matching initial states for equivalent NLFSRs in the Fibonacci and the Galois configurations. IEEE Trans. Inf. Theory 2010, 56, 2961–2966. [Google Scholar] [CrossRef]
- Hu, H.; Gong, G. Periods on two kinds of nonlinear feedback shift registers with time varying feedback functions. Int. J. Found. Comput. Sci. 2011, 22, 1317–1329. [Google Scholar] [CrossRef]
- Lai, X. Condition for the nonsingularity of a feedback shift-register over a general finite field (Corresp.). IEEE Trans. Inf. Theory 1987, 33, 747–749. [Google Scholar] [CrossRef]
- Massey, J.; Liu, R. Application of Lyapunov’s direct method to the error-propagation effect in convolutional codes (Corresp.). IEEE Trans. Inf. Theory 1964, 10, 248–250. [Google Scholar] [CrossRef]
- Fornasini, E.; Valcher, M.E. Observability, reconstructibility and state observers of Boolean control networks. IEEE Trans. Autom. Control 2013, 58, 1390–1401. [Google Scholar] [CrossRef]
- Cheng, D.; Zhao, Y.; Kim, J.; Zhao, Y. Approximation of Boolean networks. In Proceedings of the 10th World Congress on Intelligent Control and Automation, Beijing, China, 6–8 July 2012; pp. 2280–2285. [Google Scholar] [CrossRef]
- Zhao, Y.; Ghosh, B.K.; Cheng, D. Control of large-scale Boolean networks via network aggregation. IEEE Trans. Neural Networks Learn. Syst. 2016, 27, 1527–1536. [Google Scholar] [CrossRef]
- Li, H.; Wang, Y. Logical matrix factorization with application to topological structure analysis of Boolean network. IEEE Trans. Autom. Control 2015, 60, 1380–1385. [Google Scholar] [CrossRef]
- Zhong, J.; Ho, D.W.C.; Lu, J. A new approach to pinning control of Boolean networks. IEEE Trans. Control Netw. Syst. 2022, 9, 415–426. [Google Scholar] [CrossRef]
- Meng, M.; Lam, J.; Feng, J.; Li, X. l1-gain analysis and model reduction problem for Boolean control networks. Inf. Sci. 2016, 348, 68–83. [Google Scholar] [CrossRef]
- Yu, Y.; Feng, J.; Pan, J.; Cheng, D. Block decoupling of Boolean control networks. IEEE Trans. Autom. Control 2019, 64, 3129–3140. [Google Scholar] [CrossRef]



| Year | Literature | Innovation Points | Object |
|---|---|---|---|
| 2014 | [65] | cycles joining algorithm | maximum period |
| 2015 | [66,71] | iff the NFSR is full-length | maximum period |
| 2015 | [82] | multi-valued NFSRs | cycle decomposition |
| 2018 | [78] | NFSRs with single input | cycle reconstruction |
| 2018 | [68] | the probability to achieve minimum period | minimum period |
| Year | Literature | Innovation Points | Object |
|---|---|---|---|
| 2016 | [84] | NFSRs, iteration method shown in Theorem 1 | stability |
| 2016 | [85] | NFSRs, reduce the computational complexity | driven stability |
| 2017 | [93] | NFSRs | stability |
| 2018 | [78] | NFSRs with periodic input | stability |
| 2019 | [91,92] | multi-valued NFSRs, construct stable NFSRs | stability |
| 2020 | [95] | Grain-like cascade NFSRs | stability |
| 2021 | [87] | monotonous FSRs, construct reliable FSRs | stability |
Publisher’s Note: MDPI stays neutral with regard to jurisdictional claims in published maps and institutional affiliations. |
© 2022 by the authors. Licensee MDPI, Basel, Switzerland. This article is an open access article distributed under the terms and conditions of the Creative Commons Attribution (CC BY) license (https://creativecommons.org/licenses/by/4.0/).
Share and Cite
Gao, Z.; Feng, J.-e. Research Status of Nonlinear Feedback Shift Register Based on Semi-Tensor Product. Mathematics 2022, 10, 3538. https://doi.org/10.3390/math10193538
Gao Z, Feng J-e. Research Status of Nonlinear Feedback Shift Register Based on Semi-Tensor Product. Mathematics. 2022; 10(19):3538. https://doi.org/10.3390/math10193538
Chicago/Turabian StyleGao, Zhe, and Jun-e Feng. 2022. "Research Status of Nonlinear Feedback Shift Register Based on Semi-Tensor Product" Mathematics 10, no. 19: 3538. https://doi.org/10.3390/math10193538
APA StyleGao, Z., & Feng, J.-e. (2022). Research Status of Nonlinear Feedback Shift Register Based on Semi-Tensor Product. Mathematics, 10(19), 3538. https://doi.org/10.3390/math10193538
