Numerical Simulation of Single Droplet Impingement upon Dynamic Liquid Film Obliquely
Abstract
:1. Introduction
Physical Model
2. Physical Model and Mathematical Model
Mathematical Model
3. Model Validation
4. Results and Discussion
4.1. Effect of Droplet Impact Angle
4.2. Effect of Dynamic Film Speed
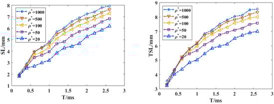
4.3. Effect of Density Ratio
4.4. Effect of Fluid Viscosity
4.5. Effect of Impact Velocity
5. Summary and Conclusions
- (1)
- When the droplet collides with the dynamic film at an inclination, the crown height on both sides decreased significantly with the increase of the impact angle. The crater diameter and spreading length are decreased, while the angle between the crater and dynamic film increases. When the impact angle reaches , the downstream crown is unstable and easily causes splashing of droplets.
- (2)
- The spreading length and upstream crown height increase with the increase of dynamic film velocity, while the downstream crown height decreases. The angle between the crater and dynamic film decreases with the increase of film speed. Simultaneously, the crater diameter increases with the film velocity during the oblique impingement.
- (3)
- The suppression of the upstream crown height by increasing gas density is not obvious; however, it exerts a significant suppressive effect on the development of the downstream crown. Meanwhile, the crater diameter and spreading length decrease with increasing gas density; in addition, the upstream and downstream crowns bend inward, but the effect on the angle between the crater and the dynamic film is not significant.
- (4)
- When the fluid viscosity decreases and the impact speed increases, the crown height on both sides increases significantly, while the splash droplets are easily produced downstream. When the viscosity reaches a certain value, the interface structure is extremely similar. The diameter of the crater increases with the impact speed. However, the viscosity has almost no effect on the spreading length, but increasing the impact speed leads to an increase in spreading length.
Author Contributions
Funding
Institutional Review Board Statement
Informed Consent Statement
Data Availability Statement
Conflicts of Interest
References
- Herbert, S.; Gambaryan-Roisman, T.; Stephan, P. Influence of the governing dimensionless parameters on heat transfer during single drop impingement onto a hot wall. Colloid. Surf. A 2013, 432, 57–63. [Google Scholar]
- Liang, G.; Mudawar, I. Review of spray cooling—Part 1: Single-phase and nucleate boiling regimes, and critical heat flux. Int. J. Heat Mass Transf. 2017, 115, 1174–1205. [Google Scholar]
- Liu, Y.; Chen, W.; Bond, L.; Hu, H. An experimental study on the characteristics of wind-driven surface water film flows by using a multi-transducer ultrasonic pulse-echo technique. Phys. Fluids 2017, 29, 012102. [Google Scholar]
- Rioboo, R.; Tropea, C.; Marengo, M. Outcomes from a drop impact on solid surfaces. At. Sprays 2001, 11, 155–166. [Google Scholar]
- Wang, A.B.; Chen, C.C. Splashing impact of a single drop onto very thin liquid films. Phys. Fluids 2000, 12, 2155–2158. [Google Scholar]
- Rioboo, R.; Bauthier, C.; Conti, J.; Voue, M.; De, J. Experimental investigation of splash and crown formation during single drop impact on wetted surfaces. Exp. Fluids 2003, 35, 648–652. [Google Scholar]
- Guo, J.H. Experimental research on the droplet impacting on the liquid film. Acta Phys. Sin. 2010, 59, 2601–2609. [Google Scholar]
- Cossali, G.E.; Marengo, M.; Coghe, A.L.D.O.; Zhdanov, S. The role of time in single drop splash on thin film. Exp. Fluids 2004, 36, 888–900. [Google Scholar]
- Guo, Y.; Wei, L.; Liang, G.; Shen, S. Simulation of droplet impact on liquid film with CLSVOF. Int. Commun. Heat Mass Transf. 2014, 53, 26–33. [Google Scholar]
- Chen, B.; Wang, B.; Mao, F.; Tian, R.; Lu, C. Analysis of liquid droplet impacting on liquid film by CLSVOF. Nucl. Energy 2020, 143, 107468. [Google Scholar]
- Shetabivash, H.; Ommi, F.; Heidarinejad, G. Numerical analysis of droplet impact onto liquid film. Phys. Fluids 2014, 26, 179–200. [Google Scholar]
- Okawa, T.; Shiraishi, T.; Mori, T. Effect of impingement angle on the outcome of single water drop impact onto a plane water surface. Exp. Fluids 2008, 44, 331–339. [Google Scholar]
- Liu, C.; Shen, M.; Wu, J. Investigation of a single droplet impact onto a liquid film with given horizontal velocity. J. Theor. Appl. Mech. 2018, 67, 269–279. [Google Scholar]
- Cheng, M.; Lou, J. A numerical study on splash of oblique drop impact on wet walls. Comput. Fluids 2015, 115, 11–24. [Google Scholar]
- Guo, Y.; Wang, F.; Gong, L.; Shen, S. Numerical study of oblique droplet impact on a liquid film. J. Theor. Appl. Mech. 2021, 85, 386–396. [Google Scholar]
- Guo, Y.; Lian, Y. High-speed oblique drop impact on thin liquid films. Phys. Fluids 2017, 29, 082108. [Google Scholar]
- Wang, F.; Gong, L.; Shen, S.; Guo, Y. Flow and heat transfer characteristics of droplet obliquely impact on a stationary liquid film. Numer. Heat Transf. Part B 2020, 77, 228–241. [Google Scholar]
- Castrejón-Pita, J.R.; Muñoz-Sánchez, B.N.; Hutchings, I.M.; Castrejón-Pita, A.A. Droplet impact onto moving liquids. J. Fluid Mech. 2016, 809, 716–725. [Google Scholar]
- Che, Z.; Deygas, A.; Matar, O.K. Impact of droplets on inclined flowing liquid films. Phys. Rev. E 2015, 92, 023032. [Google Scholar]
- Burzynski, D.A.; Bansmer, S.E. Droplet splashing on thin moving films at high Weber numbers. Int. J. Multiph. Flow 2018, 101, 202–211. [Google Scholar]
- Gao, X.; Li, R. Impact of a single drop on a flowing liquid film. Phys. Rev. E 2015, 92, 053005. [Google Scholar] [CrossRef] [PubMed]
- Ming, C.; Jing, L. Lattice Boltzmann simulation of a drop impact on a moving wall with a liquid film. Comput. Math. Appl. 2014, 67, 307–317. [Google Scholar] [CrossRef]
- Zhao, K.; Wang, Y.; Ding, Y.; Jiang, Y. Numerical and theoretical study on the spreading characteristics of droplet impact on a horizontal flowing liquid film. Colloids Surf. A 2021, 616, 126338. [Google Scholar] [CrossRef]
- Raman, K.A.; Jaiman, R.K.; Lee, T.S.; Low, H.T. On the dynamics of crown structure in simultaneous two droplets impact onto stationary and moving liquid film. Comput. Fluids 2015, 107, 285–300. [Google Scholar] [CrossRef]
- He, J.; Yuan, H.; He, X.; Xie, C.; Peng, H.; Hu, R. Droplet Impact on a Moving Thin Film with Pseudopotential Lattice Boltzmann Method. Math. Probl. Eng. 2020, 2020, 1–15. [Google Scholar]
- Hirt, C.W.; Nichols, B.D. Volume of fluid (VOF) method for the dynamics of free boundaries. J. Comput. Phys 1981, 39, 201–225. [Google Scholar] [CrossRef]
- Mora, A.E.M. Numerical study of the dynamics of a droplet in a T-junction microchannel using OpenFOAM. Chem. Eng. Sci. 2019, 196, 514–526. [Google Scholar] [CrossRef]
- Nieves-Remacha, M.J.; Yang, L.; Jensen, K.F. OpenFOAM computational fluid dynamic simulations of two-phase flow and mass transfer in an advanced-flow reactor. Ind. Eng. Chem. Res. 2015, 54, 6649–6659. [Google Scholar] [CrossRef]
- Osher, S.; Sethian, J.A. Fronts propagating with curvature-dependent speed: Algorithms based on Hamilton-Jacobi formulations. J. Comput. Phys 1988, 79, 12–49. [Google Scholar] [CrossRef]
- Nabil, M.; Rattner, A.S. interThermalPhaseChangeFoam—A framework for two-phase flow simulations with thermally driven phase change. SoftwareX 2016, 5, 216–226. [Google Scholar] [CrossRef]
- Zeng, Q.Y.; Zhang, X.H.; Ji, D.B. Numerical simulation of two droplets impacting upon a dynamic liquid film. Chin. Phys. B 2022, 31, 046801. [Google Scholar] [CrossRef]
- Ray, B.; Biswas, G.; Sharma, A. Oblique drop impact on deep and shallow liquid. Commun Comput. Phys. 2012, 11, 1386–1396. [Google Scholar] [CrossRef]
- Gielen, M.V.; Sleutel, P.; Benschop, J.; Riepen, M.; Gelderblom, H. Oblique drop impact onto a deep liquid pool. Phys. Rev. Fluids 2017, 2, 083602. [Google Scholar] [CrossRef]
- Yang, Q.; Wang, X.H.; Zhu, L.; Wang, R.J.; Zhao, J.Q. Numerical investigation of local heat transfer characteristics of an oblique droplet impacting a wetted wall. Case Stud. Therm. Eng. 2019, 14, 100461. [Google Scholar] [CrossRef]



















| Droplet | Film | Film | Impact | Impact | Density | Fluid | |
|---|---|---|---|---|---|---|---|
| Diameter | Velocity | Thickness | Velocity | Angle | Ratio | Viscosity | |
| Qualitative validation | 0.52 | 0 | 2 | 6.3 | |||
| 3.2 | 1.04 | 0.209 | 1.85 | ||||
| Effect of impact angle | 2.56 | 1.0 | 1.28 | 2.8 | |||
| Effect of film velocity | 2.56 | 0.5 2.0 | 1.28 | 2.8 | |||
| 1.0 | |||||||
| 1.5 | |||||||
| Effect of density ratio | 2.56 | 1.0 | 1.28 | 2.8 | 50 | ||
20 | |||||||
| 100 | |||||||
| Effect of fluid viscosity | 2.56 | 1.0 | 1.28 | 2.8 | |||
| Effect of impact velocity (Weber number) | 2.56 | 1.0 | 1.28 | 1.8 | |||
| 2.8 4.8 | |||||||
| 3.8 |
Publisher’s Note: MDPI stays neutral with regard to jurisdictional claims in published maps and institutional affiliations. |
© 2022 by the authors. Licensee MDPI, Basel, Switzerland. This article is an open access article distributed under the terms and conditions of the Creative Commons Attribution (CC BY) license (https://creativecommons.org/licenses/by/4.0/).
Share and Cite
Yang, S.; Zeng, Q.; Zhang, X.; Dong, C.; Guan, L. Numerical Simulation of Single Droplet Impingement upon Dynamic Liquid Film Obliquely. Mathematics 2022, 10, 3193. https://doi.org/10.3390/math10173193
Yang S, Zeng Q, Zhang X, Dong C, Guan L. Numerical Simulation of Single Droplet Impingement upon Dynamic Liquid Film Obliquely. Mathematics. 2022; 10(17):3193. https://doi.org/10.3390/math10173193
Chicago/Turabian StyleYang, Shanshan, Quanyuan Zeng, Xiaohua Zhang, Chunzhu Dong, and Ling Guan. 2022. "Numerical Simulation of Single Droplet Impingement upon Dynamic Liquid Film Obliquely" Mathematics 10, no. 17: 3193. https://doi.org/10.3390/math10173193
APA StyleYang, S., Zeng, Q., Zhang, X., Dong, C., & Guan, L. (2022). Numerical Simulation of Single Droplet Impingement upon Dynamic Liquid Film Obliquely. Mathematics, 10(17), 3193. https://doi.org/10.3390/math10173193

