Entropy Analysis of Sutterby Nanofluid Flow over a Riga Sheet with Gyrotactic Microorganisms and Cattaneo–Christov Double Diffusion
Abstract
:1. Introduction
2. Description of the Physical Model
Fluid Model
3. Entropy Generation Analysis
4. Homotopy Expression
- Zeroth order formulation
- mth order formulation
Convergence of Homotopy Solutions
5. Results and Discussion
5.1. Velocity Profile
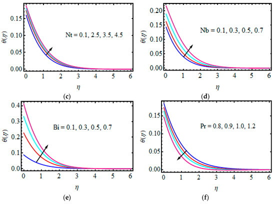
5.2. Temperature Profile
5.3. Nanoparticle Concentration Profile
5.4. Microorganism Profile
5.5. Entropy Generation Profile
5.6. Bejan Number Profile
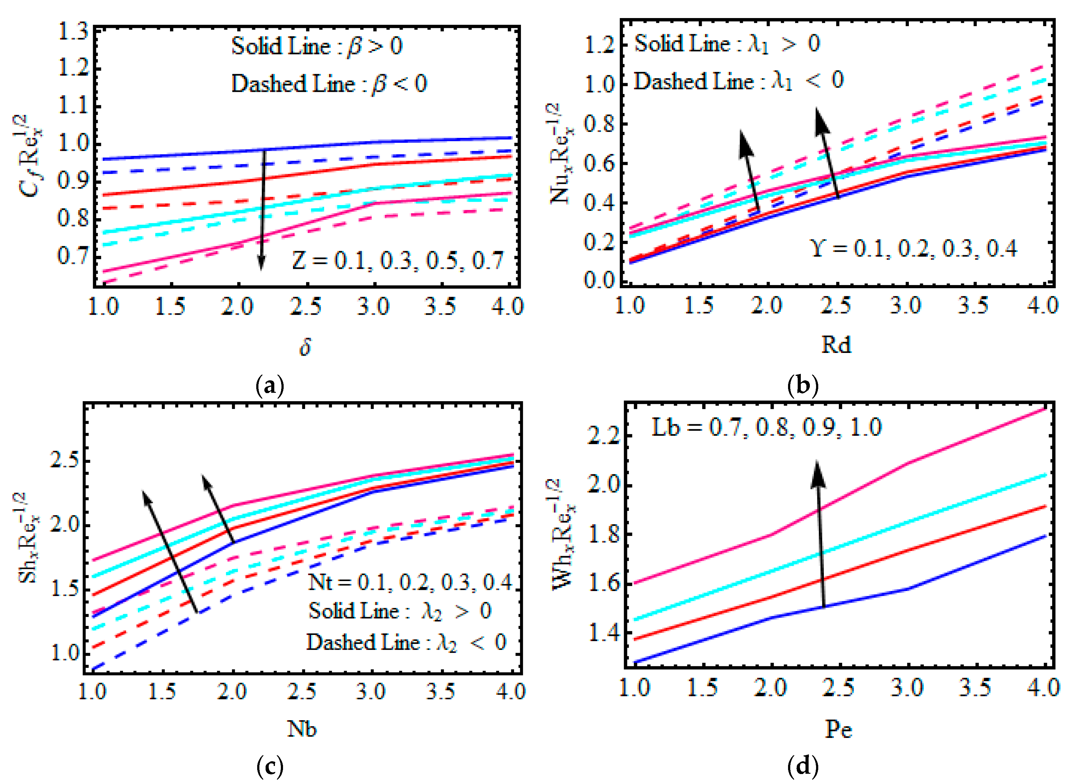
5.7. Physical Entitles
5.8. Stream Line and Isotherm Line
6. Major Outcomes
- The Deborah and Reynolds numbers produce the opposite behaviour in the flow field for the different cases of and .
- The velocity shows the continuous improvement with increasing the Hartman number in both dilatant and pseudoplastic fluid cases.
- A larger chemical reaction reveals a decrement in the concentration, while the thermophoresis parameter lead to the expansion in concentration.
- The microorganism field deteriorated for the higher values of and microorganism difference parameter.
- The entropy generation number presented an increasing magnitude for large valuesof the Reynolds and Brinkman numbers, for the cases of pseudoplastic and dilatants fluid. Large values of entropy generation number appear in the area of the sheet due to the high viscous effects.
- Enhancing the value of the Deborah and Reynolds numbers results in the decrease in the Bejan profile in the case of the dilatant fluid, while the opposite effect is observed in the case of shear thinning.
Author Contributions
Funding
Data Availability Statement
Acknowledgments
Conflicts of Interest
Nomenclature
| Stretching rate | |
| Similarity function for velocity | |
| Ambient temperature | |
| Fluid temperature | |
| Microorganism concentration | |
| Dimensionless temperature | |
| Ambient concentration | |
| Power index number | |
| Deborah number | |
| Local Reynolds number | |
| Modified Hartmann number | |
| Thermal radiation | |
| Heat source/sink parameter | |
| Chemical reaction | |
| Thermal relaxation parameter | |
| Concentration relaxation parameter | |
| Thermophoresis parameter | |
| Brownian motion parameter | |
| Biot number | |
| Prandtl number | |
| Schmidt number | |
| Peclet number | |
| Lewis number | |
| Microorganism concentration difference parameter | |
| Fluid density | |
| Dynamic viscosity | |
| Ambient condition | |
| Skin friction coefficient | |
| Nusselt number | |
| Sherwood number | |
| Microorganism density number | |
| Ratio of the effective heat capacity | |
| Brinkman number | |
| Local volumetric entropy generation rate | |
| Entropy number | |
| Bejan number |
References
- Choi, S.U.; Eastman, J.A. Enhancing thermal conductivity of fluids with nanoparticles. in development and applications of non-Newtonian flow. ASME 1995, 66, 99–105. [Google Scholar]
- Buongiorno, J. Convective transport in nanofluids. J. Heat Transf. 2006, 128, 240–250. [Google Scholar] [CrossRef]
- Hussain, S.; Ahmad, S.; Mehmod, K.; Sagheer, M. Effects of inclintion angle on mixed convetive nanofluid flow in a double lid-driven cavity with discrete heat sources. Int. J. Heat Mass Transf. 2017, 106, 847–860. [Google Scholar] [CrossRef]
- Hussain, S.; Ahmed, S.E.; Saleem, F. Impact of periodic magnetic field on entropy generation and mixed convection. J. Thermophys. Heat Transf. 2018, 32, 999–1012. [Google Scholar] [CrossRef]
- Haq, F.; Saleem, M.; Rahman, M.U. Investigation of natural bio-convective flow of cross nanofluid containing gyrotactic microorganisems subject to activation energy and magnetic field. Phys. Scr. 2020, 95, 105219. [Google Scholar] [CrossRef]
- Prabakaran, R.; Eswaramoorthi, S.; Loganathan, K.; Sarris, I.E. Investigation on Thermally Radiative Mixed Convective Flow of Carbon Nanotubes/Al2O3 Nanofluid in Water Past a Stretching Plate with Joule Heating and Viscous Dissipation. Micromachines 2022, 13, 1424. [Google Scholar] [CrossRef]
- Mjankwi, M.A.; Masanja, V.G.; Mureithi, E.W.; James, M.N. Unsteady MHD flow of nanofluid with variable properties over a stretching sheet in the presence of thermal radiation and chemical reaction. Int. J. Math. Math. Sci. 2019, 2019, 7392459. [Google Scholar]
- Shahid, A. The effectiveness of mass transfer in the MHD upper-convected Maxwell fluid flow on a stretched porous sheet near stagnation point: A numerical invstigation. Inventions 2020, 5, 64. [Google Scholar] [CrossRef]
- Rafique, K.; Alotaibi, H.; Ibrar, N.; Khan, I. Stratified flow of micropolar nanofluid over riga plate: Numerical analysis. Energies 2022, 15, 316. [Google Scholar]
- Parvine, M.; Alam, M.M. Nanofluid flow along the riga plate with electromagnetic field in a rotating system. AIP Conf. Proc. 2019, 2121, 070003. [Google Scholar] [CrossRef]
- Abbas, T.; Ayub, M.; Bhatti, M.M.; Rashidi, M.M.; Ali, M.E.S. Entropy generation on nanofluidflow through a horizental riga plate. Entropy 2016, 18, 223. [Google Scholar] [CrossRef]
- Sannad, M.; Hussein, A.K.; Abidi, A.; Homod, R.Z.; Biswal, U.; Ali, B.; Kolsi, L.; Younis, O. Numeical study of MHD natural convection inside a cubical cavity loaded with copper-water nanofluid by using a non-homogeneous dynamic mathematical model. Mathematics 2022, 10, 2072. [Google Scholar] [CrossRef]
- Awan, A.U.; Ahammad, N.A.; Majeed, S.; Gamaoun, F.; Ali, B. Significance of hybrid nanoparticles, Lorentz and Coriolis forces on the dynamics of water-based flow. Int. Commun. Heat Mass Transf. 2022, 135, 106084. [Google Scholar] [CrossRef]
- Elanchezhian, E.; Nirmalkumar, R.; Balamurugan, M.; Mohana, K.; Prabu, K.M.; Viloria, A. Heat and mass transmission of an Oldroyd-B nanofluid flow through a stratified medium with swimming of motile gyrotactic microorganisms and nanoparticles. J. Therm. Anal. Calorim. 2020, 141, 2613–2623. [Google Scholar] [CrossRef]
- Loganathan, K.; Mohana, K.; Mohanraj, M.; Sakthivel, P.; Rajan, S. Impact of third-grade nanofluid flow across a convective surface in the presence of inclined Lorentz force: An approach to entropy optimization. J. Therm. Anal. Calorim. 2020, 144, 1935–1947. [Google Scholar] [CrossRef]
- Ahmad, S.; Khan, M.I.; Hayat, T.; Khan, M.I.; Alsaedi, A. Entropy genertion optimization and unsteady squeezing flow of viscous fluid with five different shapes of nanoparticles. Colloids Surf. A Physicochem. Eng. Asp. 2018, 554, 197–210. [Google Scholar] [CrossRef]
- Loganathan, K.; Rajan, S. An entropy approach of Williamson nanofluid flow with Joule heating and zero nanoparticle mass flux. J. Therm. Anal. Calorim. 2020, 141, 2599–2612. [Google Scholar] [CrossRef]
- Waqas, H.; Farooq, U.; Muhammad, T.; Hussain, S.; Khan, I. Thermal effect on bioconvection flow of Sutterby fluid between two rotating diskswith motiole microorganisems. Case Stud. Therm. Eng. 2021, 26, 101136. [Google Scholar] [CrossRef]
- Yahya, A.U.; Salamat, N.; Habib, D.; Ali, B.; Hussain, S.; Abdal, S. Implication of Bio-convection and Cattaneo-Christov heat flux on Williamson Sutterby nanofluid transportation caused by a stretching surface with convective boundary. Chin. J. Phys. 2021, 73, 706–718. [Google Scholar] [CrossRef]
- Fayyadh, M.M.; Naganthran, K.; Basir, M.F.M.; Hashim, I.; Roslan, R. Raiative MHD Sutterby Nanofluid Flow Past a Moving Sheet: Scaling Group Analysis. Mathemtics 2020, 8, 1430. [Google Scholar]
- Gowda, R.J.P.; Kumar, R.N.; Rauf, A.; Prasannakumara, B.C.; Shehzad, S.A. Magnetized flow of sutterby nanofluid through cattneo-christov theory of heat diffusion and stefan blowing condition. Appl. Nanosci. 2021. [Google Scholar] [CrossRef]
- Aldabesh, A.; Haredy, A.; Al-Khaled, K.; Khan, S.U.; Tlili, I. Darcy resistance flow of Sutterby nanofluid with microorganisms with applications of nano-biofuel cells. Sci. Rep. 2022, 12, 7514. [Google Scholar] [CrossRef] [PubMed]
- Hayat, T.; Masood, F.; Qayyum, S.; Alsaedi, A. Sutterby fluid flow subject to homogeneous-heterogeneous reactions and nonlinear radiation. Phys. A Stat. Mech. Appl. 2019, 2019, 123439. [Google Scholar] [CrossRef]
- Fujii, T.; Miyatake, O.; Fujii, M.; Tanaka, H.; Murakami, K. Natural convective heat transfer from a vertical isothermal surface to a non- Newtonian Sutterby fluid. Int. J. Heat Mass Transf. 1973, 16, 2177–2187. [Google Scholar]
- Bilal, S.; Sohail, M.; Naz, R.; Malik, M.Y. Dynamical and optimal procedure to analyse the exhibition of physical attribute imparted by Sutterby magneto nano fluid in Darcy medium yield by axially stretched cylindr. Can. J. Phys. 2019, 98, 1–10. [Google Scholar] [CrossRef]
- Khan, M.I.; Waqas, H.; Farooq, U.; Khan, S.U.; Chu, Y.M.; Kadry, S. Assessment of bioconvection in magentized Sutterby nanofluid configured by a rotating disk: A numerical approach. Mod. Phys. Lett. B 2021, 35, 2150202. [Google Scholar] [CrossRef]
- Sohail, M.; Naz, R. Modified heat and mass transmission models in the magnetohydrodynamic flow of Sutterby fluid flow in stretching cylinder. Phys. A Stat. Mech. Appl. 2020, 549, 124088. [Google Scholar] [CrossRef]
- Saif-ur-Rehman; Mir, N.A.; Alqarni, M.S.; Farooq, M.; Malik, M.Y. Analysis of heat generation/absorption in thermally stratified Sutterby fluid flow with Cattaneo-Christov theory. Microsyst. Technol. 2019, 25, 3365–3373. [Google Scholar] [CrossRef]
- Usman; Lin, P.; Ghaffari, A. Heat and mass transfer in a steady flow of Sutterby nanofluid over the surface of a stretching wedge. Phys. Scr. 2021, 96, 065003. [Google Scholar] [CrossRef]
- Ali, F.; Loganathan, K.; Prabu, E.; Eswaramoorthi, S.; Faizan, M.; Zaib, A.; Chaudhary, D.K. Entropy Minimization on Sutterby Nanofluid past a Stretching Surface with Swimming of Gyrotactic Microorganisms and Nanoparticles. Math. Probl. Eng. 2021, 5759671. [Google Scholar] [CrossRef]
- Khan, M.I.; Qayyum, S.; Hayat, T. Stratified flow of Sutterby fluid homogeneous-heterogeneous reaction and Cattaneo-Christov heat flux. Int. J. Numer. Methods Heat Fluid Flow 2019, 29, 2977–2992. [Google Scholar] [CrossRef]
- Kuznestov, A.V.; Nield, D.A. Natural convective boundary layer flow of a nanofluid past a verticle plate. Int. Therm. Sci. 2010, 49, 243–247. [Google Scholar]
- Kuznetsov, A.V. The onset of nanofluid bioconvection in a suspension containing both nanoparticles and gyrotactic microorganisems. Int. Commun. Heat Mass Transf. 2010, 37, 1421–1425. [Google Scholar] [CrossRef]
- Kotha, G.; Kolipaula, V.R.; Rao, M.V.S.; Penki, S.; Chamkha, A.J. Internal heat generation on bioconvection of an MHD nanofluid flow due to gyrotactic microorganisms. Eur. Phys. J. Plus 2020, 135, 135–600. [Google Scholar] [CrossRef]
- Siddiq, M.K.; Ashraf, M. Bioconvection of micropolar nanofluid with modified cattaneo-christov theories. Adv. Mech. Eng. 2020, 12, 1687814020925217. [Google Scholar] [CrossRef]
- Bagh, A.; Sajjad, H.; Yufeng, N.; Liaqat, A.; Ul, H.S. Finite element simulation of bioconvection and cattaneo-Christov effects on micropolar based nanofluid flow over a vertically stretching sheet. Chin. J. Phys. 2020, 68, 654–670. [Google Scholar]
- Azam, M.; Mahbood, F.; Khan, M. Bioconvection and activation energy dynamisms on radiative sutterby melting nanomaterial with gyrotactic microorganism. Case Stud. Therm. Eng. 2022, 30, 101749. [Google Scholar]
- Khashi’ie, N.S.; Arifin, N.M.; Pop, I.; Nazar, R. Dual solutions of bioconvection hybrid nanofluid flow due to gyrotactic microorganisms towards a vertical plate. Chin. J. Phys. 2021, 72, 461–474. [Google Scholar] [CrossRef]
- Azam, M. Bioconvection and nonlinear thermal extrusion in development of chemically reactive Sutterbynano-material due to gyrotactic microorganisms. Int. Commun. Heat Mass Transf. 2022, 130, 105820. [Google Scholar] [CrossRef]
- Hayat, T.; Inayatullah, A.; Alsaedi, A. Development of bioconvection flow of nano-material with melting effects. Chaos Solitons Fractals 2021, 148, 111015. [Google Scholar] [CrossRef]
- Reddy, C.S.; Ali, F.; Ahmed, M.F.A.F. Aspect on unsteady for MHD flow of cross nanofluid having gyrotactic motile microorganism due to convectively heated sheet. Int. J. Ambient Energy 2021. [Google Scholar] [CrossRef]
- Sarkar, S.; Kumar, T.; Ali, A.; Das, S. Themo-bioconvection of gyrotactic microorganisms in a polymer solution near a perforated Riga plate immersed in a DF medium involving heat radiation, and Arrhenius kinetics. Chem. Phys. Lett. 2022, 797, 139557. [Google Scholar] [CrossRef]
- Ali, F.; Zaib, A. Unsteady flow of an Eyring-Powell nanofluid near stagnation point past a convectively heated stretching sheet. Arab J. Basic Appl. Sci. 2019, 26, 215–224. [Google Scholar] [CrossRef]
- Rana, S.; Nawaz, M. Investigation of enhancement of heat transfer in Sutterby nanofluid using Koo-Kleinstreuer and Li (KKL) correlations and Cattaneo-Christov heat flux model. Phys. Scr. 2019, 94, 115213. [Google Scholar] [CrossRef]
- Mehmood, A.; Ali, A.; Shah, T. Heat transfer analysis of unsteady boundary layer flow by homotopy analysis method. Commun. Nonlinear Sci. Numer. Simul. 2008, 13, 902–912. [Google Scholar] [CrossRef]
- Karthik, T.S.; Loganathan, K.; Shankar, A.N.; Carmichael, M.J.; Mohan, A.; Kaabar, M.K.; Kayikci, S. Zero and nonzero mass flux effects of bioconvective viscoelastic nanofluid over a 3D Riga surface with the swimming of gyrotactic microorganisms. Adv. Math. Phys. 2021, 2021, 9914134. [Google Scholar] [CrossRef]
- Saeed, A.; Kumam, P.; Nasir, S.; Gul, T.; Kumam, W. Non-linear convective flow of the thin film nanofluid over an inclined stretching surface. Sci. Rep. 2021, 11, 18410. [Google Scholar] [CrossRef]
- Loganathan, K.; Sivasankaran, S.; Bhuvaneswari, M.; Rajan, S. Second-order slip, cross-diffusion and chemical reaction effects on magneto-convection of Oldroyd-B liquid using Cattaneo-Christov heat flux with convective heating. J. Therm. Anal. Calorim. 2019, 136, 401–409. [Google Scholar] [CrossRef]
- Eswaramoorthi, S.; Loganathan, K.; Jain, R.; Gyeltshen, S. Darcy-Forchheimer 3D Flow of Glycerin-Based Carbon Nanotubes on a Riga Plate with Nonlinear Thermal Radiation and Cattaneo-Christov Heat Flux. J. Nanomater. 2022, 2022, 5286921. [Google Scholar] [CrossRef]
- Gul, T.; Rehman, M.; Anwar, S.; Khan, I.; Khan, A.; Nasir, S.; Bariq, A. Magnetohydrodynamic impact on Carreau thin film couple stress nanofluid flow over an unsteady stretching sheet. Math. Probl. Eng. 2021, 2021, 8003805. [Google Scholar] [CrossRef]
- Loganathan, K.; Alessa, N.; Kayikci, S. Heat Transfer Analysis of 3-D Viscoelastic Nanofluid Flow Over a Convectively Heated Porous Riga Plate with Cattaneo-Christov Double Flux. Front. Phys. 2021, 9, 641645. [Google Scholar] [CrossRef]
- Wang, C.Y. Free Convection on a Vertical Stretching Surface. Z. Angew. Math. Mech. 1989, 69, 418–420. [Google Scholar] [CrossRef]
- Gorla, R.S.R.; Sidawi, I. Free convection on a vertical stretching surface with suction and blowing. Appl. Sci. Res. 1994, 52, 247–257. [Google Scholar] [CrossRef]
- Khan, W.A.; Pop, I. Boundary-layer flow of a nanofluid past a stretching sheet. Int. J. Heat Mass Transf. 2010, 53, 2477–2483. [Google Scholar] [CrossRef]















| Order of HAM | ||||
|---|---|---|---|---|
| Approximation | −f″(0) | −θ′(0) | −ϕ′(0) | −W′(0) |
| 1 | 0.874702 | 0.166821 | 1.21667 | 0.955833 |
| 5 | 0.768677 | 0.167973 | 1.41759 | 1.038657 |
| 10 | 0.765186 | 0.168223 | 1.42596 | 1.07814 |
| 15 | 0.765357 | 0.168144 | 1.42606 | 1.08236 |
| 20 | 0.765347 | 0.168158 | 1.42609 | 1.08264 |
| 25 | 0.765341 | 0.168158 | 1.42608 | 1.08261 |
| 30 | 0.765341 | 0.168157 | 1.42608 | 1.08258 |
| 35 | 0.765341 | 0.168157 | 1.42608 | 1.08258 |
| 40 | 0.765341 | 0.168157 | 1.42608 | 1.08258 |
| Pr | Wang [52] | Gorla and Sidawi [53] | Khan and Pop [54] | Present |
|---|---|---|---|---|
| 0.07 | 0.0663 | 0.0663 | 0.0663 | 0.0663 |
| 0.20 | 0.1691 | 0.1691 | 0.1691 | 0.1691 |
| 0.70 | 0.4539 | 0.4539 | 0.4539 | 0.4539 |
| 2.00 | 0.9113 | 0.9113 | 0.9113 | 0.9113 |
Publisher’s Note: MDPI stays neutral with regard to jurisdictional claims in published maps and institutional affiliations. |
© 2022 by the authors. Licensee MDPI, Basel, Switzerland. This article is an open access article distributed under the terms and conditions of the Creative Commons Attribution (CC BY) license (https://creativecommons.org/licenses/by/4.0/).
Share and Cite
Faizan, M.; Ali, F.; Loganathan, K.; Zaib, A.; Reddy, C.A.; Abdelsalam, S.I. Entropy Analysis of Sutterby Nanofluid Flow over a Riga Sheet with Gyrotactic Microorganisms and Cattaneo–Christov Double Diffusion. Mathematics 2022, 10, 3157. https://doi.org/10.3390/math10173157
Faizan M, Ali F, Loganathan K, Zaib A, Reddy CA, Abdelsalam SI. Entropy Analysis of Sutterby Nanofluid Flow over a Riga Sheet with Gyrotactic Microorganisms and Cattaneo–Christov Double Diffusion. Mathematics. 2022; 10(17):3157. https://doi.org/10.3390/math10173157
Chicago/Turabian StyleFaizan, Muhammad, Farhan Ali, Karuppusamy Loganathan, Aurang Zaib, Ch Achi Reddy, and Sara I. Abdelsalam. 2022. "Entropy Analysis of Sutterby Nanofluid Flow over a Riga Sheet with Gyrotactic Microorganisms and Cattaneo–Christov Double Diffusion" Mathematics 10, no. 17: 3157. https://doi.org/10.3390/math10173157
APA StyleFaizan, M., Ali, F., Loganathan, K., Zaib, A., Reddy, C. A., & Abdelsalam, S. I. (2022). Entropy Analysis of Sutterby Nanofluid Flow over a Riga Sheet with Gyrotactic Microorganisms and Cattaneo–Christov Double Diffusion. Mathematics, 10(17), 3157. https://doi.org/10.3390/math10173157

