You are currently viewing a new version of our website. To view the old version click .
Mathematics
  • Article
  • Open Access

2 September 2022

Optimal Purchasing Decisions with Supplier Default in Portfolio Procurement

,
and
1
College of Economics and Management, Qingdao University of Science and Technology, Qingdao 266061, China
2
College of Economics and Management, Binzhou University, Binzhou 256601, China
3
College of Economics and Management, Shandong University of Science and Technology, Qingdao 266590, China
4
College of Science, Binzhou University, Binzhou 256601, China

Abstract

As global public health events and regional conflicts have greater influence on supply chains nowadays, supplier default in procurement becomes more and more common in practice. However, there is less research on portfolio procurement purchasing decisions in the case of fixed-term contract supplier default. This paper focuses on the optimal purchasing decision of buyers by using a combination of fixed-term contracts and spot transactions, which is a beneficial extension of the classical newsvendor model. When supplier default is not considered, the optimal purchase quantity in the fixed-term contract is first obtained, which maximizes the buyer’s expected profits. Research shows that supplier default has an important impact on the optimal purchasing decision making in portfolio procurement. The optimal purchase quantity of the buyer in the fixed-term contract decreases with the increase in the default rate of the contract supplier, which implies that the default from the contract supplier inhibits a larger purchase quantity in the fixed-term contract. In addition, it is proved that the buyer’s expected profits from portfolio procurement increases with the decrease in the contract supplier’s default rate. Finally, numerical experiments and sensitivity analysis are conducted to prove the result, and some management opinions on the optimal decision-making in portfolio procurement with fixed-term contracts and spot transactions are put forward.

1. Introduction

As economic globalization tightens the communication between various economies and enterprises, the integration of industrial chain and supply chain deepens further and further. “Win-win cooperation” has become a common value orientation among regions, countries, and enterprises. The integrated economic operation mode has improved efficiency and injected vitality into the global economic development. At the same time, it will also produce systematic effects and chain reactions to a certain extent. The global outbreak of Corona Virus Disease 2019 in 2020 presented challenges to the security of the global industrial and supply chains. All countries are looking for ways and measures to improve the resilience of the industrial and supply chains to cope with the impact of global emergencies. Further, the conflict between Russia and Ukraine in 2022 has brought risks to the global energy and food supply, which also reflects that regional problems are actually global problems and human problems in today’s world environment, and it is necessary to constantly find and avoid risks.

2. Problem Context

Facing the uncertain market environment, various industries and enterprises are exploring a more flexible multi-channel supply chain. Reasonable selection of trading channels and adoption of multi-channel portfolio trading strategies can effectively deal with price risks and demand risks and improve the efficiency of the supply chain. Therefore, the research on portfolio procurement has become a hot topic.
Through the analysis of the existing literature, it is found that some of the literature has proved that the total benefit of portfolio procurement is higher than that of procurement from the traditional market (e.g., Lee, Whang, 2002 [1]; Chen et al., 2013 [2]; Gao y et al., 2021 [3]). Some of the literature has found that portfolio procurement can bring higher expected profits than single procurement (e.g., Karl and Peter, 2011 [4]; Xu et al., 2017 [5]; Huang and Zheng 2020 [6]). Other research has studied the fixed-term decision making of portfolio procurement (e.g., Nicola and sunder, 2014 [7]; Anderson et al.2017 [8]; Xu and Chan 2019 [9]; Li et al. 2021 [10]; Zhang et al., 2022 [11]). Further, there have been studies into the supply chain coordination in portfolio procurement (e.g., Lee et al. 2015 [12]; AI and Xu 2021 [13]). Other research has studied the risk management of portfolio procurement (such as Hong and Lee, 2013 [14]; Xu et al., 2015 [15]; Liu et al., 2019 [16]; Feng and ye, 2021 [17]; Xu et al., 2022 [18]; Xu et al., 2022 [19]). In addition, some studies have made further research on supply chain disruption under uncertainty. For example, Hendricks et al. [20] studied the response of the stock market to the supply chain disruption caused by the 2011 East Japan earthquake; Yuan et al. [21] studied the option contract strategy with risk aversion and emergency purchase; Dhingra et al. [22] studied the role of risk sharing under limited liability; Lin et al. [23] studied the coordination of influenza vaccine supply chain under uncertain supply and demand. Similar studies include Boute et al., 2021 [24], Zhang, et al., 2021 [25], Zhang and Wang, 2022 [26], etc. The existing literature shows that the combination of fixed-term contracts and spot transactions can increase the buyer’s expected profits and reduce the potential supply risk. However, while portfolio procurement provides greater flexibility, it also brings risks such as price fluctuations and supply uncertainty. Therefore, how to coordinate procurement decisions from both fixed-term contracts and spot transactions is full of challenges. If the buyer relies too much on fixed-term contract purchase, there will be risks and losses from supplier default caused by market price uncertainty and supply chain interruption. In the current situation that the uncertain factors of the world economic and social development are gradually accumulating, the probability of supplier default has increased significantly, which directly affects the development of enterprises and even their survival. Therefore, in the case of supplier default, how to choose the optimal decision in portfolio procurement to reduce potential risks and losses has become an important problem. In addition, through the analysis of the existing literature, it has been found that there is less research on portfolio procurement purchasing decisions in case of fixed-term contract supplier default, which is worthy of further exploration.
This paper studies the buyer’s optimal decision making in portfolio procurement with fixed-term contracts and spot transactions. In order to ensure a stable supply of products, the buyer will first sign a fixed-term contract. If the purchase quantity is greater than the market demand, the buyer can meet all demands of the market through the products in the fixed-term contract. If the purchase quantity is less than the demand of the market, the buyer shall first meet part of the market demand by the products purchased in the fixed-term contracts, and then purchase a certain amount of the products by spot transactions to meet the remaining demand of the market. This paper introduces a model to analyze the above problems and obtains the optimal purchasing decision of fixed-term contracts in which the buyer expects to maximize the profits with and without contract supplier default. The relevant results are verified by numerical cases and provide relevant management enlightenment for the optimal purchasing decision in portfolio procurement.
The structure of this paper is arranged as follows: Section 2 presents the situation of the problem. Section 3 studies optimal purchasing decisions in portfolio purchasing considering contract supplier defaults. Section 4 illustrates the results with numerical examples. Section 5 provides conclusions and management insights.

3. Theoretical Model Construction

Assuming that the market demand is a random variable, f (·) and F (·) are its probability density function and cumulative distribution function, respectively. In order to ensure the supply of a certain amount of products, buyers and suppliers usually sign fixed-term contracts. In a fixed-term contract, let Q denote the quantity purchased by the buyer, c denote the wholesale price of the product, p denote the retail price of the product, and D denote the realized market demand, and then supplement the product at the spot price c s from the spot market. We assume that there are enough products in the spot market and that there is no shortage penalty cost caused by the loss of excess demand. Without losing generality, we assume that p c s c .
( Q ) = { p D c Q D Q ; p D c Q c s ( D Q ) D > Q .
In real transactions, due to the sharp fluctuations in market prices or the impact of epidemics, local wars, and other emergencies, there is a high probability that suppliers will default. This paper defines the default rate of fixed-term contracts as m ( m ϵ [0, 1]). Considering the supplier’s default, the profits obtained by the buyer from the portfolio procurement can be expressed as
m ( Q ) = { p D c ( 1 m ) Q D ( 1 m ) Q ; p D c ( 1 m ) Q c s [ D ( 1 m ) Q ] D > ( 1 m ) Q .

4. Optimal Decision in Portfolio Procurement under Supplier Default

4.1. Portfolio Procurement Decision without Considering Supplier Default

For portfolio procurement with fixed-term contracts and spot transactions, this part discusses the optimal purchasing decision in fixed-term contracts without considering supplier default.
Theorem 1.
In order to maximize the expected profits E [ ( Q ) ] regardless of supplier’s default, the buyer’s optimal purchase quantity Q * in the fixed-term contracts satisfies
c s c c s F ( Q * ) = 0 .
Proof of Theorem 1.
According to Section 3, when the supplier default is not considered, the buyer’s profit function is
( Q ) = { p D c Q D Q ; p D c Q c s ( D Q ) D > Q .
Then, the expectation of ( Q ) is
E [ Π ( Q ) ] = 0 Q ( p t c Q ) d F ( t ) + Q + [ p t c Q c s ( t Q ) ] d F ( t ) .
Thus, it can be seen that
E [ ( Q ) ] Q = c s c c s F ( Q ) .
Further, as follows:
2 E [ ( Q ) ] Q 2 = c s f ( Q ) < 0 .
This means that E [ ( Q ) ] is concave in Q . Therefore, it meets the first-order condition, that is, it reaches the maximum value when the purchase quantity is Q * .
c s c c s F ( Q * ) = 0 .
The proof is completed. □
The optimal purchasing quantity Q * for the buyer to maximize the expected profits in the fixed-term contracts is
Q * = F 1 ( c s c c s )

4.2. Portfolio Procurement Decision Considering Supplier Default

As mentioned in Section 3, the default of fixed-term contract suppliers will have an important impact on portfolio procurement. Especially in recent years, factors such as major public health events (such as COVID-19) and local wars caused by intensified conflicts (such as the Russian–Ukrainian conflict) have triggered international political and economic turmoil, which directly caused violent fluctuations in market prices. The stable supply of fixed-term contracts is often subject to defaults, and this phenomenon is becoming more and more frequent. How does supplier default affect the buyer’s optimal decision in portfolio purchase? In order to answer this question, we obtained the following results about the optimal purchasing decision of the buyer to maximize the expected profits in the portfolio purchase.
Theorem 2.
In cases of fixed-term contract supplier default, in order to maximize the expected profits E [ m ( Q ) ] , the buyer’s optimal purchase quantity in the fixed-term contracts is satisfied:
( 1 m ) ( c s c ) [ ( 1 m ) c s + m c ] F ( ( 1 m ) Q m * ) = 0 .
Proof of Theorem
2. According to Section 3, when a fixed-term contract supplier defaults, the buyer’s profit function is
m ( Q ) = { p D c ( 1 m ) Q D ( 1 m ) Q ; p D c ( 1 m ) Q c s [ D ( 1 m ) Q ] D > ( 1 m ) Q .
Then, the expectation of m ( Q ) is
E [ Π m ( Q ) ] = 0 ( 1 m ) Q [ p t c ( 1 m ) Q ] d F ( t ) + ( 1 m ) Q + [ p t c ( 1 m ) Q c s [ t ( 1 m ) Q ] ] d F ( t ) .
Thus, it can be seen that
E [ m ( Q ) ] Q = ( 1 m ) ( c s c ) [ ( 1 m ) c s + m c ] F ( ( 1 m ) Q ) .
Further, as follows:
2 E [ m ( Q ) ] 2 Q = [ ( 1 m ) c s + m c ] f ( ( 1 m ) Q ) .
This means that E [ m ( Q ) ] is concave in Q . Therefore, it meets the first-order condition, that is, it reaches the maximum value when the purchase quantity is Q m * .
( 1 m ) ( c s c ) [ ( 1 m ) c s + m c ] F ( ( 1 m ) Q m * ) = 0 .
The proof is completed. □
The optimal purchasing decision for the buyer to maximize the expected profits in the fixed-term contracts is
Q m * = 1 1 m F 1 ( ( 1 m ) ( c s c ) ( 1 m ) c s + m c )
Theorem 2 gives the optimal purchase quantity of the buyer in the fixed-term contracts when considering the default of the supplier, which maximizes the expected profits from the portfolio procurement. Let m = 0; the fixed-term contracts supplier does not default, as shown in Theorem 1.
Corollary 1.
Considering the default of fixed-term contract suppliers, the buyer’s optimal purchase quantity Q m * , which maximizes the expected profits, E [ m ( Q ) ] increases in the wholesale price c .
Proof of Corollary 1.
According to Theorem 2, the optimal purchase quantity meets
( 1 m ) ( c s c ) [ ( 1 m ) c s + m c ] F ( ( 1 m ) Q m * ) = 0 .
From the implicit function theorem
Q m * c = ( 1 m ) + m F ( ( 1 m ) Q m * ) [ ( 1 m ) f ( ( 1 m ) Q m * ) 0
It is proved that Q m * decreases monotonically in the wholesale price c .
The proof is completed. □
Corollary 2.
Considering the default of fixed-term contract suppliers, the buyer’s optimal purchase quantity Q m * , which maximizes the expected profits, E [ m ( Q ) ] decreases in the wholesale price c s .
Proof of Corollary
2. The proof is omitted here, which is similar to that in Corollary 1.
Q m * c s = ( 1 m ) [ 1 F ( ( 1 m ) Q m * ) ] [ ( 1 m ) f ( ( 1 m ) Q m * ) 0 ,
The rise in spot prices means an increase in replenishment costs. Therefore, the higher the spot price, the more products the buyer should purchase in the fixed-term contracts.
Corollary 3.
When considering the default rate m of fixed-term contracts suppliers, the optimal purchase quantity  Q m * for the buyer to maximize the expected profits E [ m ( Q ) ] is decreasing.
Proof of Corollary 3.
The proof is omitted here, which is similar to that in Corollary 1.
Q m * m = ( c s c ) [ 1 F ( ( 1 m ) Q m * ) ] [ ( 1 m ) f ( ( 1 m ) Q m * ) 0 ,
This result reveals that when the default rate of fixed-term contracts suppliers is relatively high, the buyer should purchase more products in the fixed-term contracts to ensure that the market demand is met and reduce the replenishment cost.
Theorem 3.
Under the optimal purchase quantity Q m * , the buyer’s expected profits E [ m ( Q ) ] decrease continuously in the fixed-term contracts supplier default rate m .
Proof of Theorem
3. According to the proof of Theorem 1, the expected profits of the buyer’s optimal purchase quantity is
E [ ( Q ) ] Q = c s c c s F ( Q ) .
Substitute Q m * as follows:
E [ ( Q m * ) ] m = E [ ( Q m * ) ] Q Q m * m = [ c s c c s F ( Q m * ) ] Q m * m .
According to Theorem 2,
[ c s c c s F ( Q m * ) ] ( 1 m ) ( c s c ) [ ( 1 m ) c s + m c ] F ( ( 1 m ) Q m * ) = 0 .
From the results in Corollary 3, then
E [ ( Q m * ) ] m = E [ ( Q m * ) ] Q Q m * m 0 .
This shows that E [ m ( Q ) ] decreases monotonically in the supplier default rate m .
The proof is completed. □
This result implies that the default of fixed-term contract suppliers has a significant impact on the buyer’s expected profits from portfolio procurement. If the supplier of the fixed-term contracts has a high default, the buyer needs to urgently replenish products by spot transactions to meet the market demand, resulting in a large replenishment cost. In addition, the supply capacity of the spot market also places more emphasis on the timeliness of replenishment and the risk of unsubscribing. Therefore, avoiding the default risk of fixed-term contract suppliers as much as possible can better benefit the buyer in the portfolio procurement.

5. Numerical Simulation and Discussion

This section illustrates the results through numerical results and provides managerial advice on optimal purchasing decision in portfolio purchasing.
Example: Assuming that the market demand ξ obeys the uniform distribution U [0, 1000], for a fixed parameter, the numerical results of Q * and Q m * are given and the sensitivity of the parameters is analyzed.

5.1. Impact of Changes in Wholesale Price and Spot Price on Optimal Procurement Decision

For c s = 8, m = 0.5, Figure 1 gives the optimal purchase quantity sum for different wholesale prices c ∈ [5, 7]. Figure 1 shows that with the increase in wholesale price c , the optimal purchase quantity Q * and Q m * decrease. Under different wholesale prices, the optimal purchase quantity when considering the default of fixed-term contracts suppliers decreases faster than that without considering the default of fixed-term contracts suppliers.
Figure 1. Optimal purchase quantity Q * and Q m * under different wholesale prices c .
For c = 6, m = 0.5, Figure 2 shows the sum of the optimal purchase quantities under different spot prices c s ∈ [7, 9]. It can be seen from Figure 2 that in the spot price, the optimal purchase quantity Q * and Q m * are increasing, but the increase range is different. The growth rate of Q * has gradually changed, and the gap with Q m * is becoming larger and larger.
Figure 2. Optimal purchase quantity Q * and Q m * under different spot prices c s .

5.2. The Influence of Fixed-Term Contract Supplier Default on Optimal Purchasing Decision

It can be seen from Section 3 that the buyer’s optimal purchasing decision is closely related to the default of fixed-term contract suppliers. Therefore, the buyer should consider the default of the fixed-term contract supplier when making the optimal purchasing decision in the fixed-term contracts. The numerical results show the correlation between the fixed-term contract supplier default and the buyer’s optimal purchasing decision.
Let c s = 8, c = 6; for different fixed-term contracts, the sum of the optimal purchase quantity under the buyer’s default rate m ∈ [0, 1] is shown in Figure 3. In Figure 3, it is verified that under different fixed-term contract buyer default rates m , the optimal purchase quantity Q m * increases with the fixed-term contract supplier default rate and is greater than the optimal purchase quantity Q * .
Figure 3. Optimal purchase quantity Q * and Q m * under different fixed-term contract buyer default rate m .

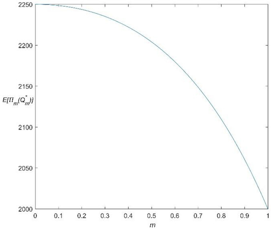
5.3. The Influence of Fixed-Term Contract Supplier’s Default on Buyer’s Expected Profits

It can be seen from Section 3 that the default of fixed-term contract suppliers has a significant impact on the purchasers’ expected profits in portfolio procurement. Suppose p = 12, c s = 8, c = 6; for different fixed-term contracts buyer default rates m ∈ [0, 1], the buyer’s expected profits E [ m ( Q m * ) ] under the optimal purchase quantity Q m * in portfolio procurement is shown in Figure 4. Figure 4 shows that the buyer’s expected profits E [ m ( Q m * ) ] are decreasing in the fixed-term contracts buyer’s default rate m .
Figure 4. Expected profits E [ m ( Q m * ) ] under different fixed-term contracts supplier default rate m .
When the default rate of fixed-term contract suppliers is small, the buyer’s expected profits are less sensitive to the default rate of fixed-term contract suppliers. However, when the default rate of fixed-term contract suppliers becomes larger, the expected profits of buyers become more and more sensitive to the change in default rate of fixed-term contract suppliers. It reveals the important influence of fixed-term contract buyer’s default on the buyer’s expected profits from the portfolio procurement.

6. Conclusions and Management Enlightenment

In portfolio procurement, the buyer can maintain the supply at a certain level through fixed-term contracts on the one hand and take advantage of spot transactions on the other hand. In this paper, firstly, the optimal purchasing decision of the buyer in the fixed-term contracts is obtained without considering the default of the supplier in the fixed-term contracts, so as to maximize the expected profits. Then, we further study the optimal decision of the buyer when considering the default of fixed-term contract suppliers. The properties of optimal purchasing decision are discussed, and the influence of parameter change on optimal purchasing decision is analyzed. Then, we study the influence of supplier default on the optimal purchasing decision and find some interesting results. For example, the higher the default rate of a fixed-term contracts supplier, the more products a buyer should purchase in the fixed-term contracts. At the same time, as the default rate of a fixed-term contracts supplier increases, the buyer’s expected profits gradually decrease. Therefore, the research of this paper is helpful to deeply study the purchasing decision of buyers, and the conclusions can provide decision support for buyers’ portfolio purchasing in practice.
Based on the above research results, this study has the following suggestions on the optimal decision of buyers in portfolio procurement. (i) Supplier default has a significant impact on the procurement decision making, and the buyer’s optimal procurement decision changes with the change in default rate. For example, when the default rate rises, buyers need to supplement excess demand through the spot market to avoid losses caused by insufficient orders. (ii) The smaller the default rate of the fixed-term contracts supplier, the greater the expected profits for buyers in portfolio procurement. Therefore, buyers should carefully select suppliers to minimize the default rate so as to obtain more profits and reduce unnecessary losses in the portfolio procurement.
Some extension of this study is possible. The research confirms that people have loss aversion in decision making, and buyers also have loss aversion in the decision-making process. Therefore, this study can incorporate the buyer’s loss or risk aversion preference into the optimal purchasing decision-making of portfolio procurement and analyze the influence of behavioral preference on the buyer’s optimal purchasing decision making, which would be a more interesting question.

Author Contributions

Conceptualization, G.L.; methodology, X.L. and X.X.; software, X.X.; validation, X.L.; formal analysis, G.L.; investigation, X.L. and X.X.; writing—original draft preparation, X.L. and X.X.; writing—review and editing, X.L.; visualization, X.L.; and supervision, G.L. All authors have read and agreed to the published version of the manuscript.

Funding

This work was supported by the National Natural Science Foundation of China under Grant 71871026.

Institutional Review Board Statement

Not applicable.

Data Availability Statement

Not applicable.

Acknowledgments

We would like to thank the editor and the anonymous reviewers for the valuable comments, which helped us to improve the paper greatly.

Conflicts of Interest

The authors declare no conflict of interest.

References

  1. Lee, H.; Whang, S. The Impact of the Secondary Market on the Supply Chain. Manag. Sci. 2002, 48, 719–731. [Google Scholar] [CrossRef]
  2. Chen, F.; Xue, W.; Yang, J. Optimal inventory policy in the presence of a long-term supplier and a spot market. Oper. Res. 2013, 61, 88–97. [Google Scholar] [CrossRef]
  3. Gao, Y.; Feng, Z.; Zhang, S.B. Managing supply chain resilience in the era of VUCA. Front. Eng. Manag. 2021, 8, 465–470. [Google Scholar] [CrossRef]
  4. Karl, I.; Peter, K. Capacity reservation under spot market price uncertainty. Int. J. Prod. Econ. 2011, 133, 272–279. [Google Scholar]
  5. Xu, X.S.; Wang, H.W.; Dang, C.Y.; Ji, P. The loss-averse newsvendor model with backordering. Int. J. Prod. Econ. 2017, 188, 1–10. [Google Scholar] [CrossRef]
  6. Huang, Z.C.; Zheng, Q.P. A multistage stochastic programming approach for preventive maintenance scheduling of GENCOs with natural gas contract. Eur. J. Oper. Res. 2020, 287, 1036–1051. [Google Scholar] [CrossRef]
  7. Nicola, S.; Sunder, K. Optimal energy procurement in spot and forward markets. Manuf. Serv. Oper. Manag. 2014, 16, 270–282. [Google Scholar]
  8. Anderson, E.; Chen, B.; Shao, L.S. Supplier competition with option contracts for discrete blocks of capacity. Oper. Res. 2017, 65, 952–967. [Google Scholar]
  9. Xu, X.S.; Chan, F.T.S. Optimal option purchasing decisions for the risk-averse retailer with shortage cost. Asia-Pac. J. Oper. Res. 2019, 36, 15. [Google Scholar] [CrossRef]
  10. Li, J.B.; Luo, X.M.; Wang, Q.F.; Zhou, W.H. Supply chain coordination through capacity reservation contract and quantity flexibility contract. Omega 2021, 99, 102195. [Google Scholar] [CrossRef]
  11. Zhang, J.H.; Xu, X.S.; Chan, F.T.S. Data-driven analysis on optimal purchasing decisions in combined procurement. Int. J. Prod. Res. 2022, 1–14. [Google Scholar] [CrossRef]
  12. Lee, C.Y.; Tang, C.S.; Yin, R.; An, J. Fractional price matching policies arising from the ocean freight service industry. Prod. Oper. Manag. 2015, 24, 1118–1134. [Google Scholar]
  13. Ai, Y.Q.; Xu, Y.F. Strategic sourcing in forward and spot markets with reliable and unreliable suppliers. Int. J. Prod. Res. 2021, 59, 926–941. [Google Scholar] [CrossRef]
  14. Hong, Z.; Lee, C.K.M. A decision support system for procurement risk management in the presence of spot market. Decis. Support Syst. 2013, 55, 67–78. [Google Scholar] [CrossRef]
  15. Xu, J.; Feng, G.Z.; Jiang, W.; Wang, S.Y. Optimal procurement of long-term contracts in the presence of imperfect spot market. Omega 2015, 52, 42–52. [Google Scholar] [CrossRef]
  16. Liu, X.Q.; Chan, F.T.S.; Xu, X.S. Hedging Risks in the Loss-Averse Newsvendor Problem with Backlogging. Mathematics 2019, 7, 429. [Google Scholar] [CrossRef]
  17. Feng, B.; Ye, Q.W. Operations management of smart logistics: A literature review and future research. Front. Eng. Manag. 2021, 8, 344–355. [Google Scholar] [CrossRef]
  18. Xu, X.S.; Chan, F.T.S.; Chan, C.K. Optimal option purchase decision of a loss-averse retailer under emergent replenishment. Int. J. Prod. Res. 2019, 57, 4594–4620. [Google Scholar] [CrossRef]
  19. Xu, X.S.; Ji, P.; Chan, F.T.S. On maximizing a loss-averse buyer’s expected utility in a multi-sourcing problem. Math. Comput. Simul. 2022, 202, 388–404. [Google Scholar] [CrossRef]
  20. Hendricks, K.B.; Jacobs, B.W.; Singhal, V.R. Stock market reaction to supply chain disruptions from the 2011 great east Japan earthquake. Manuf. Serv. Oper. Manag. 2020, 22, 683–699. [Google Scholar] [CrossRef]
  21. Yuan, X.; Bi, G.; Zhang, B.; Yu, Y. Option contract strategies with risk-aversion and emergencey purchase. Int. Trans. Oper. Res. 2020, 27, 3079–3103. [Google Scholar] [CrossRef]
  22. Dhingra, V.; Krishnan, H. Managing reputation risk in supply chains: The role of risk sharing under limited liability. Manag. Sci. 2021, 67, 4845–4862. [Google Scholar] [CrossRef]
  23. Lin, Q.; Zhao, Q.H.; Lev, B. Influenza vaccine supply chain coordination under uncertain supply and demand. Eur. J. Oper. Res. 2022, 297, 930–948. [Google Scholar] [CrossRef]
  24. Boute, R.N.; Disney, S.M.; Gijsbrechts, J.; Van, M.J.A. Dual sourcing and smoothing under nonstationary demand time series: Reshoring with speed factories. Manag. Sci. 2021, 68, 1039–1057. [Google Scholar] [CrossRef]
  25. Zhang, X.; Wang, Y.; Geng, G.; Yu, J. Delay-Optimized Multicast Tree Packing in Software-Defined Networks. In IEEE Transactions on Services Computing; IEEE: Los Alamos, NM, USA, 2021; pp. 1–14. [Google Scholar] [CrossRef]
  26. Zhang, X.; Wang, T. Elastic and Reliable Bandwidth Reservation Based on Distributed Traffic Monitoring and Control. In IEEE Transactions on Parallel and Distributed Systems; IEEE: Los Alamitos, CA, USA, 2022; pp. 1–18. [Google Scholar] [CrossRef]
Publisher’s Note: MDPI stays neutral with regard to jurisdictional claims in published maps and institutional affiliations.

Article Metrics

Citations

Article Access Statistics

Multiple requests from the same IP address are counted as one view.