Frequency Analysis of the Railway Track under Loads Caused by the Hunting Phenomenon
Abstract
1. Introduction
2. Mathematical Model
2.1. Rail Model
2.2. Wheel-Rail Interaction Forces
2.3. Method of Solution
3. Methodology
4. Results
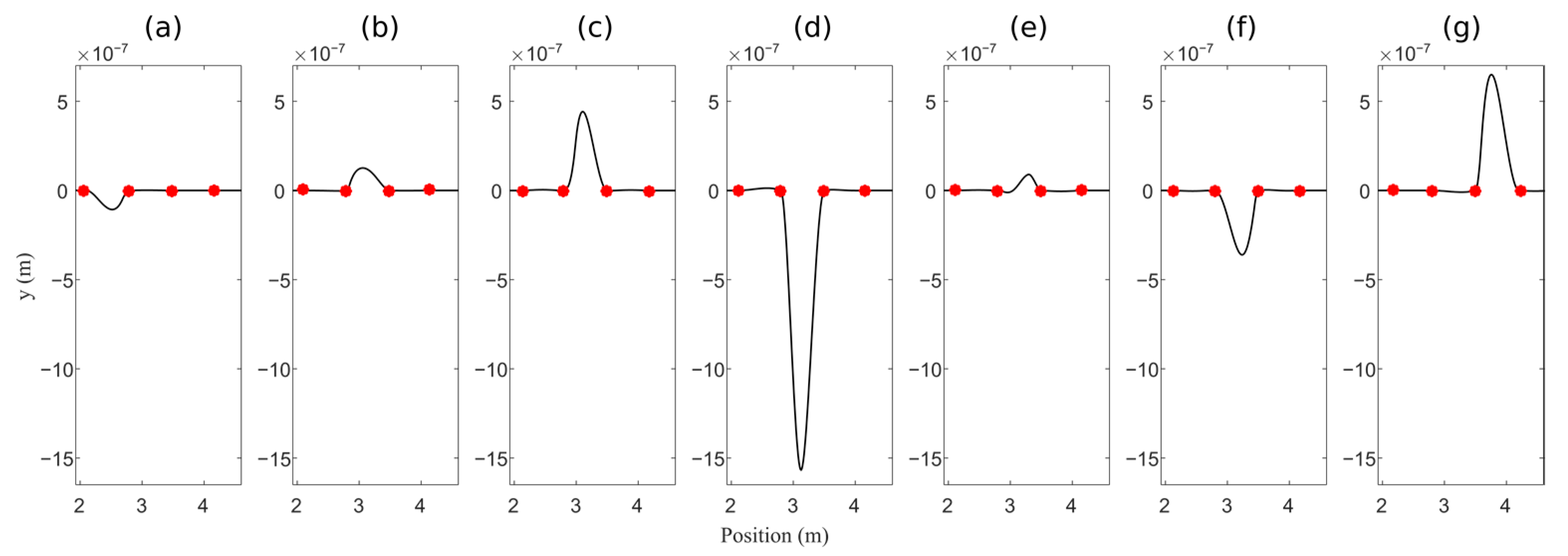
4.1. Rail Deflections
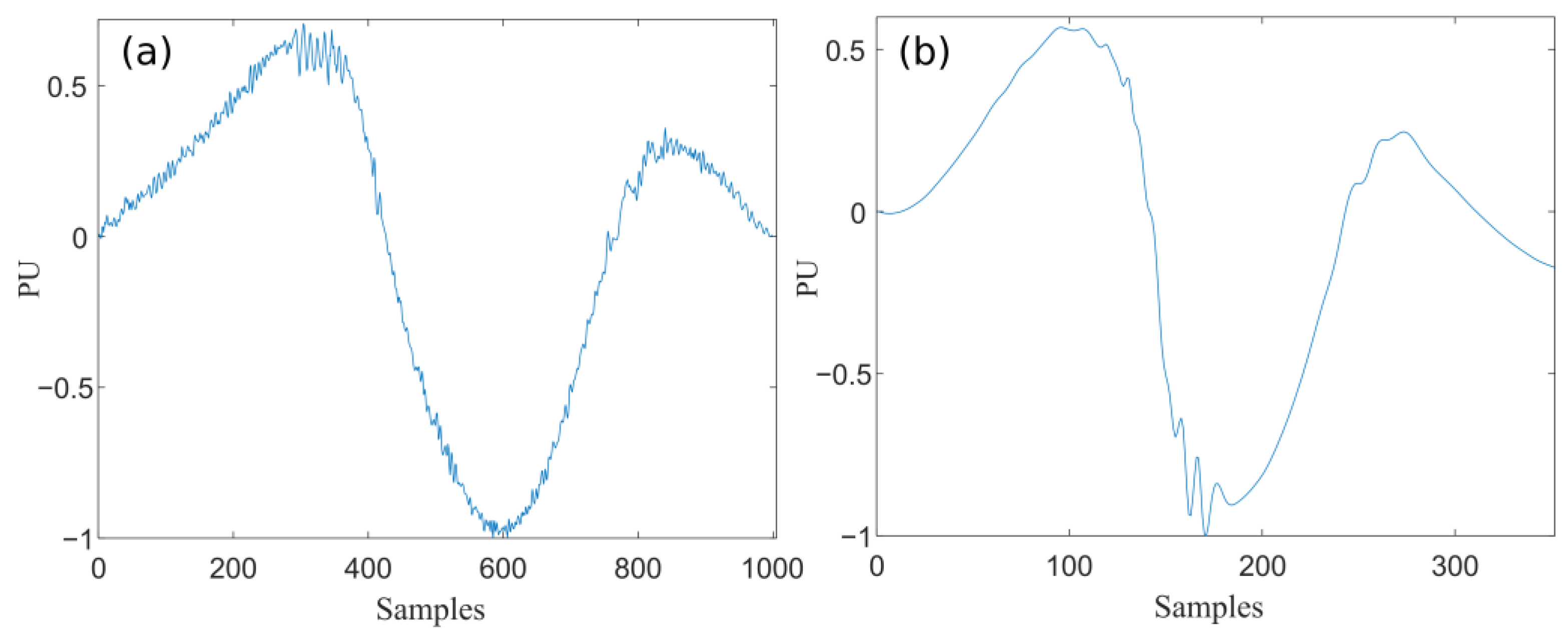
4.2. EMD Decomposition of the Time Response of the Nodes
4.3. Frequency Domain Analysis during Hunting
5. Conclusions
Author Contributions
Funding
Institutional Review Board Statement
Informed Consent Statement
Data Availability Statement
Acknowledgments
Conflicts of Interest
References
- Sharma, R.C. Recent Advances in Railway Vehicle Dynamics. Int. J. Veh. Struct. Syst. 2012, 4, 52–63. [Google Scholar] [CrossRef]
- Liu, X.; Markine, V.L. Train Hunting Related Fast Degradation of a Railway Crossing—Condition Monitoring and Numerical Verification. Sensors 2020, 20, 2278. [Google Scholar] [CrossRef] [PubMed]
- Skerman, D.; Cole, C.; Spiryagin, M. Determining the critical speed for hunting of three-piece freight bogies: Practice versus simulation approaches. Veh. Syst. Dyn. 2021, 1–22. [Google Scholar] [CrossRef]
- Huang, C.; Zeng, J.; Liang, S. Carbody hunting investigation of a high speed passenger car. J. Mech. Sci. Technol. 2013, 27, 2283–2292. [Google Scholar] [CrossRef]
- Di Gialleonardo, E.; Braghin, F.; Bruni, S. The influence of track modelling options on the simulation of rail vehicle dynamics. J. Sound Vib. 2012, 331, 4246–4258. [Google Scholar] [CrossRef]
- Wei, Q.; Zhang, X.; Wang, Y.; Feng, N.; Shen, Y. Rail defect detection based on vibration acceleration signals. In Proceedings of the 2013 IEEE International Instrumentation and Measurement Technology Conference (I2MTC), Minneapolis, MN, USA, 6–9 May 2013; pp. 1194–1199. [Google Scholar]
- Sun, M.; Wang, Y.; Zhang, X.; Liu, Y.; Wei, Q.; Shen, Y.; Feng, N. Feature selection and classification algorithm for non-destructive detecting of high-speed rail defects based on vibration signals. In Proceedings of the 2014 IEEE International Instrumentation and Measurement Technology Conference (I2MTC) Proceedings, Montevideo, Uruguay, 12–15 May 2014; pp. 819–823. [Google Scholar] [CrossRef]
- Chong, L.; Jiahong, W.; Zhixin, Z.; Junsheng, L.; Tongqun, R.; Hongquan, X. Design and evaluation of a remote measurement system for the online monitoring of rail vibration signals. Proc. Inst. Mech. Eng. Part F J. Rail Rapid Transit 2014, 230, 724–733. [Google Scholar] [CrossRef]
- Naeimi, M.; Zakeri, J.A.; Esmaeili, M.; Shadfar, M. Influence of uneven rail irregularities on the dynamic response of the railway track using a three-dimensional model of the vehicle–track system. Veh. Syst. Dyn. 2014, 53, 88–111. [Google Scholar] [CrossRef]
- Yan, Z.-Q.; Markine, V.; Gu, A.-J.; Liang, Q.-H. Optimization of the dynamic properties of the ladder track system to control rail vibration using the multipoint approximation method. J. Vib. Control 2013, 20, 1967–1984. [Google Scholar] [CrossRef]
- Giner-Navarro, J.; Martínez-Casas, J.; Denia, F.; Baeza, L. Study of railway curve squeal in the time domain using a high-frequency vehicle/track interaction model. J. Sound Vib. 2018, 431, 177–191. [Google Scholar] [CrossRef]
- Lou, P.; Yu, Z.W.; Au, F.T.K. Rail–bridge coupling element of unequal lengths for analysing train–track–bridge interaction systems. Appl. Math. Model. 2012, 36, 1395–1414. [Google Scholar] [CrossRef]
- Yang, H.; Chen, Z.; Li, S.; Zhang, H.; Fan, J. An integrated coupling element for vehicle-rail-bridge interaction system with a non-uniform continuous bridge. Acta Mech. Solida Sin. 2015, 28, 313–330. [Google Scholar] [CrossRef]
- Cheng, Y.S.; Au, F.T.K.; Cheung, Y.K. Vibration of railway bridges under a moving train by using bridge-track-vehicle element. Eng. Struct. 2001, 23, 1597–1606. [Google Scholar] [CrossRef]
- Lou, P.; Zeng, Q.-Y. Formulation of equations of motion of finite element form for vehicle-track-bridge interaction system with two types of vehicle model. Int. J. Numer. Methods Eng. 2004, 62, 435–474. [Google Scholar] [CrossRef]
- Sysyn, M.; Nabochenko, O.; Kovalchuk, V. Experimental investigation of the dynamic behavior of railway track with sleeper voids. Railw. Eng. Sci. 2020, 28, 290–304. [Google Scholar] [CrossRef]
- Sysyn, M.; Przybylowicz, M.; Nabochenko, O.; Liu, J. Mechanism of Sleeper–Ballast Dynamic Impact and Residual Settlements Accumulation in Zones with Unsupported Sleepers. Sustainability 2021, 13, 7740. [Google Scholar] [CrossRef]
- Li, Z.G.; Wu, T.X. On vehicle/track impact at connection between a floating slab and ballasted track and floating slab track’s effectiveness of force isolation. Veh. Syst. Dyn. 2009, 47, 513–531. [Google Scholar] [CrossRef]
- Blanco, B.; Alonso, A.; Kari, L.; Gil-Negrete, N.; Giménez, J.G. Implementation of Timoshenko element local de-flection for vertical track modelling. Veh. Syst. Dyn. 2019, 57, 1421–1444. [Google Scholar] [CrossRef]
- Jin, X.; Xiao, X.; Wen, Z.; Zhou, Z. Effect of sleeper pitch on rail corrugation at a tangent track in vehicle hunting. Wear 2008, 265, 1163–1175. [Google Scholar] [CrossRef]
- Lewis, R.; Olofsson, U. (Eds.) Wheel-Rail Interface Handbook; Woodhead Publishing Limited: Cambridge, UK, 2009. [Google Scholar]
- Katsikadelis, J.T. Dynamic Analysis of Structures; Academic Press: Cambridge, MA, USA, 2020. [Google Scholar]
- Chen, L.; Yu, L.; Chao, C. Research on widening construction clearance on the transition curve of existing railway lines based on SIMPACK. MATEC Web Conf. 2018, 175, 03071. [Google Scholar] [CrossRef][Green Version]
- Tang, Z.; Yuan, X.; Xie, X.; Jiang, J.; Zhang, J. Implementing railway vehicle dynamics simulation in general-purpose multibody simulation software packages. Adv. Eng. Softw. 2019, 131, 153–165. [Google Scholar] [CrossRef]
- Farhat, N.; Ward, C.P.; Goodall, R.M.; Dixon, R. The benefits of mechatronically-guided railway vehicles: A mul-ti-body physics simulation study. Mechatronics 2018, 51, 115–126. [Google Scholar] [CrossRef]
- Chuan, H.Y.; Chen, L.; Jia, L.F.; Ping, Z.Q. Simulation Analysis of the Effect of Turning Radius on the Running Safety of Piggyback Transportation Vehicle System. Procedia Comput. Sci. 2020, 166, 57–61. [Google Scholar] [CrossRef]
- Iwnicki, S.; Spiryagin, M.; Cole, C.; McSweeney, T. (Eds.) Handbook of Railway Vehicle Dynamics, 2nd ed.; CRC Press: Boca Raton, FL, USA, 2019. [Google Scholar]
- Garg, V.K.; Dukkipati, R.V. Dynamics of Railway Vehicle Systems; Academic Press: Cambridge, MA, USA, 1984; pp. 245–247. [Google Scholar] [CrossRef]
- Kostovasilis, D.; Thompson, D.J.; Hussein, M.F.M. The effect of vertical-lateral coupling of rails including initial curvature. In Proceedings of the 22nd International Congress on Sound and Vibration (ICSV22), Florence, Italy, 12–16 July 2015. [Google Scholar]
- Lu, S.-S.; Lee, Y.-L.; Lin, J.-J.; Chang, C.C. An EMD-based principal frequency analysis with applications to nonlinear mechanics. Mech. Syst. Signal Process. 2020, 150, 107300. [Google Scholar] [CrossRef]
- Komorowski, D.; Pietraszek, S. The Use of Continuous Wavelet Transform Based on the Fast Fourier Transform in the Analysis of Multi-channel Electrogastrography Recordings. J. Med. Syst. 2016, 40, 10. [Google Scholar] [CrossRef] [PubMed]
- Jauregui-Correa, J.C.; Otremba, F.; Romero-Navarrete, J.A.; Hurtado-Hurtado, G. Determination of the Effect of Sloshing on the Railcar-Track Dynamic Behavior. In Multibody Mechatronic Systems; MuSMe 2021. Mechanisms and Machine Science; Pucheta, M., Cardona, A., Preidikman, S., Hecker, R., Eds.; Springer: Cham, Switzerland, 2022; Volume 110. [Google Scholar] [CrossRef]
- Giron-Sierra, J.M. Digital Signal Processing with Matlab Examples: Signals and Communication Technology; Springer: Singapore, 2017; ISBN 978-981-10-2534-1. [Google Scholar]


















| Node | ||||
|---|---|---|---|---|
| Behavior of vector along the lane | 
| Parameter | Value | 
|---|---|
| Young’s modulus | 200 Gpa | 
| Rail pad + sleeper stiffness | 1.15 × 108 N/m | 
| Density | 7860 kg/m3 | 
| Sleeper spacing | 0.7 m | 
| Moment of inertia y | 3.038 × 10−5 m4 | 
| Moment of inertia z | 5.123 × 10−6 m4 | 
| Tortional constant | 2.212 × 10−6 m4 | 
| Polar moment of Inertia | 3.55 × 10−5 m4 | 
| Rail cross-section area | 7.63 × 10−3 m2 | 
| Wheel speed | 50 m/s | 
| Publisher’s Note: MDPI stays neutral with regard to jurisdictional claims in published maps and institutional affiliations. | 
© 2022 by the authors. Licensee MDPI, Basel, Switzerland. This article is an open access article distributed under the terms and conditions of the Creative Commons Attribution (CC BY) license (https://creativecommons.org/licenses/by/4.0/).
Share and Cite
Hurtado-Hurtado, G.; Morales-Velazquez, L.; Valtierra-Rodríguez, M.; Otremba, F.; Jáuregui-Correa, J.C. Frequency Analysis of the Railway Track under Loads Caused by the Hunting Phenomenon. Mathematics 2022, 10, 2286. https://doi.org/10.3390/math10132286
Hurtado-Hurtado G, Morales-Velazquez L, Valtierra-Rodríguez M, Otremba F, Jáuregui-Correa JC. Frequency Analysis of the Railway Track under Loads Caused by the Hunting Phenomenon. Mathematics. 2022; 10(13):2286. https://doi.org/10.3390/math10132286
Chicago/Turabian StyleHurtado-Hurtado, Gerardo, Luis Morales-Velazquez, Martín Valtierra-Rodríguez, Frank Otremba, and Juan C. Jáuregui-Correa. 2022. "Frequency Analysis of the Railway Track under Loads Caused by the Hunting Phenomenon" Mathematics 10, no. 13: 2286. https://doi.org/10.3390/math10132286
APA StyleHurtado-Hurtado, G., Morales-Velazquez, L., Valtierra-Rodríguez, M., Otremba, F., & Jáuregui-Correa, J. C. (2022). Frequency Analysis of the Railway Track under Loads Caused by the Hunting Phenomenon. Mathematics, 10(13), 2286. https://doi.org/10.3390/math10132286
 
         
                                                


 
       