Knowledge About Attention Deficit Hyperactivity Disorder (ADHD) Among Kindergarten and Primary School Teachers in Hungary
Abstract
1. Introduction
1.1. Findings from the Review of Previous Literature
1.2. Study Context and Rationale
- RQ1: What are the levels of Hungarian teachers’ ADHD knowledge?
- RQ2: What factors account for differences in teachers’ knowledge of ADHD?
- RQ3: What factors predict the development of ADHD knowledge in kindergarten and primary school teachers?
2. Materials and Methods
2.1. Participants
2.2. Instrument
2.3. Analysis
3. Results
3.1. Exploratory Factor Analysis (EFA)
3.2. Confirmatory Factor Analysis (CFA)
3.3. Characteristics of Knowledge Related to ADHD
3.4. Comparison of the ADHD Knowledge
3.4.1. Across Teacher Types
3.4.2. Across the SEN Training
3.4.3. Across Teaching Experience
3.5. Relationship Between Teachers’ Demographic Variables and ADHD Knowledge
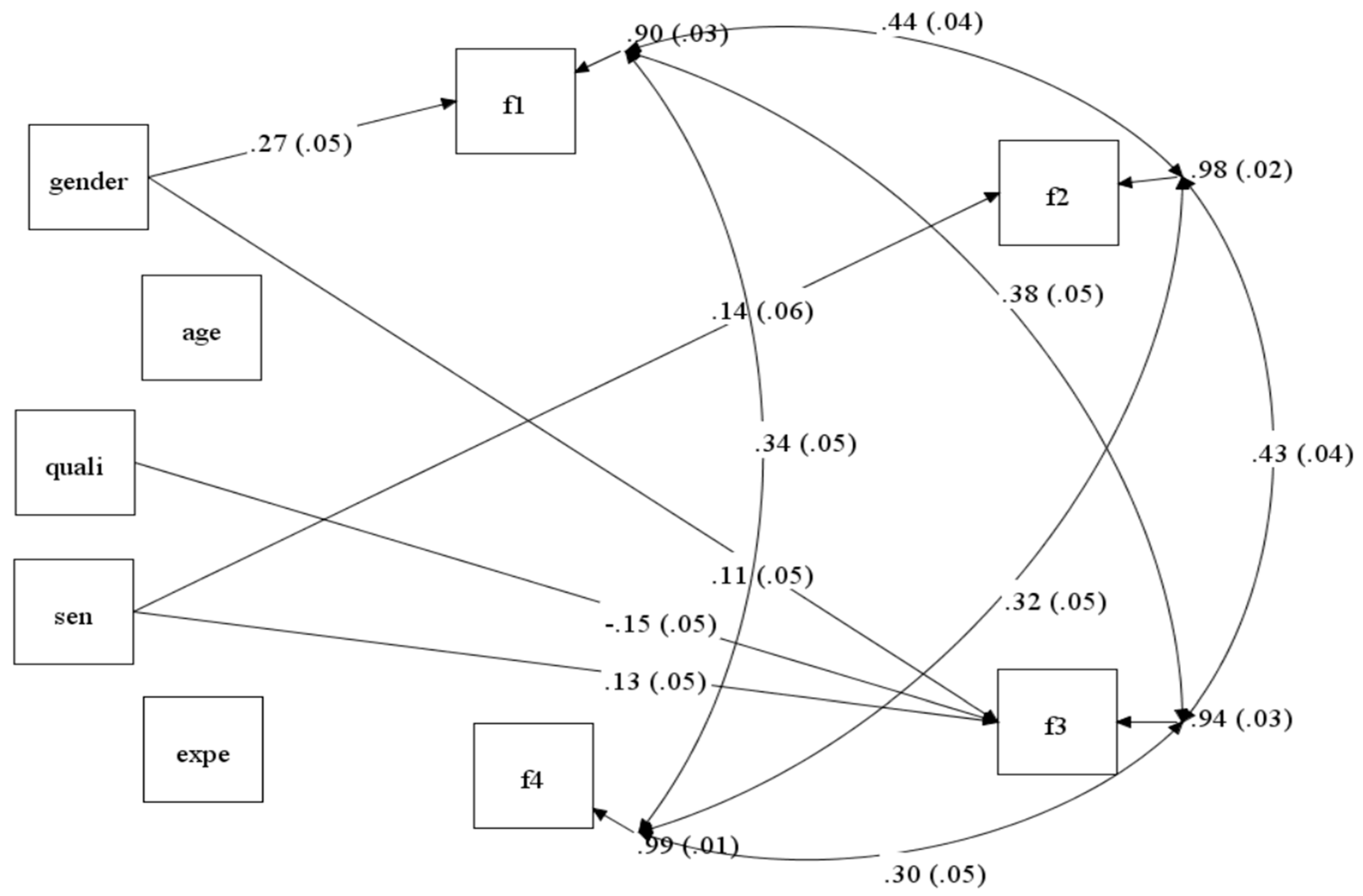
3.6. Predictors of ADHD Knowledge for Kindergarten Teachers
3.7. Predictors of ADHD Knowledge for Primary School Teachers
4. Discussion
5. Limitation
6. Conclusions
Author Contributions
Funding
Institutional Review Board Statement
Informed Consent Statement
Data Availability Statement
Conflicts of Interest
References
- Abouammoh, N., Younis, A., Alwatban, L., Alkhalil, M., Alharbi, R., Alhalabi, R., Alzahrani, S., & Alrwais, S. (2023). Knowledge about attention deficit hyperactivity disorder among primary school teachers in Riyadh, Saudi Arabia. Journal of Nature and Science of Medicine, 6(1), 51–57. [Google Scholar] [CrossRef]
- Aguiar, A. P., Kieling, R. R., Costa, A. C., Chardosim, N., Dorneles, B. V., Almeida, M. R., Mazzuca, A. C., Kieling, C., & Rohde, L. A. (2014). Increasing teachers’ knowledge about ADHD and learning disorders: An investigation on the role of a psychoeducational intervention. Journal of Attention Disorders, 18(8), 691–698. [Google Scholar] [CrossRef] [PubMed]
- Ahmann, E., Smith, K., Ellington, L., & Pille, R. O. (2020). Health and wellness coaching and psychiatric care collaboration in a multimodal intervention for attention-deficit/hyperactivity disorder: A case report. Permanente Journal, 24(1), 18.256. [Google Scholar] [CrossRef] [PubMed]
- American Psychiatric Association. (2013). Diagnostic and statistical manual of mental disorders—Fifth edition—DSM-5™. American Psychiatric Association Publishing. [Google Scholar]
- Anderson, D. L., Watt, S. E., Noble, W., & Shanley, D. C. (2012). Knowledge of attention deficit hyperactivity disorder (ADHD) and attitudes toward teaching children with ADHD: The role of teaching experience. Psychology in the Schools, 49(6), 511–525. [Google Scholar] [CrossRef]
- Awadalla, N. J., Ali, O. F., Elshaer, S., & Eissa, M. (2016). Role of school teachers in identifying attention deficit hyperactivity disorder among primary school children in Mansoura, Egypt [Rôle des enseignants dans l’identification du trouble de déficit de l’attention avec hyperactivité parmi les élèves du prima]. Eastern Mediterranean Health Journal, 22(8), 586–595. [Google Scholar] [CrossRef] [PubMed]
- Bardi, M., Ghader, N., AbdulRazzak, H., AlKuwari, M., Itani, L., Qureshi, A., & Young, P. (2023). Knowledge about attention deficit hyperactivity disorder among primary school teachers in Dubai. International Journal of School and Educational Psychology, 11(2), 127–134. [Google Scholar] [CrossRef]
- Berchiatti, M., Ferrer, A., Badenes-Ribera, L., & Longobardi, C. (2022). School adjustments in children with attention deficit hyperactivity disorder (ADHD): Peer relationships, the quality of the student-teacher relationship, and children’s academic and behavioral competencies. Journal of Applied School Psychology, 38(3), 241–261. [Google Scholar] [CrossRef]
- Bulut, S. (2005). Classroom interventions for children with attention deficit hyperactivity disorder. Studia Psychologica, 47(1), 51–59. [Google Scholar]
- Cueli, M., Cañamero, L. M., Rodríguez, C., & González-Castro, P. (2024). What different education professionals know about ADHD and their attitudes towards it. European Journal of Special Needs Education, 39(1), 33–47. [Google Scholar] [CrossRef]
- Dessie, M., Techane, M. A., Tesfaye, B., & Gebeyehu, D. A. (2021). Elementary school teachers knowledge and attitude towards attention deficit-hyperactivity disorder in Gondar, Ethiopia: A multi-institutional study. Child and Adolescent Psychiatry and Mental Health, 15(1), 16. [Google Scholar] [CrossRef] [PubMed]
- Fayed, N. M., Morales, H., Torres, C., Coca, A. F., & Ríos, L. F. Á. (2021). Brain magnetic resonance imaging in attention-deficit/hyperactivity disorder (ADHD). In Psychiatry and neuroscience update: From epistemology to clinical psychiatry (Vol. 4). Springer. [Google Scholar] [CrossRef]
- Fernández, S. J., Mínguez, R. T., & Casas, A. M. (2007). Teachers’ knowledge, misconceptions, and lacks concerning Attention Deficit Hyperactivity Disorder Conocimientos, concepciones erróneas y lagunas de los maestros sobre el trastorno por déficit de atención con hiperactividad. Psicothema, 19(4), 585–590. [Google Scholar]
- Firat, T., & Koyuncu, I. (2022). Social distance of university students towards individuals with special needs. International Journal of Disability, Development and Education, 69(1), 61–75. [Google Scholar] [CrossRef]
- Grigoropoulos, I. (2023). Greek early childhood educators’ knowledge of attention-deficit/hyperactivity disorder. Journal of Childhood, Education and Society, 4(1), 29–40. [Google Scholar] [CrossRef]
- Herrera-Gutiérrez, E., & Martínez-Frutos, M. T. (2021). Factores relacionados con los conocimientos del profesorado sobre el trastorno por déficit de atención/ hiperactividad [Factors related to teacher knowledge about attention-deficit/hyperactivity disorder]. Revista de Neurologia, 73(7), 233–240. [Google Scholar] [CrossRef] [PubMed]
- Hungarian Central Statistical Office (KSH). (2024). 23.1.1.6. Sajátos nevelési igényű gyermekek, tanulók száma fogyatékosság-típus szerint. Available online: https://www.ksh.hu/stadat_files/okt/hu/okt0006.html (accessed on 5 January 2024).
- Józsa, K., Oo, T. Z., Borbélyová, D., & Zentai, G. (2023). Exploring the accuracy and consistency of a school readiness assessment tool for preschoolers: Reliability, validity and measurement invariance analysis. Journal of Intelligence, 11(10), 189. [Google Scholar] [CrossRef] [PubMed]
- Kikas, E., & Timoštšuk, I. (2016). Student teachers’ knowledge about children with ADHD and depression and its relations to emotions. Emotional and Behavioural Difficultie, 21(2), 190–204. [Google Scholar] [CrossRef]
- Kilencz, T., Bálint, S., Mersich, B., Papp, S., Ferencz, Á., Balogh, L., Pulay, A. J., Farkas, K., & Réthelyi, J. (2024). Mi is az a felnőttkori ADHD? [What is adult ADHD after all?]. Psychiatria Hungarica, 39(1), 80–95. [Google Scholar] [PubMed]
- Kline, R. B. (2015). Principles and practice of structural equation modeling (4th ed.). Guilford Press. [Google Scholar]
- Kos, J. M., Richdale, A. L., & Jackson, M. S. (2004). Knowledge about attention-deficit/hyperactivity disorder: A comparison of in-service and preservice teachers. Psychology in the Schools, 41(5), 517–526. [Google Scholar] [CrossRef]
- Lasisi, D., Ani, C., Lasebikan, V., Sheikh, L., & Omigbodun, O. (2017). Effect of attention-deficit-hyperactivity-disorder training program on the knowledge and attitudes of primary school teachers in Kaduna, North West Nigeria. Child and Adolescent Psychiatry and Mental Health, 11(1), 15. [Google Scholar] [CrossRef] [PubMed]
- Liu, Y., Wang, Q., Jou, M., Wang, B., An, Y., & Li, Z. (2020). Psychometric properties and measurement invariance of the 7-item game addiction scale (GAS) among Chinese college students. BMC Psychiatry, 20(1), 484. [Google Scholar] [CrossRef] [PubMed]
- Melhem, T. (2020). Efficacy of teachers’ in-service training for increasing their knowledge of attention deficit hyperactivity disorder in Eastern Region, Saudi Arabia. International Journal of Learning, Teaching and Educational Research, 19(12), 295–312. [Google Scholar] [CrossRef]
- Mihić, S. S., Galešev, S. S., & Kehonjić, S. (2021). Učiteljska procjena znanja o simptomima, etiologiji i tretmanu ADHD-A [Teachers’ assessment of knowledge about the symptoms, etiology and treatment of ADHD]. Metodicki Ogledi, 28(2), 171–191. [Google Scholar] [CrossRef]
- Mikami, A. Y., & Miller, C. E. (2024). Child interpretations of teacher behaviors directed toward students with and without ADHD symptoms. Research on Child and Adolescent Psychopathology, 53, 443–457. [Google Scholar] [CrossRef] [PubMed]
- Millenet, S., Hohmann, S., Poustka, L., Petermann, F., & Banaschewski, T. (2013). Risikofaktoren und frühe vorläufersymptome der aufmerksamkeitsdefizit-/hyperaktivitätsstörung: (ADHS) [Risk factors and early precursor symptoms of attention deficit/hyperactivity disorder]. Kindheit und Entwicklung, 22(4), 201–208. [Google Scholar] [CrossRef]
- Mohr-Jensen, C., Steen-Jensen, T., Bang-Schnack, M., & Thingvad, H. (2019). What do primary and secondary school teachers know about ADHD in children? Findings From a systematic review and a representative, nationwide sample of Danish teachers. Journal of Attention Disorders, 23(3), 206–219. [Google Scholar] [CrossRef] [PubMed]
- Moldavsky, M., Groenewald, C., Owen, V., & Sayal, K. (2013). Teachers’ recognition of children with ADHD: Role of subtype and gender. Child and Adolescent Mental Health, 18(1), 18–23. [Google Scholar] [CrossRef] [PubMed]
- Muanprasart, P., Traivaree, C., Arunyanart, W., & Teeranate, C. (2014). Knowledge of attention deficit hyperactivity disorder and its associated factors among teachers in 3 large primary schools in Phra Nakorn Sri Ayutthaya Province, Thailand. Journal of the Medical Association of Thailand, 97(2), S107–S114. [Google Scholar]
- Mulholland, S. (2016). ADHD-specific knowledge and attitudes of teachers (ASKAT): Development and validation of a new research instrument. International Journal of Educational Research, 77, 109–116. [Google Scholar] [CrossRef]
- OECD. (2019). Gender profile of teacher. Available online: https://brokenchalk.org/tag/gender-profile-of-teachers/ (accessed on 6 December 2024).
- Ohan, J. L., Cormier, N., Hepp, S. L., Visser, T. A. W., & Strain, M. C. (2008). Does knowledge about attention-deficit/hyperactivity disorder impact teachers’ reported behaviors and perceptions? School Psychology Quarterly, 23(3), 436–449. [Google Scholar] [CrossRef]
- Oo, T. Z., Habók, A., & Józsa, K. (2023). Empowering educators to sustain reflective teaching practices: The validation of instruments. Sustainability, 15(9), 7640. [Google Scholar] [CrossRef]
- Ouellette-Kuntz, H., Burge, P., Brown, H. K., & Arsenault, E. (2010). Public attitudes towards individuals with intellectual disabilities as measured by the concept of social distance. Journal of Applied Research in Intellectual Disabilities, 23(2), 132–142. [Google Scholar] [CrossRef]
- Perold, M., Louw, C., & Kleynhans, S. (2010). Primary school teachers’ knowledge and misperceptions of attention deficit hyperactivity disorder (ADHD). South African Journal of Education, 30(3), 457–473. [Google Scholar] [CrossRef]
- Pérez-Crespo, L., Canals-Sans, J., Suades-González, E., & Guxens, M. (2020). Temporal trends and geographical variability of the prevalence and incidence of attention deficit/hyperactivity disorder diagnoses among children in Catalonia, Spain. Scientific Reports, 10(1), 6397. [Google Scholar] [CrossRef] [PubMed]
- Poznanski, B., Hart, K. C., & Graziano, P. A. (2021). What do preschool teachers know about attention-deficit/hyperactivity disorder (ADHD) and does it impact ratings of child impairment? School Mental Health, 13(1), 114–128. [Google Scholar] [CrossRef]
- Ristiyanti, N., Dirgantoro, B., & Setianingsih, C. (2021). Behavioral disorder test to identify attention-deficit/hyperactivity disorder (ADHD) in children using fuzzy algorithm. In Proceedings of the 2021 IEEE International Conference on Internet of Things and Intelligence Systems IoTaIS 2021 (pp. 234–240). IEEE. [Google Scholar] [CrossRef]
- Rodrigo, M. D., Perera, D., Eranga, V. P., Williams, S. S., & Kuruppuarachchi, K. A. (2011). The knowledge and attitude of primary school teachers in Sri Lanka towards childhood attention deficit hyperactivity disorder. The Ceylon Medical Journal, 56(2), 51–54. [Google Scholar] [CrossRef] [PubMed]
- Saad, S., Aljanahi, F., Coumaravelou, S., Agha, A., Alsamiri, M., & Allami, S. (2022). Knowledge about attention-deficit/hyperactivity disorder among primary schoolteachers in Sharjah, UAE. Journal of Education and Health Promotion, 11(1), 99. [Google Scholar] [CrossRef]
- See, L. C., Li, H. M., Chao, K. Y., Chung, C. C., Li, P. R., & Lin, S. R. (2021). Knowledge of attention-deficit hyperactivity disorder among the general public, parents, and primary school teachers. Medicine (United States), 100(12), E25245. [Google Scholar] [CrossRef] [PubMed]
- Stampoltzis, A., & Antonopoulou, K. (2013). Knowledge and misconceptions about attention deficit hyperactivity disorder (ADHD): A comparison of Greek general and special education teachers. International Journal of School and Educational Psychology, 1(2), 122–130. [Google Scholar] [CrossRef]
- Szekeres, Á., & Szenczi, B. (2022). A sajátos nevelési igény és az együttnevelés kérdései [Special educational needs and co-education]. In M. Győri, & K. Billédi (Eds.), Atipikus diákok, segítő appok, tudományos evidenciák [Atypical students, helpful apps, scientific evidence] (pp. 19–30). ELTE Bárczi Gusztáv Gyógypedagógiai Kar. [Google Scholar]
- Terlich, R., Krishnamoorthy, G., & Fein, E. C. (2024). Supporting the mental health needs of neurodivergent students: Outcomes of a mental health literacy program for primary school educators. Education Sciences, 14(10), 1069. [Google Scholar] [CrossRef]
- Vierhile, A. E., Palumbo, D., & Belden, H. (2017). Diagnosis and treatment of attention deficit hyperactivity disorder. Nurse Practitioner, 42(10), 48–54. [Google Scholar] [CrossRef] [PubMed]
- World Health Organization (WHO). (2019). Attention deficit hyperactivity disorder. Available online: https://applications.emro.who.int/docs/EMRPUB_leaflet_2019_mnh_214_en.pdf (accessed on 6 December 2024).
- Yadav, S. K., Bhat, A. A., Hashem, S., Nisar, S., Kamal, M., Syed, N., Temanni, M.-R., Gupta, R. K., Kamran, S., Azeem, M. W., Srivastava, A. K., Bagga, P., Chawla, S., Reddy, R., Frenneaux, M. P., Fakhro, K., & Haris, M. (2021). Genetic variations influence brain changes in patients with attention-deficit hyperactivity disorder. Translational Psychiatry, 11(1), 349. [Google Scholar] [CrossRef] [PubMed]






| Characteristics | Frequency (n) |
|---|---|
| Teacher | |
| Kindergarten teachers | 342 |
| Primary school teachers | 390 |
| Gender | |
| Male | 36 |
| Female | 696 |
| Training | |
| With SEN training | 484 |
| Without SEN training | 248 |
| Teaching experience | |
| Low (less than 15 years) | 190 |
| Medium (15 years to 30 years) | 285 |
| High (greater than 30 years) | 257 |
| Educational qualification | |
| Higher vocational training | 5 |
| BA | 546 |
| MA | 181 |
| Total | 732 |
| No. | Items | Factors/Components | |||
|---|---|---|---|---|---|
| Symptoms | Etiology | Treatment | Diagnostics/Prevalence | ||
| 7 | Children with ADHD may also show hyperactive behavior, inattention or a combination of these. | 0.783 | |||
| 16 | Children with ADHD often have problems concentrating during activities at the desk. | 0.636 | |||
| 11 | Children with hyperactive ADHD often talk too much and find it hard to stay in their seats. | 0.623 | |||
| 8 | Children with ADHD are easily distracted. | 0.62 | |||
| 3 | Children with ADHD usually have poor concentration. | 0.606 | |||
| 14 | Some children may exhibit inattentive or hyperactive behavior, but do not meet the criteria for an ADHD diagnosis. | 0.545 | |||
| 20 | Most often, teachers are the first to notice ADHD- related behavior and send children for testing. | 0.544 | |||
| 17 | Children with ADHD often do not pay enough attention to their activities/work and make careless mistakes | 0.533 | |||
| 10 | ADHD is caused by too much sugar in the diet. | 0.61 | |||
| 12 | ADHD is caused by bad parenting. | 0.591 | |||
| 6 | ADHD is hereditary. | 0.544 | |||
| 13 | Children with ADHD may choose to behave better. | 0.448 | |||
| 1 | ADHD is a neurobiological developmental disorder. | 0.988 | |||
| 19 | The cause of ADHD is unknown. | 0.611 | |||
| 4 | The combination of stimulant medication and behavioral therapies is effective in the treatment of ADHD. | 0.543 | |||
| 5 | There are different subtypes of ADHD, which can present with different behaviors. | 0.467 | |||
| 15 | There is at least 1 child in each group/class who exhibits ADHD-related behavior. | 0.703 | |||
| 9 | Children with ADHD benefit from stricter parenting and preschool/school education. | 0.595 | |||
| 18 | Regardless of ADHD diagnosis, children with ADHD may benefit from individualized behavior management strategies. | 0.552 | |||
| ADHD Knowledge | Percentages |
|---|---|
| Knowledge of etiology | |
| Excellent | 5.3% |
| Adequate | 58.4% |
| Inadequate | 35.3% |
| Knowledge of symptoms | |
| Excellent | 63.8% |
| Adequate | 30.2% |
| Inadequate | 5.9% |
| Knowledge of treatment | |
| Excellent | 7.8% |
| Adequate | 37.9% |
| Inadequate | 54.3% |
| Knowledge of diagnostics and prevalence | |
| Excellent | 33.5% |
| Adequate | 0% |
| Inadequate | 66.5% |
| Total | |
| Excellent | 6.3% |
| Adequate | 82.6% |
| Inadequate | 11.1% |
| Groups | Variables | Numbers | Mean (SD) | t and F Values | p-Value | Effect Size Cohen’s d and η2 |
|---|---|---|---|---|---|---|
| Teacher types | Kindergarten teachers | 342 | 1.28 (0.38) | 0.379 | 0.705 | d = 0.02 (low) |
| Primary school teachers | 390 | 1.27 (0.45) | ||||
| SEN training | No | 248 | 1.22 (0.36) | −5.579 | 0.000 | d = 0.40 (Medium) |
| Yes | 484 | 1.39 (0.48) | ||||
| Teaching experiences | Low | 190 | 1.28 (0.43) | 0.003 | 0.997 | η2 = 0.000 (very low) |
| Medium | 285 | 1.28 (0.43) | ||||
| High | 257 | 1.27 (0.39) |
| Variables | Primary School Teachers | ||||||||
|---|---|---|---|---|---|---|---|---|---|
| 1 | 2 | 3 | 4 | 5 | 6 | 7 | 8 | ||
| Kindergarten teachers | 1. Age | - | - | - | - | −0.020 | 0.084 | 0.083 | −0.025 |
| 2. Qualification | - | - | - | - | 0.055 | −0.020 | −0.017 | 0.030 | |
| 3. SEN | - | - | - | - | 0.227 ** | 0.142 ** | 0.174 ** | 0.157 ** | |
| 4. Experience | - | - | - | - | −0.039 | 0.054 | 0.076 | −0.025 | |
| 5. Symptoms | −0.126 * | 0.029 | 0.135 * | −0.089 | - | 0.505 ** | 0.570 ** | 0.455 ** | |
| 6. Etiology | 0.049 | −0.015 | 0.122 * | 0.020 | 0.431 ** | - | 0.431 ** | 0.372 ** | |
| 7. Treatment | 0.059 | −0.158 ** | 0.128 * | −0.010 | 0.385 ** | 0.441 ** | - | 0.376 ** | |
| 8. Diagnostics/prevalence | 0.014 | −0.001 | 0.081 | 0.026 | 0.331 ** | 0.331 ** | 0.299 ** | - | |
Disclaimer/Publisher’s Note: The statements, opinions and data contained in all publications are solely those of the individual author(s) and contributor(s) and not of MDPI and/or the editor(s). MDPI and/or the editor(s) disclaim responsibility for any injury to people or property resulting from any ideas, methods, instructions or products referred to in the content. |
© 2025 by the authors. Licensee MDPI, Basel, Switzerland. This article is an open access article distributed under the terms and conditions of the Creative Commons Attribution (CC BY) license (https://creativecommons.org/licenses/by/4.0/).
Share and Cite
Tóth-Szerecz, Á.; Oo, T.Z.; Csima, M. Knowledge About Attention Deficit Hyperactivity Disorder (ADHD) Among Kindergarten and Primary School Teachers in Hungary. Educ. Sci. 2025, 15, 922. https://doi.org/10.3390/educsci15070922
Tóth-Szerecz Á, Oo TZ, Csima M. Knowledge About Attention Deficit Hyperactivity Disorder (ADHD) Among Kindergarten and Primary School Teachers in Hungary. Education Sciences. 2025; 15(7):922. https://doi.org/10.3390/educsci15070922
Chicago/Turabian StyleTóth-Szerecz, Ágnes, Tun Zaw Oo, and Melinda Csima. 2025. "Knowledge About Attention Deficit Hyperactivity Disorder (ADHD) Among Kindergarten and Primary School Teachers in Hungary" Education Sciences 15, no. 7: 922. https://doi.org/10.3390/educsci15070922
APA StyleTóth-Szerecz, Á., Oo, T. Z., & Csima, M. (2025). Knowledge About Attention Deficit Hyperactivity Disorder (ADHD) Among Kindergarten and Primary School Teachers in Hungary. Education Sciences, 15(7), 922. https://doi.org/10.3390/educsci15070922

