Reading Development Following Forward-Looking Assessments Providing Recommendations to Teachers
Abstract
1. Introduction
2. Aims
- What proportion of pupils will receive a decoding recommendation at the beginning and another recommendation after the second test occasion (responders), and what characterizes them?
- What proportion of pupils will receive a decoding recommendation after both the first and the second test occasion (non-responders), and what will characterize them?
- How do these two groups develop in relation to the comparison group between the first, second and third test occasions?
- What will be the differences between these groups regarding different reading-related abilities?
3. Method
3.1. Inclusion and Exclusion of Data
3.2. Participants
3.3. Features of the Tool Provided by LegiLexi
3.4. Test Material
3.5. LegiLexi-Generated Recommendations for Teaching
4. Design and Data Analysis
5. Results
6. Discussion
7. Limitations
8. Conclusions
Author Contributions
Funding
Institutional Review Board Statement
Informed Consent Statement
Data Availability Statement
Conflicts of Interest
| 1 | Dyslexia is a specific learning disability that is neurobiological in origin. It is characterized by difficulties with accurate and/or fluent word recognition and by poor spelling and decoding abilities. These difficulties typically result from a deficit in the phonological component of language, which is often unexpected in relation to other cognitive abilities and despite effective classroom instruction. Secondary consequences may include problems with reading comprehension and reduced reading experience, which can impede the growth of vocabulary and background knowledge. Adopted by the International Dyslexia Assossiation (IDA) Board of Directors, 12 November 2002. Definition of dyslexia from the International Dyslexia Association. |
| 2 | LegiLexi (www.legilexi.org) is a foundation that has developed an evidence-based, digital tool to support teachers in their work of teaching primary school pupils to read. The vision of LegiLexi is that all pupils in Swedish schools should have achieved a good reading ability for their age by grade 3 (when approximately 9 years old). The tool has been developed through a collaborative effort between researchers and practicing teachers since its inception. It continuously evolves and adapts over time to meet the needs of the educators who utilize it. acess date 18 August 2020. |
References
- Adams, M. J. (1990). Beginning to read: Thinking and learning about print. MIT Press. [Google Scholar]
- Alatalo, T. (2011). Skicklig läs-och skrivundervisning i åk 1–3: Om lärares möjligheter och hinder [Proficient reading and writing instruction in grades 1–3: Teachers’ opportunities and obstacles Language]. (Doktorsavhandling). ISBN 978-91-7346-709-4. Göteborgs Universitet. Available online: http://hdl.handle.net/2077/25658 (accessed on 23 April 2025).
- Andersson, U. B., Löfgren, H., & Gustafson, S. (2019). Forward-looking assessments that support students learning: A comparative analysis of two approaches. Studies in Educational Evaluation, 60, 109–116. [Google Scholar] [CrossRef]
- Black, P., & Wiliam, D. (2010). Inside the black box: Raising standards through classroom assessment. Phi Delta Kappan, 92(1), 81–90. [Google Scholar] [CrossRef]
- Cain, K. (2010). Reading development and difficulties (Vol. 8). John Wiley & Sons. [Google Scholar]
- Castles, A., Rastle, K., & Nation, K. (2018). Ending the reading wars: Reading acquisition from novice to expert. Psychological Science in the Public Interest, 19(1), 5–51. [Google Scholar] [CrossRef]
- Catts, H. W., Hogan, T., & Adolf, S. (2005). Developmental changes in reading and reading disabilities. In H. Catts, & A. Kamhi (Eds.), Connections between language and reading disabilities (pp. 25–40). Erlbaum. [Google Scholar]
- Catts, H. W., Nielsen, D. C., Bridges, M. S., & Liu, Y. S. (2016). Early identification of reading comprehension difficulties. Journal of Learning Disabilities, 49(5), 451–465. [Google Scholar] [CrossRef] [PubMed]
- Coburn, C. E., & Turner, E. O. (2012). The practice of data use: An introduction. American Journal of Education, 118(2), 99–111. [Google Scholar] [CrossRef]
- Connor, C. M., Piasta, S. B., Fishman, B., Glasney, S., Schatschneider, C., Crowe, E., & Morrison, F. J. (2009). Individualizing student instruction precisely: Effects of child by instruction interactions on first Graders’ literacy development. Child Development, 80(1), 77–100. [Google Scholar] [CrossRef]
- Cunningham, A. E., & O’Donnell, C. R. (2015). Teachers’ knowledge about beginning reading development and instruction. In A. Pollatsek, & R. Treiman (Eds.), The Oxford handbook of reading. Oxford University Press. [Google Scholar]
- Ehri, L. C. (2020). The science of learning to read words: A case for systematic phonics instruction. Reading Research Quarterly, 55, S45–S60. [Google Scholar] [CrossRef]
- Elbro, C., Borstrøm, I., & Petersen, D. K. (1998). Predicting dyslexia from kindergarten: The importance of distinctness of phonological representations of lexical items. Reading Research Quarterly, 33(1), 36–60. Available online: https://www.jstor.org/stable/748172 (accessed on 23 April 2025). [CrossRef]
- Elwér, Å., Gustafson, S., Byrne, B., Olson, R. K., Keenan, J. M., & Samuelsson, S. (2015). A retrospective longitudinal study of cognitive and language skills in poor reading comprehension. Scandinavian Journal of Psychology, 56(2), 157–166. [Google Scholar] [CrossRef]
- Fälth, L., Gustafson, S., Kugelberg, E., & Nordström, T. (2017). LegiLexis formativa bedömningsverktyg-Testmanual [LegiLexis formative assessment tool-test manual]. LegiLexi Stiftelse. Available online: https://www.researchgate.net/publication/321133898_LegiLexis_formativa_bedomningsverktyg_-_Testmanual (accessed on 18 August 2020).
- Fälth, L., Nilvius, C., & Anvegård, E. (2015). Intensive Reading with Reading Lists: An Intervention Study. Creative Education, 6, 2403–2409. [Google Scholar] [CrossRef]
- Förster, N., & Souvignier, E. (2015). Effects of providing teachers with information about their pupils’ reading progress. School Psychology Review, 44(1), 60–75. [Google Scholar] [CrossRef]
- Fuchs, D., & Fuchs, L. S. (2006). Introduction to response to intervention: What, why, and how valid is it? Reading Research Quarterly, 41(1), 93–99. [Google Scholar] [CrossRef]
- Georgiou, G. K., Savage, R., Dunn, K., Bowers, P., & Parrila, R. (2020). Examining the effects of structured word inquiry on the reading and spelling skills of persistently poor Grade 3 readers. Journal of Research in Reading, 44(1), 131–153. [Google Scholar] [CrossRef]
- Gersten, R., Haymond, K., Newman-Gonchar, R., Dimino, J., & Jayanthi, M. (2020). Meta-analysis of the impact of reading interventions for pupils in the primary grades. Journal of Research on Educational Effectiveness, 13(2), 401–427. [Google Scholar] [CrossRef]
- Gough, P. B., & Tunmer, W. E. (1986). Decoding, reading, and reading disability. Remedial and Special Education, 7(1), 6–10. [Google Scholar] [CrossRef]
- Gustafson, S., Ferreira, J., & Rönnberg, J. (2007). Phonological or orthographic training for children with phonological or orthographic decoding deficits. Dyslexia, 13(3), 211–229. [Google Scholar] [CrossRef]
- Gustafson, S., Nordström, T., Andersson, U. B., Fälth, L., & Ingvar, M. (2019). Effects of a formative assessment system on early reading development. Education, 140(1), 17–27. [Google Scholar]
- Gustafson, S., Samuelsson, C., Johansson, E., & Wallmann, J. (2013). How simple is the simple view of reading? Scandinavian Journal of Educational Research, 57(3), 292–308. [Google Scholar] [CrossRef]
- Hatcher, P. J., Hulme, C., & Ellis, A. W. (1994). Ameliorating early reading failure by integrating the teaching of reading and phonological skills: The phonological linkage hypothesis. Child Development, 65(1), 41–57. [Google Scholar] [CrossRef]
- Hirsh, Å., & Lindberg, V. (2014). Formativ bedömning på 2000-talet–en översikt av svensk och internationell forskning [Formative assessment in the 21st century—An overview of Swedish and international research]. ISBN 978-91-7307-269-4. Vetenskapsrådet. [Google Scholar]
- Hjetland, H. N., Brinchmann, E. I., Scherer, R., & Melby-Lervåg, M. (2017). Preschool predictors of later reading comprehension ability: A systematic review. Campbell Systematic Reviews, 13(1), 1–155. [Google Scholar] [CrossRef]
- Hjetland, H. N., Lervåg, A., Lyster, S. A. H., Hagtvet, B. E., Hulme, C., & Melby-Lervåg, M. (2019). Pathways to reading comprehension: A longitudinal study from 4 to 9 years of age. Journal of Educational Psychology, 111(5), 751. [Google Scholar] [CrossRef]
- Hoogland, I., Schildkamp, K., Van der Kleij, F., Heitink, M., Kippers, W., Veldkamp, B., & Dijkstra, A. M. (2016). Prerequisites for data-based decision making in the classroom: Research evidence and practical illustrations. Teaching and Teacher Education, 60, 377–386. [Google Scholar] [CrossRef]
- Høien, T., & Lundberg, I. (2013). Dyslexi, från teori till praktik [Dyslexia, from theory to practice]. (Suppl. 2), Natur och kultur. [Google Scholar]
- Hulliger, B. (2018). Modi (Version 1.6.1) [R-paket]. R-Forge. Available online: https://R-Forge.R-project.org (accessed on 5 May 2015).
- Hulme, C., & Snowling, M. J. (2016). Reading disorders and dyslexia. Current Opinion in Pediatrics, 28(6), 731. [Google Scholar] [CrossRef] [PubMed]
- Jönsson, A. (2017). Prov eller bedömning?: Att tolka och använda provresultat och omdömen [Test or assessment?: To interpret and use test results and assessments]. ISBN 978-91-40-69722-6. Gleerup. [Google Scholar]
- Keenan, J. M., Betjemann, R. S., & Olson, R. K. (2008). Reading comprehension tests vary in the skills they assess: Differential dependence on decoding and oral comprehension. Scientific Studies of Reading, 12, 281–300. [Google Scholar] [CrossRef]
- Keenan, J. M., & Meenan, C. E. (2014). Test differences in diagnosing reading comprehension deficits. Journal of Learning Disabilities, 47, 125–135. [Google Scholar] [CrossRef]
- LegiLexi. (n.d.). Lära barn att läsa. Vägen från fonologisk medvetenhet till god läsförståelse [Teach children to read. From phonological awareness to good reading comprehension]. Ed. Sofia Norén. [Google Scholar]
- LegiLexi.org. (n.d.). Available online: www.LegiLexi.org (accessed on 18 August 2020).
- Lenth, R. (2020). Emmeans: Estimated marginal means, aka least-squares means. Available online: https://CRAN.R-project.org/package=emmeans (accessed on 23 April 2025).
- Lindberg, V., & Eriksson, I. (2019). Formativ bedömning: Utmaningar för undervisningen [Formative assessment: Challenges for teaching] (A. Pettersson, Ed.). ISBN 978-91-27-82487-4. Natur & Kultur. [Google Scholar]
- McCardle, P., Scarborough, H. S., & Catts, H. W. (2001). Predicting, explaining, and preventing children’s reading difficulties. Learning Disabilities Research & Practise, 16, 230–239. [Google Scholar] [CrossRef]
- National Institute of Child Health and Human Development (NCLB). (2000). Report of the national reading panel. Teaching children to read: An evidence-based assessment of the scientific research literature on reading and its implications for reading instruction (NIH Publication No. 00-4769). US Government Printing Office.
- Nordström, T., Andersson, U. B., Fälth, L., & Gustafson, S. (2019). Teacher inquiry of using assessments and recommendations in teaching early reading. Studies in Educational Evaluation, 63, 9–16. [Google Scholar] [CrossRef]
- Nordström, T., Fälth, L., & Danielsson, H. (2025). Evaluating the simple view of reading model: Longitudinal testing and applicability to the Swedish Language. Education Sciences, 15(3), 260. [Google Scholar] [CrossRef]
- Prøitz, T. S., Mausethagen, S., & Skedsmo, G. (2017). Investigative modes in research on data use in education. Nordic Journal of Studies in Educational Policy, 3(1), 42–55. [Google Scholar] [CrossRef]
- Ramus, F. (2004). The neural basis of reading acquisition. The Cognitive Neurosciences, 3, 815–824. [Google Scholar]
- Rayner, K., Foorman, B. R., Perfetti, C. A., Pesetsky, D., & Seidenberg, M. S. (2001). How psychological science informs the teaching of reading. Psychological Science in the Public Interest, 2(2), 31–74. [Google Scholar] [CrossRef]
- R Core Team. (2020). R: A language and environment for statistical computing. R Foundation for Statistical Computing. Available online: https://www.R-project.org/ (accessed on 23 April 2025).
- RStudio Team. (2020). RStudio: Integrated development for R. RStudio, PBC. Available online: http://www.rstudio.com/ (accessed on 23 April 2025).
- SFS 2010:800. (n.d.). Skollag. [The education act]. 7 kapitlet 10 § skollagen och proposition 2017/18:9 Skolstart vid sex års ålder s 51–52. Utbildningsdepartementet. [Google Scholar]
- Singmann, H., Bolker, B., Westfall, J., Aust, F., & Ben-Shachar, M. S. (2020). Afex: Analysis of factorial experiments. Available online: https://cran.r-project.org/web/packages/afex/afex.pdf (accessed on 23 April 2025).
- Snow, C. E., Burns, M. S., & Griffin, P. (1998). Preventing reading difficulties in young children. National Academy Press. [Google Scholar]
- Snowling, M. J., Hulme, C., & Nation, K. (2020). Defining and understanding dyslexia: Past, present and future. Oxford Review of Education, 46(4), 501–513. [Google Scholar] [CrossRef] [PubMed]
- Sortwell, A., Trimble, K., Ferraz, R., Geelan, D. R., Hine, G., Ramirez-Campillo, R., Carter-Thuiller, B., Gkintoni, E., & Xuan, Q. A. (2024). Systematic review of meta-analyses on the impact of formative assessment on k-12 pupils’ learning: Toward sustainable quality education. Sustainability, 16, 7826. [Google Scholar] [CrossRef]
- Stanovich, K. E. (1986). Matthew effects in reading: Some consequences of individual differences in the acquisition of literacy. Reading Research Quarterly, 21, 360–407. [Google Scholar] [CrossRef]
- Stecker, P. M., Fuchs, L. S., & Fuchs, D. (2005). Using curriculum-based measurement to improve student achievement: Review of research. Psychology in the Schools, 42(8), 795–819. [Google Scholar] [CrossRef]
- Taube, K., Fredriksson, U., & Olofsson, Å. (2015). Kunskapsöversikt om läs-och skrivundervisning för yngre elever [Knowledge overview of reading and writing instructions for younger pupils]. (Vetenskapsrådets del-rapport). Vetenskapsrådet. [Google Scholar]
- The National Agency for Education. (2011). Curriculum for primary school, preschool class and after-school center. The National Agency for Education.
- van Buuren, S., & Groothuis-Oudshoorn, K. (2011). mice: Multivariate imputation by chained equations in R. Journal of Statistical Software, 45(3), 1–67. Available online: https://www.jstatsoft.org/v45/i03/ (accessed on 23 April 2025). [CrossRef]
- Wickham, H., Averick, M., Bryan, J., Chang, W., McGowan, L. D., François, R., Grolemund, G., Hayes, A., Henry, L., Hester, J., Kuhn, M., Pedersen, T. L., Miller, E., Bache, S. M., Müller, K., Ooms, J., Robinson, D., Seidel, D. P., Spinu, V., … Yutani, H. (2019). Welcome to the Tidyverse. Journal of open source software, 4(43), 1686. [Google Scholar] [CrossRef]
- Wiliam, D. (2011). Embedded formative assessment. Solution Tree Press. [Google Scholar]
- Wolff, U. (2016). Effects of a randomized reading intervention study aimed at 9-year-olds: A 5-year follow-up. Dyslexia, 22(2), 85–100. [Google Scholar] [CrossRef]




| Test Name and Test Occasion | Non-Responders (n = 2075) | Responders (n = 674) | Comparison (n = 71) | |||
|---|---|---|---|---|---|---|
| M | (SD) | M | (SD) | M | (SD) | |
| Phonological awareness T1 | 17.19 | 6.00 | 21.34 | 4.35 | 19.13 | 4.88 |
| Phonological awareness T2 | 20.47 | 5.05 | 23.11 | 3.36 | 21.08 | 3.44 |
| Phonological awareness T3 | 21.68 | 4.64 | 23.80 | 3.20 | 22.99 | 2.71 |
| Letter-sound knowledge T1 | 9.24 | 2.75 | 11.00 | 1.40 | 9.59 | 2.63 |
| Letter-sound knowledge T2 | 10.82 | 1.76 | 11.53 | 0.99 | 11.11 | 1.18 |
| Letter-sound knowledge T3 | 11.24 | 1.42 | 11.67 | 0.97 | 11.55 | 1.00 |
| Word comprehension T1 | 13.19 | 4.10 | 14.82 | 3.57 | 14.87 | 4.02 |
| Word comprehension T2 | 14.49 | 3.77 | 16.14 | 3.16 | 15.97 | 3.88 |
| Word comprehension T3 | 15.42 | 3.64 | 16.95 | 3.05 | 16.56 | 4.05 |
| Listening comprehension T1 | 7.98 | 2.53 | 8.95 | 2.05 | 8.55 | 2.32 |
| Listening comprehension T2 | 9.08 | 2.23 | 9.97 | 1.82 | 9.83 | 1.80 |
| Listening comprehension T3 | 9.61 | 2.06 | 10.40 | 1.62 | 10.18 | 1.62 |
| Reading comprehension, basic T1 | 2.31 | 1.78 | 4.26 | 2.52 | 3.83 | 2.99 |
| Reading comprehension, basic T2 | 3.87 | 2.55 | 7.50 | 2.64 | 5.75 | 3.51 |
| Reading comprehension, basic T3 | 5.69 | 3.12 | 8.90 | 2.36 | 7.32 | 3.49 |
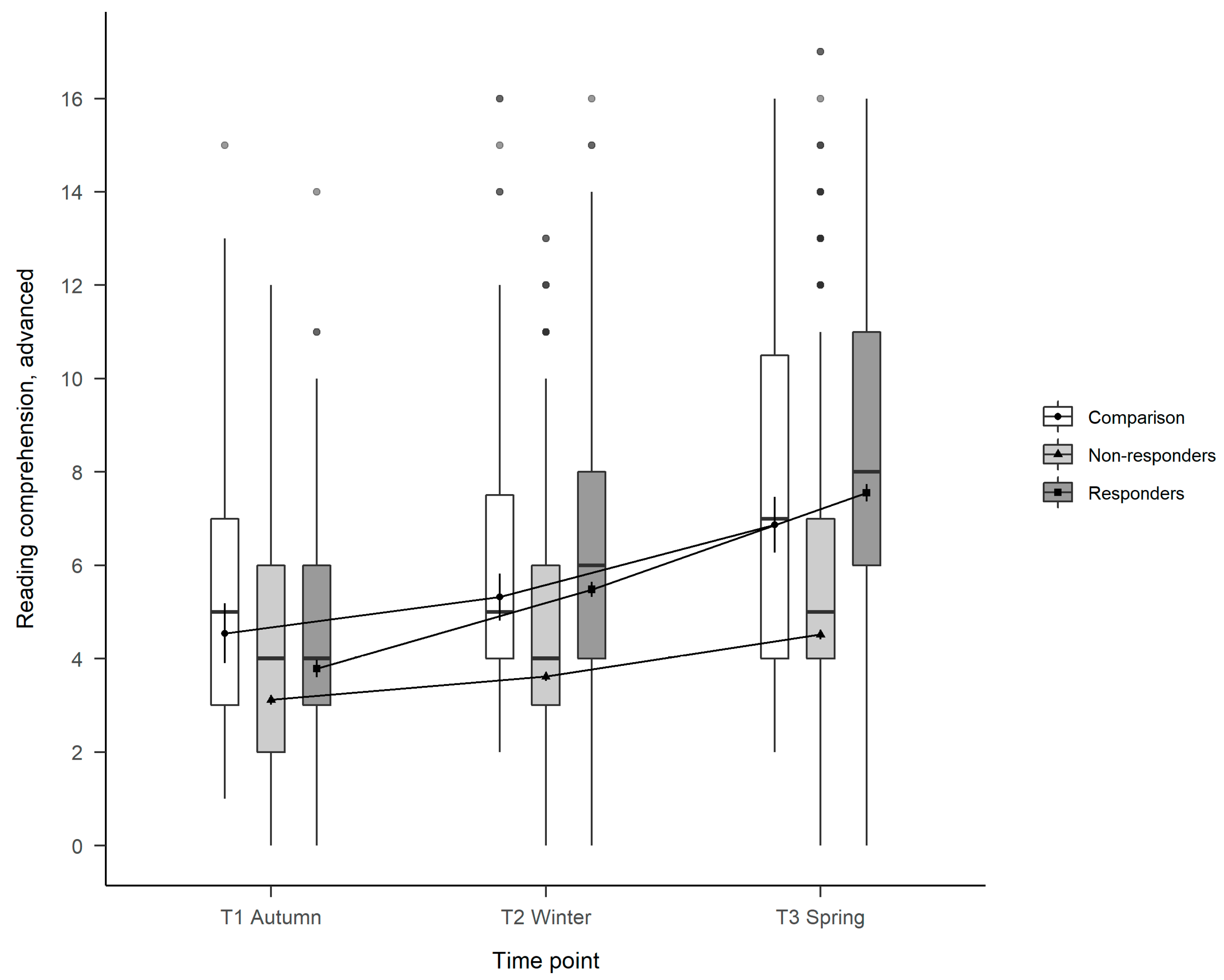
| Reading comprehension, advanced T1 | 3.79 | 2.50 | 4.47 | 2.30 | 5.27 | 2.95 |
| Reading comprehension, advanced T2 | 4.31 | 2.53 | 6.20 | 2.80 | 6.18 | 3.49 |
| Reading comprehension, advanced T3 | 5.20 | 2.84 | 8.30 | 3.27 | 7.62 | 3.88 |
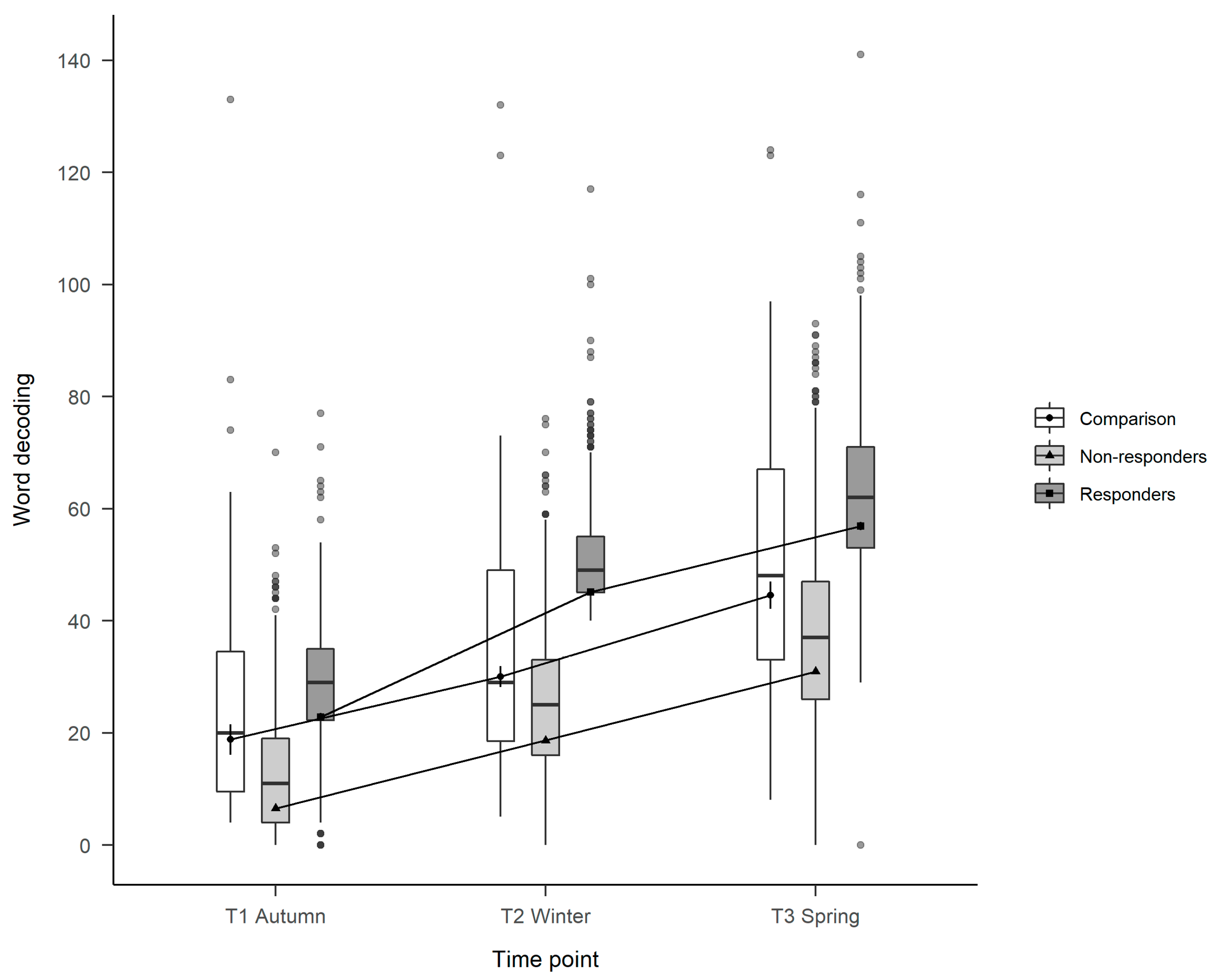
| Word decoding T1 | 12.49 | 9.78 | 28.83 | 10.08 | 24.82 | 21.62 |
| Word decoding T2 | 24.63 | 12.12 | 51.13 | 9.20 | 36.03 | 24.14 |
| Word decoding T3 | 36.91 | 15.86 | 62.90 | 13.59 | 50.55 | 23.51 |
| Pseudo-word decoding T1 | 6.68 | 5.07 | 13.69 | 4.29 | 12.94 | 6.93 |
| Pseudo-word decoding T2 | 10.88 | 5.09 | 20.61 | 3.87 | 16.90 | 8.07 |
| Pseudo-word decoding T3 | 14.61 | 6.36 | 23.39 | 6.16 | 21.28 | 8.28 |
Disclaimer/Publisher’s Note: The statements, opinions and data contained in all publications are solely those of the individual author(s) and contributor(s) and not of MDPI and/or the editor(s). MDPI and/or the editor(s) disclaim responsibility for any injury to people or property resulting from any ideas, methods, instructions or products referred to in the content. |
© 2025 by the authors. Licensee MDPI, Basel, Switzerland. This article is an open access article distributed under the terms and conditions of the Creative Commons Attribution (CC BY) license (https://creativecommons.org/licenses/by/4.0/).
Share and Cite
Andersson, U.B.; Danielsson, H.; Nordström, T.; Gustafson, S. Reading Development Following Forward-Looking Assessments Providing Recommendations to Teachers. Educ. Sci. 2025, 15, 581. https://doi.org/10.3390/educsci15050581
Andersson UB, Danielsson H, Nordström T, Gustafson S. Reading Development Following Forward-Looking Assessments Providing Recommendations to Teachers. Education Sciences. 2025; 15(5):581. https://doi.org/10.3390/educsci15050581
Chicago/Turabian StyleAndersson, Ulrika B., Henrik Danielsson, Thomas Nordström, and Stefan Gustafson. 2025. "Reading Development Following Forward-Looking Assessments Providing Recommendations to Teachers" Education Sciences 15, no. 5: 581. https://doi.org/10.3390/educsci15050581
APA StyleAndersson, U. B., Danielsson, H., Nordström, T., & Gustafson, S. (2025). Reading Development Following Forward-Looking Assessments Providing Recommendations to Teachers. Education Sciences, 15(5), 581. https://doi.org/10.3390/educsci15050581

