Digital Brick: Enhancing the Student Experience Using Blockchain, Open Badges and Recommendations
Abstract
:1. Introduction
- RQ1.
- It is possible to connect open badges, social networks and blockchain to share formal certifications of learning, having a minimum impact both on the student’s digital habitat and on the administrative information systems of educational institutions?
- RQ2.
- It is possible to define new recommendation models to give students the personalized guidance they need on online learning materials, suggesting them learning paths useful to earn formal certifications?
2. Materials and Methods
2.1. Digital Brick Software Architecture
2.2. The Certification Sub-System
2.3. The Recommendation Sub-System
3. Case Study and Results
3.1. Supported Use Cases
3.2. Quantitative Results for Certifications
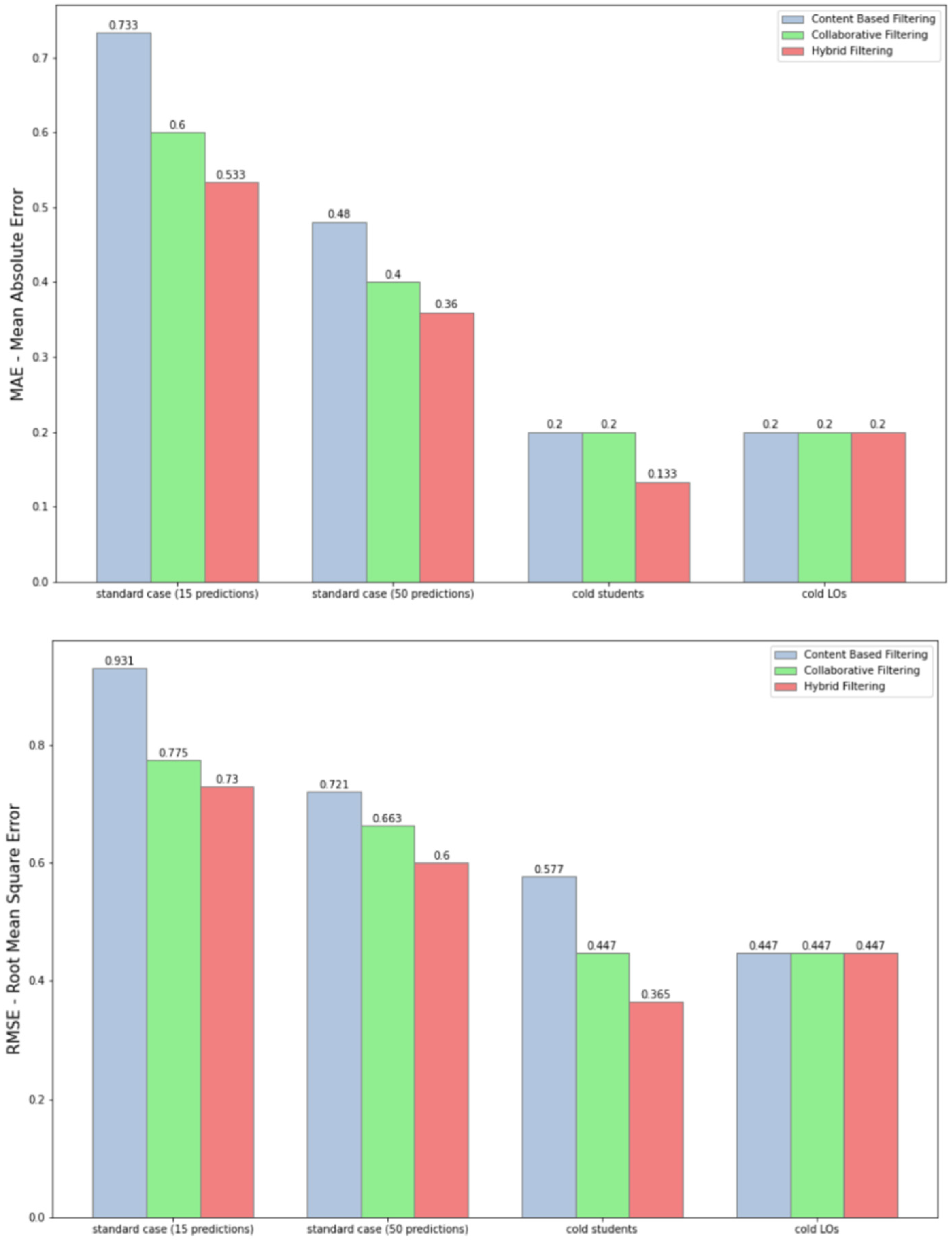
3.3. Quantitative Results for Recommendations
4. Discussion
4.1. Discussion of Results for Certifications
4.2. Discussion of Results for Recommendations
4.3. Research Limitations
5. Conclusions
Author Contributions
Funding
Data Availability Statement
Acknowledgments
Conflicts of Interest
References
- Abuhassna, H.; Al-Rahmi, W.M.; Yahya, N.; Zakaria MA, Z.M.; Kosnin, A.B.; Darwish, M. Development of a new model on utilizing online learning platforms to improve students’ academic achievements and satisfaction. Int. J. Educ. Technol. High. Educ. 2020, 17, 38. [Google Scholar] [CrossRef]
- Gopal, R.; Singh, V.; Aggarwal, A. Impact of online classes on the satisfaction and performance of students during the pandemic period of COVID-19. Educ. Inf. Technol. 2021, 26, 6923–6947. [Google Scholar] [CrossRef] [PubMed]
- Keane, T.; Linden, T.; Hernandez-Martinez, P.; Molnar, A. University Students’ Experiences and Reflections of Technology in Their Transition to Online Learning during the Global Pandemic. Educ. Sci. 2022, 12, 453. [Google Scholar] [CrossRef]
- Veith, J.; Bitzenbauer, P.; Girnat, B. Assessing Learners’ Conceptual Understanding of Introductory Group Theory Using the CI2GT: Development and Analysis of a Concept Inventory. Educ. Sci. 2022, 12, 376. [Google Scholar] [CrossRef]
- Kioupi, V.; Voulvoulis, N. The Contribution of Higher Education to Sustainability: The Development and Assessment of Sustainability Competences in a University Case Study. Educ. Sci. 2022, 12, 406. [Google Scholar] [CrossRef]
- Arndt, T.; Guercio, A. Blockchain-based transcripts for mobile higher-education. Int. J. Inf. Educ. Technol. 2020, 10, 84–89. [Google Scholar] [CrossRef]
- Liu, L.; Han, M.; Zhou, Y.; Parizi, R. E^2 C-Chain: A two-stage incentive education employment and skill certification blockchain. In Proceedings of the 2019 IEEE International Conference on Blockchain, Atlanta, GA, USA, 14–17 July 2019; pp. 140–147. [Google Scholar] [CrossRef]
- Lizcano, D.; Lara, J.A.; White, B.; Aljawarneh, S. Blockchain-based approach to create a model of trust in open and ubiquitous higher education. J. Comput. High. Educ. 2020, 32, 109–134. [Google Scholar] [CrossRef]
- Mitchell, I.; Hara, S.; Sheriff, M. dAppER: Decentralised application for examination review. In Proceedings of the 2019 IEEE 12th International Conference on Global Security, Safety and Sustainability, London, UK, 16–18 January 2019; pp. 1–14. [Google Scholar] [CrossRef]
- Shen, H.; Xiao, Y. Research on Online Quiz Scheme Based on Double-Layer Consortium Blockchain. In Proceedings of the 9th International Conference on Information Technology in Medicine and Education, Hangzhou, China, 19–21 October 2018; pp. 956–960. [Google Scholar] [CrossRef]
- Srivastava, A.K.; Bhattacharya, P.; Singh, A.; Mathur, A.; Prakash, O.; Pradhan, R. A Distributed Credit Transfer Educational Framework based on Blockchain. In Proceedings of the 2018 Second International Conference on Advances in Computing, Control and Communication Technology, Allahabad, India, 21–23 September 2018; pp. 54–59. [Google Scholar]
- Turkanović, M.; Hölbl, M.; Košič, K.; Heričko, M.; Kamišalić, A. EduCTX: A Blockchain-Based Higher Education Credit Platform. IEEE Access 2018, 6, 5112–5127. [Google Scholar] [CrossRef]
- Lam, T.Y.; Dongol, B. A blockchain-enabled e-learning platform. Interact. Learn. Environ. 2020, 1–23. [Google Scholar] [CrossRef]
- Ocheja, P.; Flanagan, B.; Ueda, H.; Ogata, H. Managing lifelong learning records through blockchain. Res. Pract. Technol. Enhanc. Learn. 2019, 14, 4. [Google Scholar] [CrossRef]
- Ghaffar, A.; Hussain, M. BCEAP—A blockchain embedded academic paradigm to augment legacy education through application. In Proceedings of the 3rd International Conference on Future Networks and Distributed Systems, Paris, France, 1–2 July 2019; pp. 1–11. [Google Scholar] [CrossRef]
- Mori, K.; Miwa, H. Digital university admission application system with study documents using smart contracts on blockchain. In Proceedings of the International Conference on Intelligent Networking and Collaborative Systems, Oita, Japan, 5–7 September 2019; pp. 172–180. [Google Scholar] [CrossRef]
- Glover, I. Open Badges: A Visual Method of Recognising Achievement and Increasing Learner Motivation. Stud. Engagem. Exp. J. 2013, 2, 1–4. [Google Scholar] [CrossRef]
- IMS Global Learning Consortium. Open Badges. 2020. Available online: https://openbadges.org/ (accessed on 15 February 2022).
- Hole, A. Open Badges: Exploring the value, potential and practicalities of a new way of recognising skills in Higher Education. J. Learn. Dev. High. Educ. 2014, 1759, 667X. [Google Scholar] [CrossRef]
- Olneck, M. Whom Will Digital Badges Empower? Sociological Perspectives on Digital Badges. In Open Badges in Education Workshop; Poughkeepsie: New York, NY, USA, 2015; pp. 1–7. [Google Scholar]
- Deterding, S. Situated Motivational Affordances of Game Elements: A Conceptual Model. In Gamification: Using Game Design Elements in Non-Gaming Contexts, A Workshop at CHI; ACM: New York, NY, USA, 2011; pp. 34–37. ISBN 978-1-4503-0268-5/11/05. [Google Scholar]
- Glover, I.; Latif, F. Investigating perceptions and potential of open badges in formal higher education. In Proceedings of the EdMedia 2013—World Conference on Educational Media and Technology, Victoria, BC, Canada, 24–28 June 2013; pp. 1398–1402. [Google Scholar]
- MIRVA Project. Making Informal Recognition Visible and Actionable. 2020. Available online: https://mirva.openrecognition.org (accessed on 15 February 2022).
- EPIC Conference. Open Badges: Building a Culture of Recognition. 2021. Available online: https://epic.openrecognition.org (accessed on 18 February 2022).
- Bestr Platform. Make Skills Happen. 2021. Available online: https://bestr.it (accessed on 18 February 2022).
- Hart, S.A. Precision education initiative: Moving toward personalized education. Mind Brain Educ. 2016, 10, 209–211. [Google Scholar] [CrossRef] [PubMed]
- Luan, H.; Tsai, C.-C. A Review of Using Machine Learning Approaches for Precision Education. Educ. Technol. Soc. 2021, 24, 250–266. Available online: https://www.jstor.org/stable/26977871 (accessed on 18 February 2022).
- Khanal, S.S.; Prasad, P.; Alsadoon, A.; Maag, A. A systematic review: Machine learning based recommendation systems for e-learning. Educ. Inf. Technol. 2020, 25, 2635–2664. [Google Scholar] [CrossRef]
- Aher, S.; Lobo, L. Combination of machine learning algorithms for recommendation of courses in E-learning system based on historical data. Knowl.-Based Syst. 2013, 51, 1–14. [Google Scholar] [CrossRef]
- Fiore, A.; Mainetti, L.; Vergallo, R. A different perspective in building tools to collect and share educational resources. J. E-Learn. Knowl. Soc. 2015, 11. [Google Scholar] [CrossRef]
- Di Blas, N.; Fiore, A.; Mainetti, L.; Vergallo, R.; Paolini, P. A portal of educational resources: Providing evidence for matching pedagogy with technology. Res. Learn. Technol. 2014, 22, 22906. [Google Scholar] [CrossRef]
- Resnick, P.; Varian, H.R. Recommender systems. Commun. ACM 1997, 40, 56–58. [Google Scholar] [CrossRef]
- Felder, R.; Silverman, L. Learning and teaching styles in engineering education. Eng. Educ. 1988, 78, 674–681. [Google Scholar] [CrossRef]
- Chen, H.; Yin, C.; Li, R.; Rong, W.; Xiong, Z.; David, B. Enhanced learning resource recommendation based on online learning style model. Tsinghua Sci. Technol. 2020, 25, 348–356. [Google Scholar] [CrossRef]
- Ford, W. Chapter 15—The Singular Value Decomposition. In Numerical Linear Algebra with Applications; Academic Press: Boston, MA, USA, 2015; pp. 299–320. [Google Scholar]
- Gosavi, A. Reinforcement Learning: A Tutorial Survey and Recent Advances. INFORMS J. Comput. 2008, 21, 178–192. [Google Scholar] [CrossRef]
- Prieto-Jiménez, E.; López-Catalán, L.; López-Catalán, B.; Domínguez-Fernández, G. Sustainable Development Goals and Education: A Bibliometric Mapping Analysis. Sustainability 2021, 13, 2126. [Google Scholar] [CrossRef]
- Kuzilek, J.; Hlosta, M.; Zdrahal, Z. Open University Learning Analytics dataset. Sci. Data 2017, 4, 170171. [Google Scholar] [CrossRef] [PubMed]
- Hyperledger. An Introduction to Hyperledger, White Paper. 2022. Available online: https://www.hyperledger.org/wp-content/uploads/2018/08/HL_Whitepaper_IntroductiontoHyperledger.pdf (accessed on 25 February 2022).
- Pongnumkul, S.; Siripanpornchana, C.; Thajchayapong, S. Performance Analysis of Private Blockchain Platforms in Varying Workloads. In Proceedings of the 26th International Conference on Computer Communication and Networks (ICCCN), Vancouver, BC, Canada, 31 July–3 August 2017; pp. 1–6. [Google Scholar] [CrossRef]
- Hyperledger. Hyperledger Blockchain Performance Metrics, White Paper. 2022. Available online: https://www.hyperledger.org/resources/publications/blockchain-performance-metrics# (accessed on 25 February 2022).
- Nafea, S.M.; Siewe, F.; He, Y. A Novel Algorithm for Course Learning Object Recommendation Based on Student Learning Styles. In Proceedings of the 2019 International Conference on Innovative Trends in Computer Engineering (ITCE), Aswan, Egypt, 2–4 February 2019; pp. 192–201. [Google Scholar] [CrossRef]
- Litan, A.; Leow, A.; Andrews, W.; Chesini, F.; D’Hoinne, J. Predicts 2022: Prepare for Blockchain-Based Digital Disruption. Available online: https://www.gartner.com/en/documents/4009108 (accessed on 6 December 2021).
- Kuzior, A.; Sira, M. A Bibliometric Analysis of Blockchain Technology Research Using VOSviewer. Sustainability 2022, 14, 8206. [Google Scholar] [CrossRef]















Publisher’s Note: MDPI stays neutral with regard to jurisdictional claims in published maps and institutional affiliations. |
© 2022 by the authors. Licensee MDPI, Basel, Switzerland. This article is an open access article distributed under the terms and conditions of the Creative Commons Attribution (CC BY) license (https://creativecommons.org/licenses/by/4.0/).
Share and Cite
Mainetti, L.; Paiano, R.; Pedone, M.; Quarta, M.; Dervishi, E. Digital Brick: Enhancing the Student Experience Using Blockchain, Open Badges and Recommendations. Educ. Sci. 2022, 12, 567. https://doi.org/10.3390/educsci12080567
Mainetti L, Paiano R, Pedone M, Quarta M, Dervishi E. Digital Brick: Enhancing the Student Experience Using Blockchain, Open Badges and Recommendations. Education Sciences. 2022; 12(8):567. https://doi.org/10.3390/educsci12080567
Chicago/Turabian StyleMainetti, Luca, Roberto Paiano, Matteo Pedone, Marco Quarta, and Elton Dervishi. 2022. "Digital Brick: Enhancing the Student Experience Using Blockchain, Open Badges and Recommendations" Education Sciences 12, no. 8: 567. https://doi.org/10.3390/educsci12080567
APA StyleMainetti, L., Paiano, R., Pedone, M., Quarta, M., & Dervishi, E. (2022). Digital Brick: Enhancing the Student Experience Using Blockchain, Open Badges and Recommendations. Education Sciences, 12(8), 567. https://doi.org/10.3390/educsci12080567

