Next Article in Journal
Interest Rates and Economic Growth: Evidence from Southeast Asia Countries
Next Article in Special Issue
Economic Policy Uncertainty and Firm Profitability in Nigeria: Does Oil Price Volatility Deepen the Shock?
Previous Article in Journal
Healthcare Financing Vulnerability and Service Utilization in Kenya During the COVID-19 Pandemic, with a Focus on Policies to Protect Human Capital
 
 
Font Type:
Arial Georgia Verdana
Font Size:
Aa Aa Aa
Line Spacing:
Column Width:
Background:
Article

Global Shocks and Local Fragilities: A Financial Stress Index Approach to Pakistan’s Monetary and Asset Market Dynamics

by
Kinza Yousfani
1,
Hasnain Iftikhar
2,3,*,
Paulo Canas Rodrigues
4,
Elías A. Torres Armas
5 and
Javier Linkolk López-Gonzales
6
1
Department of Management Sciences, Isra University, Hyderabad 11622, Pakistan
2
Department of Statistics, University of Peshawar, Peshawar 25120, Pakistan
3
Department of Statistics, Quaid-i-Azam University, Islamabad 45320, Pakistan
4
Department of Statistics, Federal University of Bahia, Salvador 40170-110, Brazil
5
Instituto de Investigación de Estudios Estadísticos y Control de Calidad, Universidad Nacional Toribio Rodríguez de Mendoza, Chachapoyas 01001, Peru
6
Escuela de Posgrado, Universidad Peruana Unión, Lima 15024, Peru
*
Author to whom correspondence should be addressed.
Economies 2025, 13(8), 243; https://doi.org/10.3390/economies13080243
Submission received: 1 July 2025 / Revised: 6 August 2025 / Accepted: 12 August 2025 / Published: 19 August 2025

Abstract

Economic stability in emerging market economies is increasingly shaped by the interplay between global financial integration, domestic monetary dynamics, and asset price fluctuations. Yet, early detection of financial market disruptions remains a persistent challenge. This study constructs a Financial Stress Index (FSI) for Pakistan, utilizing monthly data from 2005 to 2024, to capture systemic stress in a globalized context. Using Principal Component Analysis (PCA), the FSI consolidates diverse indicators, including banking sector fragility, exchange market pressure, stock market volatility, money market spread, external debt exposure, and trade finance conditions, into a single, interpretable measure of financial instability. The index is externally validated through comparisons with the U.S. STLFSI4, the Global Economic Policy Uncertainty (EPU) Index, the Geopolitical Risk (GPR) Index, and the OECD Composite Leading Indicator (CLI). The results confirm that Pakistan’s FSI responds meaningfully to both global and domestic shocks. It successfully captures major stress episodes, including the 2008 global financial crisis, the COVID-19 pandemic, and politically driven local disruptions. A key understanding is the index’s ability to distinguish between sudden global contagion and gradually emerging domestic vulnerabilities. Empirical results show that banking sector risk, followed by trade finance constraints and exchange rate volatility, are the leading contributors to systemic stress. Granger causality analysis reveals that financial stress has a significant impact on macroeconomic performance, particularly in terms of GDP growth and trade flows. These findings emphasize the importance of monitoring sector-specific vulnerabilities in an open economy like Pakistan. The FSI offers strong potential as an early warning system to support policy design and strengthen economic resilience. Future modifications may include incorporating real-time market-based metrics indicators to better align the index with global stress patterns.

1. Introduction

Financial stress refers to disruptions in the normal functioning of financial systems, often manifesting as currency crises, banking crises, and sovereign debt crises. It is typically characterized by increased uncertainty, heightened risk aversion, and significant anticipated financial losses. During such periods, the capacity of financial institutions to function effectively is impaired (Balakrishnan et al., 2011; Hakkio & Keeton, 2009; Nasir et al., 2025). To monitor and mitigate the risks of financial stress, policymakers increasingly rely on Financial Stress Indices (FSIs), which synthesize multiple market indicators into a single measure of systemic strain (Illing & Liu, 2003, 2006; Qureshi et al., 2024). These indices incorporate information from various sectors, including equity, bond, and money markets, as well as financial intermediaries, using key variables such as stock market volatility, sovereign bond spreads, and the Exchange Market Pressure Index (EMPI) (Holló, 2012; Iftikhar et al., 2024; Misina & Tkacz, 2009; Shah et al., 2019). In this work (Kliesen et al., 2012), it is emphasized that FSIs in developing economies should also account for trade credit due to structural differences from advanced markets.
The reviewed literature on financial stress highlights its emergence through instability in financial systems triggered by increased risk aversion, uncertainty, and expected losses. Researchers have developed Financial Stress Indices (FSIs) to monitor these disruptions. This framework was adapted to better match the needs and conditions of emerging markets, where the underlying causes of financial stress often differ from those in advanced economies. Therefore, the study by (Balakrishnan et al., 2011) made a significant contribution by empirically identifying the main sources of stress in these contexts, emphasizing the strong influence of financial contagion from developed countries. For Pakistan, a key significant benchmark is the study of (Cardarelli et al., 2009), which introduced one of the first attempts to construct an FSI for Pakistan. However, their study concludes before a series of unprecedented global events that have significantly altered the economic environment, namely the COVID-19 pandemic, which has resulted in supply chain disruptions and major geopolitical tensions. As a result, a significant gap remains in the existing literature: no thoroughly tested financial stress index for Pakistan that covers this recent period of turmoil. This study addresses this gap by developing an updated FSI covering the years 2005 to 2024, then performing a series of robust external validity checks to test reliability, and using the validated index to identify distinct patterns of financial stress in Pakistan, distinguishing between slowly building domestic vulnerabilities and the impact of sudden external market shocks.
In this study (Illing & Liu, 2006; Kliesen et al., 2012), the role of FSIs in tracking systemic risk across financial markets, including equity, bond, money markets, foreign exchange, and banking institutions, is underscored, as further emphasized by (Holló, 2012). Refs. (Balakrishnan et al., 2011; Iftikhar et al., 2025; Oet et al., 2012) tailored these indices for emerging markets by incorporating indicators such as exchange market pressure, sovereign bond spreads, and stock return volatility. Recent studies employ diverse methodologies, including composite indices (Iftikhar et al., 2025; Lo Duca & Peltonen, 2011; Rey, 2009) and principal component or factor models (Hanschel & Monnin, 2005; Tarin, 2013), with evidence suggesting that FSIs are effective early warning tools (Cardarelli et al., 2009; Khan et al., 2025; Melvin & Taylor, 2009; Vermeulen et al., 2015).
For instance, (Shahabadi et al., 2024) employ the Markov–Switching Bayesian VAR (MSBVAR) methodology to analyze the effect of financial stress on macroeconomic variables in Iran, demonstrating the value of nonlinear models in capturing regime changes during periods of instability. In the study by (Bu et al., 2023), a specialized stress index was developed to measure risks associated with the FinTech sector. The authors employ the MS-VAR methodology, demonstrating how macroeconomic factors can influence these emerging FinTech risks and emphasizing a modern challenge to financial stability. A study by (Mubarak, 2025) developed FSI for Morocco, utilizing the MS-VAR (2,1) model to analyze the impact of grain prices and import bill volatility. The study identifies distinct volatility regimes, illustrating how external shocks can weaken the financial system.
Other investigations explore the effects of geopolitical shocks on inflation and currency values (Iachini & Nobili, 2016; K. D. Ilesanmi & Tewari, 2020; Sadia et al., 2019) and examine how financial stress differentially impacts growth in advanced and developing economies (Huotari, 2015). In this work (Cevik et al., 2016; Gonzales et al., 2024; Shah et al., 2020; Tajammal & Butt, 2025; Valerio Roncagliolo & Villamonte Blas, 2022), it is further noted that higher financial integration in developed economies increases their susceptibility to global financial shocks compared with emerging economies.

History of Financial Stability in Pakistan

The development of a Financial Stability Index (FSI) for Pakistan must be based on the country’s frequent episodes of financial distress, which highlight the need for a systematic tool to monitor systemic risk. Pakistan’s financial system has experienced repeated stresses caused by both domestic vulnerabilities and external shocks. During the 1990s, the banking sector faced a persistent crisis characterized by a rise in non-performing loans, weak institutional governance, and inadequate regulatory oversight. These structural weaknesses led to extensive reforms, including the large-scale privatization of state-owned banks and a strengthened supervisory role for the State Bank of Pakistan (SBP) (Husain, 2003).
The 2008 Global Financial Crisis further exposed the country’s macro-financial fragility. Although Pakistan’s banks were less exposed to toxic assets, the crisis triggered a rapid depletion of foreign exchange reserves, sharp currency depreciation, and severe balance of payments pressures, culminating in an IMF stabilization program (Haq & Bukhari, 2020; International Monetary Fund, 2009). In the following years, periodic episodes of currency instability, widening current account deficits, and external debt vulnerabilities have required repeated IMF involvement, emphasizing the persistent structural imbalances in the economy (International Monetary Fund, 2018). These well-documented episodes of banking fragility, exchange market pressures, and sovereign risk form the empirical foundation for constructing a comprehensive FSI. They reveal that financial stress in Pakistan arises from both domestic structural weaknesses and global shocks, making a composite index crucial for monitoring systemic vulnerabilities and supporting timely policy responses (Iftikhar et al., 2025; Tariq & Shafique, forthcoming). In constructing an FSI for Pakistan, several components are integrated to reflect the country’s macroeconomic and financial environment. The banking sector’s risk is assessed through changes in real deposits, domestic private sector claims, and foreign liabilities. Stock market volatility, a key stress indicator, is estimated using the GARCH(1,1) model (Cipollini & Mikaliunaite, 2020; Ghosh et al., 2024), which is consistent with established approaches (Cardarelli et al., 2011; Cevik et al., 2013). Exchange market pressure is measured using the EMPI methodology (Bollerslev, 1986; Ishrakieh et al., 2020; Malega, 2016), as supported by previous studies (Bussiere & Fratzscher, 2006; Garibaldi et al., 2001; Girton & Roper, 1977; Iftikhar et al., 2024), which captures movements in exchange rates and reserves. Sovereign bond risk is assessed through the yield spread between Pakistan Investment Bonds and U.S. Treasury securities (Abdullah et al., 2017; Batool, n.d.; Cevik et al., 2013). External debt risk is quantified based on its growth rate (G. L. Kaminsky, 1997; Kruger et al., 1998). Due to data limitations, trade finance is proxied by net financial flows (Abiad, 2003; Sachs et al., 1996). The growth in the private sector is evaluated in terms of credit stress claims (Bell & Jones, 2015; Cevik et al., 2016; Kenc et al., 2021). Liquidity stress in the money market is reflected through bid–ask spreads, which utilize the highest and lowest prices when direct data are unavailable (Aizenman et al., 2012; Kaiser, 1974; G. L. Kaminsky, 1997; Shah et al., 2022). Stock market illiquidity is also measured using bid–ask spreads derived from monthly high and low prices (Hakkio & Keeton, 2009; Iftikhar et al., 2023; Koyunlu, 2000; Stolbov & Shchepeleva, 2016). These indicators collectively form a comprehensive financial stress index tailored to Pakistan’s economic and financial conditions.
The remainder of this paper is structured as follows: Section 2 presents the data sources and methodology used to construct the Financial Stress Index (FSI), including the rationale for indicator selection and the implementation of Principal Component Analysis (PCA). Section 3 reports and interprets the empirical findings, highlighting the identification of major stress periods and the relationship between financial stress and macroeconomic performance. This section also includes a set of robustness checks by comparing the FSI with established global indicators such as the U.S. STLFSI4, Global Economic Policy Uncertainty (EPU), Geopolitical Risk (GPR), and the OECD Composite Leading Indicator (CLI). Finally, Section 4 offers policy implications based on the results and suggests avenues for future research, particularly in enhancing the index’s alignment with high-frequency global financial signals.

2. Methodology and Data Collection

To construct a reliable FSI for Pakistan, this study relies on monthly data from 2005 to 2024. The data is gathered from primary sources, including the SBP, the Pakistan Bureau of Statistics, and FRED, to ensure the accuracy and reliability of each variable.

2.1. Justification for Indicator Selection

A detailed explanation of the nine indicators used in the construction of the Financial Stability Index (FSI) is provided below. Each indicator is selected to represent a key channel of financial stress and is supported by existing literature.

2.2. Banking Sector Riskiness (BSR)

Financial stability is critically dependent on the banking system. Following the approach of (Kibritcioglu, 2003) for economies with limited market data, we construct a BSR index based on three core balance sheet components: (1) bank deposits, (2) claims on the domestic private sector, and (3) banks’ foreign liabilities. Instability in any of these variables proxies for changes in credit, exchange rate, and liquidity risk within the banking sector. The final index is calculated as the average of the standardized yearly changes in these three variables.

2.3. Stock Market Volatility (SMV)

In line with (Cardarelli et al., 2011) and (Hakkio & Keeton, 2009), we include stock price volatility as a key measure of financial imbalances and market uncertainty. Higher volatility is a classic sign of financial stress (Malega & Horvath, 2016). To capture the time-varying nature of this risk, we estimate the conditional volatility of monthly PSX index returns using a GARCH(1,1) model, a standard and proficient method for forecasting volatility in emerging markets (Gokcan, 2000).

2.4. Currency Risk (EMPI)

For an emerging economy, currency risk is a primary source of financial stress. We measure this using the Exchange Market Pressure Index (EMPI), a concept developed by (Girton & Roper, 1977). The EMPI is widely used in the literature (e.g., (Kenc et al., 2021)) because it effectively captures both successful and unsuccessful speculative attacks by combining the standardized yearly changes in the exchange rate and foreign reserves.

2.5. External Debt (GED)

Excessive external debt is a well-documented precursor to financial crises in emerging markets (G. Kaminsky et al., 1997; Sachs et al., 1996). Following (Kenc et al., 2021), we measure this risk by calculating the monthly growth rate of Pakistan’s total external debt.

2.6. Sovereign Bond Risk (SBR)

Variations in investor risk perception often manifest as changes in sovereign bond spreads. Following the standard approach in the literature (e.g., (Cevik et al., 2013)), we measure sovereign risk as the simple spread between the yield on a 10-year Pakistan Investment Bond (PIB) and a 10-year U.S. Treasury bond.

2.7. Trade Finance (TF)

As argued by (Rey, 2009), constricted trade finance is a significant stress factor, particularly in emerging economies. Due to the lack of direct data, and following the precedent of (Sadia et al., 2019), we use net financial flows from the balance of payments as a proxy for trade finance conditions.

2.8. Credit Stress (CS)

Credit stress is another essential but not directly measurable component of the FSI. Following (Cevik et al., 2016; Sadia et al., 2019), we use the growth of claims on the domestic private sector as a proxy to capture stress in the credit market.

2.9. Money Market Spread (MMS)

A lack of liquidity in the money market is a key sign of financial stress. Following (Cevik et al., 2016), we measure this by calculating the bid–ask spread. As direct bid–ask quote data was unavailable for the full historical period, we use the spread between the monthly highest and lowest prices on the overnight interest rate as a proxy.

2.10. Stock Market Spread (SMS)

Similarly, a widening bid–ask spread in the stock market indicates poor liquidity and heightened stress. Following (Hakkio & Keeton, 2009), we include this as a component. Due to data unavailability, we use the spread between the monthly highest and lowest prices of the PSX index as a proxy. Before constructing the index and conducting further analysis, it is essential to understand the underlying properties of the component variables (Iftikhar et al., 2024, 2023). Table 1 presents the key descriptive statistics for each of the raw indicator series used in this study, providing a summary of the data variables based on averages and means. Table 1 summarizes monthly data from 2005 to 2024, covering key financial and economic indicators used in the development of Pakistan’s Financial Stress Index (FSI). Within the banking sector, average total deposits were approximately Rs. 6.94 trillion, reflecting the level of liquidity and public confidence in financial institutions. The credit to the domestic private sector (CDPS) averaged Rs. 4.24 trillion, indicating the extent of bank lending. Foreign liabilities stood at approximately Rs. 227.9 billion, highlighting exposure to external borrowing with considerable variation. In terms of exchange rate stability, the average value was 92.35 PKR per USD, and total foreign reserves (excluding gold) were roughly $12.2 billion, pointing to the country’s ability to manage external shocks. Stock market returns averaged 1.4% per month, though wide fluctuations suggest instability in investor behavior. For sovereign bonds, yields on Pakistan Investment Bonds (PIBs) averaged 10.29%, significantly higher than the 2.98% average on U.S. Treasury bonds, highlighting investor concerns over domestic debt. The trade finance indicator—measured by the financial account balance—showed an average shortfall of $54 million, with high variability indicating unstable external funding conditions. Credit stress, also represented by CDPS, emphasizes the role of private sector lending in assessing financial pressure. In the money market, bid and ask rates (KIBOR) reflected a moderate spread, while the differences between the highest ask and lowest bid prices in the stock market indicated potential liquidity constraints and speculative activity. Finally, macroeconomic indicators such as industrial production (Rs. 286 billion), foreign trade (Rs. 40.2 billion), GDP (Rs. 21.9 trillion), and gross fixed capital formation (Rs. 1.55 trillion) provide a broader economic context for analyzing shifts in financial stress throughout the period.
Table 2 provides a summary of the unit root test results and optimal lag selection for the four key economic indicators used in the VAR analysis. All variables are integrated of order one, denoted as I(I), as confirmed by both the Augmented Dickey–Fuller (ADF) and Phillips–Perron (PP) tests. For the VAR model, the optimal lag length for IPG and FTG was identified as four based on the Schwarz Bayesian Information Criterion (SBIC). In contrast, the optimal lag for GDPG and FCFG was found to be two, supported by multiple information criteria, including FPE, AIC, HQIC, and SBIC. These selections confirm model accuracy and stability in subsequent econometric analysis. Numerous financial and macroeconomic indicators were selected based on their significance in capturing stress across different segments of the financial system. These indicators, along with their detailed construction methods and data sources, are presented in Table 3.
Table 3 describes the use of nine selected indicators for developing the FSI, reflecting the different sources of financial stress in Pakistan’s economy. These indicators encompass various aspects of the financial system, including market-related factors such as stock market volatility and sovereign bond risk, as well as banking-related measures like banking sector risk and credit stress. The Exchange Market Pressure Index is crucial for showing currency-related problems, which are often a source of instability in developing countries. Moreover, the concept developed by (Girton & Roper, 1977) is particularly significant for capturing currency-related problems, which are frequently a source of instability even in developed countries. The index also incorporates trade finance and market spreads, adjusted to fit the specific structure of Pakistan’s economy. This comprehensive method allows the FSI to reflect pressure from both domestic issues and international financial events. For the trade finance and money market liquidity indicators, the use of proxies was necessitated by data limitations. Using net financial flows as a proxy for trade finance is a notable limitation, as this series can be influenced by other capital flows, such as foreign direct investment (FDI). Preferably, the Bank for International Settlements’ trade-credit series would provide a more accurate measure; however, this data was not consistently available on a monthly basis over the full sample period from 2005 to 2024. Similarly, for measuring money market liquidity, a consistent repo-spread series from the State Bank of Pakistan was unavailable for the entire historical period. This constraint led to the use of the spread between the monthly high and low prices as a proxy. While these proxies enable the construction of a reasonably informative index, they may introduce some noise into the final FSI. Therefore, we propose that as more detailed and high-frequency data becomes available in the future, an important next step would be to reconstruct the FSI using these more sophisticated indicators.

2.11. Aggregation of FSI Indicators

In the review literature, numerous techniques are used to combine the components of FSI, such as weighting schemes like equal weights, economic weights, factor analysis, and cumulative distribution functions (Illing & Liu, 2006; Laeven & Valencia, 2013). Further, the variance equal weighting method was used by (Malega, 2016; Park & Mercado, 2014). Whereas (Hakkio & Keeton, 2009; Kota & Saqe, 2013) used PCA and (Ozcelebi, 2020; Sadia et al., 2019), the Federal Bank of Kansas, and the Federal Reserve Bank of St. Louis used PCA to construct their respective FSIs. In developing a composite measure of financial stress, several methodological approaches have been discussed in the literature. While advanced models like Markov–Switching VAR (MS-VAR) are capable of capturing regime shifts in financial dynamics; however, this study applies Principal Component Analysis (PCA) due to its suitability for the study’s objectives. The goal is to construct a transparent and easily interpretable index that policymakers can use for ongoing monitoring, a task for which PCA is particularly well-suited. In addition, PCA also reduces data complexity and extracts common variation among indicators without imposing restrictive theoretical assumptions. Furthermore, its extensive use in prior research and institutional applications like (Bin Hidthir et al., 2025; Reisizadeh et al., 2025), as well as more recent works by (Drenkovska & Lenarčič, 2025; K. D. Ilesanmi & Tewari, 2020), confirms that our findings remain comparable to a broad body of international studies. Therefore, for these reasons, PCA stands out as the most appropriate method for this study analysis.
Therefore, we comprehend the extended method given by (Balakrishnan et al., 2011; Hassan et al., 2024) for emerging economies.
PCA is a statistical technique that modifies a set of correlated components or variables into a smaller number of non-correlated variables. This is one of the benefits of this technique, as it minimizes the number of variables in the model by protecting the variable. This is one of the benefits of this method, as it decreases the number of variables in the model by preserving the variance of the variables included in the model as much as possible (Bussiere & Fratzscher, 2006; Salisu et al., 2023). Later, all the components are expected to move collectively according to the level of financial stress in the economy. Furthermore, if financial stress is the factor responsible for the observed correlation between the components stated above, it will be identified as the first principal component of the correlation matrix calculated from the standardized indicators. The following is the standardization equation:
Z i t = X i t μ i σ i
Here, it represents the standardized value of time, and the actual raw value at the time of the indicator is the mean of the indicator over the sample period. Represents the standard deviation of the variable and is the time at which every indicator is measured. The study of (Dewald & Schreck, 2023; Hakkio & Keeton, 2009) similarly use the same standardization technique in constructing FSI. The following is the equation of FSI. After standardizing all selected financial indicators, the next step includes combining them into a single composite index. This is done using PCA, where PC1 takes the maximum variance among the variables. After that, FSI is calculated as a weighted sum of these standardized indicators, with the weights derived from the eigenvector loadings of PC1. PCA The PCA-based regression formula (FSI equation) is
F S I t = i = 1 n a ¯ i z i , t
where FSIt is at time and represents the eigenvector loading for the i-th indicator, is the standardized value of the i-th indicator at time, and is the total number of indicators included. Before constructing the index, the data were tested for their suitability for dimension reduction using two established diagnostics. The Kaiser–Meyer–Olkin (KMO) measure of sampling adequacy was calculated at 0.6028, exceeding the commonly accepted minimum threshold of 0.5. In addition, Bartlett’s test of sphericity yielded a Chi-squared value of 843.88 with 36 degrees of freedom (p < 0.001), allowing us to reject the null hypothesis of no correlations among the variables. These results confirm that the correlation matrix is appropriate for factor extraction. While both diagnostics validate the use of factor extraction methods, and although Factor Analysis (FA) could have been applied, this study adopts Principal Component Analysis (PCA) for two main reasons. First, the primary objective is to develop a single composite index that captures the maximum variance from the original indicators—a goal that aligns directly with the purpose of PCA. Second, PCA is the most commonly used method in the FSI literature (e.g., (Hakkio & Keeton, 2009)), enabling our final index to be compared with a wide range of earlier studies. Furthermore, several recent studies (e.g., (O. Ilesanmi & Tewari, 2020; Reiszadeh et al., forthcoming)) also adopt PCA, making our results both contemporary and comparable with findings across the broader financial stability literature. Although the overall KMO value is strong, the specific KMO score for the Exchange Market Pressure Index (EMPI) falls below the accepted benchmark of 0.5. Despite this, EMPI was retained in the analysis; however, due to its clear theoretical relevance in capturing currency risk within the context of an emerging economy such as Pakistan. Follow Table 4 for the KMO test results:
Similarly, in the prior literature, it is mentioned that the first principal component (PC1) is the FSI, which describes the total variation of the raw stress indicators (Park & Mercado, 2014). The study (Girton & Roper, 1977) mentioned that only PC1 will be accepted because it comprises multiple components that will be averaged later; adding more components adds unnecessary noise in the data series, which will be problematic as well as difficult to sort the crisis period. Having said that, more components will reduce the dimensionality of the data. In contrast, (Hassan et al., 2024) utilize the first three principal components (PCs) for emerging market economies as indicators of stress. Therefore, the following studies have used PC1 as FSI, and their total variation is 41.5% in the Czech Republic (Bussiere & Fratzscher, 2006), 48% in South Africa (K. D. Ilesanmi & Tewari, 2020), 22.10% in Turkey (Park & Mercado, 2014), 59% in Turkey (G. L. Kaminsky, 1997), and total variation by (Bollerslev, 1986) in transition economies; 52% in Bulgaria; 41% in Czech Republic; 34% in Hungary; 36% in Poland; 58% in Russia; 18% in Lebanon (Girton & Roper, 1977); and 59% in Malaysia (Abiad, 2003).

3. Results

The results of the PCA are presented in Table 5, which shows the proportion and eigenvalues of the six PCs, depicted within the sub-indices of the market segments. Moreover, PCA is computed on the standardized dataset, where PC1 accounts for 41.4% of the total variance in our data, with an eigenvalue of 2.45, which is greater than 1.
Figure 1’s scree plot is based on PCA and shows that the first three components have eigenvalues greater than one, together explaining about 82.3% of the total variation in the data. According to the Kaiser Criterion, components with eigenvalues above one are considered useful for the analysis. Therefore, PC1 accounts for 40.7% of the variance, making it the most significant of all the other components. The third component in the plot exhibits a noticeable drop in eigenvalues, suggesting that the remaining components contribute very little to the variance explanation. Therefore, based on the results, the FSI was constructed using the first principal component (PC1).
Table 6 characterizes the PC1 results, along with their eigenvectors or weights, for the individual stress indicators of submarket indices. The variable weights illustrate the degree of financial stress in Pakistan, which is mainly determined by the banking sector’s riskiness. The same result is also found in Malaysia (Abiad, 2003), Russia, and Bulgaria (Bollerslev, 1986). The positive variables in Table 6 display a one-standard-deviation change in the corresponding market segments from the final FSI. The negative sign indicates that both dimensions are inversely proportional to one another; if one dimension increases, the other dimension decreases subsequently. The results in Table 6 indicate that in severe financial stress, the banking sector risk exhibits the highest PCA weight, confirming its leading role in contributing to economic stress in Pakistan. To illustrate the proxies, the index highlights the actual foreign liabilities of banks, total deposits, and claims in the domestic private sector. Thus, the weights of the variable indicate that uncertainty in the banking sector typically drives the degree of financial stress. Furthermore, during periods of excessive financial stress, the banking system of Pakistan became weakened; similarly, the results were obtained by (G. L. Kaminsky, 1997) for Russia and Bulgaria and (Abiad, 2003) for Malaysia.
Moreover, in Table 6, EMPI, which serves as a proxy for currency risk, is very low, indicating that currency depreciation typically occurs due to stress accumulating in further financial markets. Thus, it can be suggested that the weight of EMPI contributes to increased financial stress in Pakistan. Furthermore, it is known that the rise in the FSI of advanced economies may cause a currency crisis in developing markets by improving their EMPI; however, it is also noted that the surge in financial stress in developed countries cannot affect their EMPI, while the EMPI in developing economies becomes low. Therefore, the likelihood of growing financial stress in advanced economies increases the risk of a currency crisis in Pakistan, suggesting that EMPI contributes positively to financial stress. Similar results were found in studies by (Abiad, 2003; Kruger et al., 1998). The negative weight of SMV in the PCA-based FSI could be due to several factors. Firstly, in developed economies, heightened stock market volatility often signals financial instability. However, in emerging markets such as Pakistan, increased volatility does not necessarily indicate distress but can be linked to heightened trading activity and liquidity fluctuations. If stock market volatility positively correlates with liquidity rather than financial distress, PCA may assign it a negative weight to maintain statistical balance (Dewald & Schreck, 2023).
Additionally, PCA constructs components to maximize variance while ensuring orthogonality between factors. If SMV trends differently from other key financial stress indicators, such as credit risk or interest rate spreads, PCA may allocate it a negative weight to balance the overall variance. Another factor could be that, in some emerging markets, greater stock volatility coincides with speculative foreign capital inflows, which do not necessarily indicate worsening financial conditions (Adhikari, 2023). The methodological approach also plays a role in standardizing data for PCA. When variables with high variance and asymmetric distributions, such as stock market volatility, are included, the resulting weights may appear counterintuitive due to normalization effects. Thus, the negative weighting of SMV does not imply that stock market volatility reduces financial stress; rather, it reflects the unique market conditions in Pakistan, where capital flows, liquidity dynamics, and statistical transformations influence PCA results.
Pakistan’s financial system is largely bank-driven, with the banking sector holding approximately 75% of total financial assets, unlike developed economies that have more diversified financial structures. This heavy reliance on banking institutions increases systemic risk, especially during economic downturns. The underdevelopment of capital markets compels firms and investors to primarily utilize banking channels, thereby intensifying financial vulnerabilities during periods of monetary tightening and external shocks (Adhikari, 2023; Gadanecz & Jayaram, 2008; Kentikelenis & Stubbs, 2024). Therefore, our study found a positive relationship between external debt in Pakistan. Furthermore, it can be stated that financial stress is a result of an increase in external debt. During periods of extreme financial stress, external liabilities in Pakistan are likely to increase over time.
Furthermore, our finding that external debt is positively correlated with financial stress supports (Fisunoğlu & Akyüz, 2025), who argue that extreme external borrowing in developing economies often leads to financial instability. Therefore, following the study by (Fisunoğlu & Akyüz, 2025), external debt is recognized as a primary driver of financial vulnerability. The observed negative weight of SMV in the FSI could be linked to capital reallocation effects or monetary policy mechanisms. During periods of heightened stock market fluctuations, investors may redirect funds to the banking sector, thereby reducing perceived financial instability (Chakrabarty & Shkilko, 2013). This dynamic may explain the counterintuitive result observed in the analysis, although it differs from findings in prior studies such as (Chakrabarty & Shkilko, 2013; Fisunoğlu & Akyüz, 2025).
According to the Asian Development Bank (Aboura & Van Roye, 2017), despite the moderate improvements, Pakistan’s stock market has developed at a slower pace compared with its regional counterparts. Market capitalization as a percentage of GDP stands at around 15%, significantly lower than India’s 50% or Malaysia’s 80%. This limited stock market penetration constrains financial diversification and increases economic dependence on the banking sector liquidity. The slow expansion of the capital markets may explain why SMV has a counterintuitive negative weight in the FSI, as the banking sector’s resilience mitigates financial stress during times of stock market fluctuations. Additionally, the FSI trends align closely with periods of economic distress, notably the 2008 global financial crisis and the 2018 currency depreciation crisis. These periods saw significant spikes in financial stress, characterized by capital outflows, increased credit spreads, and sharp interest rate adjustments by the IMF (Reinhart et al., 2012). Given the high dependence on external financing, financial instability in Pakistan tends to be driven more by external shocks and policy responses rather than purely stock market dynamics. These empirical understandings reinforce the argument that financial stress in Pakistan is closely linked to the stability of the banking sector and external economic conditions, rather than stock market fluctuations alone. Therefore, future financial policy should focus on deepening capital markets and enhancing financial diversification to reduce systemic risks.
The money market spread (MMS) represents the short-term cost of borrowing money, which can lead to liquidity risk. According to this study (Thomas, 2009), the MMS reduces bank lending, which in turn decreases financial activities. In contrast, Kose et al. (2009) note that an increase in MMS has a positive impact on financial stress. Therefore, it is stated that a rise in MMS contributes positively to financial stress; a similar result was found in our study (see Table 6). In connection with external debt, the rise in external debt also mitigates financial stress, suggesting that market participants have less interest in debt sustainability. According to Bollerslev (1986), the quickest development in external debt is considered uncertain; at the same time, the association between external debt and financial stress is considered vague. The PCA eigenvector for the external debt component of our study (see Table 6) contradicts the results of Bollerslev (1986) and G. L. Kaminsky (1997), who concluded that short-term external debt is adversely affecting FSI in Russia, Hungary, Bulgaria, and Poland. However, this study found a positive association between external debt in Pakistan. It can be mentioned that financial stress rises as a result of an upsurge in external debt, and during excessive financial stress, external liabilities in Pakistan will grow over time. Hence, following the results of the study by Abiad (2003) and Fisunoğlu and Akyüz (2025), who mentioned in their study that external debt is one part that slows down the economy’s growth, financial stress rises as a result of an increase in external debt.
The last row of Table 6 indicates that trade finance has a negative contribution to Pakistan’s financial stress. A similar result was found for Malaysia (Abiad, 2003) and (G. L. Kaminsky, 1997), as well as for Turkey, Hungary, Poland, and the Czech Republic. The results align with our expectations, as Bollerslev (1986) suggests that financial flows play a significant role in the economic growth of emerging economies. Likewise, Yu et al. (2021) mentioned that capital flow has a positive impact on external trade. Considering this, Walsh (2022) concludes that an increase in trade finance ultimately decreases financial stress.
Figure 2 represents the FSI for Pakistan. According to the plot of FSI for Pakistan in Figure 2, which shows the monthly behavior. The six standardized components are summarized to produce the aggregate FSI for Pakistan. As shown in Figure 2, the Financial Stress Index (FSI) highlights multiple periods of heightened stress in Pakistan’s financial system. A sharp rise in financial stress can be observed in late 2007 and early 2008, aligning closely with the intense political instability and turmoil following the assassination of former Prime Minister Benazir Bhutto (Rahman et al., 2018). The first notable surge occurred during 2008–2009, following the collapse of Lehman Brothers. According to the Financial Stability Review (FSR), 2008 was marked as one of the most disruptive years in recent financial history, driven by global market turmoil and rising commodity prices. Pakistan was affected both directly and indirectly through reduced trade activity and capital flight. The second event indicates ongoing inflationary pressures. Although temporary balance of payments (BOP) surpluses initially reduced currency risk, the use of external debt rather than sustainable investment weakened financial stability, with moderate stress emerging by 2012 due to the twin deficit issue. The third episode, occurring between 2015 and 2016, was linked to lower export demand from Europe amid the Eurozone debt crisis, which partially offset the benefits of falling oil prices. The fourth significant stress period arose in 2017 due to political uncertainty and volatility in equity markets. Global investors withdrew around 40% of their investments from the Pakistan Stock Exchange (PSX) amid increasing risks, including financial regulation changes, regional conflicts, and cyber threats. In 2017–2018, the fifth spike reflected rising macroeconomic imbalances, including sustained pressure on foreign exchange reserves and a sharp depreciation of the rupee. However, the sixth peak in 2018–2019 was marked by persistent currency weakness, despite a narrowing current account deficit. Finally, the seventh surge in early 2019 was triggered by geopolitical tensions with India, which briefly disrupted investor confidence and business sentiment. These stress episodes demonstrate the FSI’s effectiveness in capturing both domestic and external financial shocks. Furthermore, to analyze the contribution of various financial and economic components to financial stress more intensively, the financial stress component is plotted in Figure 2.
According to Figure 3, FSI testing provides a quantitative assessment of financial volatility in Pakistan, highlighting the relationship between financial stress levels and macroeconomic events. Figure 3 reflects the onset of a difficult period starting in July 2022. Although the economy was under considerable stress, as evident from declining foreign exchange reserves, high inflation, and a depreciating currency, the FSI displayed a declining trend. This unexpected drop in financial stress is primarily attributed to the strong positive market reaction to Pakistan’s removal from the FATF grey list in October 2022, which appears to have offset the impact of broader macroeconomic challenges during that time. Additionally, in October 2024, the KSE 100 experienced a significant surge, indicating a decline in financial stress and reflecting the capital market’s resilience and strengthened investor sentiment. Furthermore, the SBP decision in March 2025 maintained the interest rate at 12% rather than implementing expected rate cuts, which may have introduced financial stress and volatility due to the uncertainties surrounding the direction of monetary policy. Hence, these findings highlight the significance of financial regulations, foreign investment, and economic policy in shaping financial stress movements, offering critical insights for financial analysts, policymakers, and researchers to focus on macroeconomic stability in developing markets (Dugbartey, 2025).
Figure 4 FSI demonstrates the significant influence of global economic events on financial volatility. The first phase was identified as the COVID-19 market downturn in March 2020, which led to a sharp spike in financial stress, as clearly visible in Figure 4 around the event labeled COVID market crash. This initial shock was followed by a period of recovery as economies began to reopen (Smil, 2005). As economies progressively reopened, inflationary pressure emerged in August 2021, further exacerbating financial stress driven by supply chain limitations, rising consumer prices, and adjustments in the central bank’s monetary policy, as noted by Walsh (Dunaway, 2009). Furthermore, in March 2022, the Russia–Ukraine war led to additional financial instability, significantly impacting the global energy market, increasing geopolitical risk, and causing fluctuations in international stock and trade markets. Additionally, the U.S. Federal Reserve’s interest rate hike in September 2023 created economic pressure, particularly in developing markets, where capital outflow, a depreciated currency, and tighter liquidity conditions exacerbated financial stress (Pohlner, 2016). According to (Ijaz et al., 2019), these trends highlight the interconnectivity of global financial systems and underscore the need for robust strategic risk management and economic policy frameworks to mitigate the adverse effects of international financial disturbances.
Table 7 highlights key periods of financial stress in Pakistan, identified through structural break analysis and supported by major macroeconomic events. These breakpoints reflect phases of economic instability driven by both domestic and global developments. The analysis covers the period from 2005 to 2019, showing that the FSI experienced significant shifts in response to various economic shocks. The first major breakpoint appeared in June 2005, aligning with a surge in global oil prices that heightened uncertainty for energy-dependent economies. A second shift in July 2005 concurred with Pakistan’s trade policy reforms, potentially altering market dynamics and contributing to financial stress (Goyal, 2014).
Furthermore, another major breakpoint emerged in December 2015, likely influenced by China’s economic slowdown and a steep drop in oil prices, affecting both oil-exporting and importing countries (Abbass et al., 2022). These international factors contributed to increased financial volatility. Moreover, in 2019, further structural shifts were detected amid Pakistan’s economic challenges, including IMF bailout negotiations, rising inflation, currency depreciation, and fiscal tightening. Breakpoints in July and November of that year align with the IMF loan agreement and subsequent reforms, underscoring the critical role of financial policy changes in shaping market stress (Thaher et al., 2022). Overall, these findings reflect the strong interplay between external shocks such as oil price fluctuations and global recessions and domestic economic decisions in influencing financial stability (Corsi, 2022).
According to Table 8, the July 2019 event corresponds to IMF Country Report No. 19/212 (July 2020), in which Pakistan secured a $6 billion Extended Fund Facility. This marked a pivotal shift in the country’s economic strategy, requiring the government to float the exchange rate, enforce fiscal discipline, and reduce imbalances. These measures triggered immediate changes in monetary indicators, notably in exchange rate dynamics and inflation levels. The onset of the COVID-19 pandemic in March 2020 led to severe global and domestic economic disruptions. In Pakistan, it severely impacted local industries, investor confidence, and foreign trade. Additionally, the lockdown and growing uncertainty led to a significant decline in the economy’s GDP, a severe deterioration in the stock market, and increased unemployment (Gayathri et al., 2024). The post-COVID-19 economic recovery began in mid-2021, supported by global vaccine distribution. However, stability was short-lived as the Russia–Ukraine war erupted in early 2022, reigniting global uncertainty. This conflict drove commodity prices higher and disrupted supply chains, renewing inflationary and fiscal pressures (Neumann, 2023). Further instability emerged in April 2022 when Prime Minister Imran Khan was ousted, intensifying political uncertainty. Inflation surged, and by July 2022, the Pakistani rupee had depreciated sharply, signaling deep macroeconomic imbalances (Saliminezhad & Bahramian, 2021). By January 2023, foreign exchange reserves had plunged below $3 billion, raising fears of default and highlighting vulnerabilities in the external sector (Gupta et al., 2022). As cited by (Kasal, 2023), the general elections convened in February 2024 led to a political change that resulted in constancy or lack thereof, which likely had a significant impact on the behavior of investors outside the country and its economic course of action moving forward.
In Table 9, the first null hypothesis of FSI does not Granger cause industrial production (IPG) with a p-value of 0.4551% with a 10% significance level, as it was rejected, and our result is similar to Bollerslev (1986); Kruger et al. (1998), but it contradicts the study of G. L. Kaminsky (1997). The authors report that financial stress has a significant impact on the IPG in Southeast Asian countries like South Korea, Malaysia, Indonesia, Thailand, and the Philippines. Industrial production is one of the heavily subsidized sectors in Pakistan. It can be argued that one of the reasons behind the insignificant causal relationship between financial stress and industrial production is government support; hence, industrial production reacts independently of overall financial stress in the economy. However, in contrast to some Southeast Asian economies, the IP in Pakistan appears to be less responsive to changes in financial stress levels, likely due to the continued government support. This insulation may enable the sector to continue functioning even when the broader economy is under financial stress, as noted by Muguto et al. (2022).
Moreover, during the study periods such as 2008, 2012, and 2015–2018, financial stress was high, but the energy sector was not affected due to subsidies received from the government: Rs 97 million in 2007, Rs 37,266 million in 2010–2011, and in 2017–2018 the subsidiary received Rs 314,614 million. Therefore, it is argued that industrial production and FSI demonstrate a weak relationship owing to the number of subsidies administered by the respective governments during the study period. Secondly, the Granger causality relationship exists between FSI and FTG at a 0.001% probability value, and the results are significant at a 5% level of significance. This finding proposes that instabilities in financial stress levels have a measurable impact on the performance of FTG. Similar results have been observed in previous studies by Kruger et al. (1998) and Bollerslev (1986). According to Dahalan et al. (2016), foreign trade plays an essential role in shaping a country’s economic output, as it contributes directly to the GDP through the exchange of services and goods across borders. Likewise, a significant relationship is found between the FSI and GDPG, with the F-statistic value at a 0.000% probability value firmly rejecting the null hypothesis. Since this is the only study to have shown a significant relationship between FSI and GDPG. Additionally, the impact of government debt on economic growth is not consistent; it varies depending on the level of debt and the current state of financial markets. When financial stress intensifies or public debt surpasses a specific threshold, its negative impact on economic growth becomes more pronounced (Muguto et al., 2022). Lastly, a Granger causality relationship exists between FSI and FCFG at a 0.038% probability value, which is accepted at a 5% significance level, similar to the findings made by Kruger et al. (1998) and Bollerslev (1986). Hence, the outcome suggests that there is an essential relationship between financial stress and economic activity. Therefore, the F-statistic in Table 8 demonstrates the computation of economic activity such as FTG, GDPG, and FCFG, which expect IPG to fail to Granger-cause the FSI at standard 5% and 10% significance levels. The dynamic relationships between financial stress and economic performance may not be well captured by a conventional linear Granger causality paradigm, as our study acknowledges, given the structural changes observed around 2020, particularly due to the COVID-19 pandemic and its associated worldwide disruptions. Using a sample-splitting strategy, we divided the entire sample into two periods: pre-2020 (2005–2019) and post-2020 (2020–2024) to overcome this limitation. The Granger causality tests are re-estimated for every sub-sample. The findings, presented in Table 10 and Table 11, reveal directional correlations that were obscured in the full-sample analysis (Table 9) but are now more evident and statistically significant. These findings offer a more sophisticated view of causality under various economic regimes, which is compatible with the existence of structural breaks.

3.1. Relationship and Measurement of Economic Activity Variables

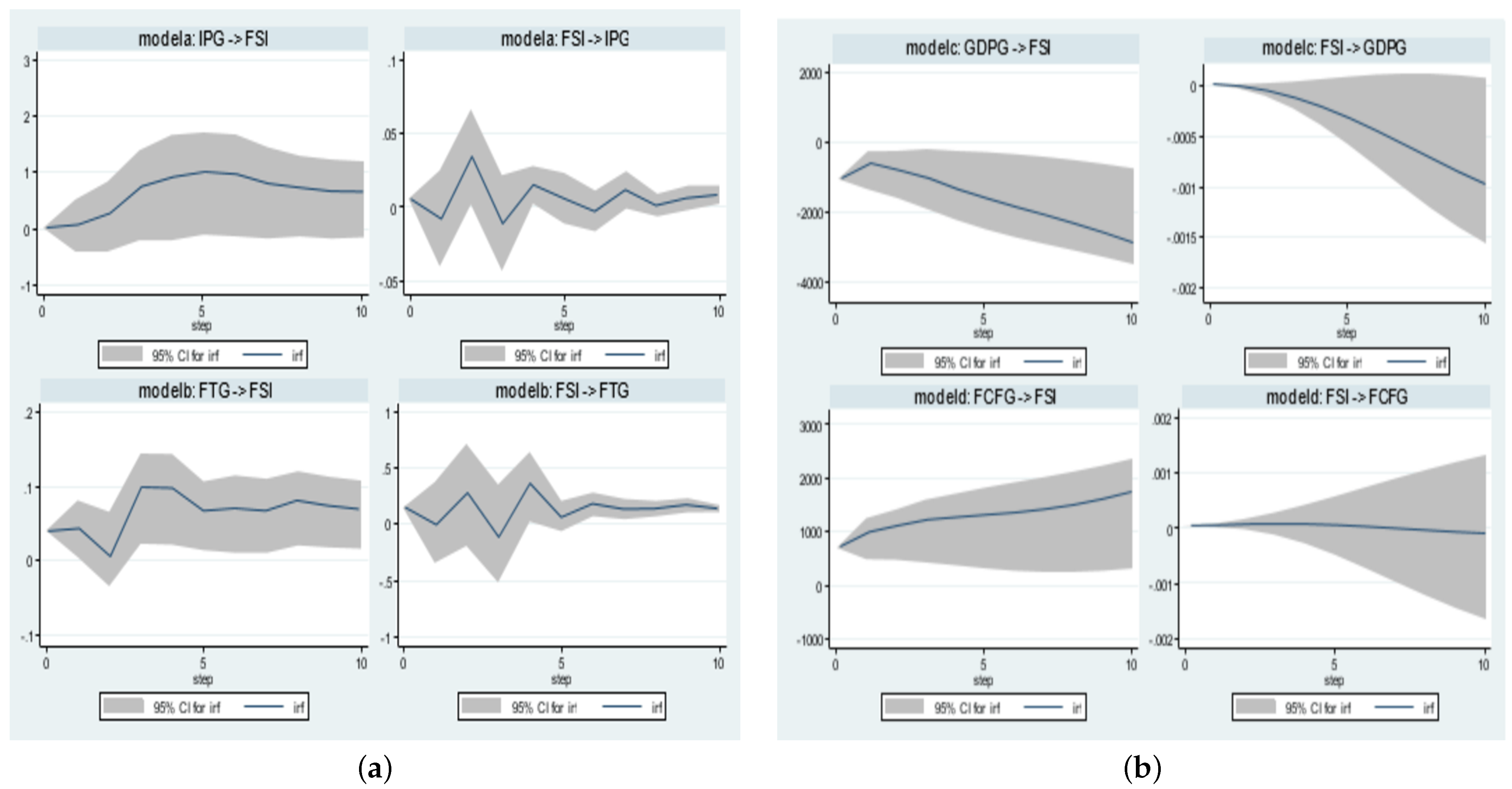
In the study by Gupta et al. (2022), decision-making plays a significant role in the economic outlook and the prices of financial assets, as financial stress is a key factor in the economic recession, leading the country to reduce most of its expenses. Likewise, the reduction of government expenditure also hinders the growth of several industries nationwide. However, a transmission channel exists between economic activity and financial stress, which should be highlighted by the country’s regulatory authorities and policymakers. It has also been stated in the study by Muguto et al. (2022) that the financial accelerator and real options are the two financial channels linking economic activity to financial stress. According to a study conducted by Dewald and Schreck (2023), financial stress has a significant influence on a country’s economic activities. However, the relationship between the two is considered to have a negative impact, as a surge in financial stress results in a decrease in the country’s economic activities. Moreover, Muguto et al. (2022) stated that the influence of financial stress on economic activities is vital to understanding the scope of the financial cycle. Primarily, we provide support based on the results of Granger causality between FSI and measures of economic indicators; the results are reported in Table 7. In this section, we have examined the vital relationship between FSI and economic indicators individually. Therefore, we provide IRF from the unrestricted bivariate VARs technique through Cholesky’s decomposition, where we order the FSI shock initially. Our measure of economic indicators is the 12-month growth rate of four economic activity variables named industrial production growth (IPG), growth of foreign trade (FTG), gross domestic product growth (GDPG), and fixed capital formation growth (FCFG) in Pakistan. The data are sourced from the State Bank of Pakistan and FRED, covering the period from 2005 to 2019. Figure 5a,b exhibit the IRF, in which column Figure 5a depicts the response of the economic activity to the FSI, whereas column Figure 5b depicts the impulse function of the FSI towards economic activity.
Figure 5 illustrates that shocks to the Financial Stress Index (FSI) have no discernible effect on Industrial Production Growth (IPG). FSI, on the other hand, responds volatily to changes in IPG and only becomes meaningful at the tenth lag over time. At the first lag, Financial Tightness Growth (FTG) reacts to FSI Figure 5a shocks in a robust and positive manner; however, at the second lag, it becomes volatile and negative. Shocks from FSI have a substantial detrimental effect on GDP Growth (GDPG), with a downward trend from the second to the tenth lag. On the other hand, FSI’s reaction to GDPG is negligible at first but becomes important over time. From the first to the tenth lag, Foreign Capital Flow Growth (FCFG) responds consistently, positively, and meaningfully to FSI shocks. In contrast, FSI is unaffected by FCFG shocks and remains constant and negligible during this time. This implies that although financial stress affects macroeconomic factors such as Figure 5b FTG, GDPG, and FCFG, it has little effect on IPG. On the other hand, FTG and GDPG have noticeable but delayed effects on financial stress, exposing unequal economic dynamics in Pakistan. Finally, it is also observed that the confidence bands expand over longer time horizons, reflecting increased uncertainty in the long-term estimates of the impulse responses (IR).

3.2. External Validity and Robustness Checks

This section evaluates the robustness and external validity of our newly constructed index by performing external comparisons against established global indicators. A critical test for any Financial Stress Index (FSI) in an emerging market is its relationship with financial conditions in major global economies. Following the approach of important studies such as Park and Mercado (2014), we contrast the Pakistan FSI with the U.S. St. Louis Fed Financial Stress Index (STLFSI4) (Federal Reserve Bank of St. Louis, 2024). Figure 6 provides a graphical comparison of the two detrended indices. The overall correlation coefficient for the corresponding period from 2005 to 2024 is 0.252 . Although this negative correlation may appear counterintuitive, it reflects the contrasting structural design and functional objectives of the two indices. The STLFSI4, constructed from high-frequency, market-based indicators, is designed to capture sudden financial market turmoil, especially within advanced economies (Federal Reserve Bank of St. Louis, 2024). Conversely, the Pakistan FSI relies on more gradually evolving macro-financial metrics—such as bank deposits, domestic credit growth, and sovereign risk—making it better suited for identifying systemic vulnerabilities rather than reacting to rapid global market contagion. Unlike the STLFSI4, which responds swiftly to global financial market fluctuations, the Pakistan FSI reflects stress derived from structural indicators, including banking sector fragility, exchange market pressure, stock market volatility, money market spreads, external debt exposure, and trade finance conditions. This enables it to capture systemic risks rooted in the domestic macroeconomic and financial environment. These divergent characteristics are evident during two major global events. In 2008, when the global financial crisis originated in the U.S. banking system, the STLFSI4 surged abruptly, while Pakistan’s FSI remained largely stable, suggesting limited immediate contagion into the domestic system. However, in 2020, during the COVID-19 pandemic—a crisis that affected countries worldwide and disrupted daily economic activities—both indices showed similar upward movements, indicating that Pakistan’s FSI is capable of capturing widespread financial stress when driven by universal and globally transmitted shocks. Therefore, despite the modest negative correlation, the index remains a valuable tool for assessing domestic financial stress and fulfilling its core function of highlighting macroprudential vulnerabilities in Pakistan. Nonetheless, the index could be further strengthened by integrating volatile market-based indicators to better align with global stress patterns and support more robust international benchmarking.
To further validate the external consistency of our de-trended FSI for Pakistan, we examine its correlation with two widely recognized measures of global risk: the Global Economic Policy Uncertainty (GEPU) Index (Organisation for Economic Co-operation and Development, 2023) and the Geopolitical Risk (GPR) Index (George, 2023). As shown in Table 12, the findings show that the Pakistan FSI exhibits a positive correlation of +0.40 with GEPU and +0.36 with the GPR. These moderate and statistically meaningful relationships indicate that periods of heightened global uncertainty and geopolitical instability are generally associated with increased financial stress in Pakistan. This strengthens the external validity of our index and supports its capacity to capture stress spillovers from global economic and political developments. The result aligns with theoretical expectations and prior empirical literature, increasing confidence in the index as a robust tool for macro-financial monitoring in an open economy context.
Moreover, Table 12 also presents the correlation between the Pakistan FSI and the OECD Composite Leading Indicator (CLI), a proxy for global business cycle expectations (Caldara & Iacoviello, 2022). The correlation is +0.107, indicating a weak positive relationship. This counterintuitive result—where an improving global economic outlook is linked to a slight rise in financial stress—can be explained by Pakistan’s specific vulnerabilities as a commodity-importing emerging economy. While a global boom may increase demand for Pakistani exports, it also tends to elevate global commodity prices, particularly oil. For a net importer like Pakistan, this results in a higher import bill, a worsening current account deficit, and downward pressure on the currency, all of which contribute to domestic financial stress (Caldara & Iacoviello, 2022). Thus, the weak positive correlation suggests that our FSI correctly captures how the negative effects of rising commodity prices during global expansions may offset the benefits of improved export performance. This validates the index as a nuanced measure of Pakistan’s unique macro-financial exposure (Rathore et al., 2023).

4. Discussion

The empirical results reveal that the constructed FSI serves as a reliable indicator of financial instability in Pakistan. The index’s noticeable spikes closely align with historically significant periods of turmoil, such as the 2008 global economic crisis and the 2020 COVID-19 pandemic. However, the FSI also effectively captures stress episodes driven by domestic factors, including periods of severe political uncertainty and macroeconomic imbalances. This confirms that the index not only tracks global events but is also highly sensitive to Pakistan’s unique economic and political context, underscoring its primary function as a country-specific monitoring tool (Cardarelli et al., 2009). Moreover, a deeper analysis of the index’s components reveals that the primary drivers of financial stress are vulnerabilities within the banking sector, unfavorable trade finance conditions, and exchange market pressures. This finding aligns with the structural realities of Pakistan’s economy. The banking sector’s sensitivity is heightened during periods of declining deposits and rising non-performing loans, which erode capital reserves and limit lending. Similarly, Pakistan’s frequent trade deficits and dependence on external financing make the economy highly vulnerable to shocks in trade and capital flows. These pressures often manifest in the foreign exchange market, where persistent depreciation leads to declining investor confidence and capital flight.
On the other hand, Granger causality results show that the FSI has a significant leading relationship with GDP growth, highlighting the main transmission channels from financial stress to the real economy. The mechanisms are precise: Rising financial stress tightens credit conditions, making borrowing and investment more difficult. In parallel, the loss of currency reserves typically forces an increase in interest rates, which further dampens economic activity. Hence, financial stress is not merely a passive outcome but an active impediment to economic growth in Pakistan. The FSI’s behavior over the past two decades suggests that financial stress is a chronic and significant issue. The Pakistan FSI reflects a recurrent cycle where structural weaknesses—such as a fragile energy sector and political instability—are exacerbated by poor policy planning or implementation. This triggers a feedback loop: flawed policies elevate financial stress, which in turn damages the real economy, further weakening resilience to future shocks. Therefore, the FSI should not be interpreted solely as a technical measure but rather as a mirror reflecting deeper, persistent challenges in Pakistan’s economic and financial environment (Ali & Mohsin, 2023).

4.1. Limitations and Future Study

The Financial Stress Index (FSI) established in this study provides a useful tool for capturing systemic financial vulnerabilities in Pakistan; however, it also has certain limitations. The index is constructed using relatively slower-moving macro-financial indicators, including bank deposits, private sector credit, foreign liabilities, exchange reserves, sovereign bond yields, stock returns, interbank spreads, and external trade finance variables. Consequently, the FSI is more appropriate for identifying emerging structural vulnerabilities in the financial system than for capturing sudden shifts in financial market conditions. Due to its structure, the index may be less effective in reflecting instant responses to global financial shocks or high-frequency developments. Therefore, future research could improve the dynamic capabilities of the index by incorporating higher-frequency, market-based indicators, such as daily bond spreads or real-time exchange rate volatility. Additionally, a promising area for future work would be the application of advanced econometric models, such as the Markov–Switching Vector Autoregression (MS-VAR) framework, to the FSI series. This approach could help identify distinct financial stress regimes and evaluate the transition probabilities between periods of stability and crisis, thus deepening our understanding of stress dynamics in Pakistan’s financial system.

4.2. Policy Implication

The findings of this study, which validate the FSI as a tool for monitoring domestic vulnerability, lead to several clear policy recommendations for economic policymakers and regulatory authorities in Pakistan. The FSI should be formally adopted as a key instrument for macroprudential oversight, allowing policymakers to anticipate and address emerging risks before they evolve into widespread crises. Based on the primary drivers of stress identified by the FSI, the following specific policy areas are critical:
  • Banking sector resilience: To strengthen the banking sector’s resilience, which the index identifies as a primary source of stress, policies must focus on increasing capital adequacy requirements and implementing stricter regulatory measures to lessen risk exposure. It is also important to review and revise incentive schemes that may inadvertently encourage excessive risk-taking by financial institutions.
  • External debt management: The index’s sensitivity to external debt levels highlights the need for a more effective debt management framework. Policymakers should develop strategies to minimize excessive dependence on external debt. Reducing the overall debt level and increasing cash flow are critical actions that would help moderate the financial stress captured by the FSI.
  • Exchange market stability: The FSI’s strong connection to foreign trade and currency markets underscores the importance of external stability. Policies must be introduced to stabilize fluctuations in the currency and reduce the volatility of the Exchange Market Pressure Index (EMPI).
Focusing on improving the overall investment climate through transparent policies and a stable macroeconomic environment will increase investor confidence, reduce the risk of capital flight, and fundamentally lower the chronic financial stress that this index effectively measures.

5. Conclusions

This study constructs a monthly Financial Stress Index (FSI) for Pakistan by utilizing key macroeconomic and financial indicators spanning the period from 2005 to 2024. The components include banking sector vulnerability, exchange market pressure, stock market volatility, credit spreads, trade finance growth, and external debt levels. The index effectively captures major stress episodes, including the 2008 global financial crisis, the COVID-19 pandemic, and recent periods of political instability. The empirical results highlight that stress in the banking sector, trade finance conditions, and exchange rate fluctuations are the most significant contributors to overall financial strain. Additionally, Granger causality tests confirm that rising financial stress harms GDP growth and foreign trade performance. This supports the index’s usefulness in providing early insights into economic pressures. The study also incorporates robustness checks through correlations with global indicators, including the U.S. STLFSI4, the Geopolitical Risk Index (GPR), the Economic Policy Uncertainty (EPU) Index, and the OECD Composite Leading Indicator (CLI). The index exhibits a negative relationship with STLFSI4 and positive correlations with GPR and EPU, indicating that when global uncertainty rises, stress in Pakistan tends to increase. Interestingly, the weak positive correlation with the OECD CLI suggests that during global economic expansion, countries like Pakistan may experience mixed effects due to rising commodity import costs, such as oil, which worsen their current account and fiscal pressures. These findings strengthen the importance of monitoring financial stress using real-based indicators. While the index is responsive to gradual domestic financial and economic vulnerabilities, it may not immediately reflect short-term external shocks due to its dependence on indicators that change more slowly over time.

Author Contributions

Conceptualization, methodology, and software K.Y. and H.I.; validation, K.Y., H.I., E.A.T.A. and P.C.R.; formal analysis, K.Y., H.I. and J.L.L.-G.; investigation, K.Y., H.I., E.A.T.A. and P.C.R.; resources, E.A.T.A. and P.C.R.; data curation, H.I. and J.L.L.-G.; writing—original draft preparation, and writing—review and editing, K.Y., H.I., P.C.R., E.A.T.A. and J.L.L.-G.; visualization, H.I., E.A.T.A. and J.L.L.-G.; supervision, P.C.R.; project administration, K.Y., H.I., J.L.L.-G. and P.C.R.; funding acquisition, E.A.T.A., J.L.L.-G. and P.C.R. All authors have read and agreed to the published version of the manuscript.

Funding

This research received no external funding.

Data Availability Statement

The data used in this study are available at https://www.sbp.org.pk/index.html (accessed on 20 September 2024).

Conflicts of Interest

The authors declare no conflicts of interest.

References

  1. Abbass, K., Begum, H., Alam, A. S. A. F., Awang, A. H., Abdelsalam, M. K., Egdair, I. M. M., & Wahid, R. (2022). Fresh insight through a Keynesian theory approach to investigate the economic impact of the COVID-19 pandemic in Pakistan. Sustainability, 14(3), 1054. [Google Scholar] [CrossRef]
  2. Abdullah, H., Dahalan, J., Hwei, K. L., Umar, M., & Uddin, M. M. (2017). Malaysian financial stress index and assessing its impacts on the economy. International Journal of Economics and Financial Issues, 7(2), 227–235. [Google Scholar]
  3. Abiad, A. (2003). Early warning systems: A survey and a regime-switching approach (Tech. Rep.). International Monetary Fund. [Google Scholar]
  4. Aboura, S., & Van Roye, B. (2017). Financial stress and economic dynamics: The case of France. International Economics, 149, 57–73. [Google Scholar] [CrossRef]
  5. Adhikari, B. (2023). The impact of the Asian infrastructure investment bank on the United Nations. In Global institutions in a time of power transition (pp. 122–141). Edward Elgar Publishing. [Google Scholar]
  6. Aizenman, J., Lee, J., & Sushko, V. (2012). From the great moderation to the global crisis: Exchange market pressure in the 2000s. Open Economies Review, 23, 597–621. [Google Scholar] [CrossRef]
  7. Ali, S. B., & Mohsin, A. (2023). Exploring financial soundness and economic growth dynamics in Pakistan. Journal of Business and Economic Options, 6(1), 1–15. [Google Scholar]
  8. Balakrishnan, R., Danninger, S., Elekdag, S., & Tytell, I. (2011). The transmission of financial stress from advanced to emerging economies. Emerging Markets Finance and Trade, 47Suppl. S2, 40–68. [Google Scholar] [CrossRef]
  9. Batool, I. n.d. A financial stress measure for pakistan economy: Implications for real economic activity. [Unpublished manuscript]. Department of Economics, University of Lahore, Pakistan.
  10. Bell, A., & Jones, K. (2015). Explaining fixed effects: Random effects modeling of time-series cross-sectional and panel data. Political Science Research and Methods, 3(1), 133–153. [Google Scholar] [CrossRef]
  11. Bin Hidthir, M. H., Khan, A. A., Junoh, M. Z. M., Yusof, M. F. B., & Ahmad, Z. (2025). Development of the financial composite index for MENA region: A two-staged principal components analysis. Sage Open, 15(1), 21582440251320484. [Google Scholar] [CrossRef]
  12. Bollerslev, T. (1986). Generalized autoregressive conditional heteroskedasticity. Journal of Econometrics, 31(3), 307–327. [Google Scholar] [CrossRef]
  13. Bu, Y., Du, X., Li, H., Yu, X., & Wang, Y. (2023). Research on the FinTech risk early warning based on the MS-VAR model: An empirical analysis in China. Global Finance Journal, 58, 100898. [Google Scholar] [CrossRef]
  14. Bussiere, M., & Fratzscher, M. (2006). Towards a new early warning system of financial crises. Journal of International Money and Finance, 25(6), 953–973. [Google Scholar] [CrossRef]
  15. Caldara, D., & Iacoviello, M. (2022). Measuring geopolitical risk. American Economic Review, 112(4), 1194–1225. [Google Scholar] [CrossRef]
  16. Cardarelli, R., Elekdag, S., & Lall, S. (2009). Financial stress, downturns, and recoveries (Tech. Rep.). International Monetary Fund. [Google Scholar]
  17. Cardarelli, R., Elekdag, S., & Lall, S. (2011). Financial stress and economic contractions. Journal of Financial Stability, 7(2), 78–97. [Google Scholar] [CrossRef]
  18. Cevik, E. I., Dibooglu, S., & Kenc, T. (2013). Measuring financial stress in Turkey. Journal of Policy Modeling, 35(2), 370–383. [Google Scholar] [CrossRef]
  19. Cevik, E. I., Dibooglu, S., & Kenc, T. (2016). Financial stress and economic activity in some emerging Asian economies. Research in International Business and Finance, 36, 127–139. [Google Scholar] [CrossRef]
  20. Cevik, E. I., Dibooglu, S., & Kutan, A. M. (2013). Measuring financial stress in transition economies. Journal of Financial Stability, 9(4), 597–611. [Google Scholar] [CrossRef]
  21. Chakrabarty, B., & Shkilko, A. (2013). Information transfers and learning in financial markets: Evidence from short selling around insider sales. Journal of Banking & Finance, 37(5), 1560–1572. [Google Scholar] [CrossRef]
  22. Cipollini, A., & Mikaliunaite, I. (2020). Macro-uncertainty and financial stress spillovers in the Eurozone. Economic Modelling, 89, 546–558. [Google Scholar] [CrossRef]
  23. Corsi, M. (2022). Pakistan 2022: The geopolitics of Imran Khan’s fall and the fledgling government of Shehbaz Sharif. Asia Maior, 33. Available online: https://www.asiamaior.org/?p=1752 (accessed on 22 July 2025).
  24. Dahalan, J., Abdullah, H. B., & Umar, M. (2016). Measuring financial stress index for the Malaysian economy. International Journal of Economics and Financial Issues, 6(3), 942–947. [Google Scholar]
  25. Dewald, A., & Schreck, T. (2023). Introduction to the IMF 2023 special issue. Digital Threats: Research and Practice, 4(3), 1–2. [Google Scholar] [CrossRef]
  26. Drenkovska, M., & Lenarčič, Č. (2025). Financial markets stress indicator for Slovenia (FIMSIS). Available online: https://www.bsi.si/storage/uploads/fe8e94b0-f97d-4f55-9329-e86a0dfa51c3/FIMSIS_fin.pdf (accessed on 5 February 2024).
  27. Dugbartey, A. N. (2025). Systemic financial risks in an era of geopolitical tensions, climate change, and technological disruptions: Predictive analytics, stress testing, and crisis response strategies. International Journal of Scientific Research Archive, 14(2), 1428–1448. [Google Scholar]
  28. Dunaway, S. V. (2009). Global imbalances and the financial crisis (No. 44). Council on Foreign Relations. [Google Scholar]
  29. Federal Reserve Bank of St. Louis. (2024). St. louis fed financial stress index (stlfsi4). Available online: https://fred.stlouisfed.org/series/STLFSI4 (accessed on 22 July 2025).
  30. Fisunoğlu, M., & Akyüz, M. (2025). Financial risks and central bank reserves in G20 countries. In Central banking and monetary policy in the g20: Paradigm shifts and challenges (p. 245). Vernon Press. [Google Scholar]
  31. Gadanecz, B., & Jayaram, K. (2008). Measures of financial stability-a review. Irving Fisher Committee Bulletin, 31(1), 365–383. [Google Scholar]
  32. Garibaldi, P., Mora, N., Sahay, R., & Zettelmeyer, J. (2001). What moves capital to transition economies? IMF Staff Papers, 48Suppl. S1, 109–145. [Google Scholar] [CrossRef]
  33. Gayathri, R., Vijayabanu, C., & Theresa, C. (2024). Economic disruption and global obscurity–Insights and challenges. In Economic uncertainty in the post-pandemic era (pp. 1–26). Routledge. [Google Scholar]
  34. George, A. S. (2023). Causes and consequences of Pakistan’s economic crisis. Partners Universal International Innovation Journal, 1(5), 1–20. [Google Scholar]
  35. Ghosh, R., Paul, B., Sana, A. K., Bagchi, B., & Ghosh, P. K. (2024). The impact of financial stress on economic growth in asian emerging economies: Evidence from quantile connectedness approach. Asia-Pacific Financial Markets, 1–30. [Google Scholar] [CrossRef]
  36. Girton, L., & Roper, D. (1977). A monetary model of exchange market pressure applied to the postwar Canadian experience. American Economic Review, 67(4), 537–548. [Google Scholar]
  37. Gokcan, S. (2000). Forecasting volatility of emerging stock markets: Linear versus non-linear GARCH models. Journal of Forecasting, 19(6), 499–504. [Google Scholar] [CrossRef]
  38. Gonzales, S. M., Iftikhar, H., & López-Gonzales, J. L. (2024). Analysis and forecasting of electricity prices using an improved time series ensemble approach: An application to the Peruvian electricity market. AIMS Mathematics, 9(8), 21952–21971. [Google Scholar] [CrossRef]
  39. Goyal, A. (2014). External shocks. Indira Gandhi Institute of Development Research and Oxford University Press. [Google Scholar]
  40. Gupta, V., Santosh, K., Arora, R., Ciano, T., Kalid, K. S., & Mohan, S. (2022). Socioeconomic impact due to COVID-19: An empirical assessment. Information Processing & Management, 59(2), 102810. [Google Scholar]
  41. Hakkio, C. S., & Keeton, W. R. (2009). Financial stress: What is it, how can it be measured, and why does it matter. Economic Review, 94(2), 5–50. [Google Scholar]
  42. Hanschel, E., & Monnin, P. (2005). Measuring and forecasting stress in the banking sector: Evidence from Switzerland. In Bis papers (Vol. 22, pp. 431–449). Bank for International Settlements. [Google Scholar]
  43. Haq, I., & Bukhari, S. (2020). Macroeconomic fragility and external shocks: Evidence from Pakistan. Journal of Economic Perspectives, 34(2), 45–61. [Google Scholar]
  44. Hassan, E., Awais-E-Yazdan, M., Birau, R., Wanke, P., & Tan, Y. A. (2024). Predicting financial distress in non-financial sector of Pakistan using PCA and logit. International Journal of Islamic and Middle Eastern Finance and Management, 17(3), 485–508. [Google Scholar] [CrossRef]
  45. Holló, D. (2012). A system-wide financial stress indicator for the hungarian financial system (Occasional Papers). Magyar Nemzeti Bank (MNB). [Google Scholar]
  46. Huotari, J. (2015). Measuring financial stress–a country-specific stress index for finland. (Tech. Rep. No. 7/2015). Bank of Finland Research Discussion Papers. [Google Scholar]
  47. Husain, I. (2003). Financial sector reforms in Pakistan: The role of the state and the private sector. The Pakistan Development Review, 28(2004), 1–8. [Google Scholar]
  48. Iachini, E., & Nobili, S. (2016). Systemic liquidity risk and portfolio theory: An application to the Italian financial markets. Spanish Review of Financial Economics, 14(1), 5–14. [Google Scholar] [CrossRef]
  49. Iftikhar, H., Gonzales, S. M., Żywiołek, J., & López-Gonzales, J. L. (2024). Electricity demand forecasting using a novel time series ensemble technique. IEEE Access, 12, 88963–88975. [Google Scholar] [CrossRef]
  50. Iftikhar, H., Khan, F., Rodrigues, P. C., Alharbi, A. A., & Allohibi, J. (2025). Forecasting of inflation based on univariate and multivariate time series models: An empirical application. Mathematics, 13(7), 1121. [Google Scholar] [CrossRef]
  51. Iftikhar, H., Khan, F., Torres Armas, E. A., Rodrigues, P. C., & López-Gonzales, J. L. (2025). A novel hybrid framework for forecasting stock indices based on the nonlinear time series models. Computational Statistics, 1–24. [Google Scholar] [CrossRef]
  52. Iftikhar, H., Khan, M., Turpo-Chaparro, J. E., Rodrigues, P. C., & López-Gonzales, J. L. (2024). Forecasting stock prices using a novel filtering-combination technique: Application to the Pakistan stock exchange. AIMS Mathematics, 9(2), 3264–3288. [Google Scholar] [CrossRef]
  53. Iftikhar, H., Khan, M., Żywiołek, J., Khan, M., & López-Gonzales, J. L. (2024). Modeling and forecasting carbon dioxide emission in Pakistan using a hybrid combination of regression and time series models. Heliyon, 10(13), e33148. [Google Scholar] [CrossRef]
  54. Iftikhar, H., Qureshi, M., Canas Rodrigues, P., Usman Iftikhar, M., Linkolk López-Gonzales, J., & Iftikhar, H. (2025). Daily crude oil prices forecasting using a novel hybrid time series technique. IEEE Access, 13, 98822–98836. [Google Scholar] [CrossRef]
  55. Iftikhar, H., Turpo-Chaparro, J. E., Canas Rodrigues, P., & López-Gonzales, J. L. (2023). Day-ahead electricity demand forecasting using a novel decomposition combination method. Energies, 16(18), 6675. [Google Scholar] [CrossRef]
  56. Iftikhar, H., Zafar, A., Turpo-Chaparro, J. E., Canas Rodrigues, P., & López-Gonzales, J. L. (2023). Forecasting day-ahead brent crude oil prices using hybrid combinations of time series models. Mathematics, 11(16), 3548. [Google Scholar] [CrossRef]
  57. Ijaz, T., Hafiz, Z. A., & Khan, A. M. (2019). Contextualization of IMF in Pakistan: A discourse analysis of print media. Journal of Research Society of Pakistan, 56(2), 219. [Google Scholar]
  58. Ilesanmi, K. D., & Tewari, D. (2020). Financial stress index and economic activity in South Africa: New evidence. Economies, 8(4), 110. [Google Scholar] [CrossRef]
  59. Ilesanmi, O., & Tewari, D. (2020). Constructing a financial stress index for South Africa: A principal component analysis approach. South African Journal of Economic and Management Sciences, 23(1), 1–12. [Google Scholar]
  60. Illing, M., & Liu, Y. (2003). An index of financial stress for canada (Tech. Rep.). Bank of Canada. [Google Scholar]
  61. Illing, M., & Liu, Y. (2006). Measuring financial stress in a developed country: An application to Canada. Journal of Financial Stability, 2(3), 243–265. [Google Scholar] [CrossRef]
  62. International Monetary Fund. (2009). Pakistan: Request for stand-by arrangement. IMF Country Report No. 09/xx. International Monetary Fund. [Google Scholar]
  63. International Monetary Fund. (2018). Pakistan: Staff report for the 2018 article iv consultation. IMF Country Report No. 18/xx. International Monetary Fund. [Google Scholar]
  64. Ishrakieh, L. M., Dagher, L., & El Hariri, S. (2020). A financial stress index for a highly dollarized developing country: The case of Lebanon. Central Bank Review, 20(2), 43–52. [Google Scholar] [CrossRef]
  65. Kaiser, H. F. (1974). An index of factorial simplicity. Psychometrika, 39(1), 31–36. [Google Scholar] [CrossRef]
  66. Kaminsky, G., Lizondo, S., & Reinhart, C. M. (1997). Leading indicators of currency crises. IMF Staff Papers, 45(1), 1–43. [Google Scholar]
  67. Kaminsky, G. L. (1997). Leading indicators of currency crises (Tech. Rep.). International Monetary Fund. [Google Scholar]
  68. Kasal, S. (2023). What are the effects of financial stress on economic activity and government debt? An empirical examination in an emerging economy. Borsa Istanbul Review, 23(1), 254–267. [Google Scholar] [CrossRef]
  69. Kenc, T., Cevik, E. I., & Dibooglu, S. (2021). Bank default indicators with volatility clustering. Annals of Finance, 17(1), 127–151. [Google Scholar] [CrossRef]
  70. Kentikelenis, A., & Stubbs, T. (2024). Social protection and the International Monetary Fund: Promise versus performance. Globalization and Health, 20(1), 41. [Google Scholar] [CrossRef]
  71. Khan, F., Iftikhar, H., Khan, I., Rodrigues, P. C., Alharbi, A. A., & Allohibi, J. (2025). A hybrid vector autoregressive model for accurate macroeconomic forecasting: An application to the US economy. Mathematics, 13(11), 1706. [Google Scholar] [CrossRef]
  72. Kibritcioglu, A. (2003). Monitoring banking sector fragility. The Arab Bank Review, 5(2), 51–66. [Google Scholar]
  73. Kliesen, K. L., Owyang, M. T., & Vermann, E. K. (2012). Disentangling diverse measures: A survey of financial stress indexes. Federal Reserve Bank of St. Louis Review, 94(5), 369–397. [Google Scholar] [CrossRef]
  74. Kose, M. A., Prasad, E. S., & Terrones, M. E. (2009). Does openness to international financial flows raise productivity growth? Journal of International Money and Finance, 28(4), 554–580. [Google Scholar] [CrossRef]
  75. Kota, V., & Saqe, A. (2013, July 25). A financial systemic stress index for Albania. 5th Eastern European Economic Research Workshop, Tirana, Albania. [Google Scholar]
  76. Koyunlu, S. (2000). Distance to default for turkish banking system. (Unpublished doctoral dissertation). Lisansüstü Programlar Enstitüsü.
  77. Kruger, M., Osakwe, P., & Page, J. (1998). Fundamentals, contagion, and currency crises: An empirical analysis. (Tech. Rep.). Bank of Canada. [Google Scholar]
  78. Laeven, L., & Valencia, F. (2013). Systemic banking crises database. IMF Economic Review, 61(2), 225–270. [Google Scholar] [CrossRef]
  79. Lo Duca, M., & Peltonen, T. A. (2011). Macro-financial vulnerabilities and future financial stress—Assessing systemic risks and predicting systemic events. European Central Bank Working Paper Series, (1311). [Google Scholar] [CrossRef]
  80. Malega, J. (2016). Financial stress in the czech and slovak republic: Measurement and effects on the real economy. [Unpublished doctoral dissertation]. Comenius University in Bratislava.
  81. Malega, J., & Horvath, R. (2016). Financial stress in the Czech and Slovak Republic: Measurement and effects on the real economy. Financial Studies, 26(3), 257–268. [Google Scholar]
  82. Melvin, M., & Taylor, M. P. (2009). The crisis in the foreign exchange market. Journal of International Money and Finance, 28(8), 1317–1330. [Google Scholar] [CrossRef]
  83. Misina, M., & Tkacz, G. (2009). Credit, asset prices, and financial stress. International Journal of Central Banking, 5(4), 95–122. [Google Scholar]
  84. Mubarak, A. I. (2025). Effects of grain price and import bill shocks on financial stress: Evidence from Morocco. African Journal of Business and Economic Research, 20(2), 133–152. [Google Scholar]
  85. Muguto, H. T., Muguto, L., Bhayat, A., Ncalane, H., Jack, K. J., Abdullah, S., Nkosi, T. S., & Muzindutsi, P.-F. (2022). The impact of investor sentiment on sectoral returns and volatility: Evidence from the Johannesburg stock exchange. Cogent Economics & Finance, 10(1), 2158007. [Google Scholar] [CrossRef]
  86. Nasir, J., Iftikhar, H., Aamir, M., Iftikhar, H., Rodrigues, P., & Rehman, M. (2025). A Hybrid LMD–ARIMA–Machine learning framework for enhanced forecasting of financial time series: Evidence from the NASDAQ composite index. Mathematics, 13(15), 2389. [Google Scholar] [CrossRef]
  87. Neumann, M. (2023). The political economy of greening South Africa’s capital markets. In The political economy of green bonds in emerging markets: South africa’s faltering transition (pp. 87–112). Springer. [Google Scholar]
  88. Oet, M., Bianco, T., Gramlich, D., & Ong, S. J. (2012). Financial stress index: A lens for supervising the financial system. Policy Discussion Paper Nos. 12–37. Federal Reserve Bank of Cleveland. [Google Scholar]
  89. Organisation for Economic Co-operation and Development. (2023). Oecd economic outlook (Vol. 2023, issue 1). OECD Publishing. [Google Scholar] [CrossRef]
  90. Ozcelebi, O. (2020). Assessing the impacts of financial stress index of developed countries on the exchange market pressure index of emerging countries. International Review of Economics & Finance, 70, 288–302. [Google Scholar] [CrossRef]
  91. Park, C.-Y., & Mercado, R. V., Jr. (2014). Determinants of financial stress in emerging market economies. Journal of Banking & Finance, 45, 199–224. [Google Scholar] [CrossRef]
  92. Pohlner, H. (2016). Institutional change and the political economy of water megaprojects: China’s south-north water transfer. Global Environmental Change, 38, 205–216. [Google Scholar] [CrossRef]
  93. Qureshi, M., Iftikhar, H., Rodrigues, P. C., Rehman, M. Z., & Salar, S. A. (2024). Statistical modeling to improve time series forecasting using machine learning, time series, and hybrid models: A case study of bitcoin price forecasting. Mathematics, 12(23), 3666. [Google Scholar] [CrossRef]
  94. Rahman, S. U., Khan, I., & Malik, M. F. (2018). The impact of political activities on PSX: The evidence from Pakistan. Global Economics Review, 3(2), 55–66. [Google Scholar] [CrossRef]
  95. Rathore, M. P. K., Mahesar, M. A., & Rathore, M. H. (2023). Pakistan and global economy. Integrated Business and Financial Studies, 1(02), 17–36. [Google Scholar]
  96. Reinhart, C. M., Reinhart, V. R., & Rogoff, K. S. (2012). Public debt overhangs: Advanced-economy episodes since 1800. Journal of Economic Perspectives, 26(3), 69–86. [Google Scholar] [CrossRef]
  97. Reisizadeh, H., Fallah Shams, M., & Zomoredian, G. (2025). Designing a financial stress index based on global volatility and its relationship with the VIX Index. International Journal of Finance & Managerial Accounting, 10(37), 177–192. [Google Scholar]
  98. Reiszadeh, S., Khan, F., & Ahmed, S. forthcoming. Reassessing systemic risk indicators using PCA in emerging markets. Emerging markets finance and trade.
  99. Rey, H. (2009). Discussion of how linkages fuel the fire. In Financial stability and macroeconomic policy. Federal Reserve Bank of Kansas City. Available online: http://www.internationalgrowthcentre.org/index.php?q=node/376 (accessed on 25 May 2024).
  100. Sachs, J. D., Tornell, A., & Velasco, A. (1996). Financial crises in emerging markets: The lessons from 1995 (Tech. Rep.). National Bureau of Economic Research Cambridge. [Google Scholar]
  101. Sachs, J. D., Tornell, A., Velasco, A., Calvo, G. A., & Cooper, R. N. (1996). Financial crises in emerging markets: The lessons from 1995. Brookings Papers on Economic Activity, 1996(1), 147–215. [Google Scholar] [CrossRef]
  102. Sadia, H., Bhatti, A. A., & Ahmad, E. (2019). Developing a financial stress index for Pakistan. Business & Economic Review, 11(4), 113–132. [Google Scholar] [CrossRef]
  103. Saliminezhad, A., & Bahramian, P. (2021). The role of financial stress in the economic activity: Fresh evidence from a Granger-causality in quantiles analysis for the UK and Germany. International Journal of Finance & Economics, 26(2), 1670–1680. [Google Scholar]
  104. Salisu, A. A., Demirer, R., & Gupta, R. (2023). Policy uncertainty and stock market volatility revisited: The predictive role of signal quality. Journal of Forecasting, 42(8), 2307–2321. [Google Scholar] [CrossRef]
  105. Shah, I., Iftikhar, H., & Ali, S. (2020). Modeling and Forecasting Medium-Term Electricity Consumption Using Component Estimation Technique. Forecasting, 2(2), 163–179. [Google Scholar] [CrossRef]
  106. Shah, I., Iftikhar, H., & Ali, S. (2022). Modeling and forecasting electricity demand and prices: A comparison of alternative approaches. Journal of Mathematics, 2022(1), 3581037. [Google Scholar] [CrossRef]
  107. Shah, I., Iftikhar, H., Ali, S., & Wang, D. (2019). Short-term electricity demand forecasting using components estimation technique. Energies, 12(13), 2532. [Google Scholar] [CrossRef]
  108. Shahabadi, A., Qasemifar, S., & Shafieian, M. (2024). Economic dynamics during periods of financial stress: Evidence from Iran. Iranian Economic Review, 28(1), 273–292. [Google Scholar]
  109. Smil, V. (2005). Energy at the crossroads: Global perspectives and uncertainties. MIT Press. [Google Scholar]
  110. Stolbov, M., & Shchepeleva, M. (2016). Financial stress in emerging markets: Patterns, real effects, and cross-country spillovers. Review of Development Finance, 6(1), 71–81. [Google Scholar] [CrossRef]
  111. Tajammal, R., & Butt, S. (2025). Assessing the impact of financial stress shock volatility in the USA on the exchange rates of emerging economies. Pakistan Social Sciences Review, 9(1), 255–273. [Google Scholar]
  112. Tarin, G. (2013). Measuring financial stability: The construction of aggregate financial stability indices for canada and the us. [Unpublished doctoral dissertation]. Queen’s University.
  113. Tariq, A., & Shafique, Z. forthcoming. Developing a composite financial stability index for Pakistan. In Economic modelling.
  114. Thaher, N., Shibli, R., Khasawneh, M., Elhija, W. A., & Alwahadni, A. (2022). Leveraging research and innovation for the post COVID-19 era: Lessons learned and plans towards economic resilience. In Higher education in the arab world: New priorities in the post COVID-19 era (pp. 151–172). Springer. [Google Scholar]
  115. Thomas, A. H. (2009). Financial crises and emerging market trade (Tech. Rep.). Citeseer. [Google Scholar]
  116. Valerio Roncagliolo, F. C., & Villamonte Blas, R. N. (2022). Impact of financial stress in advanced and emerging economies. Journal of Economics, Finance and Administrative Science, 27(53), 68–85. [Google Scholar] [CrossRef]
  117. Vermeulen, R., Hoeberichts, M., Vašíček, B., Žigraiová, D., Šmídková, K., & de Haan, J. (2015). Financial stress indices and financial crises. Open Economies Review, 26, 383–406. [Google Scholar] [CrossRef]
  118. Walsh, C. E. (2022). Inflation surges and monetary policy (Tech. Rep.). Bank of Japan, Institute for Monetary and Economic Studies. [Google Scholar]
  119. Yu, Z., Razzaq, A., Rehman, A., Shah, A., Jameel, K., & Mor, R. S. (2021). Disruption in global supply chain and socio-economic shocks: A lesson from COVID-19 for sustainable production and consumption. Operations Management Research, 15, 233–248. [Google Scholar] [CrossRef]
Figure 1. Scree plot of eigenvalues for Principal Component Analysis (PCA) showing Kaiser Criterion.
Figure 1. Scree plot of eigenvalues for Principal Component Analysis (PCA) showing Kaiser Criterion.
Economies 13 00243 g001
Figure 2. Financial Stress Index (FSI) for Pakistan with major (2005–2019) economic and political events.
Figure 2. Financial Stress Index (FSI) for Pakistan with major (2005–2019) economic and political events.
Economies 13 00243 g002
Figure 3. Financial Stress Index (FSI) for Pakistan (2020–2025) annotated with key economic and market events.
Figure 3. Financial Stress Index (FSI) for Pakistan (2020–2025) annotated with key economic and market events.
Economies 13 00243 g003
Figure 4. Financial Stress Index (FSI) for Pakistan with global and country-specific events (2020–2025).
Figure 4. Financial Stress Index (FSI) for Pakistan with global and country-specific events (2020–2025).
Economies 13 00243 g004
Figure 5. (a) Impulse response functions (FSI to Different indicators) for models with 95% confidence intervals. (b) Impulse response functions (FSI to Different indicators) for models with 95% confidence intervals.
Figure 5. (a) Impulse response functions (FSI to Different indicators) for models with 95% confidence intervals. (b) Impulse response functions (FSI to Different indicators) for models with 95% confidence intervals.
Economies 13 00243 g005
Figure 6. Comparative dynamics of financial stress: Pakistan FSI vs. U.S. STLFSI2 (2005–2024).
Figure 6. Comparative dynamics of financial stress: Pakistan FSI vs. U.S. STLFSI2 (2005–2024).
Economies 13 00243 g006
Table 1. Descriptive statistics.
Table 1. Descriptive statistics.
VariableMeanStd. Dev.MinMax
Banking Sector Fragility
Total Deposit (Million Rs)6,946,2733,611,0682,174,06014,631,875
CDPS (Million Rs)4,238,4611,832,4141,481,1368,604,424
Foreign liabilities (Million Rs)227,906.7217,159.327,414784,848.2
Currency Risk
Exchange rate (%)92.3511724.2826359.36526159.3664
Total reserves minus gold12,211.453462.398438220,542
Security Market Risk
Stock Return (%)0.0144420.070711−0.44880.202276
Sovereign Bond Risk
PIB (%)10.292781.486185812
US treasury bond (%)2.9793331.0037111.55.11
Trade Finance
FinaccBOP (Million $)−54.351362012.336−53834233
Credit Stress
CDPS (Million Rs)4,238,4611,832,4141,481,1368,604,424
Money Market Spread
KIB bid (%)9.38352.540734.4014.17
KIB ask (%)9.88352.540734.5414.67
Spread in Stock Market
Highest Ask Price (Rs)22,979.6113,835.26114.2153,123.54
Lowest Bid Price (Rs)21,141.5412,914.564782.2648,492.62
Economic Indicators
Industrial Production (Bn Rs)286,00042,700217,000415,000
Foreign Trade (Million Rs)40,266.923085.7692.16476141,654.03
GDP (Million Rs)2.19 × 1071.01 × 10772182324.17 × 107
GFCF (Million Rs)1,551,371233,583.61,264,6182,087,483
Table 2. Unit root and optimal lag selection results.
Table 2. Unit root and optimal lag selection results.
VariableStationarity Achieved AtUnit RootOptimal LagLag Selection Criteria
IPGI(1)ADF, PP4SBIC
FTGI(1)ADF, PP4SBIC
GDPGI(1)ADF, PP2FPE, AIC, HQIC, SBIC
FCFGI(1)ADF, PP2FPE, AIC, HQIC, SBIC
Table 3. Construction of financial stress indicator.
Table 3. Construction of financial stress indicator.
Indicator AbbreviationIndicator NameComponent Variables/Calculation MethodData Source
BSRBanking Sector RiskinessAverage of the standardized changes in three components: Real Deposits (DEP), Domestic Private Sector Claims (CPS), and Foreign Liabilities (FL).SBP
SMVStock Market VolatilityTime-varying conditional volatility of stock market returns, estimated using a GARCH(1,1) model as described in Equations II and III (Bollerslev).PSX Data
EMPIExchange Market
Pressure Index
Weighted average of the standardized yearly change in the exchange rate ( Δ e ) and the standardized yearly change in total foreign reserves ( Δ R E S ), as per Equation IV (Girton and Roper):
E M P I t = Δ e t μ Δ e σ Δ e Δ R E S t μ Δ R E S σ Δ R E S
SBP, FRED
SBRSovereign Bond RiskSpread between the 10-year Pakistan Investment Bond (PIB) yield and the 10-year U.S. Treasury bond
(USBT) yield:
S B R t = P I B t U S B T t
SBP, FRED
GEDGrowth of External DebtMonthly percentage growth rate of total external
debt (TED):
E D G R t = T E D t T E D t 1 T E D t 1 × 100
SBP, PBS
TFTrade FinanceProxied by net financial flows.SBP
CSCredit StressProxied by the growth rate of claims on the domestic
private sector.
SBP
MMSMoney Market Spreadbid–ask spread in the money market, proxied by the spread between the monthly highest and lowest prices for overnight interest rates:
S = A P B P ( A P + B P ) / 2 × 100
SBP
SMSStock Market Spreadbid–ask spread in the stock market, proxied by the spread between the monthly highest and lowest prices on the stock index.PSX, SBP
Note: SBP = State Bank of Pakistan, PSX = Pakistan Stock Exchange, FRED = Federal Reserve Economic Data, PBS = Pakistan Bureau of Statistics.
Table 4. Kaiser–Meyer–Olkin (KMO) measure of sampling adequacy for financial stress indicators in Pakistan.
Table 4. Kaiser–Meyer–Olkin (KMO) measure of sampling adequacy for financial stress indicators in Pakistan.
VariablesKMO
Banking Sector Riskiness (BSR)0.6720
Exchange Market Pressure Index (EMPI)0.3972
Stock Market Volatility (SMV)0.6671
Money Market Spread (MMS)0.5588
Growth of External Debt (GED)0.5882
Trade Finance (TF)0.6882
Overall KMO0.6028
Table 5. Variance explained by principal components: eigenvalues and cumulative proportions.
Table 5. Variance explained by principal components: eigenvalues and cumulative proportions.
ComponentEigenvalueProportionCumulative
Comp 12.444150.40740.4074
Comp 21.445980.24100.6484
Comp 31.049690.17490.8233
Comp 40.618970.10320.9265
Comp 50.229560.03830.9647
Comp 60.211650.03531.0000
Table 6. PCA loadings on first component and residual variance by variable.
Table 6. PCA loadings on first component and residual variance by variable.
VariablesWeights (PC1)Unexplained
Banking Sector Riskiness0.58210.1717
Exchange Market Pressure Index (EMPI)0.20540.8969
Stock Market Volatility−0.29430.7884
Money Market Spread0.43910.5287
Growth of External Debt0.07930.9846
Trade Finance−0.57720.1856
Total Variance Explained41.4%
Table 7. Structural breakpoints in economic time series (2005–2019) and associated major events.
Table 7. Structural breakpoints in economic time series (2005–2019) and associated major events.
Structural Break DateMajor Economic Event
2005-06-01Start of Global Oil Price Surge
2005-07-01Pakistan Economic Reforms and Trade Policy Shift
2008-10-01Global Financial Crisis (Stock Market Collapse)
2008-12-01Recession Deepens in U.S. & Global Markets
2009-01-01Pakistan Faces Economic Instability Amid Crisis
2015-12-01China Economic Slowdown and Global Market Turmoil
2016-01-01Stock Market Volatility and Oil Price Collapse
2019-11-01Political Uncertainty and Economic Reforms
Table 8. Key economic disruptions and policy responses (2019–2024): structural breaks and events.
Table 8. Key economic disruptions and policy responses (2019–2024): structural breaks and events.
DateMajor Economic Event
Jul 2019IMF $6B Bailout Package Approved (Initiation)
Mar 2020COVID-19 Pandemic Begins
Jul 2021Post-COVID Recovery & Vaccine Rollout
Feb 2022Russia-Ukraine War Begins
Apr 2022Imran Khan’s Ouster—Political Unrest
Jul 2022Record Inflation (27%), PKR Devaluation
Jan 2023Forex Reserves Drop Below $3B, Default Concerns
Jul 2023IMF Agreement—Stabilization Measures
Feb 2024General Elections—Transition of Power
Table 9. Directional causality between financial stress and economic performance (2005–2024).
Table 9. Directional causality between financial stress and economic performance (2005–2024).
Null HypothesisF-StatisticProb.
PFSI does not Granger Cause IPG0.875670.4551
IPG does not Granger Cause PFSI0.759360.5185
PFSI does not Granger Cause FTG5.582140.0012
FTG does not Granger Cause PFSI17.04171.0000
PFSI does not Granger Cause GDPG6.440840.0004
GDPG does not Granger Cause PFSI0.723280.5395
PFSI does not Granger Cause GFCF2.859860.0388
GFCF does not Granger Cause PFSI2.933000.1353
Note: PFSI (Pakistan Financial Stress Index); IPG (Industrial Production Growth); FTG (Foreign Trade Growth); GDPG (Gross Domestic Product Growth); GFCF (Gross Fixed Capital Formation). Probabilities (Prob.) indicate the p-value for the Granger-causality test. Correlations calculated using monthly data.
Table 10. Granger causality (pre-2020 sample).
Table 10. Granger causality (pre-2020 sample).
Null HypothesisF-StatisticProb.
PFSI does not Granger Cause IPG2.174500.0421
IPG does not Granger Cause PFSI1.805310.0887
PFSI does not Granger Cause FTG4.610730.0039
FTG does not Granger Cause PFSI2.015840.0564
PFSI does not Granger Cause GDPG3.903120.0091
GDPG does not Granger Cause PFSI1.298760.2052
PFSI does not Granger Cause GFCF2.563270.0306
GFCF does not Granger Cause PFSI1.902760.0725
Note: Sample: Jan 2005–Dec 2019. See Table 9 for variable definitions.
Table 11. Granger causality (post-2020 sample).
Table 11. Granger causality (post-2020 sample).
Null HypothesisF-StatisticProb.
PFSI does not Granger Cause IPG1.304920.2229
IPG does not Granger Cause PFSI0.896410.4176
PFSI does not Granger Cause FTG3.274830.0181
FTG does not Granger Cause PFSI1.047260.3124
PFSI does not Granger Cause GDPG2.755180.0314
GDPG does not Granger Cause PFSI0.659840.5212
PFSI does not Granger Cause GFCF2.201970.0495
GFCF does not Granger Cause PFSI1.013560.3379
Note: Sample: Jan 2020–June 2024. See Table 9 for variable definitions.
Table 12. Correlation with global risk and business cycle indicators (2005–2022).
Table 12. Correlation with global risk and business cycle indicators (2005–2022).
Index 1Index 2Correlation Coefficient
Pakistan FSI (De-trended)Global Economic Policy Uncertainty Index (GEPU)+0.40
Pakistan FSI (De-trended)Geopolitical Risk Index (GPR)+0.36
Pakistan FSI (De-trended)OECD Composite Leading Indicator (CLI)+0.107
Correlations calculated using monthly data.
Disclaimer/Publisher’s Note: The statements, opinions and data contained in all publications are solely those of the individual author(s) and contributor(s) and not of MDPI and/or the editor(s). MDPI and/or the editor(s) disclaim responsibility for any injury to people or property resulting from any ideas, methods, instructions or products referred to in the content.

Share and Cite

MDPI and ACS Style

Yousfani, K.; Iftikhar, H.; Rodrigues, P.C.; Armas, E.A.T.; López-Gonzales, J.L. Global Shocks and Local Fragilities: A Financial Stress Index Approach to Pakistan’s Monetary and Asset Market Dynamics. Economies 2025, 13, 243. https://doi.org/10.3390/economies13080243

AMA Style

Yousfani K, Iftikhar H, Rodrigues PC, Armas EAT, López-Gonzales JL. Global Shocks and Local Fragilities: A Financial Stress Index Approach to Pakistan’s Monetary and Asset Market Dynamics. Economies. 2025; 13(8):243. https://doi.org/10.3390/economies13080243

Chicago/Turabian Style

Yousfani, Kinza, Hasnain Iftikhar, Paulo Canas Rodrigues, Elías A. Torres Armas, and Javier Linkolk López-Gonzales. 2025. "Global Shocks and Local Fragilities: A Financial Stress Index Approach to Pakistan’s Monetary and Asset Market Dynamics" Economies 13, no. 8: 243. https://doi.org/10.3390/economies13080243

APA Style

Yousfani, K., Iftikhar, H., Rodrigues, P. C., Armas, E. A. T., & López-Gonzales, J. L. (2025). Global Shocks and Local Fragilities: A Financial Stress Index Approach to Pakistan’s Monetary and Asset Market Dynamics. Economies, 13(8), 243. https://doi.org/10.3390/economies13080243

Note that from the first issue of 2016, this journal uses article numbers instead of page numbers. See further details here.

Article Metrics

Back to TopTop