Organic–Inorganic Hybrid Dielectric Layers for Low-Temperature Thin-Film Transistors Applications: Recent Developments and Perspectives
Abstract
1. Introduction
2. The Role of the Gate Dielectric in Thin-Film Transistors
3. Organic Dielectrics
4. Organic–Inorganic Hybrid Dielectrics
4.1. Polymer Nanocomposites
4.2. Bilayer and Multilayer Hybrid Dielectrics
4.3. Crosslinked Hybrid Dielectric Films
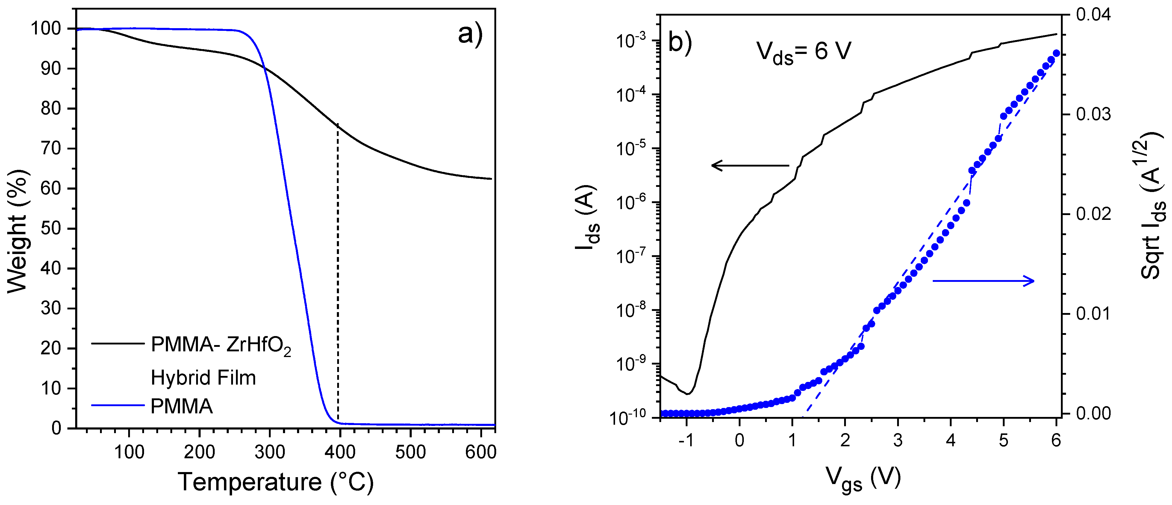
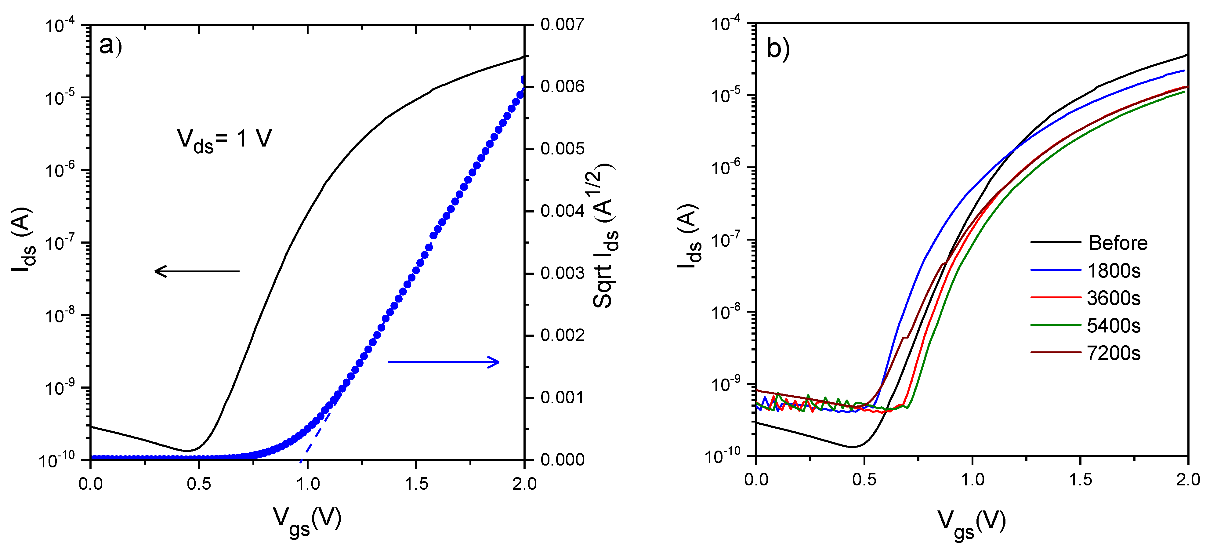
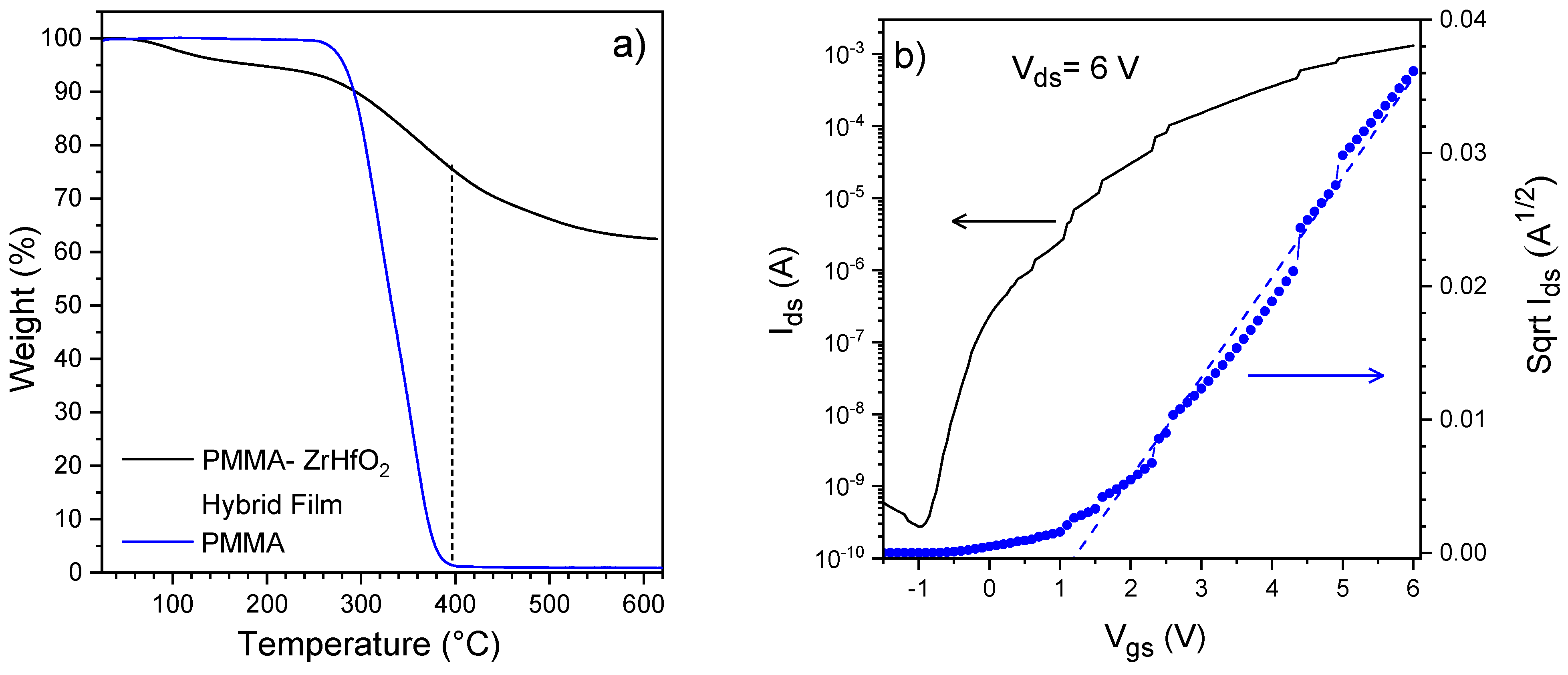
5. TFTs Assembled with Low-Temperature Hybrid Gate Dielectrics
6. Conclusions
Author Contributions
Funding
Acknowledgments
Conflicts of Interest
References
- Chen, H.W.; Lee, J.H.; Lin, B.Y.; Chen, S.; Wu, S.T. Liquid Crystal Display and Organic Light-Emitting Diode Display: Present Status and Future Perspectives. Light Sci. Appl. 2018, 7, 17168. [Google Scholar] [CrossRef] [PubMed]
- Baek, G.W.; Kim, Y.J.; Lee, M.; Kwon, Y.; Chun, B.; Park, G.; Seo, H.; Yang, H.; Kwak, J. Progress in the Development of Active-Matrix Quantum-Dot Light-Emitting Diodes Driven by Non-Si Thin-Film Transistors. Materials 2022, 15, 8511. [Google Scholar] [CrossRef] [PubMed]
- Striakhilev, D.; Park, B.K.; Tang, S.J. Metal Oxide Semiconductor Thin-Film Transistor Backplanes for Displays and Imaging. MRS Bull. 2021, 46, 1063–1070. [Google Scholar] [CrossRef]
- Wang, D.P.; Liu, Z.; Li, J.; Tang, W.; Huang, Y.; Yu, J.; Xu, L.Q.; Huang, Q.; Song, Y.W.; Wang, L.Z.; et al. Thin-Film Transistor Arrays for Biological Sensing Systems. Flex. Print. Electron. 2022, 7, 023004. [Google Scholar] [CrossRef]
- Geng, D.; Wang, K.; Li, L.; Myny, K.; Nathan, A.; Jang, J.; Kuo, Y.; Liu, M. Thin-Film Transistors for Large-Area Electronics. Nat. Electron. 2023, 6, 963–972. [Google Scholar] [CrossRef]
- Zhang, L.R.; Yu, H.M.; Xiao, W.P.; Liu, C.; Chen, J.R.; Guo, M.L.; Gao, H.Y.; Liu, B.Q.; Wu, W.J. Strategies for Applications of Oxide-Based Thin Film Transistors. Electronics 2022, 11, 960. [Google Scholar] [CrossRef]
- Lee, Y.; Cho, H.; Yoon, H.; Kang, H.; Yoo, H.; Zhou, H.; Jeong, S.; Lee, G.H.; Kim, G.; Go, G.-T.; et al. Advancements in Electronic Materials and Devices for Stretchable Displays. Adv. Mater. Technol. 2023, 8, 2201067. [Google Scholar] [CrossRef]
- Ma, L.-Y.; Soin, N.; Aidit, S.N.; Rezali, F.A.M.; Wan Muhamad Hatta, S.F. Recent Advances in Flexible Solution-Processed Thin-Film Transistors for Wearable Electronics. Mater. Sci. Semicond. Process. 2023, 165, 107658. [Google Scholar] [CrossRef]
- Zhang, G.; Xu, Y.; Haider, M.; Sun, J.; Zhang, D.; Yang, J. Printing flexible thin-film transistors. Appl. Phys. Rev. 2023, 10, 031313. [Google Scholar] [CrossRef]
- Su, Z.; Yang, Y.; Huang, Q.; Chen, R.; Ge, W.; Fang, Z.; Huang, F.; Wang, X. Designed Biomass Materials for “Green” Electronics: A Review of Materials, Fabrications, Devices, and Perspectives. Prog. Mater. Sci. 2022, 125, 100917. [Google Scholar] [CrossRef]
- Yan, A.; Wang, C.; Yan, J.; Wang, Z.; Zhang, E.; Dong, Y.; Yan, Z.Y.; Lu, T.; Cui, T.; Li, D.; et al. Thin-Film Transistors for Integrated Circuits: Fundamentals and Recent Progress. Adv. Funct. Mater. 2024, 34, 2304409. [Google Scholar] [CrossRef]
- Natu, K.; Laad, M.; Ghule, B.; Shalu, A.K. Transparent and Flexible Zinc Oxide-Based Thin-Film Diodes and Thin-Film Transistors: A Review. J. Appl. Phys. 2023, 134, 190701. [Google Scholar] [CrossRef]
- Chen, F.; Zhang, M.; Wan, Y.; Xu, X.; Wong, M.; Kwok, H.-S. Advances in Mobility Enhancement of ITZO Thin-Film Transistors: A Review. J. Semicond. 2023, 44, 091602. [Google Scholar] [CrossRef]
- Park, J.W.; Kang, B.H.; Kim, H.J. A Review of Low-Temperature Solution-Processed Metal Oxide Thin-Film Transistors for Flexible Electronics. Adv. Funct. Mater. 2020, 30, 1904632. [Google Scholar] [CrossRef]
- Li, H.; Huang, J.K.; Shi, Y.; Li, L.J. Toward the Growth of High Mobility 2D Transition Metal Dichalcogenide Semiconductors. Adv. Mater. Interfaces 2019, 6, 1900220. [Google Scholar] [CrossRef]
- Liu, A.; Zhu, H.; Noh, Y.Y. Solution-Processed Inorganic P-Channel Transistors: Recent Advances and Perspectives. Mater. Sci. Eng. R 2019, 135, 85–100. [Google Scholar] [CrossRef]
- Yu, H.; Chen, Y.; Wei, H.; Gong, J.D.; Xu, W.T. High-k Polymeric Gate Insulators for Organic Field-Effect Transistors. Nanotechnology 2019, 30, 202002. [Google Scholar] [CrossRef] [PubMed]
- Wang, B.H.; Huang, W.; Chi, L.F.; Al-Hashimi, M.; Marks, T.J.; Facchetti, A. High-K Gate Dielectrics for Emerging Flexible and Stretchable Electronics. Chem. Rev. 2018, 118, 5690–5754. [Google Scholar] [CrossRef] [PubMed]
- Xie, J.; Zhu, Z.N.; Tao, H.H.; Zhou, S.X.; Liang, Z.H.; Li, Z.H.; Yao, R.H.; Wang, Y.P.; Ning, H.L.; Peng, J.B. Research Progress of High Dielectric Constant Zirconia-Based Materials for Gate Dielectric Application. Coatings 2020, 10, 698. [Google Scholar] [CrossRef]
- Jeong, J.W.; Hwang, H.S.; Choi, D.; Ma, B.C.; Jung, J.H.; Chang, M.C. Hybrid Polymer/Metal Oxide Thin Films for High Performance Flexible Transistors. Micromachines 2020, 11, 264. [Google Scholar] [CrossRef] [PubMed]
- Park, S.; Kim, C.-H.; Lee, W.-J.; Sung, S.; Yoon, M.-H. Sol-Gel Metal Oxide Dielectrics for All-Solution-Processed Electronics. Mater. Sci. Eng. R 2017, 114, 1–22. [Google Scholar] [CrossRef]
- Liu, A.; Zhu, H.; Sun, H.; Xu, Y.; Noh, Y.-Y. Solution Processed Metal Oxide High-κ Dielectrics for Emerging Transistors and Circuits. Adv. Mater. 2018, 30, 1706364. [Google Scholar] [CrossRef] [PubMed]
- Li, J.; Tang, W.; Wang, Q.; Sun, W.; Zhang, Q.; Guo, X.; Wang, X.; Yan, F. Solution-Processable Organic and Hybrid Gate Dielectrics for Printed Electronics. Mater. Sci. Eng. R 2018, 127, 1–36. [Google Scholar] [CrossRef]
- Liu, K.; Ouyang, B.; Guo, X.; Guo, Y.; Liu, Y. Advances in Flexible Organic Field-Effect Transistors and Their Applications for Flexible Electronics. npj Flex. Electron. 2022, 6, 1. [Google Scholar] [CrossRef]
- Liguori, R.; Lizcciardo, G.D.; Di Benedetto, L. Polymer Insulator Processing-Organic Transistor Performance Relationship Investigated through Admittance Spectroscopy. Macromol. Symp. 2022, 405, 2100255. [Google Scholar] [CrossRef]
- Yardim, T.; Demir, A.; Alli, S.; Alli, A.; Yucedag, I. Investigation of the Performance of Poly(Methyl-Acrylate) as a Gate Dielectric in Organic Thin-Film Transistors. J. Electron. Mater. 2020, 49, 3830–3836. [Google Scholar] [CrossRef]
- Cavallari, M.R.; Izquierdo, J.E.E.; Garcia, D.C.; Nogueira, V.A.M.; Oliveira, J.D.S.; Pastrana, L.M.; Kymissis, I.; Fonseca, F.J. Cross-Linked Polyvinyl Phenol as Dielectric for Flexible Bottom Gate Bottom Contact Transistors. In Proceedings of the 34th Symposium on Microelectronics Technology and Devices (SBMicro), São Paulo, Brazil, 26–30 August 2019; pp. 1–3. [Google Scholar]
- Chen, X.; Zhang, Y.; Guan, X.; Zhang, H. Facile Synthesis of Solution-Processed Silica and Polyvinyl Phenol Hybrid Dielectric for Flexible Organic Transistors. Nanomaterials 2020, 10, 806. [Google Scholar] [CrossRef] [PubMed]
- Ji-Min Park, H.; Lee, H.; Lee, G.; Jang, S.C.; Chang, Y.H.; Hong, H.; Chung, K.B.; Lee, K.J.; Kim, D.H.; Kim, H.S. Organic/Inorganic Hybrid Top-Gate Transistors with Ultrahigh Electron Mobility via Enhanced Electron Pathways. ACS Appl. Mater. Interfaces 2023, 15, 1525–1534. [Google Scholar] [CrossRef]
- Yusof, N.S.; Mohamed, M.F.P.; Ghazali, N.A.; Ishak, M.K.; Shaari, S. Direct-Written Silver Electrodes for All-Solution-Processed Low-Voltage Organic Thin Film Transistors Towards Flexible Electronics Applications. J. Adv. Res. Micro Nano Eng. 2024, 21, 75–88. [Google Scholar] [CrossRef]
- Nawaz, A.; Hümmelgen, I.A. Poly(Vinyl Alcohol) Gate Dielectric in Organic Field-Effect Transistors. J. Mater. Sci. Mater. Electron. 2019, 30, 5299–5326. [Google Scholar] [CrossRef]
- Hong, A.-H.; Park, Y.J.; Seo, J.-H.; Kim, Y.; Park, D.-W. Parylene-C-Based Flexible Organic Thin-Film Transistors and Their Reliability Improvement Using SU-8 Passivation. J. Vac. Sci. Technol. B 2024, 42, 033402. [Google Scholar] [CrossRef]
- Park, H.; Kwon, J.; Seo, J.; Kim, K.; Kim, Y.H.; Jung, S.J. Flexible Field-Effect Transistors with High-Quality and Uniform Single-Layer Graphene for High Mobility. Semicond. Sci. Technol. 2024, 39, 04LT01. [Google Scholar] [CrossRef]
- Jakher, S.; Yadav, R. Organic Thin Film Transistor Review Based on Their Structures, Materials, Performance Parameters, Operating Principle, and Applications. Microelectron. Eng. 2024, 290, 112193. [Google Scholar] [CrossRef]
- Xu, X.; Sun, L.; Shen, K.; Zhang, S. Organic and Hybrid Organic-Inorganic Flexible Optoelectronics: Recent Advances and Perspectives. Synth. Met. 2019, 256, 116137. [Google Scholar] [CrossRef]
- Zhou, K.; Qi, B.; Liu, Z.; Wang, X.; Sun, Y.; Zhang, L.J. Advanced Organic–Inorganic Hybrid Materials for Optoelectronic Applications. Adv. Funct. Mater. 2024, 34, 2411671. [Google Scholar] [CrossRef]
- Morales Acosta, M.D.; Alvarado Beltrán, C.G.; Quevedo López, M.A.; Gnade, B.; Mendoza Galván, A.; Ramírez Bon, R. Adjustable Structural, Optical and Dielectric Characteristics in Sol–Gel PMMA–SiO2 Hybrid Films. J. Non-Cryst. Solids 2013, 362, 124–135. [Google Scholar] [CrossRef]
- Alvarado Beltrán, C.G.; Almaral Sánchez, J.L.; Ramírez-Bon, R. Synthesis and Properties of PMMA-ZrO2 Organic-Inorganic Hybrid Films. J. Appl. Pol. Sci. 2015, 132, 42738. [Google Scholar] [CrossRef]
- Sánchez-Ahumada, D.; Verastica-Ward, L.J.; Gálvez-López, M.F.; Castro-Beltrán, A.; Ramirez-Bon, R.; Alvarado-Beltrán, C.G. Low-Temperature Synthesis and Physical Characteristics of PS-TiO2 Hybrid Films for Transparent Dielectric Gate Applications. Polymer 2019, 172, 170–177. [Google Scholar] [CrossRef]
- Garibay-Martínez, F.; Syamala Rao, M.G.; Cortázar-Martínez, O.; Hurtado-Macías, A.; Quevedo-López, M.A.; Ramírez-Bon, R. Optical, Mechanical and Dielectric Properties of Sol-Gel PMMA-GPTMS-ZrO2 Hybrid Thin Films with Variable GPTMS Content. J. Non-Cryst. Solids 2021, 563, 120803. [Google Scholar] [CrossRef]
- Morales Acosta, M.D.; Quevedo López, M.A.; Ramírez Bon, R. PMMA-SiO2 Hybrid Films as Gate Dielectric for ZnO Based Thin Film Transistors. Mater. Chem. Phys. 2014, 146, 380–388. [Google Scholar] [CrossRef]
- Alvarado Beltrán, C.G.; Almaral Sánchez, J.L.; Quevedo López, M.A.; Ramírez-Bon, R. Dielectric Gate Applications of PMMA-TiO2 Hybrid Films in ZnO-Based Thin Film Transistors. Int. J. Electrochem. Sci. 2015, 10, 4068–4082. [Google Scholar] [CrossRef]
- Alvarado Beltrán, C.G.; Almaral Sánchez, J.L.; Mejía, I.; Quevedo López, M.A.; Ramírez-Bon, R. Sol−Gel PMMA−ZrO2 Hybrid Layers as Gate Dielectric for Low-Temperature ZnO-Based Thin-Film Transistors. ACS Omega 2017, 2, 6968–6974. [Google Scholar] [CrossRef]
- Rao, M.G.S.; Sánchez-Martinez, A.; Gutiérrez-Heredia, G.; Quevedo-López, M.A.; Ramírez-Bon, R. Sol-Gel Derived Low Temperature HfO2-GPTMS Hybrid Gate Dielectric for a-IGZO Thin-Film Transistors (TFTs). Ceram. Int. 2018, 44, 16428–16434. [Google Scholar] [CrossRef]
- Syamala Rao, M.G.; Pacheco-Zuñiga, M.A.; Garcia-Cerda, L.A.; Gutiérrez-Heredia, G.; Torres-Ochoa, J.A.; Quevedo-López, M.A.; Ramírez-Bon, R. Low-Temperature Sol-Gel ZrHfO2-PMMA Hybrid Dielectric Thin-Films for Metal Oxide TFTs. J. Non-Cryst. Solids 2018, 502, 152–158. [Google Scholar] [CrossRef]
- Meza-Arroyo, J.; Syamala Rao, M.G.; Mejía, I.; Quevedo López, M.A.; Ramírez-Bon, R. Low Temperature Processing of Al2O3-GPTMS-PMMA Hybrid Films with Applications to High-Performance ZnO Thin-Film Transistors. Appl. Surf. Sci. 2019, 467, 456–461. [Google Scholar] [CrossRef]
- Dey, A.; Singh, A.; Das, D.; Iyer, P.K. High-Performance ZnPc Thin Film-Based Photosensitive Organic Field-Effect Transistors: Influence of Multilayer Dielectric Systems and Thin Film Growth Structure. ACS Omega 2017, 2, 1241–1248. [Google Scholar] [CrossRef] [PubMed]
- Xie, Q.; Wang, L.; Zhu, Y.; Sun, Q.; Wang, L.J. Highly Sensitive NO2 Sensors Based on Organic Field Effect Transistors with Al2O3/PMMA Bilayer Dielectrics by Sol-Spin Coating. Org. Electron. 2019, 74, 69–76. [Google Scholar] [CrossRef]
- Ye, X.; Lin, H.; Yu, X.; Han, S.; Shang, M.; Zhang, L.; Jiang, Q.; Zhong, J. High Performance Low-Voltage Organic Field-Effect Transistors Enabled by Solution Processed Alumina and Polymer Bilayer Dielectrics. Synth. Met. 2015, 209, 337–342. [Google Scholar] [CrossRef]
- Bermundo, J.P.S.; Kesorn, P.; Yoshida, N.; Safaruddin, A.S.; Uraoka, Y. Temperature Dependence and Functionalization of Solution Processed High-k Hybrid Gate Insulators for High Performance Oxide Thin-Film Transistors. J. Phys. D Appl. Phys. 2022, 55, 075102. [Google Scholar] [CrossRef]
- Kim, J.H.; Hwang, B.U.; Kim, D.I.; Kim, J.S.; Seol, Y.G.; Kim, T.W.; Lee, N.E. Nanocomposites of Polyimide and Mixed Oxide Nanoparticles for High Performance Nanohybrid Gate Dielectrics in Flexible Thin Film Transistors. Electron. Mater. Lett. 2017, 13, 214–221. [Google Scholar] [CrossRef]
- Dastan, D.; Banpurkar, A. Solution Processable Sol–Gel Derived Titania Gate Dielectric for Organic Field Effect Transistors. J. Mater. Sci. Mater. Electron. 2017, 28, 3851–3859. [Google Scholar] [CrossRef]
- Mehrolia, M.S.; Kumar, D.; Verma, A.; Singh, A.K. Fabrication and Compact Modeling of Low-Voltage Flexible Organic TFT Using Self-Assembly of Conductive Polymer Channel Over High-k PMMA/SrZrOx Dielectric. IEEE Trans. Electron Devices 2024, 71, 6055–6060. [Google Scholar] [CrossRef]
- Najafi-Ashtiani, H.; Rahdar, A. Flexibility Investigation of Free-Silicon Organic–Inorganic (ZrTiHfO2-PVP) Hybrid Films as a Gate Dielectric. Appl. Phys. A 2021, 127, 217. [Google Scholar] [CrossRef]
- Najafi-Ashtiani, H.; Tavousi, A.; Ramzannezhad, A.; Rahdar, A. Solution-Processable LaTiOx-PVP as Silicon-Free Gate Dielectric at Low Temperature for High-Performance Organic-Inorganic Field Effect Transistors. J. Electron. Mater. 2021, 50, 2496–2503. [Google Scholar] [CrossRef]
- Zhang, Z.; Su, G.; Ning, H.; Jiang, B.; Liu, Y.; Xiong, X.; Jiang, Y.; Liu, D.; Yao, R.; Peng, J. Solution-Processed Transparent PVP:HfO2 Hybrid Dielectric Films with Low Leakage Current Density and High k. Surf. Interfaces 2023, 42, 103357. [Google Scholar] [CrossRef]
- Soltani, B.; Babaeipour, M.; Bahari, A. Studying Electrical Characteristics of Al2O3/PVP Nano-Hybrid Composites as OFET Gate Dielectric. J. Mater. Sci. Mater. Electron. 2017, 28, 4378–4387. [Google Scholar] [CrossRef]
- Syamala Rao, M.G.; Velazquez-Nevarez, G.A.; Avila-Avendaño, C.; Torres-Ochoa, J.A.; Quevedo-López, M.A.; Ramírez-Bon, R. Low Temperature Deposition of Inorganic-Organic HfO2-PMMA Hybrid Gate Dielectric Layers for High-Mobility ZnO Thin-Film Transistors. ACS Appl. Electron. Mater. 2019, 1, 1003–1011. [Google Scholar]
- de Urquijo-Ventura, M.S.; Syamala Rao, M.G.; Meraz-Davila, S.; Torres-Ochoa, J.A.; Quevedo-Lopez, M.A.; Ramirez-Bon, R. PVP-SiO2 and PVP-TiO2 Hybrid Films for Dielectric Gate Applications in CdS-Based Thin Film Transistors. Polymer 2020, 191, 122261. [Google Scholar] [CrossRef]
- Syamala Rao, M.G.; Meza-Arroyo, J.; Chandra Sekhar Reddy, K.; Murthy, L.N.S.; de Urquijo-Ventura, M.S.; Garibay-Martínez, F.; Hsu, J.W.P.; Ramírez-Bon, R. Tuning the Electrical Performance of Solution-Processed In2O3 TFTs by Low-Temperature with HfO2-PVP Hybrid Dielectric. Mater. Today Commun. 2021, 26, 02120. [Google Scholar]
- Florin Gherendi, D.; Dobrin, D.; Nistor, M. Transparent Structures for ZnO Thin Film Paper Transistors Fabricated by Pulsed Electron Beam Deposition. Micromachines 2024, 15, 265. [Google Scholar] [CrossRef] [PubMed]
- Meza Arroyo, J.; Syamala Rao, M.G.; de Urquijo Ventura, M.S.; Martínez Landeros, V.H.; Daunis, T.B.; Rodríguez, O.; Hsu, J.W.P.; Ramírez-Bon, R. All Solution-Processed Hafnium Rich Hybrid Dielectrics for Hysteresis Free Metal-Oxide Thin-Film Transistors. J. Mater. Chem. C 2023, 11, 1824. [Google Scholar] [CrossRef]
- Yap, B.K.; Zhang, Z.; Thien, G.S.H.; Chan, K.-Y.; Tan, C.Y. Recent Advances of In2O3-Based Thin-Film Transistors: A Review. Appl. Surf. Sci. Adv. 2023, 16, 100423. [Google Scholar] [CrossRef]
- Zhu, Y.; He, Y.; Jiang, S.; Zhu, L.; Chen, C.; Wan, Q. Indium–Gallium–Zinc–Oxide Thin-Film Transistors: Materials, Devices, and Applications. J. Semicond. 2021, 42, 031101. [Google Scholar] [CrossRef]
- Shim, G.W.; Hong, W.; Cha, J.H.; Park, J.H.; Lee, K.J.; Choi, S.Y. TFT Channel Materials for Display Applications: From Amorphous Silicon to Transition Metal Dichalcogenides. Adv. Mater. 2020, 32, 1907166. [Google Scholar] [CrossRef]
- Saveleva, M.S.; Eftekhari, K.; Abalymov, A.; Douglas, T.E.L.; Volodkin, D.; Parakhonskiy, B.V.; Skirtach, A.G. Hierarchy of Hybrid Materials—The Place of Inorganics-in-Organics in It, Their Composition and Applications. Front. Chem. 2019, 7, 179. [Google Scholar] [CrossRef] [PubMed]
- John Wellington, J.; Mishra, A.; Debbarma, R.; Verzhbitskiy, I.; Goh, K.E.J. Probing Charge Traps at the 2D Semiconductor/Dielectric Interface. Nanoscale 2023, 15, 16818–16835. [Google Scholar] [CrossRef]
- Xu, W.Y.; Wang, H.; Ye, L.; Xu, J.B. The Role of Solution-Processed High-κ Gate Dielectrics in Electrical Performance of Oxide Thin-Film Transistors. J. Mater. Chem. C 2014, 2, 5389–5396. [Google Scholar] [CrossRef]
- Brandrup, J.; Immergut, E.H.; Grulke, E.A. Polymer Handbook, 4th ed.; John Wiley & Sons: Hoboken, NJ, USA, 1999. [Google Scholar]
- Zheng, B.; Zhang, B.; Shu, G.; Sun, Z.; Wang, Y.; Xie, J. Experimental Investigation and Modeling of the Mechanical Properties of Construction PMMA at Different Temperatures. Structures 2023, 57, 105091. [Google Scholar] [CrossRef]
- Umar, A.; Khairil Juhanni, B.A.K.; Nor Aziah, B. A Review of the Properties and Applicationsof Poly (Methyl Methacrylate) (PMMA). Polym. Rev. 2015, 55, 678–705. [Google Scholar]
- Sau, S.; Pandit, S.; Kundu, S. Crosslinked Poly (Vinyl Alcohol): Structural, Optical and Mechanical Properties. Surf. Interfaces 2021, 25, 101198. [Google Scholar] [CrossRef]
- Krumova, M.; López, D.; Benavente, R.; Mijangos, C.; Pereña, J.M. Effect of Crosslinking on the Mechanical and Thermal Properties of Poly (Vinyl Alcohol). Polymer 2000, 41, 9265–9272. [Google Scholar] [CrossRef]
- Park, J.H.; Kim, E. Effect of Electric-Field-Assisted Thermal Annealing of Poly (4-Vinylphenol) Film on its Dielectric Constant. Appl. Phys. Lett. 2008, 92, 103311. [Google Scholar] [CrossRef]
- Jang, Y.; Kim, D.H.; Park, Y.D.; Cho, J.H.; Hwang, M.; Cho, K. Influence of the Dielectric Constant of a Polyvinyl Phenol Insulator on the Field-Effect Mobility of a Pentacene-Based Thin-Film Transistor. Appl. Phys. Lett. 2005, 87, 152105. [Google Scholar] [CrossRef]
- Bai, H.; Voyles, R.M.; Nawrocki, R.A. Inkjet Printing of a Gate Insulator: Towards Fully Printable Organic Field Effect Transistor. Electron. Mater. 2024, 5, 160–165. [Google Scholar] [CrossRef]
- Golda-Cepa, M.; Engvall, K.; Hakkarainen, M.; Kotarba, A. Recent Progress on Parylene C Polymer for Biomedical Applications: A Review. Prog. Org. Coat. 2020, 140, 105493. [Google Scholar] [CrossRef]
- von Metzen, R.P.; Stieglitz, T. The effects of annealing on mechanical, chemical, and physical properties and structural stability of Parylene C. Biomed. Microdevices 2013, 15, 727–735. [Google Scholar] [CrossRef] [PubMed]
- Ortigoza-Diaz, J.; Scholten, K.; Larson, C.; Cobo, A.; Hudson, T.; Yoo, J.; Baldwin, A.; Hirschberg, A.W.; Meng, E. Techniques and Considerations in the Microfabrication of Parylene C Microelectromechanical Systems. Micromachines 2018, 9, 422. [Google Scholar] [CrossRef] [PubMed]
- Strugariu, M.L.; Șerban, S.G.; Berdie, A.M.; Jitian, S. Infrared Spectra of the Main Optical Properties of Poly (Methyl Methacrylate) Thin Films. Polymers 2024, 81, 11257–11271. [Google Scholar] [CrossRef]
- Seesala, V.S.; Sheikh, L.; Basu, B.; Mukherjee, S. Mechanical and Bioactive Properties of PMMA Bone Cement: A Review. ACS Biomater. Sci. Eng. 2024, 10, 5939–5959. [Google Scholar] [CrossRef]
- Yue, L.; Meng, F.; Min, S. Low-Temperature Preparation and Characteristics of Top-Gate Thin-Film Transistors with La-ZTO Active Layers and Polymethylmethacrylate Dielectric Layers. Sci. Technol. 2024, 39, 065012. [Google Scholar] [CrossRef]
- Yang, J.; Xie, G.Z.; Su, Y.J.; Zhang, Q.P.; Du, H.F.; Tai, H.L.; Du, X.S.; Jiang, Y.D. Flexible Organic Thin-Film Transistors Based on Poly (3-Hexylthiophene) Films for Nitrogen Dioxide Detection. Sci. China Technol. Sci. 2018, 61, 1696–1704. [Google Scholar] [CrossRef]
- Mandal, S.; Kariyar, M. Processing and Performance of Organic Insulators as a Gate Layer in Organic Thin Film Transistors Fabricated on Polyethylene Terephthalate Substrate. Bull. Mater. Sci. 2013, 36, 653–660. [Google Scholar] [CrossRef][Green Version]
- Yue, L.; Meng, F.; Ren, D. Top-Gate Zinc-Tin-Oxide Thin-Film Transistors Based on Organic Gate Insulator. EPL 2020, 131, 67002. [Google Scholar] [CrossRef]
- Zha, J.W.; Zheng, M.S.; Fan, B.H.; Dang, Z.M. Polymer-Based Dielectrics with High Permittivity for Electric Energy Storage: A Review. Nano Energy 2021, 89, 106438. [Google Scholar] [CrossRef]
- Xie, J.; Liu, H.X.; Hu, J.; Zhao, X.C.; Song, S.X.; Sun, S.L.; Zhang, M.Y. Solution-Processed Linear Methyl Methacrylate-Co-Glycidyl Methacrylate Films with Excellent Dielectric and Energy Storage Characters. Mater. Adv. 2022, 3, 6619–6627. [Google Scholar] [CrossRef]
- El-Gamal, A.A.A. Enhancement of the Dielectric Properties of Polyvinyl Alcohol by Adding TiO2 Nanoparticles. Phys. Status Solidi A 2022, 219, 2200190. [Google Scholar] [CrossRef]
- Sezerotto Júnior, L.P.E.; Boudinov, H. Optimizing the Dielectric Characteristics of Polyvinyl Alcohol for Organic Electronics. Thin Solid Film. 2023, 782, 140034. [Google Scholar] [CrossRef]
- Dey, A.; Kalita, A.; Iyer, P.K. High-Performance n-Channel Organic Thin-Film Transistor Based on Naphthalene Diimide. ACS Appl. Mater. Interfaces 2014, 6, 12295–12301. [Google Scholar] [CrossRef] [PubMed]
- Syamala Rao, M.G.; Meraz-Davila, S.; Quevedo-Lopez, M.A.; Ramirez-Bon, R. Complete Solution-Processed Low-Voltage Hybrid CdS Thin-Film Transistors With Polyvinyl Phenol as a Gate Dielectric. IEEE Electron Device Lett. 2018, 39, 703–706. [Google Scholar] [CrossRef]
- Kumar, B.; Kaushik, B.K.; Negi, Y.S. Organic Thin Film Transistors: Structures, Models, Materials, Fabrication, and Applications: A Review. Polym. Rev. 2014, 54, 33–111. [Google Scholar] [CrossRef]
- Fan, C.-L.; Tsao, H.-Y.; Shiah, Y.-S.; Yao, C.-W.; Cheng, P.-W. Performance Enhancement of Pentacene-Based Organic Thin-Film Transistors Using a High-K PVA/Low-K PVP Bilayer as the Gate Insulator. Polymers 2021, 13, 3941. [Google Scholar] [CrossRef]
- Coelho, B.J.; Pinto, J.V.; Martins, J.; Rovisco, A.; Barquinha, P.; Fortunato, E.; Baptista, P.V.; Martins, R.; Igreja, R. Parylene C as a Multipurpose Material for Electronics and Microfluidics. Polymers 2023, 15, 2277. [Google Scholar] [CrossRef]
- Marszalek, T.; Gazicki-Lipman, M.; Ulanski, J. Parylene C as a Versatile Dielectric Material for Organic Field-Effect Transistors. Beilstein J. Nanotechnol. 2017, 8, 1532–1545. [Google Scholar] [CrossRef] [PubMed]
- Kwon, H.-J.; Ye, H.; An, T.K.; Hong, J.; Park, C.E.; Choi, Y.; Shin, S.; Lee, J.H.; Kim, S.H.; Li, X. Highly Stable Flexible Organic Field-Effect Transistors with Parylene-C Gate Dielectrics on a Flexible Substrate. Org. Electron. 2019, 75, 105391. [Google Scholar] [CrossRef]
- Khawaji, I.H.; Awadelkarim, O.O.; Lakhtakia, A. Parylene C as a Multifunctional Insulator for All-Organic Flexible Electronics. Proc. SPIE 2019, 10968, 260–266. [Google Scholar]
- Liu, M.; Wang, H.; Tong, Y.; Zhao, X.; Tang, Q.; Liu, Y. Ultrathin Free-Substrate n-Type PTCDI-C13 Transistors with Bilayer Polymer Dielectrics. IEEE Electron Device Lett. 2018, 39, 1183–1186. [Google Scholar] [CrossRef]
- Sachin, R.; Gargi, K.; Tiwari, S.P. Performance and Stability of Flexible Low-Voltage Organic Transistors on Paper Substrates. ACS Appl. Polym. Mater. 2023, 5, 5122–5129. [Google Scholar]
- Kim, W.; Kwon, J.; Takeda, Y.; Sekine, T.; Tokito, S.; Jung, S.J. Flexible and Printed Organic Nonvolatile Memory Transistor with Bilayer Polymer Dielectrics. Adv. Mater. Technol. 2021, 6, 2100141. [Google Scholar] [CrossRef]
- Yin, Z.; Yin, M.J.; Liu, Z.; Zhang, Y.; Ping Zhang, A.; Zheng, Q. Solution-Processed Bilayer Dielectrics for Flexible Low-Voltage Organic Field-Effect Transistors in Pressure-Sensing Applications. Adv. Sci. 2018, 5, 1701041. [Google Scholar] [CrossRef]
- Iqbal, M.J.; Iqbal, M.Z.; Afzal, T.; Raza, M.A.; Saghir, K.; Raza, M.A.; Atiq, S.; Riaz, S.; Naseem, S. Impact of Interfacial Trap States on Achieving Bias Stability in Polymer Field-Effect Transistors. Microelectron. Eng. 2021, 247, 111602. [Google Scholar] [CrossRef]
- Ye, H.; Kwon, H.-J.; Ryu, K.Y.; Wu, K.; Park, J.; Babita, G.; Kim, I.; Yang, C.; Kong, H.; Kim, S.H. Surface Engineering of High-K Polymeric Dielectric Layers with a Fluorinated Organic Crosslinker for Use in Flexible-Platform Electronics. Nanoscale Adv. 2024, 6, 4119–4127. [Google Scholar] [CrossRef] [PubMed]
- Ye, H.; Kwon, H.-J.; Ryu, K.Y.; Lu, Y.; Choi, H.H.; Nam, S.Y.; Feng, Z.; Park, J.; Mo, J.; Zhang, H.; et al. Fluorinated Polymeric Insulating Layer Surface Advancement by Fluorine Based Cross-Linking for High-Performance Organic Electronic Applications. J. Mater. Chem. C 2024, 12, 17223–17232. [Google Scholar] [CrossRef]
- Nicole, L.; Laberty-Robert, C.; Rozes, L.; Sanchez, C. Hybrid Materials Science: A Promised Land for the Integrative Design of Multifunctional Materials. Nanoscale 2014, 6, 6267–6292. [Google Scholar] [CrossRef] [PubMed]
- Boukhili, W.; Canımkurbey, B.; Yasin, M.; Al-Ghamdi, A.; Wageh, S. Hysteresis control by varying Ta2O5-nanoparticles concentration in PMMA-Ta2O5 bilayer gate dielectric of hybrid-organic thin film transistors. Org. Electron. 2019, 75, 105390. [Google Scholar] [CrossRef]
- Meteab, M.H.; Hashim, A.; Rabee, B.H. Controlling the Structural and Dielectric Characteristics of PS-PC/Co2O3-SiC Hybrid Nanocomposites for Nanoelectronics Applications. Silicon 2023, 15, 251–261. [Google Scholar] [CrossRef]
- Jung, J.M.; Kim, D.H.; Hur, J.S.; Kim, H.A.; Kim, J.O.; Jeong, J.K. Acrylate-Based Nanocomposite Zirconium-Dispersed Polymer Dielectric for Flexible Oxide Thin-Film Transistors with a Curvature Radius of 2 mm. Org. Electron. 2021, 98, 106302. [Google Scholar] [CrossRef]
- Gallegos-Rosas, K.; Myllymäki, P.; Saarniheimo, M.; Sneck, S.; Raju, R.; Soldano, C. Hafnium Aluminate−Polymer Bilayer Dielectrics for Organic Light-Emitting Transistors (OLETs). ACS Appl. Electron. Mater. 2024, 6, 1493–1503. [Google Scholar] [CrossRef]
- Li, Q.; Li, S.; Yang, D.; Su, W.; Wang, Y.; Zhou, W.; Liu, H.; Xie, S. Designing Hybrid Gate Dielectric for Fully Printing High-Performance Carbon Nanotube Thin Film Transistors. Nanotechnology 2017, 28, 435203. [Google Scholar] [CrossRef] [PubMed][Green Version]
- Wei, J.; Yu, S.; Shan, X.; Lan, K.; Yang, X.; Zhang, K.; Qin, G. 2D-MoS2/BMN Ceramic Hybrid Structure Flexible TFTs with Tunable Device Properties. ACS Appl. Mater. Interfaces 2020, 12, 38306–38313. [Google Scholar] [CrossRef] [PubMed]
- Zhao, C.B.; Chen, H.M.; Ali, M.U.; Yan, C.; Liu, Z.G.; He, Y.W.; Meng, H. Improving the Performance of Red Organic Light-Emitting Transistors by Utilizing a High-k Organic/Inorganic Bilayer Dielectric. ACS Appl. Mater. Interfaces 2022, 14, 36902–36909. [Google Scholar] [CrossRef]
- Najafi-Ashtiani, H. Low Temperature Processing of BaTiO3-PMMA-PVP Hybrid Films as Transparent Dielectric Gate. J. Mater. Sci. Mater. Electron. 2019, 30, 7087–7094. [Google Scholar] [CrossRef]
- Escamilla-Díaz, T.; Serralta-Macías, J.J.; García-Zaldivar, O.; Cruz-Valeriano, E.; Ramírez-Bon, R.; Yañez-Limón, J.M. Optical and Dielectric Studies of PMMA: Precursors of BNT Hybrid Films. Appl. Phys. A 2019, 125, 367. [Google Scholar] [CrossRef]
- Shahbazi, M.; Bahari, A.; Ghasemi, S. Studying Saturation Mobility, Threshold Voltage, and Stability of PMMA-SiO2-TMSPM Nano-Hybrid as OFET Gate Dielectric. Synth. Met. 2016, 221, 332–339. [Google Scholar] [CrossRef]
- Kesorn, P.; Bermundo, J.P.; Nonaka, T.; Fujii, M.N.; Ishikawa, Y.; Uraoka, Y. High Performance Amorphous In–Ga–Zn–O Thin-Film Transistors with Low Temperature High-k Solution Processed Hybrid Gate Insulator. ECS J. Solid State Sci. Technol. 2020, 9, 025002. [Google Scholar] [CrossRef]
- Le, H.N.; Wang, R.; Hou, B.; Kim, S.; Kim, J. Preparation of Low-Temperature Solution-Processed High-κ Gate Dielectrics Using Organic–Inorganic TiO2 Hybrid Nanoparticles. Nanomaterials 2024, 14, 488. [Google Scholar] [CrossRef] [PubMed]
- Huang, Q.; Wang, J.; Li, C.; Zhu, J.; Wang, W.; Huang, Y.; Zhang, Y.; Jiao, H.; Zhang, S.; Meng, H.; et al. Intrinsically Flexible All-Carbon-Nanotube Electronics Enabled by a Hybrid Organic–Inorganic Gate Dielectric. Npj Flex. Electron. 2022, 6, 61. [Google Scholar] [CrossRef]
- Park, H.; Oh, D.S.; Hong, W.; Kang, J.; Lee, G.B.; Shin, G.H.; Choi, Y.K.; Im, S.G.; Choi, S.Y. Hybrid Gate Dielectric of MoS2 Transistors for Enhanced Photo-Electronic Stability. Adv. Mater. Interfaces 2021, 8, 2100599. [Google Scholar] [CrossRef]
- Lakshmi Priya, S.; Wei Haung, T.; Agrahari, K.; Wu Wang, Y. The Comprehensive Study of Hybrid Dielectric Layer Adopted Organic Thin Film Transistors for Low Voltage Operation. J. Mol. Liq. 2024, 409, 125431. [Google Scholar] [CrossRef]
- Zhang, Z.; Du, C.; Jiao, H.; Zhang, M. Polyvinyl Alcohol/SiO2 Hybrid Dielectric for Transparent Flexible/Stretchable All-Carbon-Nanotube Thin-Film-Transistor Integration. Adv. Electron. Mater. 2020, 6, 1901133. [Google Scholar] [CrossRef]
- Su, G.; Liang, Z.; Zhong, J.; Ning, H.; Lu, K.; Qiu, T.; Luo, D.; Liu, X.; Yao, R.; Peng, J. Solution-Processed, Flexible, and Highly Transparent ZrO2:PVP Hybrid Dielectric Layer. Org. Electron. 2023, 116, 106759. [Google Scholar] [CrossRef]
- de Urquijo-Ventura, M.S.; Garibay-Martínez, F.; Syamala Rao, M.G.; Chandra Sekhar Reddy, K.; Martínez-Landeros, V.H.; Martínez-Guerra, E.; Ramírez-Bon, R. Development of All-Solution Processed CdSe Thin Film Phototransistors with Hybrid TiSiOx-PVP Dielectric Gate. Surf. Interfaces 2022, 34, 102370. [Google Scholar] [CrossRef]
- Syamala Rao, M.G.; Chandra Sekhar Reddy, K.; Meza-Arroyo, J.; Murthy, L.N.S.; Daunis, T.B.; Pintor-Monroy, M.I.; Hsu, J.W.P.; Ramírez-Bon, R. ZrHfO2-PMMA Hybrid Dielectric Layers for High-Performance All Solution-Processed In2O3-Based TFTs. Mater. Res. Bull. 2022, 150, 111768. [Google Scholar] [CrossRef]
- Kim, G.I.; Jung, J.; Min, W.K.; Kim, M.S.; Jung, S.; Choi, D.H.; Chung, J.; Kim, H.J. Mechanically Durable Organic/High-k Inorganic Hybrid Gate Dielectrics Enabled by Plasma-Polymerization of PTFE for Flexible Electronics. ACS Appl. Mater. Interfaces 2022, 14, 28085–28096. [Google Scholar] [CrossRef]
- Song, Y.; Ha, Y.G. One-Step Fabricated and Solution-Processed Hybrid Gate Dielectrics for Low-Voltage Organic Thin-Film Transistors. Bull. Korean Chem. Soc. 2021, 42, 983–987. [Google Scholar] [CrossRef]
- Morales-Acosta, M.D.; Quevedo-López, M.A.; Gnade, B.E.; Ramírez-Bon, R. PMMA-SiO2 Organic-Inorganic Hybrid Films: Determination of Dielectric Characteristics. J. Sol-Gel Sci. Technol. 2011, 58, 218–224. [Google Scholar] [CrossRef]
- Meza-Arroyo, J.R.; Syamala Rao, M.G.; Chandra Sekhar Reddy, K.; Sánchez-Martinez, A.; Rodríguez-López, O.; Quevedo-López, M. Ultra-Dry Air Plasma Treatment for Enhancing the Dielectric Properties of Al2O3-GPTMS-PMMA Hybrid Dielectric Gate Layers in a-IGZO TFT Application. Nanotechnology 2021, 32, 135203. [Google Scholar] [CrossRef] [PubMed]
- de Urquijo Ventura, R.; Meza Arroyo, J.; Garibay Martínez, F.; Syamala Rao Mullapudi, G.; Flores García, E.; Ramírez Bon, R. Electrical Response of CdSe-Based Thin Film Transistors with Different Hybrid Dielectric Gates. J. Phys. D Appl. Phys. 2021, 54, 235104. [Google Scholar] [CrossRef]
- Najafi-Ashtiani, H. Performance Evaluation of Free-Silicon Organic-Inorganic Hybrid (SiO2-TiO2-PVP) Thin Films as a Gate Dielectric. Appl. Surf. Sci. 2018, 455, 373–378. [Google Scholar] [CrossRef]
- Fu, Y.Z.; Li, J.; Zhao, C.Y.; Huang, C.X.; Zhang, J.H.; Li, X.F.; Jiang, X.Y.; Zhang, Z.L. TiSiOx Gate Dielectrics Produced by Reactive Sputtering for High Performance InGaZnO Thin Film Transistors. Mater. Sci. Semicond. Process. 2017, 61, 125–130. [Google Scholar] [CrossRef]
- Yang, B.X.; Tseng, C.Y.; Chiang, A.S.T.; Liu, C.L. A Sol-Gel Titanium-Silicon Oxide/Organic Hybrid Dielectric for Low-Voltage Organic Thin Film Transistors. J. Mater. Chem. C 2015, 3, 968–972. [Google Scholar] [CrossRef]
- Ye, Z.; Yuan, Y.; Xu, H.; Liu, Y.; Luo, J.; Wong, M. Mechanism and Origin of Hysteresis in Oxide Thin-Film Transistor and its Application on 3-D Nonvolatile Memory. IEEE Trans. Electron Devices 2017, 64, 438–446. [Google Scholar] [CrossRef]
- Kang, H.J.; Choi, N.; Bae, J.H.; Park, B.G.; Lee, J.H. Analysis of Clockwise and Counter-Clockwise Hysteresis Characteristics in 3-D NAND Flash Memory Cells. IEEE Electron Device Lett. 2017, 38, 867–870. [Google Scholar] [CrossRef]
- Chen, Y.J.; Tai, Y.H.; Chang, C.Y. Mechanism of Hysteresis for a-IGZO TFT Studied by Changing the Gate Voltage Waveform in Measurement. IEEE Trans. Electron Devices 2016, 63, 1565–1571. [Google Scholar] [CrossRef]
- Kim, S.K.; Kim, J.H.; Yun, K.R.; Lee, T.J.; Seong, T.Y. Realization of High Mobility Synaptic Transistor through Control of Cross-Linking Agent in a Polymer Dielectric Layer for Emerging Electric Double Layer. Adv. Mater. Technol. 2024, 9, 2301604. [Google Scholar] [CrossRef]
- Kim, J.O.; Hur, J.S.; Kim, D.; Lee, B.; Jung, J.M.; Kim, H.A.; Chung, U.J.; Nam, S.H.; Hong, Y.; Park, K.S.; et al. Network Structure Modification-Enabled Hybrid Polymer Dielectric Film with Zirconia for the Stretchable Transistor Applications. Adv. Funct. Mater. 2020, 30, 1906647. [Google Scholar] [CrossRef]
- Kwon, H.J.; Ye, H.; Baek, Y.; Hong, J.; Wang, R.; Choi, Y.; Lee, I.; Park, C.E.; Nam, S.; Kim, J.; et al. Printable Ultra-Flexible Fluorinated Organic–Inorganic Nanohybrid Sol–Gel Derived Gate Dielectrics for Highly Stable Organic Thin-Film Transistors and Other Practical Applications. Adv. Funct. Mater. 2021, 31, 2009539. [Google Scholar] [CrossRef]
- Verma, A.; Gupta, S.; Mishra, V.N.; Prakash, R. A Low-Voltage, Self-Oriented Organic Polymer Nanocomposite-Based Flexible TFT for Ammonia Gas Sensing at Room Temperature. IEEE Trans. Electron. Devices 2023, 70, 2453–2459. [Google Scholar] [CrossRef]
- Meza-Arroyo, J.; Sekhar Reddy, K.C.; Mullapudi, G.S.R.; Garibay-Martínez, F.; de Urquijo Ventura, M.S.; Ramírez-Bon, R. Solution-Based CdS Thin Film Transistors with Low Temperature-Processed Al2O3-GPTMS-PMMA as Hybrid Dielectric Gate. Semicond. Sci. Technol. 2021, 36, 045015. [Google Scholar] [CrossRef]
- Baek, Y.; Li, X.; Kim, N.; Park, C.E.; An, T.K.; Kim, J.; Kim, S.H. Critical Role of Amphiphilic Polymers in Organic-Inorganic Hybrid Sol-Gel Derived Gate Dielectrics for Flexible Organic Thin-Film Transistors. J. Mater. Chem. C 2019, 7, 11612–11620. [Google Scholar] [CrossRef]
- Byun, H.R.; You, E.A.; Ha, Y.G. Room-Temperature Solution-Processed, ZrOx-Based Hybrid Gate Dielectrics for Low-Voltage Organic Thin-Film Transistors on Plastic Substrates. Appl. Phys. Lett. 2019, 114, 013301. [Google Scholar] [CrossRef]
- Lee, J.; Hassan, S.Z.; Lee, S.; Sim, H.R.; Chung, D.S. Azide-Functionalized Ligand Enabling Organic–Inorganic Hybrid Dielectric for High-Performance Solution-Processed Oxide Transistors. Nat. Commun. 2022, 13, 7021. [Google Scholar] [CrossRef] [PubMed]
- Hur, J.S.; Kim, J.O.; Kim, H.A.; Jeong, J.K. Stretchable Polymer Gate Dielectric by Ultraviolet-Assisted Hafnium Oxide Doping at Low Temperature for High-Performance Indium Gallium Tin Oxide Transistors. ACS Appl. Mater. Interfaces 2019, 11, 21675–21685. [Google Scholar] [CrossRef] [PubMed]
















| Property | PMMA [69,70,71,72] | PVA [31,72,73] | PVP [74,75,76] | Parylene [77,78,79] |
|---|---|---|---|---|
| Dielectric Constant | 3.3–3.6 | 5–7 | 4–6 | 2.7–3.2 |
| Leakage Current (A/cm2) | 10−8–10−6 | 10−9–10−7 | 10−8–10−6 | 10−11–10−9 |
| Dielectric Strength (MV/m) | 20–30 | 25–60 | 250 | 20–30 |
| Elastic Modulus (GPa) | 1.8–3.1 | 1.5–3 | 2–3 | 3–4 |
| Poisson Ratio | 0.34–0.4 | 0.3–0.4 | 0.3–0.4 | 0.3–0.35 |
| Fracture Toughness (MPa m1/2) | 5 | 1–3.5 | 4.6 | 0.5–1.5 |
| Density (kg/m3) | 1180–1200 | 1190–1310 | 1190–1310 | 1290 |
| Refraction Index | 1.49 | 1.48–1.52 | 1.52–1.56 | 1.65 |
| Glass Transition (°C) | 104–105 | 85–90 | 120 | 30–40 |
| Hybrid Dielectric | Thickness (nm)/ Roughness (nm) | Capacitance @ 1 Mhz (nF/cm2) | Dielectric Constant | Leakage Current @ 5 V (A/cm2) |
|---|---|---|---|---|
| HfAlOx/PVP [62] | 220/0.5 | 71 | 16.6 | 8 × 10−8 |
| ZrHfO2/PMMA [45] | 90/1 | 60 | 6 | 4 × 10−8 |
| Al2O3-GPTMS-PMMA [46] | 370/- | 12 | 4.5 | 8 × 10−7 |
| HfO2-PVP [60] | 132/0.7 | 39.5 | 5.8 | 1 × 10−8 |
| HfO2-PMMA [58] | 96/0.8 | 89 | 9.5 | 1 × 10−9 |
| TiSiOx/PVP [123] | 371/0.9 | - | 8 | 2 × 10−5 |
| ZrO2/PMMA [43] | 191/1.6 | 40 | - | 1 × 10−5 |
| SiO2/PVP [59] | 529/0.27 | 6.2 | - | 2 × 10−6 |
| 9TiO2/PVP [59] | 567/0.51 | 6.1 | - | 2 × 10−7 |
| Hybrid Dielectric | Active Layer | Maximum Processing Temp, (°C) | Saturation Mobility, µsat, (cm2/ V.s) | Ion/Ioff | Threshold Voltage, Vth, (V) | Subthreshold Swing, SS, (V/dec) |
|---|---|---|---|---|---|---|
| HfAlOx /PVP [62] | In2O3 | 220 | 0.25 | 106 | 2.9 | 0.37 |
| a-IGZO | 200 | 3.39 | 106 | 2.2 | 0.89 | |
| ZrHfO2 /PMMA [123] | In2O3 | 200 | 11.2 | 106 | 1.7 | 0.58 |
| SiO2-PVP | CdSe | 200 | 22.11 | 104 | 1.1 | 0.47 |
| Al2O3-GPTMS-PMMA [129] | 150 | 2.38 | 104 | 1.67 | 0.53 | |
| Al2O3-GPTMS-PMMA [140] | CdS | 150 | 64.4 | 104 | 1.3 | 0.44 |
| HfO2-PVP [60] | In2O3 | 230 | 2.6 | 105 | 0.1 | 0.33 |
| HfO2-PMMA [58] | ZnO | 185 | 15.5 | 106 | 0.5 | 0.37 |
| Al2O3-GPTMS-PMMA [128] | a-IGZO | 150 | 29.3 | 106 | 2.9 | 0.42 |
| Al2O3-GPTMS-PMMA [46] | ZnO | 150 | 4.5 | 107 | 0.7 | --- |
| TiSiOx/ PVP [123] | CdSe | 200 | 0.37 | 105 | 0.8 | 0.18 |
| ZrO2-GPTMS /PMMA [40] | ZnO | 150 | 18 | 105 | 1.6 | 0.25 |
| SiO2 /PVP | CdS | 200 | 18 | 104 | 0.6 | 0.25 |
| TiO2/ PVP [59] | 0.45 | 1.9 | 1.25 | |||
| HfO2/ GPTMS [44] | IGZO | 150 | 4.74 | 104 | 0.3 | --- |
| ZrHfO2/ PMMA [45] | ZnO | 200 | 12.8 | 103 | 1.8 | --- |
| a-IGZO | 2.45 | 107 | 1.2 | |||
| ZrOx/PMMA /PMCF [139] | P3HT/C3N4 | 100 | 0.1 | 103 | −0.1 | --- |
| ZrO2 /PVP [53] | Nd+Al:IZO | 60 | 57.8 | 105 | 0.05 | --- |
| HfOx/PPH (PTFE) [125] | a-IGZO | 280 | 16.99 | 108 | 0.96 | 0.35 |
| FAGPTi (133 nm) [126] | Pentacene Pentacene a-IGZO | 120 dielec 200 semic | 0.17 0.21 3.6 | 105 104 106 | −1.34 −0.75 −0.33 | 1.3 1.55 0.44 |
| ZrTiHfO/ PVP [54] | ZnO | --- | 0.096 | 104 | 1.9 | --- |
| AGPTi [141] | Pentacene | 120 | 0.17 | 104 | --- | --- |
| ZrOx /HDDA [142] | Pentacene | RT | 0.47 | 105 | −0.7 | --- |
| HfOx/BTH/ OTES [116] | Pentacene | 150 | 0.31 | 105 | −0.8 | --- |
| ZrOx/ BTMSH [132] | IGTO | 150 | 25.4 | 107 | −3.4 | 0.58 |
| ZrO2/PMMAFunctionalized [143] | In2O3/ZnO | 200 | 50 | 107 | 0.47 | 0.108 |
| HfOx/PVP-co-PMMA [144] | IGTO | 150 | 25.9 | 107 | −0.2 | 0.4 |
Disclaimer/Publisher’s Note: The statements, opinions and data contained in all publications are solely those of the individual author(s) and contributor(s) and not of MDPI and/or the editor(s). MDPI and/or the editor(s) disclaim responsibility for any injury to people or property resulting from any ideas, methods, instructions or products referred to in the content. |
© 2025 by the authors. Licensee MDPI, Basel, Switzerland. This article is an open access article distributed under the terms and conditions of the Creative Commons Attribution (CC BY) license (https://creativecommons.org/licenses/by/4.0/).
Share and Cite
Meza-Arroyo, J.; Ramírez-Bon, R. Organic–Inorganic Hybrid Dielectric Layers for Low-Temperature Thin-Film Transistors Applications: Recent Developments and Perspectives. Technologies 2025, 13, 20. https://doi.org/10.3390/technologies13010020
Meza-Arroyo J, Ramírez-Bon R. Organic–Inorganic Hybrid Dielectric Layers for Low-Temperature Thin-Film Transistors Applications: Recent Developments and Perspectives. Technologies. 2025; 13(1):20. https://doi.org/10.3390/technologies13010020
Chicago/Turabian StyleMeza-Arroyo, Javier, and Rafael Ramírez-Bon. 2025. "Organic–Inorganic Hybrid Dielectric Layers for Low-Temperature Thin-Film Transistors Applications: Recent Developments and Perspectives" Technologies 13, no. 1: 20. https://doi.org/10.3390/technologies13010020
APA StyleMeza-Arroyo, J., & Ramírez-Bon, R. (2025). Organic–Inorganic Hybrid Dielectric Layers for Low-Temperature Thin-Film Transistors Applications: Recent Developments and Perspectives. Technologies, 13(1), 20. https://doi.org/10.3390/technologies13010020

