Next Article in Journal
Enhancing Diagnostic Accuracy for Skin Cancer and COVID-19 Detection: A Comparative Study Using a Stacked Ensemble Method
Next Article in Special Issue
Eight Element Wideband Antenna with Improved Isolation for 5G Mid Band Applications
Previous Article in Journal
IoT Energy Management System Based on a Wireless Sensor/Actuator Network
Previous Article in Special Issue
Implementation of a Wireless Sensor Network for Environmental Measurements
 
 
Font Type:
Arial Georgia Verdana
Font Size:
Aa Aa Aa
Line Spacing:
Column Width:
Background:
Article

Wireless Ranging by Evaluating Received Signal Strength of UWB Chaotic Radio Pulses: Effects of Signal Propagation Conditions

Kotelnikov Institute of Radio Engineering and Electronics of Russian Academy of Sciences, 7/11, Mokhovaya St., Moscow 125009, Russia
*
Author to whom correspondence should be addressed.
Technologies 2024, 12(9), 141; https://doi.org/10.3390/technologies12090141
Submission received: 23 July 2024 / Revised: 17 August 2024 / Accepted: 23 August 2024 / Published: 25 August 2024
(This article belongs to the Special Issue Perpetual Sensor Nodes for Sustainable Wireless Network Applications)

Abstract

Ultra-wideband radio signals have been the subject of study for several decades. They are used to solve problems of communications and ranging. Measuring the strength (power) of a radio signal is a technically simple way to estimate the distance between the emitter and the receiver of the signal. However, the conditions of signal propagation have a significant impact on the power of the received signal. This work is relevant because chaotic radio pulses are a relatively new type of carrier in wireless technologies, and actual knowledge about the change in signal power in different types of premises is relatively small, so such a study is necessary. In this paper, we study the variation in signal power with distance for chaotic ultra-wideband radio pulses under various propagation conditions. Using experimental measurements in several outdoor (field, roadside) and indoor (corridors, conference room, office) environments, we investigate the effect of propagation conditions on ultra-wideband chaotic radio signals and determine the limits within which the dependence of the calculated power on distance can be approximated by a power law. For this purpose, the results of experimental measurements of the received signal power (a total of about 17.5 M values) were accumulated and analyzed. The accuracy of distance measurement that can be achieved in different conditions is compared and analyzed. It was found that for a 9.5 dBm signal, the range of distances at which the average accuracy is only 15–50 cm when using a power law is 5–7 m indoors and 10–15 m outdoors.

1. Introduction

Wireless positioning systems have become an integral part of modern wireless communication systems. To solve the problem of outdoor positioning, global navigation satellite systems (GNSS), such as GPS, GLONASS, Beidou, etc., have long been successfully used, providing a positioning error of about 1 m or less (in certain cases). However, in dense urban environments, the satellite signal is obscured by buildings, and when it comes to indoor positioning, GNSS positioning accuracy either deteriorates or such systems do not work at all. Thus, such cases require alternative solutions, namely local positioning systems. Such systems are necessary to solve a wide range of practical problems in various environments: in residential accommodations, in offices, in large shopping and entertainment centers, and in industrial and warehouse premises [1,2]. This need has become especially acute with the development of the Internet of Things (IoT) [3] and Industrial Internet of Things (IIoT) [2], where it is necessary to determine the location of a large number of objects with centimeter accuracy. Such a diverse problem has no single technical solution suitable for all occasions and all types of premises with necessary positioning accuracy.
Today, there are a large number of scientific publications, both original works that present the results of theoretical and experimental research and offer new technical solutions, and review materials that cover the variety of approaches to local positioning and give a comparative analysis of their features. To solve the positioning problem, signals of various natures are offered: sound, light, and radio waves. Each approach has its own advantages and disadvantages. For example, lidars [4], successfully used in a number of outdoor tasks, have fundamental limitations: they use directed waves that do not penetrate obstacles, and also require significant computing resources for post-processing. From a technical point of view, radio systems are convenient for practical determination of the coordinates of radio tags (RFID) attached to objects of interest. Radio waves have two advantages: they are omnidirectional and have high penetrating ability [1,2]. That is why, when developing promising 6G radio communications, the emphasis is made on RF positioning systems [5].

2. Related Works

A critical overview of current technologies proposed for indoor positioning, such as Wi-Fi, Bluetooth, UWB, mmWave, visible light, and audio-based technologies is given in [1], where their features, weaknesses, and strengths are analyzed. The technologies used in IoT are discussed in [3], whereas [2] focuses on industrial positioning applications. Today, characteristic accuracy of local positioning systems varies for Wi-Fi within ∼1–3 m, for Bluetooth within ∼2–5 m, for RFID within ∼2 m, for ZigBee within ∼3–5 m, and for UWB within ∼0.1–0.5 m, and it significantly depends on the conditions and scenarios in which these technologies are used. The only class of wireless radio technologies that consistently demonstrates centimeter accuracy in real wireless channels is the class of UWB systems based on ultrashort pulses [6]. Centimeter accuracy is achieved thanks to an ultra-wide signal bandwidth (the other side of short pulse duration). Reviews on UWB positioning technologies are given in [7,8,9].
UWB ultrashort pulses are not the only type of signals that are used in wireless UWB systems. Along with UWB ultrashort pulses, UWB orthogonal frequency-division multiplexing (OFDM) signals [10], UWB chirps [11], and UWB chaotic radio pulses [12,13] have also been proposed.
Chaotic radio pulses are one of the types of UWB signals that are used to transmit information [12,13] and they can be used to solve ranging and positioning problems [14,15]. The characteristic features of this type of signals are irregularity, noise-like waveform, wide or ultra-wide frequency band, and, as a consequence, a narrow (delta-function-like) autocorrelation function. The spectral properties of the chaotic signal are completely determined by the properties of the dynamic system, i.e., the generator of chaotic oscillations. The duration of a chaotic radio pulse can vary within wide limits without significant effect on the signal spectrum. The noise-like nature of chaotic signals and short autocorrelation time make the chaotic radio pulses immune to small-scale fading in the communication channel. This property makes UWB chaotic radio pulses attractive as a means of ranging and positioning in a multipath environment. Since the pulse duration can be set much longer than the multipath response of the channel, the pulse power can be reliably estimated from its envelope.
In addition, power measurement is a technically simple way to estimate distance, and it does not require facilities to accurately measure propagation time. However, experience with approaches based on power measurement in narrowband systems (WiFi, Bluetooth, ZigBee, etc.) shows that they are significantly inferior in accuracy to schemes based on time measurement. From a physics viewpoint, this is quite understandable, because the strength of the received radio signal depends significantly and unpredictably on the propagation conditions.
In order to evaluate the capabilities of chaotic UWB technology for positioning objects, it is necessary to study propagation features of chaotic radio pulses and the limitations that arise due to such factors as reflections, interference, and fading. The only way to obtain them is to carry out a certain number of experimental measurements that will indicate these limits.
However, there are not many works studying the indoor propagation of chaotic signals in the context of wireless distance measurement. In particular, theoretical results on the study of the propagation of chaotic radio signals over the surface of the earth and indoors are presented in [16,17]. Certain results regarding the indoor propagation of chaotic signals are presented in [14,15,18,19,20], where it is shown, in particular, that chaotic signals are weakly susceptible to small-scale fading; the spread of signal power values at the measurement point is less than the corresponding spread of narrowband signals.
The purpose and novelty of this paper is to systematically accumulate an array of experimental data on the power of UWB chaotic radio pulses in various conditions, both outdoor and indoor, inside different types of premises (corridor, corridor with a large number of metal structures, conference hall, office) and to establish patterns of changes in the power of UWB chaotic radio pulses. Based on these patterns, it is possible to determine the range of distances in which the power law can be applied for UWB signal power attenuation with distance, and determine the characteristic accuracy of distance measurement for various propagation conditions using the power law.
The paper is organized as follows: Section 3 describes wireless transceivers that use UWB chaotic radio pulses as an information carrier (Section 3.1), system overview (Section 3.2), method for measuring signal power (Section 3.3), and choice of measurement conditions (Section 3.4). Section 4 describes experiments and their results, in particular, the results of outdoor experiments near the surface of the earth (Section 4.1), indoor experiments in a corridor (Section 4.2), experiments in a corridor with a large number of metal structures (Section 4.3), experiments in the conference hall (Section 4.4), and experiments in an office space (Section 4.5). Section 5 discusses the results of the study.

3. Materials and Methods

3.1. Wireless UWB Transceivers

In the experimental studies, we use transceivers that implement the principle of direct chaotic communications [12,13]. The transceivers are based on UWB modems [15] that implement RF operations including generation, transmission, and reception of chaotic radio pulses. The modems are equipped with a Morpho connector for use with FPGA or MCU development boards that provide digital control of the modem.
The source of the UWB signal is a chaotic oscillator, which generates a UWB noise-like signal in the frequency band 3…5 GHz [15].
The chaotic signal is modulated (2-level amplitude manipulation), the pulses follow each other with a duty cycle of 1/2 (pulse repetition period T = 1.25 μs, chaotic radio pulse duration t = 625 ns), signal power in pulse mode PTx = 9.5 dBm. The signal of such power allows us to provide necessary range and analyze effects that are considered below. The modulated signal is emitted by a UWB antenna [21]. Chaotic radio pulses are received by a log detector. The received signal power is evaluated by comparing the amplitude of the received radio pulses with a threshold level [15].
The emitter node (the node whose coordinates are to be determined) is controlled by an FPGA on DE10-Lite board (Figure 1a). To control the receiver node, an STM32 Nucleo-F746ZG prototyping board is used (Figure 1b). Data from the receiver node are acquired by a laptop.

3.2. System Overview

During the experiment, the emitter and receiver of the signal are placed at a distance d from each other. A transmitter (the coordinates of which are to be determined) forms and emits a stream of chaotic radio pulses. A receiver, whose coordinates are known, detects incoming radio pulses and measures the amplitude of the pulse envelope. The measurement results obtained in the receiver are transmitted via USB cable to a laptop, where the data accumulate. The emitter is then moved to the next position, the distance to which is to be measured. For each distance d, a set of 40,000 signal power measurements is taken. The background noise at the receiving point is measured in advance, and the median background noise value for a specific receiver is subtracted from the measurement results.

3.3. Signal Strength Measurement

The structure of the transceiver module, the principle of operations, and the signal strength measurement method are described in detail in [15].
To measure the level of the received signal, the threshold level of the log detector in the receiver is varied during the measurement in such a way as to detect the presence or absence of a signal in the receiver at different threshold values. This allows us to evaluate the amplitude of the radio pulse envelope; this amplitude is uniquely related to the power P of chaotic radio pulses at the receiver input.
Based on the measured signal power P, the distance between the emitter and the receiver can be found according to the law of signal attenuation in a wireless communication channel:
P d = P 0 10 n log 10 d d 0   [ dB ] ,
where P0 is the signal power at a reference distance d0 from the emitter, Pd is the signal power at the distance d between the receiver and the emitter, and n is the attenuation rate in the wireless channel.
According to this routine, to determine the distance between the emitter and the receiver, we must know d0, P0, and n.
Each specific room is characterized by a certain average attenuation index n. As practice shows, the specific value of n depends on the geometry of the room and the positions of the emitter and receiver in the room [22,23]. Therefore, in each case we have to determine the attenuation rate individually.
The values of d0, P0, and n are obtained in preliminary measurements and are subsequently used to calculate the distance d from the measured value of Pd.
d = d 0 10 P 0 P d 10 n
In this study, the reference distance d0 = 1 m. For the reference power P0, we take the median of the measured signal power at the reference distance d0. In each of the experiments, this value of P0 is different (one experiment = the same propagation conditions).
To assess the measurement accuracy, the following quantitative indicators are used:
-
Distance measurement error, i.e., the difference between the actual distance d and its estimate d*:
err(d)= dd*
-
Relative distance error:
rel(d) = err(d)/d.
To obtain average accuracy indicators, we calculate the mean absolute error (MAE), standard deviation (STD), median absolute error (MedAE), and root mean square error (RMSE).
MAE   =   1 N i = 1 N d i d * i
STD = 1 N i = 1 N ( d * i d * ¯ ) 2 ,
MedAE = median ( d 1 d * 1 ,   d 2 d * 2 ,   ,   d N d * N ) ,
RMSE = 1 N i = 1 N ( d i d * i ) 2 ,
where N is the number of measurements of the distance, d * ¯ = 1 N i = 1 N ( d i d * i ) .

3.4. Measurement Conditions

The selection of the measurement conditions follows the principles adopted in the study of UWB signal propagation by the development of IEEE 802.15.3a, 802.15.4a, etc., standards, and it actually corresponds to the assumed scenarios of using the proposed method, i.e., typical scenarios of the assumed use of UWB positioning systems: office, public, and industrial premises. In our case, the laboratory room serves as a model of an office room, the conference room and the corridor are public spaces, and the corridor with a large number of metal structures is a model of an industrial environment. Outdoor scenarios correspond to positioning models in open spaces. In our opinion, the latter can also be useful for agricultural applications (agricultural sector), where wireless positioning systems are in great demand; they can also be considered as a model of large public spaces (sports facilities), etc.

4. Results

4.1. Outdoor Experiments near the Surface of the Earth

Four series of outdoor experiments were carried out.
The measurement scheme for all outdoor scenarios was the same (Figure 2).
The first series of measurements (outdoor, series 1, hereinafter O1) was carried out on a grass lawn. The nearest large objects (a building, a fence) were located at a distance of more than 7 m from the measurement line. Beyond the measurement site there were several trees. The emitter and the receiver were in line-of-sight (LOS) conditions on tripods of height h = 2 m. During the measurements, the position of the receiver was fixed, and the emitter moved in a straight line. The distance between the emitter and receiver was varied from 1 to dmax = 18 m in 1 m steps.
The second series of measurements (hereinafter O2) was carried out on the side of a forest road (the distance to the forest was ~2 m on one side and ~10 m on the other side). The signal emitter and the receiver were in LOS conditions on tripods of height h = 2 m. During the measurements, the position of the receiver was fixed, and the emitter moved in a straight line. The distance between the emitter and receiver varied from 1 to dmax = 13 m with steps of 1 m.
The third series of measurements (hereinafter referred to as O3) was carried out on a side of a countryside road (the distance to the nearest large object was more than 15 m). The emitter and the receiver were in LOS conditions on tripods of height h = 2 m. During the measurements, the position of the receiver was fixed, and the emitter moved in a straight line. The distance between the emitter and receiver varied from 1 to dmax = 31 m with steps of 1 m.
The fourth series of measurements (hereinafter O4) was carried out under the same conditions as the O3 series, i.e., on the side of the road, but the height of the tripods on which the emitter and receiver were raised was 1 m. During the measurements, the position of the receiver was fixed, and the emitter moved in a straight line. The distance between the emitter and receiver varied from 1 to dmax = 35 m with steps of 1 m.
In all the above scenarios, the aim of the measurements was to obtain the signal power estimate at the receiver input as a function of the distance between the receiver and the emitter.
According to the routine described in Section 3.3, to determine the distance from the received power, one must know the attenuation index in specific conditions (here, in scenarios O1—O4). In the case of the power law of signal attenuation with distance (1), the attenuation index is the slope of the plot of the power difference (PdP0) (in dBm) versus the logarithm of the ratio of the measured d and reference d0 distances (here, d0 = 1 m). Therefore, in order to evaluate the attenuation rate according to (1), the signal power and the distance were plotted in logarithmic scales (Figure 3a) and the attenuation index n was determined as the slope of the straight line approximating the dependence of the power difference on the logarithm of the distance ratio.
n = P d P 0 10 log 10 ( d d 0 )
The power difference (PdP0) [dBm] as a function of the logarithm of the distance ratio (d/d0) is shown in Figure 3a. In the range up to 10 m, this function is close to linear, then linearity is lost (the power-law dependence of signal power on distance is violated). In this regard, the question arises, what is considered index n? Should we calculate it for the linear part or include the nonlinear part as well? The attenuation index depends on the set of measurements for the different distances at which the approximation is made. Thus, if we want to stay within the power law, we have to determine the range of distances over which it operates (within certain limits).
The answer to this question can be given as follows: we want to find the maximum range in which the distance error median, when using the power law of power attenuation, does not exceed a given value, e.g., 1 m, which is good accuracy for systems based on signal power measurement. In order to identify a linear section, the sets of distances from 1 m to di, di = 2, 3, … k, were successively considered, where k is the maximum distance for a particular experiment. For each of these distance sets [1, 2], [1, 2, 3], …, [1, …, k], the attenuation index n was calculated. Using the value of n, distance errors were determined for each distance. The limit distance dlim was taken to be the maximum distance at which the maximum median error did not exceed 1 m. The value of n obtained for the set of distances [1, …, dlim] was further considered as the attenuation index for this scenario and for these specific measurement conditions.
Using the measured signal strengths and the estimate of the attenuation index, we estimated the distances d*. The estimated and actual distances are compared in Figure 3b, where the diagonal corresponds to a perfect match, and deviation from the diagonal corresponds to the distance estimation error. This figure shows how power measurement errors lead to distance errors. Each of the curves corresponding to different scenarios also shows the standard deviation of the distance measurement error at a given point. As can be seen from the figure, the power spreads at each point are much smaller than the large-scale power variation with distance, most likely due to the presence of the second ray reflected from the earth’s surface [16].
In Figure 3c–e for scenarios O1–O4 the mean absolute error, standard deviation and relative error are plotted as functions of distance, respectively. The deviation of the power-distance dependence from the power law strongly affects the magnitude of the error, which increases with distance and can reach half the distance (Figure 3c).
Figure 3 and Figure 4 show us the dependence of the distance error on the actual distance. Figure 4 shows boxplot for each of the points at which the distance was estimated. As can be seen, the median errors follow the trend (they are regular). The deviation from the median value increases with distance, which is explained by the presence of a systematic error of the distance measurement method [15]. This systematic error is due to the limited number of ADC quantization levels in the receiver threshold device, which limits the resolution of the power measurement method. Since the threshold level of the log detector is discrete, the measurement error increases with increasing distance (and decreasing received signal power). Theoretical estimates of measurement error for this method are given in [15].
In all four series, the dependence of the measured power on distance has a similar type of behavior, namely, up to a certain limiting distance dlim the signal power obeys a power law, then the law is violated and large-scale fluctuations in signal power are observed. This behavior is explained by the presence of two rays (direct and reflected from the earth’s surface), which add up at the reception point and significantly affect the power of the total signal, and also deviate it from a power-law dependence. The theoretical two-ray model of UWB signal propagation is described in detail in [16].
The area where the power-law dependence is preserved depends on the height of the emitter and receiver above the ground: the higher the suspension point, the larger this area, i.e., the larger the range of distances at which high accuracy is achieved.
Table 1 summarizes the experimental results for the four scenarios. The calculated values of the attenuation index n, the value of the limiting distance dlim at which the maximum median error does not exceed 1 m, the values of MAE, MedAE, STD, RMSE, and relative error averaged over the distance range [1, dlim] are given.
To obtain an idea of the accuracy that can be achieved by focusing only on the linear section, Table 2 shows the errors over the entire range of measured distances [1, dmax] at the value of the attenuation index n calculated on the linear section of the dependence of (PdP0) [dBm] on (d/d0).
In four series of outdoor experiments at distances up to 10–15 m, the average absolute error was 0.21 m, the average median error was 0.21 m, the average RMSE was 0.23 m, the average standard deviation was 0.07 m, and the average relative error was 2.6%.
The results of all four scenarios are united by the presence of a common range of distances from the emission point to 10–15 m, within which the median error is ~0.2 m (see Table 1). Next, a region begins where the dependence of (PdP0) [dBm] on (d/d0) ceases to be linear (the power-law dependence of power on distance is lost) and the error increases. As a result, at distances of about 30–35 m, the median error increases to 3.4 m (see Table 2).

4.2. Indoor Experiments in a Corridor

For all indoor scenarios, the scheme of measurements was the same (Figure 5).
The experiment was carried out in a corridor 4.6 m high, 3.1 m wide, and 45.5 m long. Two receivers were located on a line at a distance of d12 = 19 m from each other on tripods at a height of h = 2 m above the floor. Between them, on the same line a signal emitter was placed under LOS conditions (Figure 5). During the measurements, the position of the receiver was fixed, and the emitter was moved along the same line. The distance between the emitter and receiver varied from 1 to dmax = 18 m in 1 m steps.
The introduction of receiver R2 is a feature of the experiment arrangement. In indoor experiments, receivers R1 and R2 were located in different parts of the room, so that the propagation conditions were different (different configurations of reflective surfaces), which allowed us to increase the set of scenarios and thereby enrich the experimental data. To reduce laborious operations (e.g., installing the emission source at different points of the room) and the time of the experiment, data from R1 and R2 were taken in one pass. The results for each receiver were analyzed independently.
The two series of measurements obtained with two different receivers are hereafter referred to as C1 and C2. Two other series of measurements (C3 and C4) were performed under the same conditions, but to reduce the spread of values in the receiver, we additionally processed (“sifted”) the measurement results and took the minimum value from every 50 consecutive measurements (sliding window).
Measurements in the corridor show qualitatively the same dependencies as in open areas. There is an initial section within which the change in power is described by a power law with a high degree of accuracy (Figure 6a). Therefore, once we have determined the attenuation rate in this region, we can measure the distance inside with an average median error of ~30 cm (see Table 3).
This is followed by a pattern of deviation from the power law, similar to that observed in open areas, caused by the presence of rays reflected from the surfaces of the floor, ceiling, and walls, which leads to the appearance of slowly changing trends.
The measured distances and the actual distances are compared in Figure 6b. In Figure 6c–e for different scenarios, the mean absolute error, standard deviation, and relative error are shown as functions of distance, respectively.
Figure 7 shows the distance estimation error (boxplot) versus actual distance for scenarios C1–C4.
In Table 3, the experimental results for four corridor scenarios (C1–C4) for the distance range [1, dlim] are presented. In Table 4, the results on errors are given, calculated over the entire range of measured distances [1, dmax] for the value of the attenuation index n, calculated over the linear section of the dependence of (PdP0) [dBm] on the logarithm of (d/d0).
The average absolute error in four series of experiments C1–C4 at distances up to 6–7 m was 0.31 m, the average median error was 0.31 m, the average RMSE was 0.32 m, the average standard deviation was 0.04 m, and the average relative error was 8.3%.
At distances up to 18 m, the average absolute error in four series of experiments C1–C4 was 1.22 m, the average median error was 1.23 m, the average RMSE was 1.23 m, the average standard deviation was 0.1 m, and the average relative error was 12.2%.
Results for scenarios C1–C4 were obtained on the same day and under the same conditions. Series of measurements C1 and C3 were obtained with receiver R1 (Figure 5), the position of which did not change in both series of experiments. In series C1, raw data were used, and in series C3, measurements were further processed in a sliding window. The results for C2 and C4 were obtained with receiver R2. In scenario C4, measurements were also further processed. Analysis of the graphs in Figure 7 shows that if we ignore the outliers (blue dots), then we observe good agreement between the results obtained for the same receiver in different experiments. That is, the results for pairs C1 and C3, and C2 and C4, are practically repeated up to the difference in the error spread for each of the distances, which is associated with processing the measurement results in scenarios C2 and C4. This suggests that the measurement results are determined primarily by the geometry of the room, and the signal power measurements are quite stable and slightly susceptible to random fluctuations. For large variations in signal strength due to multipath propagation, observed at distances greater than 6 m, one can try to eliminate using fingerprinting-like approaches.

4.3. Experiments in a Corridor with a Large Number of Metal Structures

The experiments were carried out in the basement, in a corridor 2.6 m high, 2.9 m wide, and 46.3 m long. The corridor contained a large number of different metal structures: beams and purloins, cabinets, and boxes along the entire length of the corridor.
Two receivers were also used (Figure 5), located at a distance of d12 = 41 m. On the line between them, under LOS conditions, a signal emitter was placed. During the measurements, the position of the receivers was fixed, and the emitter moved between them in a straight line. The distance between the emitter and receiver varied from 1 to dmax = 40 m in steps of 1 m.
Several series of measurements were carried out. In series B1 and B2, the height of the tripods on which the emitter and receivers were mounted was 2 m. In series B3 and B4, the height of the tripods was 1 m.
The power difference (PdP0) [dBm] as a function of the logarithm of the distance ratio (d/d0) is shown in Figure 8a. Unlike the outdoor scenario, here, the power-law dependence of signal power on distance breaks down at shorter distances (about 6–7 m). The measured distance d* and the actual distance d are compared in Figure 8b. In Figure 8c–e for different scenarios, the mean absolute error, standard deviation, and relative error are plotted as functions of distance, respectively.
At a height of 2 m, the tripod stands almost at the level of the doorway, which is located at a distance of 29.4 m from the first receiver and at 8.4 m from the second receiver. This may explain the sharp degradation in quality for scenarios B1 and B2 at these distances.
Basement measurements provide a clear example of the dramatic effect of multiple reflections on the estimated signal strength. Whereas outdoors or in a corridor without metal structures the presence of a regular oscillating trend is clearly visible, associated with the second ray reflected from the earth’s surface, then in a place with numerous reflective surfaces unevenly surrounding the emitter and receiver, the regular structure of power oscillations is completely lost outside the area close to the emitter, where the direct path prevails, and where the power-law dependence of the received power on distance applies. This effect of numerous reflective surfaces once again emphasizes the difficulty of determining distance in such conditions.
The area where the average error is 0.56 m extends to 5–8 m (see Table 5), and then we are dealing with unpredictable and irregular variations in signal power and the relative error reaching 100–200% (Figure 8d). Nevertheless, even in such conditions, trends (albeit irregular) still exist, so a fingerprinting method could be applied here in the future.
Figure 9 shows distance estimation errors (boxplot) versus actual distance for scenarios B1–B4.
Table 5 presents the experimental results for four scenarios in the corridor with a large number of metal structures (B1–B4) for the distance range [1, dlim]. Table 6 shows the errors calculated over the entire range of measured distances [1, dmax] for the value of the attenuation index n, calculated over the linear section of the dependence of (PdP0) [dBm] on the logarithm of (d/d0).
In four series of experiments in the corridor with a large number of metal structures, at distances up to 5–8 m the average absolute error was 0.56 m, the average median error was 0.56 m, RMSE was 0.56 m, the average standard deviation was 0.05 m, and the average relative error was 11.8%.
At distances up to 40 m in four series of experiments, the average absolute error was 6.04 m, the average median error was 6.04 m, the average RMSE was 6.06 m, the average standard deviation was 0.27 m, and the average relative error was 28.9%.

4.4. Experiments in the Conference Hall

The experiment was carried out in an empty conference hall 4.1 m high, 10.4 m wide, and 18.6 m long.
Two receivers were located at a distance d12 = 8 m from each other on stands with a height of h = 2 m (Figure 5). Between them, on the line connecting the receivers, a signal emitter was placed under LOS conditions. During the measurements, the position of the receiver was fixed, and the emitter was moved along the same line. The distance between the emitter and receiver varied from 1 m to dmax = 7 m in 1 m steps.
Several series of measurements were carried out.
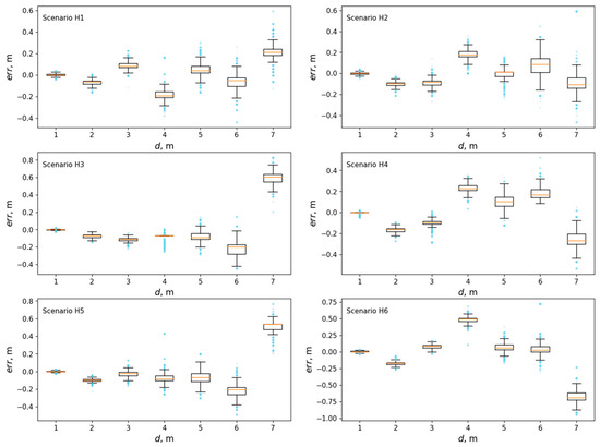
Series H1 and H2, H3 and H4 were performed on different days. Series H5 and H6 were carried out under the same conditions as H3 and H4, but with a different antenna orientation: the antenna was rotated around the vertical axis by 90 degrees.
The dependence of the power difference (PdP0) [dBm] on the logarithm of the distance ratio (d/d0) is shown in Figure 10a. In this case, the characteristic dimensions of the hall coincide with the power-law portion of the dependence of signal power on distance, which is confirmed by the measurement results. A wide, uniform space without large reflective surfaces gives an average measurement error of 0.15 m over distances up to 7 m (see Table 7).
The measured distance d* and the actual distance d are compared in Figure 10b. In Figure 10c–e for different scenarios, the mean absolute error, standard deviation, and relative error are plotted as functions of distance, respectively.
Figure 11 shows distance estimation errors (boxplot) versus actual distance for scenarios H1–H6.
Experimental results for six scenarios in a conference hall (H1–H6) for the distances up to dlim are given in Table 7. Here, the value of dlim coincides with dmax.
In six series of experiments in the conference hall, at distances up to 7 m the average absolute error was 0.15 m, the average median error was 0.14 m, RMSE was 0.15 m, the average standard deviation was 0.04 m, and the average relative error was 3.4%.

4.5. Experiments in an Office Space

The experiments were carried out in a laboratory room (office) 4 m high, 6.1 m wide, and 6.4 m long.
Two receivers were located at a distance d12 = 5 m from each other on stands with a height of h = 1.65 m (Figure 5). Between them, on the line connecting the receivers, a signal emitter was placed under LOS conditions. During the measurements, the position of the receiver was fixed, and the emitter was moved along the same line. The distance between the emitter and receiver varied from 0.5 m to dmax = 4.5 m with 0.25 m steps.
Two series of measurements were carried out for two pairs of receivers located in different parts of the room (series L1–L4).
The dependence of the power difference (PdP0) [dBm] on the logarithm of the distance ratio (d/d0) is shown in Figure 12a. The measured distance d* and the actual distance d are compared in Figure 12b. In Figure 12c–e for different scenarios, the mean absolute error, standard deviation, and relative error are plotted as functions of distance, respectively.
In office premises, the distances between the emitter and the receiver are small, so the dependence of the power difference (PdP0) [dBm] on the logarithm of the distance ratio (d/d0) is almost linear over the entire range of distances.
Figure 13 presents the distance estimation error (boxplot) for each of the actual distances for scenarios L1–L4.
Experimental results for four scenarios in an office premises (L1–L4) for the distances up to dlim are given in Table 8. Here, the value of dlim coincides with dmax.
In four series of experiments in the office environment, at distances up to 4.5 m the average absolute error was 0.16 m, the average median error was 0.15 m, RMSE was 0.16 m, the average standard deviation was 0.04 m, and the average relative error was 5.9%.

5. Discussion

The main prerequisite for the use of UWB signals in ranging tasks, one way or another, is the desire to increase accuracy by reducing the influence of multipath channel interference. Theoretical methods for reducing multipath interference have been known for a long time and, as a rule, they are all associated with coherent signal processing. At the same time, noncoherent processing still remains a technically simple alternative.
The noise-like signal shape and narrow autocorrelation function of UWB chaotic signals provide multipath immunity, i.e., they guarantee the absence of multipath fading, which, in turn, protects us from large fluctuations in the measured power. This helps improve measurement accuracy by reducing the influence of small-scale fading and allows only large-scale power changes to be taken into account, as directly evidenced by the experimental results presented in this study.
Thus, in all our experiments, we observed a small spread of power values (3–5 dBm) at each measurement point and did not have small-scale power changes at neighboring points, compared to the 10–30 dBm variations typical for narrowband systems (see [24,25,26]).
The results obtained in this work are of interest from the point of view of the stability of signal power estimation. They directly indicate that under the same conditions of signal propagation, the measurement accuracy and the character of the signal change are the same. This forms the physical basis for further research in the direction of creating radio maps of premises and developing related methods for increasing the accuracy of measurements. In this study, we deliberately avoided using post-processing in order to capture the original results in a “clean” form, thereby creating a baseline for further research into methods to improve accuracy.
In this context, the use of chaotic UWB radio pulses should be a good ground for the application of various kinds of methods: machine learning, fingerprinting, etc., i.e., everything that works well on slowly changing trends.
Here, we considered the situation of stable (static) conditions and the LOS case. This was intentional, because for the type of signal used in this work, the data on propagation are extremely scarce. Therefore, (1) in the first step it was necessary to obtain data for simple and transparent conditions that could be analyzed and used as a starting point; (2) rapidly changing, unstable conditions and NLOS situations are too dependent on the specific implementation of the experiment and it is difficult to draw any general conclusions from them. The study of more complex situations and the development of methods to overcome the instability of wireless channels will be the subject of further work.
Practical implementation of ranging and positioning systems based on chaotic UWB signals is possible in wireless networks, where the position of an unknown device is determined relative to a system of beacons using differential approaches. The distance between the beacons is known and does not change in time, so reference values d0 and P0 can be obtained for them, with the help of which the position of the unknown node can be found. In principle, this approach is similar to TDOA schemes, where differential values are also determined, not by power, but by the signal propagation time.
When solving practical problems, it is necessary to take into account that there are two scales of distance, which is why we present two statistics for average values. At short distances, the error is small and it is possible to measure distances quite reliably; at long distances, the variations in signal power increase significantly, and the distance estimation becomes unreliable. Determining the boundaries of these areas was one of the goals of the work.

6. Conclusions

The paper presents the results of experimental measurements of the power of UWB chaotic radio pulses as a function of distance. The results obtained define the limits of application of the distance evaluation method using chaotic UWB radio pulses in indoor conditions based on the power law.
The developed methods for measuring power and the identified patterns of changes in signal power depending on the distance from the emitter will form the basis for the development of methods for positioning mobile objects based on fingerprinting approach.

Author Contributions

Conceptualization, E.V.E.; methodology, E.V.E. and L.V.K.; software, E.V.E.; experiment, E.V.E.; formal analysis, E.V.E.; investigation, E.V.E. and L.V.K.; writing—original draft preparation, E.V.E. and L.V.K. All authors have read and agreed to the published version of the manuscript.

Funding

This work was funded by the Russian Science Foundation № 23-29-00883, https://rscf.ru/en/project/23-29-00883/ (accessed on 8 July 2024).

Data Availability Statement

The original contributions presented in the study are included in the article.

Acknowledgments

The authors thank Yu. V. Andreyev for fruitful comments on the work.

Conflicts of Interest

The authors declare no conflicts of interest.

References

  1. Sesyuk, A.; Ioannou, S.; Raspopoulos, M. A Survey of 3D Indoor Localization Systems and Technologies. Sensors 2022, 22, 9380. [Google Scholar] [CrossRef]
  2. Hayward, S.; van Lopik, K.; Hinde, C.; West, A. A Survey of Indoor Location Technologies, Techniques and Applications in Industry. Internet Things 2022, 20, 100608. [Google Scholar] [CrossRef]
  3. Farahsari, P.S.; Farahzadi, A.; Rezazadeh, J.; Bagheri, A. A Survey on Indoor Positioning Systems for IoT-Based Applications. IEEE Internet Things J. 2022, 9, 7680–7699. [Google Scholar] [CrossRef]
  4. Roriz, R.; Cabral, J.; Gomes, T. Automotive LiDAR Technology: A Survey. IEEE Trans. Intell. Transp. Syst. 2022, 23, 6282–6297. [Google Scholar] [CrossRef]
  5. Bourdoux, A.; Barreto, A.N.; van Liempd, B.; de Lima, C.; Dardari, D.; Belot, D.; Lohan, E.S.; Seco-Granados, G.; Sarieddeen, H.; Wymeersch, H.; et al. 6G White Paper on Localization and Sensing. arXiv 2020, arXiv:eess.SY/2006.01779. [Google Scholar] [CrossRef]
  6. Win, M.Z.; Scholtz, R.A. Impulse radio: How it works. IEEE Commun. Lett. 1998, 2, 36–38. [Google Scholar] [CrossRef]
  7. Sahinoglu, Z.; Gezici, S.; Güvenc, I. Ultra-Wideband Positioning Systems: Theoretical Limits, Ranging Algorithms, and Protocols; Cambridge University Press: Cambridge, UK, 2008. [Google Scholar] [CrossRef]
  8. Alarifi, A.; Al-Salman, A.; Alsaleh, M.; Alnafessah, A.; Al-Hadhrami, S.; Al-Ammar, M.A.; Al-Khalifa, H.S. Ultra Wideband Indoor Positioning Technologies: Analysis and Recent Advances. Sensors 2016, 16, 707. [Google Scholar] [CrossRef]
  9. Che, F.; Ahmed, Q.Z.; Lazaridis, P.I.; Sureephong, P.; Alade, T. Indoor Positioning System (IPS) Using Ultra-Wide Bandwidth (UWB)—For Industrial Internet of Things (IIoT). Sensors 2023, 23, 5710. [Google Scholar] [CrossRef]
  10. Batra, A.; Balakrishnan, J.; Aiello, G.R.; Foerster, J.R.; Dabak, A. Design of a multiband OFDM system for realistic UWB channel environments. IEEE Trans. Microw. Theory Tech. 2004, 52, 2123–2138. [Google Scholar] [CrossRef]
  11. Lampe, J. Introduction to Chirp Spread Spectrum (CSS) Technology; IEEE: New York, NY, USA, 2003; Available online: https://ieee802.org/802_tutorials/03-November/15-03-0460-00-0040-IEEE-802-CSS-Tutorial-part1.ppt (accessed on 8 July 2024).
  12. Andreyev, Y.V.; Dmitriev, A.S.; Efremova, E.V.; Khilinsky, A.D.; Kuzmin, L.V. Qualitative theory of dynamical systems, chaos and contemporary wireless communications. Int. J. Bifurc. Chaos 2005, 15, 3639–3651. [Google Scholar] [CrossRef]
  13. Dmitriev, A.S.; Gerasimov, M.Y.; Itskov, V.V.; Lazarev, V.A.; Popov, M.G.; Ryzhov, A.I. Active wireless ultrawideband networks based on chaotic radio pulses. J. Commun. Technol. Electron. 2017, 62, 380–388. [Google Scholar] [CrossRef]
  14. Efremova, E.V.; Dmitriev, A.S.; Kuzmin, L.V. Measuring the Distance between an Emitter and a Receiver in the Wireless Communication Channel by Ultrawideband Chaotic Radio Pulses. Tech. Phys. Lett. 2019, 45, 853–857. [Google Scholar] [CrossRef]
  15. Efremova, E.V.; Kuzmin, L.V.; Itskov, V.V. Measuring Received Signal Strength of UWB Chaotic Radio Pulses for Ranging and Positioning. Electronics 2023, 12, 4425. [Google Scholar] [CrossRef]
  16. Andreyev, Y.V.; Petrosyan, M.M. Investigation of the Attenuation Rate of a Ultrawideband Wave Outdoors in a Two-Ray Model. J. Commun. Technol. Electron. 2023, 68, 1263–1270. [Google Scholar] [CrossRef]
  17. Andreyev, Y.V.; Petrosyan, M.M. Indoor Power Attenuation Model of Ultrawideband Waves. J. Commun. Technol. Electron. 2023, 68, 1271–1277. [Google Scholar] [CrossRef]
  18. Kuz’min, L.V. Noise immunity of the wireless communications scheme based on ultrawideband chaotic radio pulses in multipath channels. J. Commun. Technol. Electron. 2011, 56, 367–383. [Google Scholar] [CrossRef]
  19. Kuzmin, L.V.; Grinevich, A.V.; Ushakov, M.D. An Experimental Investigation of the Multipath Propagation of Chaotic Radio Pulses in a Wireless Channel. Tech. Phys. Lett. 2018, 44, 726–729. [Google Scholar] [CrossRef]
  20. Andreyev, Y.V.; Dmitriev, A.S.; Lazarev, V.A.; Ryzhov, A.I. Experimental study of indoor propagation of ultrawideband chaotic signal. Achiev. Mod. Radioelectron. 2013, 3, 55–66. (In Russian) [Google Scholar]
  21. Kwon, D.H.; Kim, Y.; Chubinsky, N. A printed dipole UWB antenna with GPS frequency notch function. In Proceedings of the 2005 IEEE Antennas and Propagation Society International Symposium, Washington, DC, USA, 3–8 July 2005; Volume 3A, pp. 520–523. [Google Scholar] [CrossRef]
  22. Molisch, A.; Balakrishnan, K.; Cassioli, D.; Chong, C.; Emami, S.; Fort, A.; Karedal, J.; Kunish, J.; Schantz, H.; Siwiak, K. 802.15.4a Channel Model–Final Report. 2004, pp. 1–40. Available online: https://www.ieee802.org/15/pub/04/15-04-0662-02-004a-channel-model-final-report-r1.pdf (accessed on 8 July 2024).
  23. Molisch, A.F. Ultra-Wide-Band Propagation Channels. Proc. IEEE 2009, 97, 353–371. [Google Scholar] [CrossRef]
  24. Zanella, A. Best Practice in RSS Measurements and Ranging. IEEE Commun. Surv. Tutor. 2016, 18, 2662–2686. [Google Scholar] [CrossRef]
  25. Briso, C.; Calvo, C.; Xu, Y. UWB Propagation Measurements and Modelling in Large Indoor Environments. IEEE Access 2019, 7, 41913–41920. [Google Scholar] [CrossRef]
  26. Golestanian, M.; Lu, H.; Poellabauer, C.; Kenney, J. RSSI-Based Ranging for Pedestrian Localization. In Proceedings of the IEEE 88th Vehicular Technology Conference (VTC-Fall), Chicago, IL, USA, 27–30 August 2018; pp. 1–5. [Google Scholar] [CrossRef]
Figure 1. Ranging network nodes: (a) a UWB chaotic radio pulse emitter node on the FPGA prototyping board DE10-Lite and (b) the chaotic radio pulse receiver node on the STM32 Nucleo-F746ZG prototyping board.
Figure 1. Ranging network nodes: (a) a UWB chaotic radio pulse emitter node on the FPGA prototyping board DE10-Lite and (b) the chaotic radio pulse receiver node on the STM32 Nucleo-F746ZG prototyping board.
Technologies 12 00141 g001
Figure 2. Outdoor experiment setup. T—emitter, R—receiver, h—tripod height, d—distance between emitter and receiver, dmax—maximum distance between emitter and receiver.
Figure 2. Outdoor experiment setup. T—emitter, R—receiver, h—tripod height, d—distance between emitter and receiver, dmax—maximum distance between emitter and receiver.
Technologies 12 00141 g002
Figure 3. Scenarios O1–O4: (a) the signal strength versus logarithm of distance; (b) the measured distance versus actual distance; (c) the average absolute error of the distance measurement versus distance; (d) standard deviation of the distance measurement error versus distance; (e) the relative distance error versus distance.
Figure 3. Scenarios O1–O4: (a) the signal strength versus logarithm of distance; (b) the measured distance versus actual distance; (c) the average absolute error of the distance measurement versus distance; (d) standard deviation of the distance measurement error versus distance; (e) the relative distance error versus distance.
Technologies 12 00141 g003
Figure 4. Distance measurement error err(d) as a function of distance for scenarios O1–O4. Orange—median value, rectangle—interquartile interval, blue—outliers.
Figure 4. Distance measurement error err(d) as a function of distance for scenarios O1–O4. Orange—median value, rectangle—interquartile interval, blue—outliers.
Technologies 12 00141 g004
Figure 5. Indoor experiment layout. T—emitter, R1—receiver 1, R2—receiver 2, h—tripod height, d12—distance between receivers R1 and R2, d—distance between emitter and receiver, dmax—maximum distance between emitter and receiver.
Figure 5. Indoor experiment layout. T—emitter, R1—receiver 1, R2—receiver 2, h—tripod height, d12—distance between receivers R1 and R2, d—distance between emitter and receiver, dmax—maximum distance between emitter and receiver.
Technologies 12 00141 g005
Figure 6. Scenarios C1–C4: (a) signal power as a function of the logarithm of distance; (b) measured distance versus actual distance; (c) mean absolute distance error versus distance; (d) standard deviation of distance error versus distance; (e) relative distance error versus distance.
Figure 6. Scenarios C1–C4: (a) signal power as a function of the logarithm of distance; (b) measured distance versus actual distance; (c) mean absolute distance error versus distance; (d) standard deviation of distance error versus distance; (e) relative distance error versus distance.
Technologies 12 00141 g006
Figure 7. Distance estimation error versus distance for scenarios C1–C4. Orange—median value, rectangle—interquartile interval, blue—outliers.
Figure 7. Distance estimation error versus distance for scenarios C1–C4. Orange—median value, rectangle—interquartile interval, blue—outliers.
Technologies 12 00141 g007
Figure 8. Scenarios B1–B4: (a) signal power as a function of the logarithm of distance; (b) measured distance versus actual distance; (c) mean absolute distance error versus distance; (d) standard deviation of distance error versus distance; (e) relative distance error versus distance.
Figure 8. Scenarios B1–B4: (a) signal power as a function of the logarithm of distance; (b) measured distance versus actual distance; (c) mean absolute distance error versus distance; (d) standard deviation of distance error versus distance; (e) relative distance error versus distance.
Technologies 12 00141 g008
Figure 9. Distance measurement error versus distance for scenarios B1–B4. Orange—median value, rectangle—interquartile interval, blue—outliers.
Figure 9. Distance measurement error versus distance for scenarios B1–B4. Orange—median value, rectangle—interquartile interval, blue—outliers.
Technologies 12 00141 g009
Figure 10. Scenarios H1–H6: (a) signal power as a function of the logarithm of distance; (b) measured distance versus actual distance; (c) mean absolute distance error versus distance; (d) standard deviation of distance error versus distance; (e) relative distance error versus distance.
Figure 10. Scenarios H1–H6: (a) signal power as a function of the logarithm of distance; (b) measured distance versus actual distance; (c) mean absolute distance error versus distance; (d) standard deviation of distance error versus distance; (e) relative distance error versus distance.
Technologies 12 00141 g010
Figure 11. Distance measurement error versus distance for scenarios H1–H6. Orange—median value, rectangle—interquartile interval, blue—outliers.
Figure 11. Distance measurement error versus distance for scenarios H1–H6. Orange—median value, rectangle—interquartile interval, blue—outliers.
Technologies 12 00141 g011
Figure 12. Scenarios L1–L4: (a) signal power as a function of the logarithm of distance; (b) measured distance versus actual distance; (c) mean absolute distance error versus distance; (d) standard deviation of distance error versus distance; (e) relative distance error versus distance.
Figure 12. Scenarios L1–L4: (a) signal power as a function of the logarithm of distance; (b) measured distance versus actual distance; (c) mean absolute distance error versus distance; (d) standard deviation of distance error versus distance; (e) relative distance error versus distance.
Technologies 12 00141 g012
Figure 13. Distance measurement error versus distance for scenarios L1–L4. Orange—median value, rectangle—interquartile interval, blue—outliers.
Figure 13. Distance measurement error versus distance for scenarios L1–L4. Orange—median value, rectangle—interquartile interval, blue—outliers.
Technologies 12 00141 g013
Table 1. Measurement results for scenarios O1–O4 at distances less than dlim.
Table 1. Measurement results for scenarios O1–O4 at distances less than dlim.
Outdoor Space
ScenarioO1O2O3O4
h, m2221
N2.061.932.092.07
dlim, m14131510
MAE, m0.230.140.280.20
MedAE, m0.230.130.280.19
RMSE, m0.240.170.290.20
STD, m0.070.070.080.04
rel, %3.02.02.52.8
Table 2. Measurement results for scenarios O1–O4 over the entire range of measured distances [1, dmax].
Table 2. Measurement results for scenarios O1–O4 over the entire range of measured distances [1, dmax].
Outdoor Space
ScenarioO1O2O3O4
h, m2221
N2.061.932.092.07
dmax, m18133135
MAE, m0.350.141.173.45
MedAE, m0.350.131.173.42
RMSE, m0.370.171.183.46
STD, m0.100.070.160.20
rel, %3.32.05.415.4
Table 3. Measurement results for scenarios C1–C4 at distances less than dlim.
Table 3. Measurement results for scenarios C1–C4 at distances less than dlim.
Corridor
ScenarioC1C2C3C4
h, m2222
n1.731.801.731.84
dlim, m7676
MAE, m0.360.230.350.31
MedAE, m0.360.220.360.32
RMSE, m0.360.240.350.39
STD, m0.050.040.030.06
rel, %8.96.98.19.2
Table 4. Measurement results for scenarios C1–C4 over the entire range of measured distances [1, dmax].
Table 4. Measurement results for scenarios C1–C4 over the entire range of measured distances [1, dmax].
Corridor
ScenarioC1C2C3C4
h, m2222
n1.731.801.731.84
dmax, m18181818
MAE, m1.520.981.50.88
MedAE, m1.530.971.510.89
RMSE, m1.530.201.500.90
STD, m0.110.120.070.08
rel, %14.310.413.810.3
Table 5. Measurement results for scenarios B1–B4 at distances less than dlim.
Table 5. Measurement results for scenarios B1–B4 at distances less than dlim.
Basement Corridor
ScenarioB1B2B3B4
h, m2211
n1.892.041.611.59
dlim, m5866
MAE, m0.341.010.450.43
MedAE, m0.341.010.450.43
RMSE, m0.351.010.460.44
STD, m0.040.040.050.05
rel, %9.117.811.38.8
Table 6. Measurement results for scenarios B1–B4 over the entire range of measured distances [1, dmax].
Table 6. Measurement results for scenarios B1–B4 over the entire range of measured distances [1, dmax].
Basement Corridor
ScenarioB1B2B3B4
h, m2211
n1.892.041.611.59
dmax, m40404040
MAE, m4.647.096.196.25
MedAE, m4.627.096.186.25
RMSE, m4.657.106.216.27
STD, m0.260.230.290.29
rel, %21.638.426.828.7
Table 7. Measurement results for scenarios H1–H6.
Table 7. Measurement results for scenarios H1–H6.
Conference Hall
ScenarioH1H2H3H4H5, ant_90H6, ant_90
h, m222222
n1.911.881.921.891.881.77
dlim, m777777
MAE, m0.100.090.170.150.150.22
MedAE, m0.100.080.170.150.150.22
RMSE, m0.110.100.170.160.150.23
STD, m0.040.040.030.040.040.04
rel, %2.52.53.33.83.15.2
Table 8. Measurement results for scenarios L1–L4.
Table 8. Measurement results for scenarios L1–L4.
Office (Lab Space)
ScenarioL1L2L3L4
h, m1.651.651.651.65
n1.591.601.741.79
dlim, m4.54.54.54.5
MAE, m0.200.170.170.09
MedAE, m0.190.170.170.09
RMSE, m0.210.180.170.10
STD, m0.040.050.040.04
rel, %76.76.33.6
Disclaimer/Publisher’s Note: The statements, opinions and data contained in all publications are solely those of the individual author(s) and contributor(s) and not of MDPI and/or the editor(s). MDPI and/or the editor(s) disclaim responsibility for any injury to people or property resulting from any ideas, methods, instructions or products referred to in the content.

Share and Cite

MDPI and ACS Style

Efremova, E.V.; Kuzmin, L.V. Wireless Ranging by Evaluating Received Signal Strength of UWB Chaotic Radio Pulses: Effects of Signal Propagation Conditions. Technologies 2024, 12, 141. https://doi.org/10.3390/technologies12090141

AMA Style

Efremova EV, Kuzmin LV. Wireless Ranging by Evaluating Received Signal Strength of UWB Chaotic Radio Pulses: Effects of Signal Propagation Conditions. Technologies. 2024; 12(9):141. https://doi.org/10.3390/technologies12090141

Chicago/Turabian Style

Efremova, Elena V., and Lev V. Kuzmin. 2024. "Wireless Ranging by Evaluating Received Signal Strength of UWB Chaotic Radio Pulses: Effects of Signal Propagation Conditions" Technologies 12, no. 9: 141. https://doi.org/10.3390/technologies12090141

APA Style

Efremova, E. V., & Kuzmin, L. V. (2024). Wireless Ranging by Evaluating Received Signal Strength of UWB Chaotic Radio Pulses: Effects of Signal Propagation Conditions. Technologies, 12(9), 141. https://doi.org/10.3390/technologies12090141

Note that from the first issue of 2016, this journal uses article numbers instead of page numbers. See further details here.

Article Metrics

Back to TopTop