Next Article in Journal
HUB3D: Intelligent Manufacturing HUB System
Next Article in Special Issue
Enhancing Diagnostic Accuracy for Skin Cancer and COVID-19 Detection: A Comparative Study Using a Stacked Ensemble Method
Previous Article in Journal
Numerical Simulation and Design of a Mechanical Structure of an Ankle Exoskeleton for Elderly People
 
 
Font Type:
Arial Georgia Verdana
Font Size:
Aa Aa Aa
Line Spacing:
Column Width:
Background:
Article

The Measurement of Contrast Sensitivity in Near Vision: The Use of a Digital System vs. a Conventional Printed Test

by
Kevin J. Mena-Guevara
1,
David P. Piñero
1,2,*,
María José Luque
3 and
Dolores de Fez
1
1
Department of Optics, Pharmacology and Anatomy, University of Alicante, 03690 San Vicente del Raspeig, Spain
2
Advanced Clinic Optometry Unit, Department of Ophthalmology, Medimar International Hospital, 03016 Alicante, Spain
3
Department of Optics, Optometry and Vision Sciences, University of Valencia, Burjassot, 46100 Valencia, Spain
*
Author to whom correspondence should be addressed.
Technologies 2024, 12(7), 108; https://doi.org/10.3390/technologies12070108
Submission received: 7 May 2024 / Revised: 3 July 2024 / Accepted: 7 July 2024 / Published: 9 July 2024

Abstract

In recent years, there has been intense development of digital diagnostic tests for vision. All of these tests must be validated for clinical use. The current study enrolled 51 healthy individuals (age 19–72 years) in which achromatic contrast sensitivity function (CSF) in near vision was measured with the printed Vistech VCTS test (Stereo Optical Co., Inc., Chicago, IL, USA) and the Optopad-CSF (developed by our research group to be used on an iPad). Likewise, chromatic CSF was evaluated with a digital test. Statistically significant differences between tests were only found for the two higher spatial frequencies evaluated (p = 0.012 and <0.001, respectively). The mean achromatic index of contrast sensitivity (ICS) was 0.02 ± 1.07 and −0.76 ± 1.63 for the Vistech VCTS and Optopad tests, respectively (p < 0.001). The ranges of agreement between tests were 0.55, 0.76, 0.78, and 0.69 log units for the spatial frequencies of 1.5, 3, 6, and 12 cpd, respectively. The mean chromatic ICS values were −20.56 ± 0.96 and −0.16 ± 0.99 for the CSF-T and CSF-D plates, respectively (p < 0.001). Furthermore, better achromatic, red–green, and blue–yellow CSF values were found in the youngest groups. The digital test allows the fast measurement of near-achromatic and chromatic CSF using a colorimetrically calibrated iPad, but the achromatic measures cannot be used interchangeably with those obtained with a conventional printed test.

1. Introduction

The use of modern technologies has modified our daily habits [1,2], especially following the COVID-19 pandemic, with the wide introduction of digital tools in academic [3] and work environments [4,5] and an exponential increase in their use. In the health context, many applications have been developed and released in digital stores (App Store and Google Play) for various purposes such as screening or diagnosis of distinct pathological conditions [6]. However, these tools require rigorous scientific studies to support and ensure their correct use in a clinical setting [6]. Among the applications/platforms that have been scientifically validated for clinical use, some evaluate visual acuity (VA) [7], stereopsis [8,9,10,11], achromatic contrast sensitivity function (CSF) [12], visual performance with a multifocal lens [13], and color vision [14].
As mentioned, several digital applications have been developed for the specific measurement of contrast sensitivity (CS), which is the ability of the visual system to distinguish objects against a set background. This type of clinical measurement is especially useful for characterizing visual performance in elderly patients, but it is not usually incorporated into routine optometric/ophthalmological examinations. Furthermore, the measurement of contrast sensitivity function over short distances is especially relevant when evaluating the outcomes of any procedure to compensate for presbyopia, such as multifocal contact lenses or intraocular lenses [15,16]. However, this parameter is not commonly used (only in very few studies), and researchers prefer to evaluate distance contrast sensitivity, which is expected to be affected less. One reason for that may be that this test can be considered time-consuming or difficult to perform, but this can be overcome by using the previously mentioned digital tests displayed on calibrated tablets.
Very few studies have tried to compare the results of a digital evaluation of CSF with those obtained with conventional tests [12,17,18,19,20]. Furthermore, most studies are focused on the evaluation of distance CSF. Bühren et al. [20] carried out a comparative study of achromatic CS under varying light conditions using three different instruments (FF-CATS at 4 m, FACT at optical infinity, and Pelli–Robson at 1 m) in three types of populations: healthy individuals under 50 years of age, healthy individuals over 50 years of age, and patients over 50 years of age with cataracts. In this study, the authors concluded that, under the different light conditions established, the results obtained with the evaluated instruments were not interchangeable. Rodriguez-Vallejo et al. [12] compared a new application (ClinicCSF) to measure CSF (at 2 m) with the iPad Retina against the Functional Acuity Contrast Test (FACT), confirming that there were no significant differences between tests when the same contrast sensitivity steps were used. However, no comparative analyses have been performed between printed and digital tests for measuring contrast sensitivity over short distances.
The Optopad digital tool is one of these new technologies for evaluating visual performance, and it was developed in collaboration between the Universities of Alicante and Valencia (Spain) [21]. This digital test has not yet been commercialized; thus, its use is restricted, but it has been validated for the detection of chromatic deficiencies (Optopad-Color) [14,22] and has been shown to be useful in characterizing achromatic and chromatic contrast sensitivity function (Optopad-CSF) over short distances [22,23]. This system was developed in an attempt to obtain a low-cost, portable digital tool for the evaluation of CSF and color vision in clinical settings, allowing a fast measurement procedure. Aside from the detection of chromatic anomalies, the intention was also to use advances in digital technology to create an easy-to-use test for measuring achromatic and chromatic CSF over short distances.
The evaluation of chromatic contrast sensitivity over short distances is a procedure that is not commonly performed in routine clinical practice, but its potential usefulness should be investigated further. To date, there have been a number of studies investigating the response of the visual system to chromatic contrast [24,25,26,27]. Our research group [28] conducted a comparative pilot study with 10 young subjects in which the effects produced by seven filters (three gray filters, four chromatic filters, and two low-vision lenses) on CSF were compared. This study concluded that, compared to gray filters of the same luminance, yellow filters may be useful when low achromatic contrasts are to be improved, although overall decreases in brightness may occur. Kim et al. [26] conducted a pilot study with 13 patients to record the differences obtained in the measurement of achromatic and chromatic CSF in near and far vision after varying luminance. They concluded that luminance causes a drop in the measure of contrast sensitivity, but it does not affect the shape of the CSF. After this, the same group conducted another study to establish normative values for achromatic and chromatic CSF measures [25]. However, it should be considered that the measurements were obtained at an intermediate distance (58 cm). These authors found higher sensitivity to the contrast of the L/M cone compared to the S cone and the achromatic responses. Wuerger et al. [24] evaluated the effect of the variation in luminance at two different distances, 91 cm (distance vision) vs. 45.5 cm (near vision), obtaining a luminance-dependent computational model predicted by the CSF for achromatic and chromatic stimuli of arbitrary size. Bodduluri et al. [29] conducted a comparative study of sensitivity to chromatic contrast (30 cm) in near vision with an application that operated on an iPad versus the results obtained with the Cambridge Color Test (CCT). The sample size was 100 healthy individuals. The authors concluded that, except for a game used to evaluate the blue–yellow contrast sensitivity, the CCT and tablet computer-based games showed similar repeatability, with comparable 95% limits of agreement. Wong et al. [27] performed color CS testing of each eye using Chromatest in a sample of 150 eyes of diabetic patients. This non-comparative study did not achieve results to justify use of Chromatest for screening, but it reinforced the changes seen in tritan color vision in diabetic retinopathy. The Optopad-CSF test also allows the evaluation of near chromatic CSF, but its clinical usefulness has not been investigated in detail. Only this test has been shown to be capable of detecting chromatic contrast sensitivity alterations in patients suffering from COVID-19 compared to age-matched healthy controls.
As previously mentioned, one critical aspect when a new digital test is developed is to confirm its clinical validity [6]. The validity of the measurements of near chromatic and achromatic CSF measurements obtained with the Optopad-CSF test is yet to be analyzed, and its clinical performance has not been compared with the performance of other tests for measuring near CSF. The aim of the current study was to analyze the performance of the Optopad-CSF test in a healthy population and to compare the data obtained with those provided by a conventional printed test that is considered as the gold standard.

2. Materials and Methods

2.1. Patients

This was a prospective cross-sectional clinical study that enrolled a total of 51 patients who underwent a complete visual examination at the Optometric Clinic of the University of Alicante. The inclusion criteria for the study were patients 18 years old or older and patients with no active ocular or systemic pathology compromising their visual function. Exclusion criteria included children, previous amblyopia, strabismus, and patients with any type of previous ocular surgery. The study received the approval of the Ethics Committee of the University of Alicante (Date: 26 February 2021. Exp. UA-2021-02-17) and was conducted following the standards of Good Clinical Practice and the international ethical principles applicable to research on humans (Declaration of Helsinki in its latest revision). All patients were informed about the nature of the study before their inclusion and provided signed consent to participate in it.

2.2. Clinical Tests

All patients had a complete eye examination including measurement of uncorrected and corrected distance and near visual acuity, manifest refraction, evaluation of ocular alignment with cover test, slit lamp biomicroscopy, measurement of stereopsis, and evaluation of near contrast sensitivity function at 40 cm with two different tests: the Vistech VCTS (Stereo Optical Co., Inc., Chicago, IL, USA) and the Optopad-CSF tests. With both tests, patches showing sinusoidal gratings with different spatial frequencies are presented and the subject must detect the orientation of the light–dark gratings. All measurements were performed in the right or left eye; the eye was selected randomly. Measurements were performed once after a clear explanation of the task. It should be considered that most of the tests performed were psychophysical measurements that could be very tiring for the patient. All these clinical examinations were performed by the same experienced optometrist (K.J.M.G.). Contrast sensitivity measurements were performed with the most optimal spectacle refractive correction in a darkened examination room.
The measurement with the Vistech VCTS test was performed in an iso-illuminated cabinet (a period of adaptation to experimental light conditions of 3 min was required before measurement) to prevent non-controlled illumination of the test or the presence of light reflexes that could interfere with the measurement procedure. A total of 5 spatial frequencies are evaluated with this test (FA = 1.5 cpd, FB = 3 cpd, FC = 6 cpd, FD = 12 cpd, and FE = 18 cpd), each one corresponding to each horizontal line containing the text. Along the line, a total of 8 contrast levels (Michelson contrast formula) are presented to determine the threshold for the spatial frequency evaluated. In our study, subjects were asked about the orientation of the gratings (left, right, center), starting from the easiest task (low frequency, high contrast) to the most difficult (high frequency, low contrast). The last correctly seen contrast in each line (each spatial frequency) was considered as the threshold, and the contrast sensitivity value was obtained (inverse of the discrimination threshold value).
A similar procedure was followed with the Optopad-CSF digital test, with a constant (maximum) illumination of the screen. Subjects were also asked about the orientation of the gratings (left, right, up), starting from the easiest task to the most difficult. The threshold contrast value was considered to be the average value between the last correctly seen stimulus and the first unseen stimulus. It should be considered that Optopad-CSF explores spatial CSF in achromatic and chromatic mechanisms. The test contains plates for measuring achromatic (CSF-A) (F1A = 1.5 cpd, F2A = 3 cpd, F3A = 6 cpd, F4A = 12 cpd, and F5A = 24 cpd), red–green (CSF-T), and blue–yellow (CSF-D) (F1C = 1 cpd, F2C = 2 cpd, F3C = 4 cpd, F4C = 8 cpd, and F5C = 12 cpd) spatial contrast sensitivity along the cardinal directions of DKL space [30]. Each CSF is measured by 5 plates, 1 for each spatial frequency evaluated. Each plate contains a series of sinusoidal gratings of achromatic or chromatic decreasing contrast (cone contrast formula) in 2-degree circular windows, arranged in a 4 × 4 grid on an achromatic background with the maximum generable luminance of the device. The orientation of the grid is randomly chosen from 3 possibilities (−15°, 0°, and 15°). The grille surround sound is, again, the achromatic stimulus of the device with 60 cd/m2. To minimize intrusions of the achromatic mechanism, chromatic grids include random achromatic noise.
The Optopad-CSF 1.0 is a fast and non-invasive method to characterize CSF at near distance on a portable electronic display device emitting polarized light (Apple iPad 6th Gen A1893). The iPad Retina screen used had a display size of 2048 × 1536 pixels at 267 pixels per inch, with a screen size of 9.7 in and 8-bit per-channel color resolution. To correctly reproduce the spatial and colorimetric characteristics of the designed stimuli, the device was previously colorimetrically characterized using the 3DLUT method [31].

2.3. Statistical Analysis

Statistical analysis was performed using the SPSS statistical software version 28.0.0 for Windows (IBM SPSS Inc., Chicago, IL, USA). Data distributions were not normally distributed according to the Kolmogorov–Smirnov test; as a result, non-parametric statistics were used. Differences between the CS measurements corresponding to the different spatial frequencies obtained with the digital and conventional procedures were assessed by using the Friedman test, with post hoc analysis with the Wilcoxon test and Bonferroni correction. The Bland–Altman method was used to analyze the level of clinical interchangeability between digital and conventional measures [32]. Spearman’s Rho correlation coefficient was calculated to investigate the relationship between different variables.
Only in the case of the comparison of the Optopad achromatic CSF with the VCTS test, both contrasts were calculated using the Michelson contrast formula. The comparison between the results of the two devices used to measure the CSF must be approached with care due to the different design and measurement characteristics of each device. In the current study, this problem was addressed by calculating the value of the index of contrast sensitivity (ICS), based on the study by Koefoed [17]. The normalized value of ICS is obtained by calculating the residuals, with respect to the median of the normal population, for each frequency. Differences were weighted according to the presumed clinical importance of each frequency. Thus, 6 cpd was assigned the highest power (factor 3), whereas the frequencies 3 and 12 cpd received factor 2, and the remaining test frequencies were not weighted.

3. Results

The sample included in this study was composed of 51 patients (51 eyes measured randomly), with a mean age of 36.3 ± 14.0 years (range: 19 to 72 years). There was a higher percentage of women than men (76.5% vs. 23.5%, respectively). The distribution of the eyes evaluated as a function of the refractive status was as follows: 39.2%, myopia; 17.6%, hyperopia; 17.6%, emmetropia; 11.8%, presbyopia; and 13.7%, a combination of myopia and presbyopia.

3.1. Comparative Analysis of Achromatic CSF Measured with Vistech VCTS and Optopad-CSF

Table 1 summarizes the results obtained with the printed and digital test in the sample evaluated. The contrast sensitivity values for each test were calculated using the Michelson contrast formula. No statistically significant differences were found between tests for the spatial frequencies of 1.5 (p = 0.161), 3 (p = 0.138), and 6 cpd (p = 0.378). However, significant differences were found in the contrast sensitivity (CS) measured for 12 cpd with both tests (p = 0.012). It should be considered that the highest spatial frequency in the Vistech VCTS test was 18 cpd, whereas it was 24 cpd in the Optopad-CSF test. Mean achromatic ICS values were 0.02 (standard deviation, SD: 1.07; median: 0.17; range: −2.37 to 1.90) and −0.76 (SD: 1.63; median: −1.24; range: −4.30 to 1.69) with the Vistech VCTS and Optopad tests, respectively. The difference was statistically significant (p < 0.001).
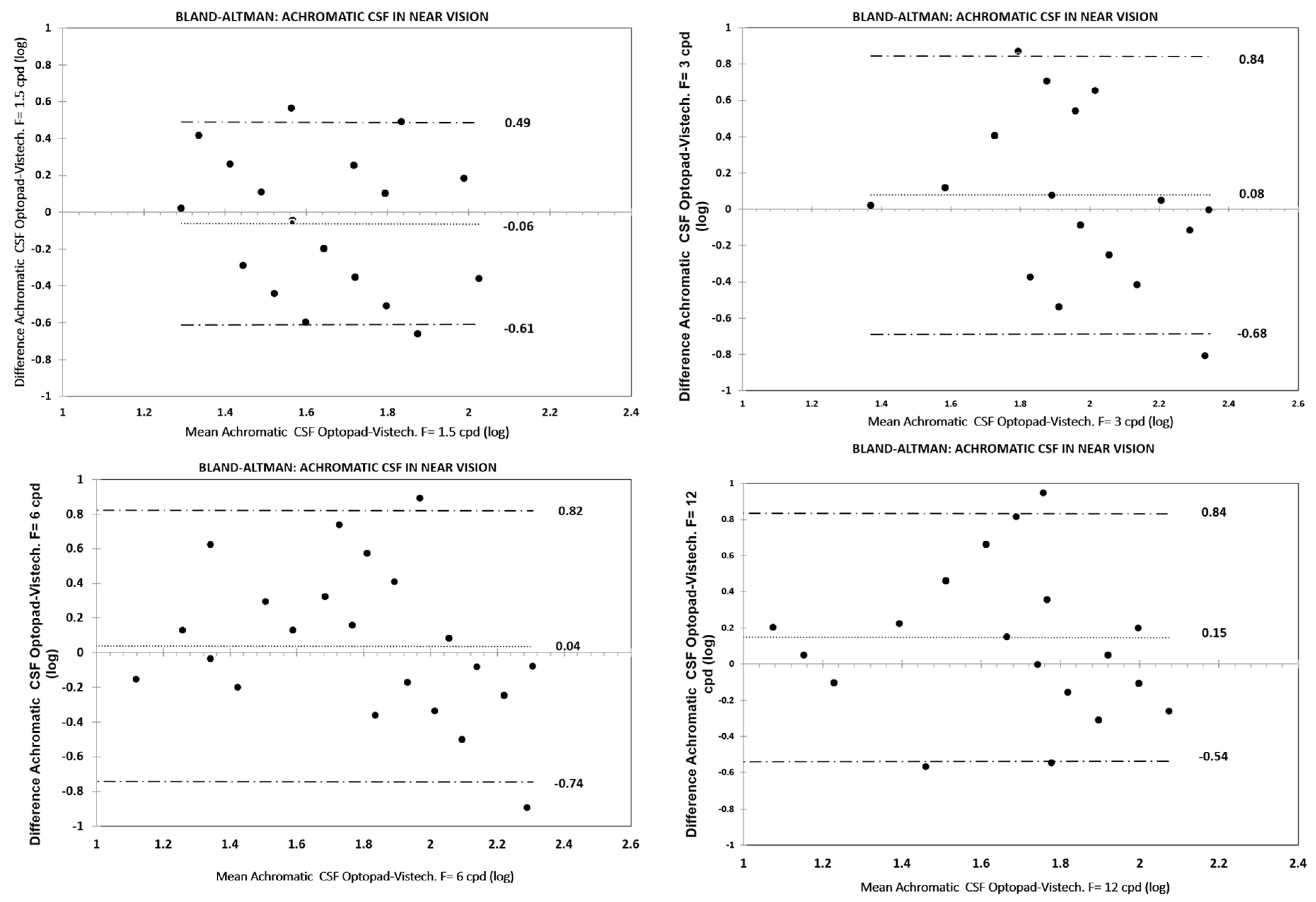
Bland–Altman plots were used to evaluate the level of interchangeability between tests in the near CS measured for the spatial frequencies of 1.5, 3, 6, and 12 cpd (Figure 1). Logarithmic values of CS were used in this comparison. As displayed in Figure 1, the limits of agreement were large and represented potential differences between systems for log CS corresponding to all the spatial frequencies evaluated with clinical relevance. The ranges of agreement, defined as 1.98 times the standard deviations of the differences, were 0.55, 0.76, 0.78, and 0.69 for the spatial frequencies of 1.5, 3, 6, and 12 cpd, respectively.
Table 2 shows the correlation of near CS values measured for each spatial frequency with each test with age. As shown, significant inverse correlations were found between CS and age for the highest spatial frequencies evaluated, although correlations between age and CS were weaker when using the Vistech VCTS test. Figure 2 shows the CSFs measured with Vistech and Optopad tests in groups of subjects defined according to age. As expected, higher CSFs were found in the younger groups with the two tests evaluated, although the Vistech VCTS showed nearly no difference between the first three decades.

3.2. Analysis of Chromatic CSF Measured with Optopad-CSF

Table 3 summarizes the results obtained with the digital test in terms of red–green (CSF-T) and blue–yellow (CSF-D) spatial contrast sensitivity in the sample evaluated. The contrast sensitivity values for each test were calculated using the cone contrast formula. The mean chromatic ICS values were −20.56 (SD: 0.96; median: −20.49; range: −22.20 to −17.94) and −0.16 (SD: 0.99; median: −0.25; range: −1.87 to 3.70) for the CSF-T and CSF-D plates, respectively. This difference was statistically significant (p < 0.001). Weak correlations were found between red–green and blue–yellow CS values for each spatial frequency evaluated. Likewise, as happened with the achromatic CSF, better red–green and blue–yellow CS values were found in the youngest groups of the sample evaluated (Figure 3).

4. Discussion

As previously mentioned, this study aimed to evaluate and compare two different methodologies for measuring near achromatic CSF: a printed conventional test (Vistech VCTS) (considered as the classic gold standard) and a digital test to be used in previously colorimetrically characterized tablets (Optopad-CSF). Thus, the interchangeability of a classic test and a new digital test for measuring near achromatic CSF in clinical practice is analyzed and can be confirmed. Furthermore, as the digital test permits the measurement of chromatic CSF, an analysis of red–green and blue–yellow CSF in the healthy population evaluated was performed to provide a characterization of these new aspects of the visual function for their use in future studies and clinical practice. To date, the Optopad-CSF test is the only currently available portable device for characterizing near chromatic CSF.

4.1. Comparison of Near Achromatic CSF Measured with Conventional and Digital Tests

Our comparative analysis revealed that there were significant differences between Vistech and Optopad tests in terms of near CSF only for higher spatial frequencies (12 cpd). However, differences between tests for the remainder of the spatial frequencies measured by both tests did not reach statistical significance. This is consistent with the results of Rodriguez-Vallejo et al. [12], who compared a new digital application to measure CSF at 2 m with an iPad Retina against the Functional Acuity Contrast Test (FACT), confirming that differences between tests were not significant when the same contrast sensitivity steps were used. However, despite the absence of significant differences between the Vistech and Optopad tests in the CSF for most of the spatial frequencies evaluated, both tests cannot be used interchangeably. Bland–Altman analysis revealed a significant scatter of the differences between tests for all spatial frequencies evaluated, with ranges of agreement over the inherent variability of the measurement obtained with both systems [22,23,33]. In addition, a slight trend of increased CS values with the Vistech VCTS test was observed, especially for the intermediate frequencies. These findings are coherent, as it should be considered that both tests were designed differently, presenting different contrast steps. Indeed, the higher number of contrast steps provided by the Optopad test may have allowed a more accurate determination of the contrast threshold in some cases.
In any case, both tests showed a correlation of the CS measures obtained with them and age, which confirms the capability of both tests for detecting age-related differences in CSF. It should be mentioned that not all correlations between CS measures obtained with the Vistech VCTS test and age reached statistical significance. Furthermore, in the comparison of CS values according to age, the digital application detected a decrease in the precise discrimination of CS with increasing age [34]. Thus, for all the spatial frequencies, age groups over 40 years of age showed such CS decrease. However, this decrease was only observed for patients over the age of 50 when measuring CSF with the Vistech VCTS test.
To the best of our knowledge, no comparative analysis between near CSF tests (including digital tests) has been performed to this date. Therefore, there is no possibility, according to the scientific evidence, of providing information about which near CSF tests should be used and which differences can be expected to be found with them. This is surprising considering that the measurement of near CSF is crucial when evaluating the efficacy of different methods of compensation for presbyopia [15,16,23,35,36]. However, very few studies used this variable to confirm how the optical correction method applied affects near visual quality. Possibly, an explanation for this could be the limited number of tests available for such purpose. However, more research should be performed on this to obtain information about how to better evaluate near visual performance with presbyopia correction options.

4.2. Measurement of Near Chromatic CSF

Although there are some studies investigating the response of the visual system to chromatic contrast [24,25,26,27,28,29], comparisons of our results with those from previous studies must be made very carefully, since, generally, the stimuli, lighting conditions, maximum luminance, reproduction devices, and color space can differ. In the case of sensitivity to achromatic contrast, this problem can be minimized by using the same definition of contrast (Michelson) and by comparing data using the ICS parameter [17]. In the case of sensitivity to chromatic contrast, the procedure to follow is not obvious. The color space and the chromatic characteristics of the stimuli can present a very wide variability among studies; this variability can determine the results.
As expected, considering differences in design between tests used for measuring near chromatic CSF in previous studies, our chromatic CSF results, in numerical terms, are very different from those obtained by previous authors, but some trends are shared. Specifically, our results show that when evaluating CSF in the three mechanisms using the cone contrast formula, the RG mechanism presents greater sensitivity than the achromatic mechanism and, in both cases, greater sensitivity than the BY mechanism, as has been shown in other studies [25,34,37]. Kim et al. [25] used a different cone contrast space than that used in our study and obtained the three contrast sensitivity functions using the qCSF approach. They found higher sensitivity measured at 58 cm to the contrast of the L/M cone compared to the S cone and the achromatic responses. Likewise, these authors found correlations between the two chromatic CSFs, but they concluded that these could be attributed to the narrow age range of the patients evaluated. Xu et al. [37] also proposed different conditions in their experiment compared to ours, with stimuli in the directions of cone contrast space but with white, red, yellow, and green backgrounds. Although the results of these two studies are not strictly comparable with ours, it was found that the shapes (band pass for A and low pass for RG and BY) and the relationships between the curves are similar. In our results, as previously mentioned, weak correlations were found between the red–green and blue–yellow CS values for each spatial frequency evaluated.

4.3. Correlation of Age and CS Measured with Optopad-CSF

Ashraf et al. [34] found that the decrease in sensitivity with age was more noticeable in the achromatic CSF for high spatial frequencies and in the chromatic CSFs for low spatial frequencies. These results did not exactly agree with those found in the study. The behavior of the curves was similar for the same lighting level used in our study, but the dependence on age seemed to be more remarkable for medium spatial frequencies for the three channels. This behavior was more evident if sensitivity values were expressed in dB. This difference may be due to the fact that Ashraf and colleagues [34] only evaluated two age groups, whereas five age groups were examined in our study.
Regarding the influence of age, Pearson et al. [38] studied the variation of achromatic and chromatic CS for two stimulus sizes and found that they agreed with the loss of retinal ganglion cells. These authors worked with contrast-sensitivity-modulated stimuli along the luminance, equiluminant L-cone, and equiluminant S-cone axes. The authors indicated that their results showing a decrease in CS with age (0.4–0.7 dB per decade) were consistent with those from other similar studies. Although the characteristics of the stimuli used in the test evaluated here were different, the CSF variation with age (in dB) for each spatial frequency and for the three measured channels was also analyzed. In CSF-A, the greatest decrease in sensitivity occurred between the first two decades (20 to 39) and the rest (40 to 69), especially for low and medium spatial frequencies. For the highest spatial frequencies, the greatest decrease occurred in the last decade. The variations were in the range between 0.1 and 0.5 dB per decade. In the CSF-T and D, the decrease varied between 0.1 and 0.2 dB per decade, a much more stable behavior than in the case of achromatic measurement. In both cases, the variations were smaller than those reported by Pearson et al. [38].

4.4. Limitations of the Study

This study has some limitations that should be acknowledged. First, the selection of a printed test as the gold standard for comparison can be considered as a potential limitation of the study, because this test only allows a very gross measurement of the CSF. It should be considered that our aim was to evaluate the clinical performance of a new low-cost, portable device to test near CSF, the Optopad test, that uses a Retina screen driven by an 8-bit graphic card. A graphic card with greater resolution would have been ideal for measuring the CSF more precisely but would have required a more expensive set-up not easily accessible for clinicians and may have only been useful for research purposes. The panel design of the Optopad test takes the limitations of the actual graphic card into account. In the first place, the low average luminance of the stimulus and the achromatic noise masking the chromatic stimuli and the high luminance of the surrounding area help to reduce the subject’s sensitivity: the lowest generable contrast is not visible by any of the subjects used in the design stage, and the lowest contrast in the panel is greater than this value. On the other hand, with the panel design, the subject’s threshold is not determined precisely, but it is determined by which fixed class or category this threshold belongs (the range between the last stimuli seen and the first stimuli not seen). In this line, it makes sense to compare our device with another with a similar measurement strategy, and for this reason, the VCTS test was chosen for comparison. The sample size can be considered as a second limitation of the study. The sample size could not be increased due to logistic problems. However, in the near future, we plan to enlarge it. Therefore, this study can be considered as the preliminary evidence of the potential usefulness of the Optopad test, which should be investigated further in future studies. Specifically, more analysis is required in studies with larger samples to better characterize the age-related changes in the measurements evaluated, as well as the influence of other factors such as sex or ethnicity.
Another aspect that may be considered as a potential limitation is that it is known that children and adults tend to have neural biases to gratings of different orientations [39]. As the test consists of the discrimination of the orientation of gratings, this potential preference may constitute a source of bias. However, this is especially present where there is an uncorrected refractive error, and in our sample, all subjects were evaluated with spectacle correction. Furthermore, the orientations of the gratings in the Optopad-CSF test are similar to those used in the VCTS test in order to avoid the well-known oblique effect that occurs in the human visual system when presenting gratings at 45°. Therefore, the potential contribution of this factor seems to be residual. In addition, none of the patients tested in our sample provided a response demonstrating a clear preference over a specific orientation, and consequently, this phenomenon was not a limiting factor.

5. Conclusions

In conclusion, the Optopad-CSF digital test allows rapid measurement of near achromatic and chromatic contrast sensitivity using a colorimetrically calibrated iPad. The chromatic and achromatic measurements provided by this device varied with age following a decreasing pattern compatible with those reported for other tests evaluating near contrast sensitivity. In terms of achromatic contrast sensitivity, the measurements obtained with the digital test cannot be used interchangeably with those provided by a conventional printed test (Vistech VCTS test). This lack of interchangeability may be mainly attributed to the different contrast steps used in each test. The digital test evaluated comprises more contrast step options; therefore, it presents a greater potential for providing accurate measurement of the contrast threshold. The measurements of the CSF in the three mechanisms using the cone contrast formula with the Optopad-CSF test are compatible with those obtained in previous experiments in terms of the shapes of the CSF curves (band pass achromatic CSF and low pass CSF-T and CSF-D) and the relationships between them. Considering that, in addition, similar age-related patterns were found in comparison to previous experiences with other tests, the Optopad-CSF provides a potentially useful measurement of near chromatic CSF. All this preliminary evidence must be investigated further in future studies with larger samples in order to define consistent ranges of normality for all CSF variables measured with this digital test. With this normality data, additional studies should be conducted with the Optopad-CSF test to confirm whether it can detect alterations in different types of conditions in which chromatic discrimination must be clearly affected.

Author Contributions

Conceptualization, D.d.F., D.P.P. and M.J.L.; methodology, D.d.F., D.P.P., M.J.L. and K.J.M.-G.; software, D.d.F. and M.J.L.; validation, D.d.F., D.P.P., M.J.L. and K.J.M.-G.; formal analysis, D.d.F., D.P.P. and K.J.M.-G.; investigation, D.d.F., D.P.P., M.J.L. and K.J.M.-G.; resources, D.d.F. and D.P.P.; data curation, K.J.M.-G.; writing—original draft preparation, K.J.M.-G.; writing—review and editing, D.d.F., D.P.P. and M.J.L.; visualization, D.d.F., D.P.P., M.J.L. and K.J.M.-G.; supervision, D.d.F. and D.P.P.; project administration, D.d.F. and D.P.P.; funding acquisition, D.d.F. and D.P.P. All authors have read and agreed to the published version of the manuscript.

Funding

Research action financed by Conselleria d’Innovació, Universitats, Ciència i Societat Digital of Generalitat Valenciana through the AICO/2021/130 project within the framework of grants to consolidated research groups AICO 2021.

Institutional Review Board Statement

This study was approved by the Ethics Committee of the University of Alicante (Date: 26 February 2021. Exp. UA-2021-02-17) and was carried out in accordance with the 1964 Helsinki declaration and its later amendments or comparable ethical standards.

Informed Consent Statement

Informed consent was obtained from all subjects involved in the study.

Data Availability Statement

Data are available upon reasonable request to the authors.

Conflicts of Interest

María José Luque and Dolores de Fez have the intellectual property of the Optopad-CSF test, which currently is not commercially available. All authors certify that they have no affiliations with or involvement in any organization or entity with any financial interest (such as honoraria; educational grants; participation in speakers’ bureaus; membership, employment, consultancies, stock ownership, or other equity interest; and expert testimony or patent-licensing arrangements).

References

  1. Soler, F.; Sánchez-García, A.; Molina-Martín, A.; Fez Saiz, D.D.; Díaz, V.; Piñero, D.P. Analysis of the characteristics of electronic equipment usage distance for common users. Guoji Yanke Zazhi (Int. Eye Sci.) 2021, 21, 1508–1514. [Google Scholar]
  2. Soler, F.; Sánchez-García, A.; Molina-Martin, A.; de Fez, D.; Díaz, V.; Piñero, D.P. Differences in visual working and mobile phone usage distance according to the job profile. Curr. Eye Res. 2021, 46, 1240–1246. [Google Scholar] [CrossRef] [PubMed]
  3. Hernández Yáñez, L. Jornada «Aprendizaje Eficaz con TIC en la UCM»; Ediciones Complutense: Madrid, Spain, 2022. [Google Scholar]
  4. Castro-Sánchez, A. El Uso de las TICs en la Prevención de Riesgos Laborales. Ph.D. Thesis, University of Valladolid, Valladolid, Spain, 2022. Available online: https://uvadoc.uva.es/handle/10324/55018 (accessed on 15 March 2023).
  5. Rono, H.; Bastawrous, A.; Macleod, D.; Wanjala, E.; Gichuhi, S.; Burton, M. Peek Community Eye Health—mHealth system to increase access and efficiency of eye health services in Trans Nzoia County, Kenya: Study protocol for a cluster randomised controlled trial. Trials 2019, 20, 502. [Google Scholar] [CrossRef] [PubMed]
  6. Mena-Guevara, K.J.; Piñero, D.P.; de Fez, D. Validation of digital applications for evaluation of visual parameters: A narrative review. Vision 2021, 5, 58. [Google Scholar] [CrossRef]
  7. Rodríguez-Vallejo, M.; Llorens-Quintana, C.; Furlan, W.D.; Monsoriu, J.A. Visual acuity and contrast sensitivity screening with a new iPad application. Displays 2016, 44, 15–20. [Google Scholar] [CrossRef]
  8. Mena-Guevara, K.J.; de Fez, D.; Molina-Martín, A.; Piñero, D.P. Binocular vision measurements with a new online digital platform: Comparison with conventional clinical measures. Clin. Exp. Optom. 2023. ahead of print. [Google Scholar] [CrossRef]
  9. Rodríguez-Vallejo, M.; Vicente Ferrando, D.M.; Monsoriu, J.A.; Furlan, W.D. Stereopsis assessment at multiple distances with an iPad application. Displays 2017, 50, 35–40. [Google Scholar] [CrossRef]
  10. Budai, A.; Czigler, A.; Mikó-Baráth, E.; Nemes, V.A.; Horváth, G.; Pusztai, Á.; Piñero, D.P.; Jandó, G. Validation of dynamic random dot stereotests in pediatric vision screening. Graefes Arch. Clin. Exp. Ophthalmol. 2019, 257, 413–423. [Google Scholar] [CrossRef]
  11. Portela-Camino, J.A.; Martín-González, S.; Ruiz-Alcocer, J.; Illarramendi-Mendicute, I.; Garrido-Mercado, R. An evaluation of the agreement between a computerized stereoscopic game test and the TNO stereoacuity test. Clin. Optom. 2021, 13, 181–190. [Google Scholar] [CrossRef]
  12. Rodríguez-Vallejo, M.; Remón, L.; Monsoriu, J.A.; Furlan, W.D. Designing a new test for contrast sensitivity function measurement with iPad. J. Optom. 2015, 8, 101–108. [Google Scholar] [CrossRef]
  13. Fernández, J.; Rodríguez-Vallejo, M.; Tauste, A.; Albarrán, C.; Basterra, I.; Piñero, D. Fast measure of visual acuity and contrast sensitivity defocus curves with an iPad application. Open Ophthalmol. J. 2019, 13, 15–22. [Google Scholar] [CrossRef]
  14. de Fez, D.; Luque, M.J.; Matea, L.; Piñero, D.P.; Camps, V.J. New iPAD-based test for the detection of color vision deficiencies. Graefes Arch. Clin. Exp. Ophthalmol. 2018, 256, 2349–2360. [Google Scholar] [CrossRef] [PubMed]
  15. Gil, M.A.; Varón, C.; Cardona, G.; Vega, F.; Buil, J.A. Comparison of far and near contrast sensitivity in patients symmetrically implanted with multifocal and monofocal IOLs. Eur. J. Ophthalmol. 2014, 24, 44–52. [Google Scholar] [CrossRef]
  16. García-Lázaro, S.; Albarrán-Diego, C.; Ferrer-Blasco, T.; Radhakrishnan, H.; Montés-Micó, R. Visual performance comparison between contact lens-based pinhole and simultaneous vision contact lenses. Clin. Exp. Optom. 2013, 96, 46–52. [Google Scholar] [CrossRef] [PubMed]
  17. Koefoed, V.F.; Baste, V.; Roumes, C.; Høvding, G. Contrast sensitivity measured by two different test methods in healthy, young adults with normal visual acuity. Acta Ophthalmol. 2015, 93, 154–161. [Google Scholar] [CrossRef] [PubMed]
  18. Karampatakis, V.; Papadopoulou, E.P.; Almpanidou, S.; Karamitopoulos, L.; Almaliotis, D. Evaluation of contrast sensitivity in visually impaired individuals using K-CS test. A novel smartphone-based contrast sensitivity test-Design and validation. PLoS ONE 2024, 19, e0288512. [Google Scholar] [CrossRef]
  19. Hegde, P.G.; Rao, D.; Prudhvi, B.; Hegde, N. Digital contrast sensitivity chart with varying visual acuity: Development and validation. Oman J. Ophthalmol. 2023, 16, 467–471. [Google Scholar] [CrossRef]
  20. Bühren, J.; Terzi, E.; Bach, M.; Wesemann, W.; Kohnen, T. Measuring contrast sensitivity under different lighting conditions: Comparison of three tests. Optom. Vis. Sci. 2006, 83, 290–298. [Google Scholar] [CrossRef] [PubMed]
  21. de Fez, M.D.; Luque, M.J. The Optopad Project. 2023. Available online: https://web.ua.es/en/optopad/optopad-project.html (accessed on 15 March 2023).
  22. Coco-Martín, M.B.; Leal-Vega, L.; Alcoceba-Herrero, I.; Molina-Martín, A.; de-Fez, D.; Luque, M.J.; Dueñas-Gutiérrez, C.; Arenillas-Lara, J.F.; Piñero, D.P. Visual perception alterations in COVID-19: A preliminary study. Int. J. Ophthalmol. 2023, 16, 1–9. [Google Scholar] [CrossRef]
  23. Piñero, D.P.; Molina-Martin, A.; Ramón, M.L.; Rincón, J.L.; Fernández, C.; de Fez, D.; Arenillas, J.F.; Leal-Vega, L.; Coco-Martín, M.B.; Maldonado, M.J. Preliminary evaluation of the clinical benefit of a novel visual rehabilitation program in patients implanted with trifocal diffractive intraocular lenses: A blinded randomized placebo-controlled clinical trial. Brain Sci. 2021, 11, 1181. [Google Scholar] [CrossRef]
  24. Wuerger, S.; Ashraf, M.; Kim, M.; Martinovic, J.; Pérez-Ortiz, M.; Mantiuk, R.K. Spatio-chromatic contrast sensitivity under mesopic and photopic light levels. J. Vis. 2020, 20, 23. [Google Scholar] [CrossRef] [PubMed]
  25. Kim, Y.J.; Reynaud, A.; Hess, R.F.; Mullen, K.T. A Normative Data Set for the Clinical Assessment of Achromatic and Chromatic Contrast Sensitivity Using a qCSF Approach. Investig. Ophthalmol. Vis. Sci. 2017, 58, 3628–3636. [Google Scholar] [CrossRef][Green Version]
  26. Kim, K.J.; Mantiuk, R.; Lee, K.H. Measurements of achromatic and chromatic contrast sensitivity functions for an extended range of adaptation luminance. Proc. SPIE 2013, 8651, 86511A. [Google Scholar]
  27. Wong, R.; Khan, J.; Adewoyin, T.; Sivaprasad, S.; Arden, G.B.; Chong, V. The ChromaTest, a digital color contrast sensitivity analyzer, for diabetic maculopathy: A pilot study. BMC Ophthalmol. 2008, 8, 15. [Google Scholar] [CrossRef] [PubMed]
  28. de Fez, M.D.; Luque, M.J.; Viqueira, V. Enhancement of contrast sensitivity and losses of chromatic discrimination with tinted lenses. Optom. Vis. Sci. 2002, 79, 590–597. [Google Scholar] [CrossRef] [PubMed]
  29. Bodduluri, L.; Boon, M.Y.; Ryan, M.; Dain, S.J. Normative values for a tablet computer-based application to assess chromatic contrast sensitivity. Behav. Res. Methods 2018, 50, 673–683. [Google Scholar] [CrossRef] [PubMed]
  30. Smith, V.C.; Pokorny, J. The design and use of a cone chromaticity space: A tutorial. Color Res. Appl. 1996, 21, 375–383. [Google Scholar] [CrossRef]
  31. de Fez, D.; Luque, M.J.; García-Domene, M.C.; Camps, V.; Piñero, D. Colorimetric characterization of mobile devices for vision applications. Optom. Vis. Sci. 2016, 93, 85–93. [Google Scholar] [CrossRef] [PubMed]
  32. Bland, J.M.; Altman, D.G. Statistical methods for assessing agreement between two methods of clinical measurement. Lancet 1986, 1, 307–310. [Google Scholar] [CrossRef]
  33. Scialfa, C.T.; Tyrrell, R.A.; Garvey, P.M.; Deering, L.M.; Leibowitz, H.W.; Goebel, C.C. Age differences in Vistech near contrast sensitivity. Am. J. Optom. Physiol. Opt. 1988, 65, 951–956. [Google Scholar] [CrossRef]
  34. Ashraf, M.; Wuerger, S.; Kim, M.; Saunderson, H.; Martinović, J.; Mantiuk, R. Spatio-chromatic contrast sensitivity across the life span: Interactions between age and light level in high dynamic range. J. Vis. 2020, 20, 1286. [Google Scholar] [CrossRef]
  35. Gil, M.Á.; Varón, C.; Cardona, G.; Buil, J.A. Far and Near Contrast Sensitivity and Quality of Vision with Six Presbyopia Correcting Intraocular Lenses. J. Clin. Med. 2022, 11, 4150. [Google Scholar] [CrossRef] [PubMed]
  36. Łabuz, G.; Auffarth, G.U.; Özen, A.; van den Berg, T.J.T.P.; Yildirim, T.M.; Son, H.S.; Khoramnia, R. The Effect of a Spectral Filter on Visual Quality in Patients with an Extended-Depth-Of-Focus Intraocular Lens. Am. J. Ophthalmol. 2019, 208, 56–63. [Google Scholar] [CrossRef] [PubMed]
  37. Xu, Q.; Ye, Q.; Mantiuk, R.; Luo, M. A Study of spatial chromatic contrast sensitivity based on different colour background. CIC 2022, 30, 236–240. [Google Scholar] [CrossRef]
  38. Pearson, P.M.; Schmidt, L.A.; Ly-Schroeder, E.; Swanson, W.H. Ganglion cell loss and age-related visual loss: A cortical pooling analysis. Optom. Vis. Sci. 2006, 83, 444–454. [Google Scholar] [CrossRef]
  39. Yap, T.P.; Luu, C.D.; Suttle, C.M.; Chia, A.; Boon, M.Y. The development of meridional anisotropies in neurotypical children with and without astigmatism: Electrophysiological and psychophysical findings. Vision Res. 2024, 222, 108439. [Google Scholar] [CrossRef]
Figure 1. Bland–Altman analysis for near achromatic contrast sensitivity: Vistech VCTS vs. Optopad-CSF (digital test). From left to right, top to bottom: F = 1.5 cpd, F = 3 cpd, F = 6 cpd, and F = 12 cpd, respectively.
Figure 1. Bland–Altman analysis for near achromatic contrast sensitivity: Vistech VCTS vs. Optopad-CSF (digital test). From left to right, top to bottom: F = 1.5 cpd, F = 3 cpd, F = 6 cpd, and F = 12 cpd, respectively.
Technologies 12 00108 g001
Figure 2. Near achromatic contrast sensitivity functions (CSFs) by age ranges measured with both instruments: Vistech VCTS (right) and Optopad-CSF (left).
Figure 2. Near achromatic contrast sensitivity functions (CSFs) by age ranges measured with both instruments: Vistech VCTS (right) and Optopad-CSF (left).
Technologies 12 00108 g002
Figure 3. Chromatic contrast sensitivity by age ranges measured with the Optopad-CSF test for the red–green (CSF-T) and blue–yellow (CSF-D) mechanisms.
Figure 3. Chromatic contrast sensitivity by age ranges measured with the Optopad-CSF test for the red–green (CSF-T) and blue–yellow (CSF-D) mechanisms.
Technologies 12 00108 g003
Table 1. Achromatic contrast sensitivities for each spatial frequency (SF), with the mean value on a logarithmic scale and its corresponding standard deviation, measured with the printed (left) and digital (right) tests. The contrast sensitivity values were calculated with the Michelson contrast formula.
Table 1. Achromatic contrast sensitivities for each spatial frequency (SF), with the mean value on a logarithmic scale and its corresponding standard deviation, measured with the printed (left) and digital (right) tests. The contrast sensitivity values were calculated with the Michelson contrast formula.
Vistech VCTSOptopad-CSFp-Values
SF (cpd)Mean Value (log)Standard DeviationSF (cpd)Mean Value (log)Standard Deviation
1.51.620.191.51.680.220.161
31.910.2331.830.350.138
61.860.2961.820.450.378
121.660.36121.510.430.012
181.200.26------------
---------240.860.42---
Table 2. Correlations (Spearman’s Rho: ρ) of achromatic CSF measures obtained with the two tests evaluated and age, with their corresponding statistical significance represented by the p-value (p) for each frequency.
Table 2. Correlations (Spearman’s Rho: ρ) of achromatic CSF measures obtained with the two tests evaluated and age, with their corresponding statistical significance represented by the p-value (p) for each frequency.
Optopad-CSF
1.5361224
ρ = −0.568
p < 0.001
ρ = −0.564
p < 0.001
ρ = −0.656
p < 0.001
ρ = −0.615
p < 0.001
ρ = −0.343
p = 0.014
VISTECH VCTS
1.5361218
ρ = −0.117
p = 0.413
ρ = −0.123
p = 0.389
ρ = −0.406
p = 0.003
ρ = −0.403
p = 0.003
ρ = −0.303
p = 0.031
Table 3. Chromatic contrast sensitivities for each spatial frequency (SF), with the mean value on a linear scale and its corresponding standard deviation measured with the digital test.
Table 3. Chromatic contrast sensitivities for each spatial frequency (SF), with the mean value on a linear scale and its corresponding standard deviation measured with the digital test.
Optopad-CSF-TOptopad-CSF-D
SF (cpd)Mean Value (log)Standard DeviationSF (cpd)Mean Value (log)Standard Deviation
12.240.0310.860.04
22.200.0320.750.04
41.930.0340.420.03
81.820.0580.310.04
121.720.04120.270.04
Disclaimer/Publisher’s Note: The statements, opinions and data contained in all publications are solely those of the individual author(s) and contributor(s) and not of MDPI and/or the editor(s). MDPI and/or the editor(s) disclaim responsibility for any injury to people or property resulting from any ideas, methods, instructions or products referred to in the content.

Share and Cite

MDPI and ACS Style

Mena-Guevara, K.J.; Piñero, D.P.; Luque, M.J.; de Fez, D. The Measurement of Contrast Sensitivity in Near Vision: The Use of a Digital System vs. a Conventional Printed Test. Technologies 2024, 12, 108. https://doi.org/10.3390/technologies12070108

AMA Style

Mena-Guevara KJ, Piñero DP, Luque MJ, de Fez D. The Measurement of Contrast Sensitivity in Near Vision: The Use of a Digital System vs. a Conventional Printed Test. Technologies. 2024; 12(7):108. https://doi.org/10.3390/technologies12070108

Chicago/Turabian Style

Mena-Guevara, Kevin J., David P. Piñero, María José Luque, and Dolores de Fez. 2024. "The Measurement of Contrast Sensitivity in Near Vision: The Use of a Digital System vs. a Conventional Printed Test" Technologies 12, no. 7: 108. https://doi.org/10.3390/technologies12070108

APA Style

Mena-Guevara, K. J., Piñero, D. P., Luque, M. J., & de Fez, D. (2024). The Measurement of Contrast Sensitivity in Near Vision: The Use of a Digital System vs. a Conventional Printed Test. Technologies, 12(7), 108. https://doi.org/10.3390/technologies12070108

Note that from the first issue of 2016, this journal uses article numbers instead of page numbers. See further details here.

Article Metrics

Back to TopTop