Debt, Equity, and the Pecking Order: Evidence from Financing Decisions of Dividend-Paying Firms
Abstract
1. Introduction
2. Theoretical Implications and Hypotheses Development
2.1. Pecking Order
2.2. Hypotheses Development
3. Data and Methodology
3.1. Data
3.2. Methodology
3.2.1. Basic Model
3.2.2. Financing Deficit and Financing Surplus
3.2.3. Debt and Equity Issuance/Repurchase
4. Empirical Results
4.1. Results
4.1.1. Financing Deficit and Financing Surplus
4.1.2. Debt and Equity Issue
4.1.3. Debt and Equity Repurchase
4.2. Robustness Checks
4.2.1. Large and Small Deficit/Surplus
4.2.2. Financing Deficit
Level of Deficit
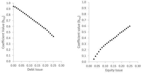
Level of Debt and Equity Issue
4.2.3. Financing Surplus
Level of Surplus
Level of Debt and Equity Repurchase
5. Conclusions
Author Contributions
Funding
Data Availability Statement
Acknowledgments
Conflicts of Interest
Abbreviation
| PO | Pecking order |
Appendix A
- Definitions of variables
- Total assets: item 6
- Retained earnings: item 36
- Deficit: change in total assets minus change in retained earnings scaled by total assets
- Surplus: negative values of deficit
- Net equity issue: change in book equity minus change in retained earnings scaled by total assets
- Book equity: total assets minus total liabilities (item 181) and preferred stocks plus deferred taxes and investment tax credit (item 35) plus convertible debt (item 79)
- Preferred stocks: item 10, or item 56 if item 10 is missing, or item 130 if item 10 and item 56 is missing
- Net equity repurchase: negative values of net equity issues
- Net debt issue: change in total assets minus change in retained earnings minus net equity issue scaled by total assets
- Net debt repurchase: negative values of net debt issue
| 1 | We note that Hypothesis 1 serves primarily as a confirmatory test of prior findings (De Jong et al., 2010), whereas Hypotheses 2a–3b represent our novel contribution by distinguishing between debt issuance, equity issuance, debt redemption, and equity repurchase. To our knowledge, this disaggregation has not been systematically tested in the literature. |
| 2 | We also examine firms with at least 10 and 15 consecutive years. The results remain essentially the same. |
| 3 | As a robustness check, we also re-estimated the models using alternative thresholds (1–99% and 2.5–97.5%). The results are highly consistent with our baseline estimates, suggesting that our findings are not sensitive to the winsorization procedure. For brevity, the detailed results are not reported. |
| 4 | We also examine a different period from 1971 to 2020. The results remain essentially the same. |
| 5 | Controlling for equity issue or debt issue. |
| 6 | Controlling for equity repurchase or debt redemption. |
| 7 | While the overall trend indicates that the pecking order coefficient declines as financing deficits increase, there are atypical points in the pattern. In particular, around deficit levels of 0.15–0.20, there appear to be some irregularities, suggesting that the relationship is not strictly linear. |
| 8 | Very large debt and very large equity issues are defined as transactions exceeding 10% of total assets. |
| 9 | Due to the lack of statistically significant effects, the detailed estimates and figure are omitted for brevity. |
References
- Baker, M. P., & Wurgler, J. A. (2002). Why are dividends disappearing? An empirical analysis (NYU Working Paper No. FIN-02-056). NYU Stern School of Business.
- Chang, X., & Dasgupta, S. (2009). Target behavior and financing: How conclusive is the evidence? The Journal of Finance, 64(4), 1767–1796. [Google Scholar] [CrossRef]
- Chirinko, R. S., & Singha, A. R. (2000). Testing static tradeoff against pecking order models of capital structure: A critical comment. Journal of Financial Economics, 58(3), 417–425. [Google Scholar] [CrossRef]
- Cook, D. O., & Tang, T. (2010). Macroeconomic conditions and capital structure adjustment speed. Journal of Corporate Finance, 16(1), 73–87. [Google Scholar] [CrossRef]
- DeAngelo, H. (2022). The capital structure puzzle: What are we missing? Journal of Financial and Quantitative Analysis, 57(2), 413–454. [Google Scholar] [CrossRef]
- De Jong, A., Verbeek, M., & Verwijmeren, P. (2010). The impact of financing surpluses and large financing deficits on tests of the pecking order theory. Financial Management, 39(2), 733–756. [Google Scholar] [CrossRef]
- Denis, D. J., & McKeon, S. B. (2012). Debt financing and financial flexibility evidence from proactive leverage increases. The Review of Financial Studies, 25(6), 1897–1929. [Google Scholar] [CrossRef]
- Dittmar, A. K. (2000). Why do firms repurchase stock. The Journal of Business, 73(3), 331–355. [Google Scholar] [CrossRef]
- Fama, E. F., & French, K. R. (2002). Testing trade-off and pecking order predictions about dividends and debt. Review of Financial Studies, 15, 1–33. [Google Scholar] [CrossRef]
- Frank, M. Z., & Goyal, V. K. (2003). Testing the pecking order theory of capital structure. Journal of financial economics, 67(2), 217–248. [Google Scholar] [CrossRef]
- Frank, M. Z., & Goyal, V. K. (2009). Capital structure decisions: Which factors are reliably important? Financial Management, 38(1), 1–37. [Google Scholar] [CrossRef]
- Hovakimian, A., Opler, T., & Titman, S. (2001). The debt-equity choice. Journal of Financial and Quantitative Analysis, 36(1), 1–24. [Google Scholar] [CrossRef]
- Huang, R., & Ritter, J. R. (2009). Testing theories of capital structure and estimating the speed of adjustment. Journal of Financial and Quantitative Analysis, 44(2), 237–271. [Google Scholar] [CrossRef]
- Jagannathan, M., Stephens, C. P., & Weisbach, M. S. (2000). Financial flexibility and the choice between dividends and stock repurchases. Journal of Financial Economics, 57(3), 355–384. [Google Scholar] [CrossRef]
- Khieu, H. D., & Pyles, M. K. (2016). The influence of a credit rating change on dividend and investment policy interactions. Financial Review, 51(4), 579–611. [Google Scholar] [CrossRef]
- Korajczyk, R. A., & Levy, A. (2003). Capital structure choice: Macroeconomic conditions and financial constraints. Journal of Financial Economics, 68(1), 75–109. [Google Scholar] [CrossRef]
- Lambrecht, B. M., & Myers, S. C. (2017). The dynamics of investment, payout and debt. The Review of Financial Studies, 30(11), 3759–3800. [Google Scholar] [CrossRef]
- Leary, M. T., & Roberts, M. R. (2010). The pecking order, debt capacity, and information asymmetry. Journal of Financial Economics, 95(3), 332–355. [Google Scholar] [CrossRef]
- Lemmon, M. L., & Zender, J. F. (2010). Debt capacity and tests of capital structure theories. Journal of Financial and Quantitative Analysis, 45(5), 1161–1187. [Google Scholar] [CrossRef]
- Myers, S. C. (1984). The capital structure puzzle. The Journal of Finance, 39, 575–592. [Google Scholar] [CrossRef]
- Myers, S. C., & Majluf, N. S. (1984). Corporate financing and investment decisions when firms have information that investors do not have. Journal of Financial Economics, 13(2), 187–221. [Google Scholar] [CrossRef]
- Shyam-Sunder, L., & Myers, S. C. (1999). Testing static tradeoff against pecking order models of capital structure. Journal of Financial Economics, 51(2), 219–244. [Google Scholar] [CrossRef]
- Stephens, C. P., & Weisbach, M. S. (1998). Actual share reacquisitions in open-market repurchase programs. The Journal of Finance, 53(1), 313–333. [Google Scholar] [CrossRef]



| Equations | (1) | (2) |
|---|---|---|
| Deficitt | 0.703 *** | 0.702 *** |
| (171.51) | (64.35) | |
| DEFt | 0.010 *** | |
| (14.42) | ||
| DEFt × Deficitt | −0.031 ** | |
| (−2.47) | ||
| Intercept | 0.003 *** | −0.002 ** |
| (12.49) | (−3.30) | |
| Obs. | 49,424 | 49,424 |
| Equation (1)5 | Equity Issue | Debt Issue |
|---|---|---|
| Deficitt | 0.073 *** | 0.901 *** |
| (10.55) | (246.85) | |
| Intercept | −0.004 *** | 0.006 *** |
| (−3.62) | (14.30) | |
| Obs. | 1859 | 13,677 |
| Equation (1)6 | Equity Repurchase | Debt Redemption |
|---|---|---|
| Deficitt | 0.168 *** | 0.851 *** |
| (13.01) | (204.25) | |
| Intercept | 0.021 *** | −0.017 *** |
| (17.01) | (−38.06) | |
| Obs. | 1188 | 4689 |
| Equation (2) | Large & Small Deficit | Large & Small Surplus |
|---|---|---|
| Deficitt | 0.748 *** | 0.692 *** |
| (141.06) | (140.80) | |
| large_DEFt | 0.039 *** | |
| (15.47) | ||
| large_DEFt × Deficitt | −0.186 *** | |
| (−14.50) | ||
| small_DEFt | −0.003 *** | |
| (−4.49) | ||
| small_DEFt × Deficitt | 0.097 *** | |
| (2.82) | ||
| large_SURt | −0.011 *** | |
| (−4.07) | ||
| large_SURt × Deficitt | −0.016 | |
| (−0.79) | ||
| small_SURt | −0.006 *** | |
| (−6.61) | ||
| small_SURt × Deficitt | −0.067 | |
| (−0.66) | ||
| Intercept | 0.002 *** | 0.005 *** |
| (9.27) | (16.46) | |
| Obs. | 49,424 | 49,424 |
Disclaimer/Publisher’s Note: The statements, opinions and data contained in all publications are solely those of the individual author(s) and contributor(s) and not of MDPI and/or the editor(s). MDPI and/or the editor(s) disclaim responsibility for any injury to people or property resulting from any ideas, methods, instructions or products referred to in the content. |
© 2025 by the authors. Licensee MDPI, Basel, Switzerland. This article is an open access article distributed under the terms and conditions of the Creative Commons Attribution (CC BY) license (https://creativecommons.org/licenses/by/4.0/).
Share and Cite
Kakouris, K.; Psychoyios, D. Debt, Equity, and the Pecking Order: Evidence from Financing Decisions of Dividend-Paying Firms. Int. J. Financial Stud. 2025, 13, 161. https://doi.org/10.3390/ijfs13030161
Kakouris K, Psychoyios D. Debt, Equity, and the Pecking Order: Evidence from Financing Decisions of Dividend-Paying Firms. International Journal of Financial Studies. 2025; 13(3):161. https://doi.org/10.3390/ijfs13030161
Chicago/Turabian StyleKakouris, Konstantinos, and Dimitrios Psychoyios. 2025. "Debt, Equity, and the Pecking Order: Evidence from Financing Decisions of Dividend-Paying Firms" International Journal of Financial Studies 13, no. 3: 161. https://doi.org/10.3390/ijfs13030161
APA StyleKakouris, K., & Psychoyios, D. (2025). Debt, Equity, and the Pecking Order: Evidence from Financing Decisions of Dividend-Paying Firms. International Journal of Financial Studies, 13(3), 161. https://doi.org/10.3390/ijfs13030161

