Australian English Monophthong Change across 50 Years: Static versus Dynamic Measures
Abstract
1. Introduction
1.1. Vowel Change
1.2. Mainstream Australian English
- Lowering/opening of /æ/ from the 1960s to 1990s (Cox 1999; Cox and Palethorpe 2001, 2008; Cox et al., forthcoming) and continued lowering and retraction of this vowel since the 1990s (Cox and Palethorpe 2008; Grama et al. 2019; Cox et al., forthcoming);
- Raising/closing of /ɪ/ from the 1960s to 1990s (Cox 1999; Cox and Palethorpe 2008; Grama et al. 2019);
- Fronting of /ʉː/ from the 1960s to 1990s (Cox 1999; Cox et al., forthcoming);
- Lowering of /e/ since the 1990s (Cox and Palethorpe 2008; Grama et al. 2019; Cox et al., forthcoming);
- Lowering of /ɜː/ since the 1990s (Cox and Palethorpe 2008; Cox et al., forthcoming).
1.3. Aims—Predictions
2. Materials and Methods
2.1. Speakers and Recordings
2.1.1. The 1960s Dataset
2.1.2. The 1990s Dataset
2.1.3. The 2010s Dataset
2.2. Data Selection
- 1960s—Let’s pick a good spot near the water and pass the morning surfing and relaxing in the sun.
- 1990s—Let’s pick a good spot near the water and spend the morning surfing and relaxing in the sun.
- 2010s—Helen picked a good spot near the water and spent the morning surfing and relaxing in the sun.
- The plane flew down low over the runway, increased speed and circled the aerodrome/airfield a second time.
2.3. Acoustic Analysis
- Maximum F2 for the high non-back vowels /iː, ɪ, e, ʉː/;
- Maximum F1 for the low vowels /æ, ɐ/;
- Minimum F2 for the high back vowels /ɔ, oː, ʊ/;
- Temporal midpoint for the central vowel /ɜː/.
2.4. Reliability
2.5. Statistical Analysis
3. Results
3.1. Target-Based Analysis
3.2. DCT Analysis
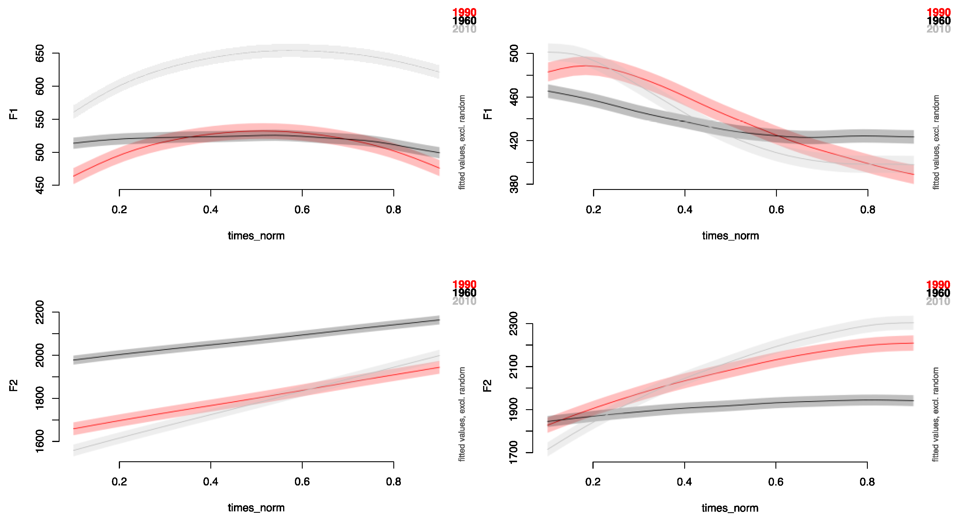
3.3. GAMM Analysis
3.4. Comparison between the Target, DCT, and GAMM Analyses
3.5. Results Summary
4. Discussion
5. Conclusions
Author Contributions
Funding
Institutional Review Board Statement
Informed Consent Statement
Data Availability Statement
Acknowledgments
Conflicts of Interest
Appendix A
| Estimate | SE | t | p | |
|---|---|---|---|---|
| /ʉː/ F1 | ||||
| Intercept | 372.992 | 5.380 | 69.33 | <0.0001 |
| 1960s | 98.412 | 6.618 | 14.87 | <0.0001 |
| 2010s | 37.906 | 7.303 | 5.19 | <0.0001 |
| /ʉː/ F2 | ||||
| Intercept | 2229.74 | 19.59 | 113.835 | <0.0001 |
| 1960s | −253.32 | 24.09 | −10.514 | <0.0001 |
| 2010s | 92.03 | 26.59 | 3.461 | <0.0001 |
| /iː/ F1 | ||||
| Intercept | 399.812 | 4.207 | 95.030 | <0.0001 |
| 1960s | 23.653 | 5.160 | 4.584 | <0.0001 |
| 2010s | −1.159 | 5.715 | −0.203 | 0.839 |
| /iː/ F2 | ||||
| Intercept | 2472.44 | 20.10 | 123.016 | <0.0001 |
| 1960s | 200.69 | 24.65 | 8.142 | <0.0001 |
| 2010s | 235.68 | 27.30 | 8.633 | <0.0001 |
| /ɪ/ F1 | ||||
| Intercept | 407.822 | 6.611 | 61.688 | <0.0001 |
| 1960s | 21.234 | 8.063 | 2.633 | <0.0089 |
| 2010s | 1.849 | 8.946 | 0.207 | 0.836 |
| /ɪ/ F2 | ||||
| Intercept | 2530.84 | 19.01 | 133.120 | <0.0001 |
| 1960s | 24.59 | 23.19 | 1.060 | 0.290 |
| 2010s | 95.30 | 25.73 | 3.705 | <0.0003 |
| /e/ F1 | ||||
| Intercept | 536.457 | 7.005 | 76.578 | <0.0001 |
| 1960s | 31.738 | 8.544 | 3.715 | <0.0003 |
| 2010s | 99.583 | 9.479 | 10.505 | <0.0001 |
| /e/ F2 | ||||
| Intercept | 2110.57 | 15.92 | 132.569 | <0.0001 |
| 1960s | 108.98 | 19.42 | 5.613 | <0.0001 |
| 2010s | −29.98 | 21.54 | −1.392 | 0.165 |
| /æ/ F1 | ||||
| Intercept | 785.62 | 11.10 | 70.754 | <0.0001 |
| 1960s | −33.88 | 13.54 | −2.502 | 0.013 |
| 2010s | 152.94 | 15.02 | 10.179 | <0.0001 |
| /æ/ F2 | ||||
| Intercept | 1792.21 | 16.36 | 109.553 | <0.0001 |
| 1960s | 265.85 | 19.95 | 13.324 | <0.0001 |
| 2010s | −40.54 | 22.14 | −1.831 | 0.0682 |
| /ɐ/ F1 | ||||
| Intercept | 842.662 | 10.369 | 81.269 | <0.0001 |
| 1960s | −3.807 | 12.647 | −0.301 | 0.764 |
| 2010s | 47.526 | 14.031 | 3.387 | 0.0008 |
| /ɐ/ F2 | ||||
| Intercept | 1521.269 | 13.371 | 113.770 | <0.0001 |
| 1960s | 230.902 | 16.309 | 14.158 | <0.0001 |
| 2010s | 7.213 | 18.093 | 0.399 | 0.69 |
| /ɔ/ F1 | ||||
| Intercept | 542.717 | 9.113 | 59.551 | <0.0001 |
| 1960s | 117.170 | 11.022 | 10.630 | <0.0001 |
| 2010s | 97.156 | 12.189 | 7.971 | <0.0001 |
| /ɔ/ F2 | ||||
| Intercept | 1146.16 | 15.89 | 72.143 | <0.0001 |
| 1960s | 226.77 | 19.22 | 11.802 | <0.0001 |
| 2010s | 30.01 | 21.25 | 1.412 | 0.159 |
| /oː/ F1 | ||||
| Intercept | 385.912 | 4.983 | 77.447 | <0.0001 |
| 1960s | 70.286 | 6.078 | 11.565 | <0.0001 |
| 2010s | 24.930 | 6.743 | 3.697 | 0.0002 |
| /oː/ F2 | ||||
| Intercept | 769.318 | 10.740 | 71.634 | <0.0001 |
| 1960s | 72.663 | 13.099 | 5.547 | <0.0001 |
| 2010s | 1.216 | 14.532 | 0.084 | 0.933 |
| /ʊ/ F1 | ||||
| Intercept | 381.898 | 4.568 | 83.606 | <0.0001 |
| 1960s | 90.555 | 5.571 | 16.254 | <0.0001 |
| 2010s | 31.041 | 6.181 | 5.022 | <0.0001 |
| /ʊ/ F2 | ||||
| Intercept | 1370.30 | 23.08 | 59.381 | <0.0001 |
| 1960s | −88.72 | 28.15 | −3.152 | 0.0018 |
| 2010s | 112.44 | 31.23 | 3.601 | <0.0004 |
| /ɜː/ F1 | ||||
| Intercept | 532.754 | 6.334 | 84.113 | <0.0001 |
| 1960s | −7.705 | 7.725 | −0.997 | 0.32 |
| 2010s | 119.696 | 8.751 | 13.966 | <0.0001 |
| /ɜː/ F2 | ||||
| Intercept | 1907.14 | 14.22 | 134.164 | <0.0001 |
| 1960s | 23.27 | 17.34 | 1.342 | 0.181 |
| 2010s | −18.88 | 19.23 | −0.982 | 0.327 |
Appendix B
| Estimate | SE | t | p | |
|---|---|---|---|---|
| /ʉː/ F1 DCT0 | ||||
| Intercept | 570.860 | 6.389 | 89.351 | <0.0001 |
| 1960s | 105.697 | 7.859 | 13.449 | <0.0001 |
| 2010s | 60.123 | 8.673 | 6.932 | <0.0001 |
| /ʉː/ F2 DCT0 | ||||
| Intercept | 2926.57 | 24.91 | 117.479 | <0.0001 |
| 1960s | −224.13 | 30.64 | −7.314 | <0.0001 |
| 2010s | 22.48 | 33.82 | 0.665 | 0.507 |
| /ʉː/ F1 DCT1 | ||||
| Intercept | 33.268 | 2.259 | 14.729 | <0.0001 |
| 1960s | −20.474 | 2.778 | −7.369 | <0.0001 |
| 2010s | −2.105 | 3.066 | −0.687 | 0.493 |
| /ʉː/ F2 DCT1 | ||||
| Intercept | −156.060 | 8.474 | −18.416 | <0.0001 |
| 1960s | 113.780 | 10.424 | 10.915 | <0.0001 |
| 2010s | −99.274 | 11.504 | −8.629 | <0.0001 |
| /ʉː/ F1 DCT2 | ||||
| Intercept | −5.600 | 1.169 | −4.790 | <0.0001 |
| 1960s | 3.555 | 1.438 | 2.472 | 0.0141 |
| 2010s | 2.590 | 1.587 | 1.632 | 0.104 |
| /ʉː/ F2 DCT2 | ||||
| Intercept | −29.075 | 4.502 | −6.459 | <0.0001 |
| 1960s | 17.331 | 5.537 | 3.130 | <0.002 |
| 2010s | −21.350 | 6.111 | −3.494 | <0.0006 |
| /iː/ F1 DCT0 | ||||
| Intercept | 619.772 | 5.960 | 103.981 | <0.0001 |
| 1960s | −2.954 | 7.310 | −0.404 | 0.686 |
| 2010s | −2.370 | 8.096 | −0.293 | 0.770 |
| /iː/ F2 DCT0 | ||||
| Intercept | 3258.93 | 27.94 | 116.639 | <0.0001 |
| 1960s | 307.00 | 34.27 | 8.959 | <0.0001 |
| 2010s | 358.78 | 37.95 | 9.453 | <0.0001 |
| /iː/ F1 DCT1 | ||||
| Intercept | 51.3304 | 2.9937 | 17.146 | <0.0001 |
| 1960s | −32.6658 | 3.6716 | −8.897 | <0.0001 |
| 2010s | 0.8263 | 4.0664 | 0.203 | 0.839 |
| /iː/ F2 DCT1 | ||||
| Intercept | −184.581 | 9.824 | −18.788 | <0.0001 |
| 1960s | 29.323 | 12.049 | 2.434 | 0.0157 |
| 2010s | 25.121 | 13.345 | 1.882 | 0.061 |
| /iː/ F1 DCT2 | ||||
| Intercept | 0.3541 | 1.4844 | 0.239 | 0.812 |
| 1960s | 7.2213 | 1.8206 | 3.966 | <0.0001 |
| 2010s | 13.6189 | 2.0163 | 6.754 | <0.0001 |
| /iː/ F2 DCT2 | ||||
| Intercept | −68.416 | 4.800 | −14.254 | <0.0001 |
| 1960s | −15.592 | 5.887 | −2.649 | 0.0086 |
| 2010s | −23.460 | 6.520 | −3.598 | <0.0004 |
| /ɪ/ F1 DCT0 | ||||
| Intercept | 587.731 | 8.421 | 69.790 | <0.0001 |
| 1960s | 22.761 | 10.271 | 2.216 | 0.0276 |
| 2010s | 14.796 | 11.395 | 1.298 | 0.195 |
| /ɪ/ F2 DCT0 | ||||
| Intercept | 3458.81 | 25.45 | 135.918 | <0.0001 |
| 1960s | 47.06 | 31.04 | 1.516 | 0.131 |
| 2010s | 142.55 | 34.43 | 4.140 | <0.0001 |
| /ɪ/ F1 DCT1 | ||||
| Intercept | 5.712 | 2.218 | 2.576 | 0.0106 |
| 1960s | −3.775 | 2.705 | −1.396 | 0.164 |
| 2010s | 3.316 | 3.001 | 1.105 | 0.270 |
| /ɪ/ F2 DCT1 | ||||
| Intercept | −87.100 | 6.733 | −12.936 | <0.0001 |
| 1960s | 16.802 | 8.212 | 2.046 | 0.0418 |
| 2010s | 12.042 | 9.111 | 1.322 | 0.188 |
| /ɪ/ F1 DCT2 | ||||
| Intercept | −8.151 | 1.482 | −5.499 | <0.0001 |
| 1960s | 1.639 | 1.808 | 0.906 | 0.366 |
| 2010s | −3.751 | 2.006 | −1.870 | 0.063 |
| /ɪ/ F2 DCT2 | ||||
| Intercept | −13.238 | 2.668 | −4.962 | <0.0001 |
| 1960s | −1.669 | 3.254 | −0.513 | 0.609 |
| 2010s | 4.957 | 3.610 | 1.373 | 0.171 |
| /e/ F1 DCT0 | ||||
| Intercept | 740.943 | 9.293 | 79.731 | <0.0001 |
| 1960s | 56.003 | 11.334 | 4.941 | <0.0001 |
| 2010s | 136.747 | 12.575 | 10.875 | <0.0001 |
| /e/ F2 DCT0 | ||||
| Intercept | 2918.30 | 21.63 | 134.902 | <0.0001 |
| 1960s | 129.62 | 26.38 | 4.913 | <0.0001 |
| 2010s | −44.60 | 29.27 | −1.524 | 0.129 |
| /e/ F1 DCT1 | ||||
| Intercept | −3.297 | 2.779 | −1.186 | 0.237 |
| 1960s | −6.008 | 3.389 | −1.773 | 0.078 |
| 2010s | −3.896 | 3.760 | −1.036 | 0.301 |
| /e/ F2 DCT1 | ||||
| Intercept | −29.988 | 5.821 | −5.152 | <0.0001 |
| 19060s | −27.240 | 7.099 | −3.837 | <0.0002 |
| 2010s | −4.169 | 7.876 | −0.529 | 0.597 |
| /e/ F1 DCT2 | ||||
| Intercept | −21.912 | 1.698 | −12.906 | <0.0001 |
| 1960s | 13.917 | 2.071 | 6.721 | <0.0001 |
| 2010s | −3.317 | 2.297 | −1.444 | 0.15 |
| /e/ F2 DCT2 | ||||
| /e/ Intercept | −38.129 | 2.688 | −14.183 | <0.0001 |
| 1960s | 23.768 | 3.279 | 7.249 | <0.0001 |
| 2010s | 6.225 | 3.638 | 1.711 | 0.088 |
| /æ/ F1 DCT0 | ||||
| Intercept | 1043.29 | 14.41 | 72.408 | <0.0001 |
| 1960s | −26.96 | 17.57 | −1.534 | 0.126 |
| 2010s | 202.62 | 19.50 | 10.392 | <0.0001 |
| /æ/ F2 DCT0 | ||||
| Intercept | 2558.54 | 19.40 | 131.87 | <0.0001 |
| 1960s | 368.92 | 23.66 | 15.59 | <0.0001 |
| 2010s | −42.80 | 26.25 | −1.63 | 0.104 |
| /æ/ F1 DCT1 | ||||
| Intercept | −1.861 | 5.088 | −0.366 | 0.715 |
| 1960s | −4.468 | 6.205 | −0.720 | 0.472 |
| 2010s | −1.722 | 6.884 | −0.250 | 0.803 |
| /æ/ F2 DCT1 | ||||
| Intercept | −123.380 | 8.627 | −14.302 | <0.0001 |
| 1960s | 44.099 | 10.522 | 4.191 | <0.0001 |
| 2010s | −61.731 | 11.674 | −5.288 | <0.0001 |
| /æ/ F1 DCT2 | ||||
| Intercept | −38.334 | 2.884 | −13.290 | <0.0001 |
| 1960s | 16.165 | 3.518 | 4.595 | <0.0001 |
| 2010s | −9.708 | 3.903 | −2.487 | 0.0135 |
| /æ/ F2 DCT2 | ||||
| Intercept | −3.244 | 3.188 | −1.018 | 0.310 |
| 1960s | 5.332 | 3.889 | 1.371 | 0.172 |
| 2010s | 6.660 | 4.314 | 1.544 | 0.124 |
| /ɐ/ F1 DCT0 | ||||
| Intercept | 1136.137 | 13.431 | 84.592 | <0.0001 |
| 1960s | −2.166 | 16.381 | −0.132 | 0.895 |
| 2010s | 56.398 | 18.174 | 3.103 | 0.0021 |
| /ɐ/ F2 DCT0 | ||||
| Intercept | 2154.96 | 17.68 | 121.903 | <0.0001 |
| 1960s | 316.13 | 21.56 | 14.662 | <0.0001 |
| 2010s | 10.27 | 23.92 | 0.429 | 0.668 |
| /ɐ/ F1 DCT1 | ||||
| Intercept | −34.247 | 3.755 | −9.119 | <0.0001 |
| 1960s | 22.007 | 4.580 | 4.805 | <0.0001 |
| 2010s | 16.076 | 5.082 | 3.163 | 0.0018 |
| /ɐ/ F2 DCT1 | ||||
| Intercept | 21.280 | 4.525 | 4.703 | <0.0001 |
| 19060s | −4.170 | 5.519 | −0.756 | 0.451 |
| 2010s | −15.853 | 6.123 | −2.589 | 0.010 |
| /ɐ/ F1 DCT2 | ||||
| Intercept | −38.455 | 2.940 | −13.081 | <0.0001 |
| 1960s | 7.290 | 3.586 | 2.033 | 0.043 |
| 2010s | 2.274 | 3.978 | 0.572 | 0.568 |
| /ɐ/ F2 DCT2 | ||||
| Intercept | 11.584 | 3.087 | 3.753 | 0.0002 |
| 1960s | 1.930 | 3.765 | 0.513 | 0.609 |
| 2010s | 8.651 | 4.177 | 2.071 | 0.039 |
| /ɔ/ F1 DCT0 | ||||
| Intercept | 842.82 | 10.61 | 79.441 | <0.0001 |
| 1960s | 134.49 | 12.83 | 10.481 | <0.0001 |
| 2010s | 113.55 | 14.19 | 8.002 | <0.0001 |
| /ɔ/ F2 DCT0 | ||||
| Intercept | 1786.81 | 21.91 | 81.556 | <0.0001 |
| 1960s | 262.66 | 26.50 | 9.913 | <0.0001 |
| 2010s | 104.86 | 29.30 | 3.579 | 0.0004 |
| /ɔ/ F1 DCT1 | ||||
| Intercept | −36.509 | 3.456 | −10.563 | <0.0001 |
| 1960s | 13.184 | 4.180 | 3.154 | 0.0018 |
| 2010s | 16.265 | 4.623 | 3.518 | 0.0005 |
| /ɔ/ F2 DCT1 | ||||
| Intercept | −134.637 | 8.801 | −15.297 | <0.0001 |
| 1960s | 69.944 | 10.645 | 6.101 | <0.0001 |
| 2010s | −61.952 | 11.771 | −5.263 | <0.0001 |
| /ɔ/ F1 DCT2 | ||||
| Intercept | −17.148 | 2.464 | −6.959 | <0.0001 |
| 1960s | −3.397 | 2.980 | −1.140 | 0.255 |
| 2010s | −17.431 | 3.296 | −5.289 | <0.0001 |
| /ɔ/ F2 DCT2 | ||||
| Intercept | 42.278 | 3.865 | 10.938 | <0.0001 |
| 1960s | −12.479 | 4.675 | −2.669 | 0.008 |
| 2010s | 18.757 | 5.170 | 3.628 | <0.0004 |
| /oː/ F1 DCT0 | ||||
| Intercept | 623.181 | 7.610 | 81.893 | <0.0001 |
| 1960s | 59.487 | 9.281 | 6.409 | <0.0001 |
| 2010s | 74.324 | 10.297 | 7.218 | <0.0001 |
| /oː/ F2 DCT0 | ||||
| Intercept | 1369.49 | 17.88 | 76.595 | <0.0001 |
| 1960s | 48.54 | 21.81 | 2.226 | 0.0269 |
| 2010s | 25.40 | 24.19 | 1.050 | 0.295 |
| /oː/ F1 DCT1 | ||||
| Intercept | −49.844 | 4.348 | −11.463 | <0.0001 |
| 1960s | 17.297 | 5.503 | 3.261 | 0.0013 |
| 2010s | −29.499 | 5.884 | −5.014 | <0.0001 |
| /oː/ F2 DCT1 | ||||
| Intercept | −234.11 | 10.23 | −22.893 | <0.0001 |
| 1960s | 24.68 | 12.47 | 1.979 | 0.049 |
| 2010s | −29.67 | 13.84 | −2.144 | 0.033 |
| /oː/ F1 DCT2 | ||||
| Intercept | −7.117 | 2.359 | −3.017 | 0.0028 |
| 1960s | 10.309 | 2.877 | 3.583 | 0.0004 |
| 2010s | 3.138 | 3.192 | 0.983 | 0.326 |
| /oː/ F2 DCT2 | ||||
| Intercept | 76.018 | 5.536 | 13.731 | <0.0001 |
| 1960s | 29.515 | 6.752 | 4.371 | <0.0001 |
| 2010s | 10.551 | 7.491 | 1.409 | 0.16 |
| /ʊ/ F1 DCT0 | ||||
| Intercept | 562.051 | 5.406 | 103.976 | <0.0001 |
| 1960s | 130.038 | 6.593 | 19.723 | <0.0001 |
| 2010s | 52.206 | 7.315 | 7.137 | <0.0001 |
| /ʊ/ F2 DCT0 | ||||
| Intercept | 2172.17 | 29.70 | 73.135 | <0.0001 |
| 1960s | −139.26 | 36.23 | −3.844 | <0.0002 |
| 2010s | 157.67 | 40.19 | 3.923 | 0.0001 |
| /ʊ/ F1 DCT1 | ||||
| Intercept | −3.336 | 1.866 | −1.788 | 0.075 |
| 1960s | −2.679 | 2.275 | −1.178 | 0.240 |
| 2010s | −3.221 | 2.524 | −1.276 | 0.203 |
| /ʊ/ F2 DCT1 | ||||
| Intercept | −163.650 | 10.780 | −15.182 | <0.0001 |
| 1960s | −6.056 | 13.147 | −0.461 | 0.645 |
| 2010s | −4.057 | 14.586 | −0.278 | 0.781 |
| /ʊ/ F1 DCT2 | ||||
| Intercept | −9.7961 | 1.3013 | −7.528 | <0.0001 |
| 1960s | −0.2616 | 1.5872 | −0.165 | 0.869 |
| 2010s | −3.2448 | 1.7608 | −1.843 | 0.067 |
| /ʊ/ F2 DCT2 | ||||
| Intercept | 14.2258 | 4.7166 | 3.016 | 0.0028 |
| 1960s | 21.2172 | 5.7527 | 3.688 | <0.0003 |
| 2010s | −0.2463 | 6.3822 | −0.039 | 0.969 |
| /ɜː/ F1 DCT0 | ||||
| Intercept | 721.853 | 7.797 | 92.585 | <0.0001 |
| 1960s | 11.260 | 9.509 | 1.184 | 0.238 |
| 2010s | 169.169 | 10.550 | 16.035 | <0.0001 |
| /ɜː/ F2 DCT0 | ||||
| Intercept | 2693.44 | 19.51 | 138.063 | <0.0001 |
| 1960s | 35.62 | 23.79 | 1.497 | 0.136 |
| 2010s | −13.03 | 26.40 | −0.493 | 0.622 |
| /ɜː/ F1 DCT1 | ||||
| Intercept | −5.145 | 2.403 | −2.141 | 0.033 |
| 1960s | 9.747 | 2.931 | 3.325 | 0.001 |
| 2010s | −16.659 | 3.252 | −5.123 | <0.0001 |
| /ɜː/ F2 DCT1 | ||||
| Intercept | −13.739 | 3.927 | −3.498 | <0.0006 |
| 1960s | 3.675 | 4.790 | 0.767 | 0.444 |
| 2010s | 17.063 | 5.314 | 3.211 | 0.0015 |
| /ɜː/ F1 DCT2 | ||||
| Intercept | −28.227 | 2.228 | −12.669 | <0.0001 |
| 1960s | 20.114 | 2.717 | 7.402 | <0.0001 |
| 2010s | 1.280 | 3.015 | 0.425 | 0.672 |
| /ɜː/ F2 DCT2 | ||||
| Intercept | −5.039 | 2.649 | −1.902 | 0.058 |
| 1960s | 4.636 | 3.231 | 1.435 | 0.153 |
| 2010s | 11.761 | 3.584 | 3.281 | 0.0012 |
Appendix C
| Time | Estimate | SE | t | p | |
|---|---|---|---|---|---|
| /ʉː/ F1 | |||||
| Parametric coefficients | Intercept | 415.971 | 3.842 | 108.256 | <0.0001 |
| 1960s | 63.194 | 4.737 | 13.341 | <0.0001 | |
| 2010s | 31.515 | 5.135 | 6.137 | <0.0001 | |
| Smooth terms | edf | Ref.df | F | ||
| times_norm | 7.798 | 8.117 | 34.62 | <0.0001 | |
| times_norm:1960s | 2.840 | 3.220 | 8.14 | <0.0001 | |
| times_norm:2010s | 1.000 | 1.001 | 13.07 | <0.0001 | |
| /ʉː/ F2 | |||||
| Parametric coefficients | Intercept | 2063.02 | 17.06 | 120.931 | <0.0001 |
| 1960s | −151.58 | 20.98 | −7.224 | <0.0001 | |
| 2010s | 21.84 | 23.16 | 0.943 | 0.346 | |
| Smooth terms | edf | Ref.df | F | ||
| times_norm | 7.407 | 7.635 | 109.80 | <0.0001 | |
| times_norm:1960s | 5.548 | 6.100 | 47.37 | <0.0001 | |
| times_norm:2010s | 5.734 | 6.308 | 27.47 | <0.0001 | |
| /iː/ F1 | |||||
| Parametric coefficients | Intercept | 442.184 | 3.809 | 116.083 | <0.0001 |
| 1960s | −5.988 | 4.675 | −1.281 | 0.200 | |
| 2010s | −5.090 | 5.173 | −0.984 | 0.325 | |
| Smooth terms | edf | Ref.df | F | ||
| times_norm | 8.082 | 8.270 | 54.35 | <0.0001 | |
| times_norm:1960s | 8.029 | 8.537 | 21.56 | <0.0001 | |
| times_norm:2010s | 6.449 | 7.099 | 13.62 | <0.0001 | |
| /iː/ F2 | |||||
| Parametric coefficients | Intercept | 2309.01 | 19.05 | 121.212 | <0.0001 |
| 1960s | 212.45 | 23.34 | 9.101 | <0.0001 | |
| 2010s | 248.56 | 25.89 | 9.601 | <0.0001 | |
| Smooth terms | edf | Ref.df | F | ||
| times_norm | 8.513 | 8.640 | 152.337 | <0.0001 | |
| times_norm:1960s | 4.047 | 4.503 | 4.531 | 0.0007 | |
| times_norm:2010s | 5.891 | 6.560 | 7.257 | <0.0001 | |
| /ɪ/ F1 | |||||
| Parametric coefficients | Intercept | 414.864 | 5.716 | 72.579 | <0.0001 |
| 1960s | 17.080 | 6.916 | 2.470 | 0.0136 | |
| 2010s | 11.119 | 7.789 | 1.428 | 0.154 | |
| Smooth terms | edf | Ref.df | F | ||
| times_norm | 7.138 | 7.406 | 28.553 | <0.0001 | |
| times_norm:1960s | 1.001 | 1.001 | 1.452 | 0.228 | |
| times_norm:2010s | 5.357 | 5.902 | 3.174 | 0.004 | |
| /ɪ/ F2 | |||||
| Parametric coefficients | Intercept | 2445.83 | 17.62 | 138.787 | <0.0001 |
| 1960s | 32.09 | 21.43 | 1.497 | 0.134 | |
| 2010s | 101.80 | 23.90 | 4.260 | <0.0001 | |
| Smooth terms | edf | Ref.df | F | ||
| times_norm | 7.099 | 7.354 | 86.633 | <0.0001 | |
| times_norm:1960s | 1.001 | 1.001 | 10.271 | 0.0014 | |
| times_norm:2010s | 3.962 | 4.410 | 2.049 | 0.069 | |
| /e/ F1 | |||||
| Parametric coefficients | Intercept | 524.268 | 6.530 | 80.284 | <0.0001 |
| 1960s | 39.565 | 7.975 | 4.961 | <0.0001 | |
| 2010s | 95.529 | 8.808 | 10.846 | <0.0001 | |
| Smooth terms | edf | Ref.df | F | ||
| times_norm | 8.260 | 8.385 | 65.094 | <0.0001 | |
| times_norm:1960s | 6.872 | 7.401 | 17.140 | <0.0001 | |
| times_norm:2010s | 2.870 | 3.148 | 2.136 | 0.098 | |
| /e/ F2 | |||||
| Parametric coefficients | Intercept | 2060.28 | 14.67 | 140.490 | <0.0001 |
| 1960s | 95.90 | 17.90 | 5.357 | <0.0001 | |
| 2010s | −27.12 | 19.81 | −1.369 | 0.171 | |
| Smooth terms | edf | Ref.df | F | ||
| times_norm | 8.232 | 8.342 | 80.057 | <0.0001 | |
| times_norm:1960s | 7.225 | 7.653 | 17.792 | <0.0001 | |
| times_norm:2010s | 2.598 | 2.861 | 1.297 | 0.35 | |
| /æ/ F1 | |||||
| Parametric coefficients | Intercept | 737.882 | 9.824 | 75.109 | <0.0001 |
| 1960s | −18.282 | 11.991 | −1.525 | 0.128 | |
| 2010s | 141.971 | 13.265 | 10.702 | <0.0001 | |
| Smooth terms | edf | Ref.df | F | ||
| times_norm | 8.471 | 8.564 | 76.722 | <0.0001 | |
| times_norm:1960s | 6.204 | 6.775 | 8.917 | <0.0001 | |
| times_norm:2010s | 3.618 | 4.002 | 2.945 | 0.019 | |
| /æ/ F2 | |||||
| Parametric coefficients | Intercept | 1803.08 | 14.07 | 128.120 | <0.0001 |
| 1960s | 269.11 | 17.08 | 15.758 | <0.0001 | |
| 2010s | −22.80 | 18.95 | −1.204 | 0.229 | |
| Smooth terms | edf | Ref.df | F | ||
| times_norm | 4.144 | 4.479 | 128.06 | <0.0001 | |
| times_norm:1960s | 1.000 | 1.000 | 46.22 | <0.0001 | |
| times_norm:2010s | 1.002 | 1.002 | 91.39 | <0.0001 | |
| /ɐ/ F1 | |||||
| Parametric coefficients | Intercept | 802.190 | 9.394 | 85.391 | <0.0001 |
| 1960s | 0.250 | 11.451 | 0.022 | 0.983 | |
| 2010s | 41.619 | 12.715 | 3.273 | 0.0010 | |
| Smooth terms | edf | Ref.df | F | ||
| times_norm | 8.588 | 8.685 | 100.304 | <0.0001 | |
| times_norm:1960s | 4.813 | 5.368 | 9.903 | <0.0001 | |
| times_norm:2010s | 5.674 | 6.309 | 6.897 | <0.0001 | |
| /ɐ/ F2 | |||||
| Parametric coefficients | Intercept | 1522.862 | 12.404 | 122.776 | <0.0001 |
| 1960s | 225.413 | 15.038 | 14.990 | <0.0001 | |
| 2010s | 9.951 | 16.848 | 0.591 | 0.555 | |
| Smooth terms | edf | Ref.df | F | ||
| times_norm | 6.476 | 6.953 | 22.724 | <0.0001 | |
| times_norm:1960s | 1.000 | 1.000 | 0.627 | 0.429 | |
| times_norm:2010s | 3.158 | 3.447 | 4.135 | 0.0045 | |
| /ɔ/ F1 | |||||
| Parametric coefficients | Intercept | 596.788 | 7.499 | 79.579 | <0.0001 |
| 1960s | 94.454 | 9.060 | 10.426 | <0.0001 | |
| 2010s | 78.941 | 10.041 | 7.862 | <0.0001 | |
| Smooth terms | edf | Ref.df | F | ||
| times_norm | 7.843 | 8.052 | 36.240 | <0.0001 | |
| times_norm:1960s | 4.400 | 4.880 | 2.370 | 0.042 | |
| times_norm:2010s | 5.934 | 6.549 | 9.905 | <0.0001 | |
| /ɔ/ F2 | |||||
| Parametric coefficients | Intercept | 1265.99 | 15.32 | 82.650 | <0.0001 |
| 1960s | 182.30 | 18.51 | 9.849 | <0.0001 | |
| 2010s | 72.30 | 20.51 | 3.526 | 0.0004 | |
| Smooth terms | edf | Ref.df | F | ||
| times_norm | 7.549 | 7.764 | 105.99 | <0.0001 | |
| times_norm:1960s | 3.961 | 4.384 | 20.92 | <0.0001 | |
| times_norm:2010s | 5.948 | 6.523 | 14.57 | <0.0001 | |
| /oː/ F1 | |||||
| Parametric coefficients | Intercept | 440.358 | 5.670 | 77.666 | <0.0001 |
| 1960s | 42.671 | 6.921 | 6.166 | <0.0001 | |
| 2010s | 53.161 | 7.650 | 6.949 | <0.0001 | |
| Smooth terms | edf | Ref.df | F | ||
| times_norm | 8.422 | 8.536 | 40.513 | <0.0001 | |
| times_norm:1960s | 5.996 | 6.603 | 7.878 | <0.0001 | |
| times_norm:2010s | 4.123 | 4.571 | 12.305 | <0.0001 | |
| /oː/ F2 | |||||
| Parametric coefficients | Intercept | 966.38 | 14.22 | 67.951 | <0.0001 |
| 1960s | 36.41 | 17.40 | 2.092 | 0.037 | |
| 2010s | 20.54 | 19.09 | 1.076 | 0.282 | |
| Smooth terms | edf | Ref.df | F | ||
| times_norm | 8.118 | 8.307 | 179.767 | <0.0001 | |
| times_norm:1960s | 7.060 | 7.668 | 9.526 | <0.0001 | |
| times_norm:2010s | 2.634 | 2.854 | 2.770 | 0.054 | |
| /ʊ/ F1 | |||||
| Parametric coefficients | Intercept | 397.804 | 4.201 | 94.687 | <0.0001 |
| 1960s | 91.880 | 5.135 | 17.893 | <0.0001 | |
| 2010s | 36.156 | 5.657 | 6.391 | <0.0001 | |
| Smooth terms | edf | Ref.df | F | ||
| times_norm | 8.062 | 8.208 | 35.168 | <0.0001 | |
| times_norm:1960s | 7.059 | 7.548 | 0.669 | 0.629 | |
| times_norm:2010s | 2.721 | 2.983 | 1.627 | 0.171 | |
| /ʊ/ F2 | |||||
| Parametric coefficients | Intercept | 1534.15 | 19.60 | 78.282 | <0.0001 |
| 1960s | −95.81 | 23.99 | −3.993 | <0.0001 | |
| 2010s | 113.88 | 26.26 | 4.336 | <0.0001 | |
| Smooth terms | edf | Ref.df | F | ||
| times_norm | 7.348 | 7.554 | 75.360 | <0.0001 | |
| times_norm:1960s | 6.414 | 6.888 | 7.450 | <0.0001 | |
| times_norm:2010s | 1.000 | 1.000 | 0.221 | 0.639 | |
| /ɜː/ F1 | |||||
| Parametric coefficients | Intercept | 509.637 | 5.523 | 92.270 | <0.0001 |
| 1960s | 9.013 | 6.745 | 1.336 | 0.182 | |
| 2010s | 120.581 | 7.455 | 16.174 | <0.0001 | |
| Smooth terms | edf | Ref.df | F | ||
| times_norm | 8.145 | 8.319 | 68.449 | <0.0001 | |
| times_norm:1960s | 7.635 | 8.179 | 23.446 | <0.0001 | |
| times_norm:2010s | 3.942 | 4.363 | 7.453 | <0.0001 | |
| /ɜː/ F2 | |||||
| Parametric coefficients | Intercept | 1898.30 | 13.72 | 138.360 | <0.0001 |
| 1960s | 32.66 | 16.68 | 1.957 | 0.050 | |
| 2010s | −2.04 | 18.63 | −0.109 | 0.913 | |
| Smooth terms | edf | Ref.df | F | ||
| times_norm | 2.730 | 2.912 | 6.006 | 0.0008 | |
| times_norm:1960s | 1.000 | 1.000 | 0.479 | 0.489 | |
| times_norm:2010s | 3.718 | 4.100 | 5.271 | <0.0003 |
| 1 | We use the phonemic symbols for the vowels of Australian English recommended by Harrington et al. (1997), Cox and Palethorpe (2007) and Cox and Fletcher ([2012] 2017). MAusE is non-rhotic. |
| 2 | The reliability analysis for the present study is identical to that reported in Cox et al., forthcoming. |
| 3 | The code for these models was: bam(F1/F2 ~ Time period + s(normalised vowel duration) + s(normalised vowel duration, by = Time period, bs = “tp”, k = 11) + s(normalised vowel duration, Speaker, bs = “fs”, m = 1)). |
| 4 | In Cox et al., forthcoming, which used a similar dataset to that used here (but with additional tokens and prior to further corrections being applied), the following significant differences found here were not identified: 1960s–1990s raised /iː/, /ɪ/, /e/, fronted /ʊ/, retracted /oː/, 1990s–2010s lowered /ɐ/, /oː/, /ʊ/, /ʉː/, fronted /ɪ/. Note that a different statistical approach to the present analysis has been taken compared to Cox et al., forthcoming. See Section 2.5 for details. |
References
- Adank, Patti, Roel Smits, and Roeland van Hout. 2004. A comparison of vowel normalisation procedures for language variation research. Journal of the Acoustical Society of America 116: 3099–3107. [Google Scholar] [CrossRef] [PubMed]
- Bauer, Laurie. 1986. Notes on New Zealand English phonetics and phonology. English World-Wide 7: 225–58. [Google Scholar] [CrossRef]
- Bernard, John. 1970. Towards the acoustic specification of Australian English. Zeitschrift für Phonetik 2: 113–28. [Google Scholar] [CrossRef]
- Billington, Rosey. 2011. Location, location, location! Regional characteristics and national patterns of change in the vowels of Melbourne adolescents. Australian Journal of Linguistics 31: 275–303. [Google Scholar] [CrossRef]
- Boberg, Charles. 2005. The Canadian Shift in Montreal. Language Variation and Change 17: 133–54. [Google Scholar] [CrossRef]
- Brand, James, Jen Hay, Lynn Clark, Kevin Watson, and Márton Sóskuthy. 2021. Systematic co-variation of monophthongs across speakers of New Zealand English. Journal of Phonetics 88: 1–24. [Google Scholar] [CrossRef]
- Burnham, Denis, Dominique Estival, Steven Fazio, Felicity Cox, Robert Dale, Jette Viethen, Steve Cassidy, Julien Epps, Roberto Togneri, Yuko Kinoshita, and et al. 2011. Building an Audio-Visual Corpus of Australian English: Large Corpus collection with an economical portable and replicable Black Box. Paper presented at 12th Annual Conference of the International Speech Communication Association (Interspeech 2011), Florence, Italy, August 27–31; Edited by Piero Cosi, Renato De Mori, Giuseppe Di Fabbrizio and Roberto Pieraccini. pp. 841–44. [Google Scholar] [CrossRef]
- Butcher, Andrew. 2006. Formant frequencies of /hVd/ vowels in the speech of South Australian females. Paper presented at 11th Australasian International Conference on Speech Science and Technology, Auckland, New Zealand, December 6–8; Edited by Paul Warren and Catherine I. Watson. Auckland: Australasian Speech Science and Technology Association Inc., pp. 449–53. [Google Scholar]
- Butcher, Andrew. 2012. Changes in the Formant frequencies of vowels in the speech of South Australian females 1945–2010. Paper presented at 14th Australasian International Conference on Speech Science and Technology, Sydney, Australia, December 3–6; Edited by Felicity Cox, Katherine Demuth, Susan Lin, Kelly Miles, Sallyanne Palethorpe, Jason Shaw and Ivan Yuen. Auckland: Australasian Speech Science and Technology Association Inc., pp. 449–53. [Google Scholar]
- Cassidy, Steve, and Catherine I. Watson. 1998. Dynamic features in children’s vowels. Paper presented at Fifth International Conference on Spoken Language Processing, Sydney, Australia, November 30–December 4. [Google Scholar]
- Chuang, Yu-Ying, Janice Fon, and R. Harald Baayen. 2020. Analyzing phonetic data with generalized additive mixed models. PsyArXiv. [Google Scholar] [CrossRef]
- Cole, Jennifer, Gary Linebaugh, Cheyenne M. Munson, and Bob McMurray. 2010. Unmasking the acoustic effects of vowel to vowel coarticulation: A statistical modelling approach. Journal of Phonetics 38: 176–184. [Google Scholar] [CrossRef]
- Cox, Felicity. 1999. Vowel Change in Australian English. Phonetica 56: 1–27. [Google Scholar] [CrossRef]
- Cox, Felicity. 2006. The acoustic characteristics of /hVd/ vowels in the speech of some Australian teenagers. Australian Journal of Linguistics 26: 147–79. [Google Scholar] [CrossRef]
- Cox, Felicity, and Janet Fletcher. 2017. Australian English: Pronunciation and Transcription, 2nd ed. Melbourne: Cambridge University Press. First published 2012. [Google Scholar]
- Cox, Felicity, and Sallyanne Palethorpe. 2001. The changing face of Australian English vowels. In English in Australia. Edited by David Blair and Peter Collins. Amsterdam: John Benjamins Publishing, pp. 17–44. [Google Scholar]
- Cox, Felicity, and Sallyanne Palethorpe. 2007. Illustrations of the IPA: Australian English. Journal of the International Phonetic Association 37: 341–50. [Google Scholar] [CrossRef]
- Cox, Felicity, and Sallyanne Palethorpe. 2008. Reversal of short front vowel raising in Australian English. Paper presented at 9th Annual Conference the International Speech Communication Association (Interspeech 2008) incorporating the 12th Australasian International Conference on Speech Science and Technology (SST 2008), Brisbane, Australia, September 22–26; Edited by Janet Fletcher, Deborah Loakes, Roland Göecke, Denis Burnham and Michael Wagner. Brisbane: International Speech Communication Association, pp. 342–45. [Google Scholar]
- Cox, Felicity, and Sallyanne Palethorpe. 2019. Vowel variation across four major Australian cities. Paper presented at 19th International Congress of Phonetic Sciences (ICPhS XIX), Melbourne, Australia, August 5–9; Edited by Sasha Calhoun, Paola Escudero, Marija Tabain and Paul Warren. Canberra: Australasian Speech Science and Technology Association Inc., pp. 577–81. [Google Scholar]
- Cox, Felicity, Sallyanne Palethorpe, and Samantha Bentink. 2014. Phonetic archaeology and fifty years of change to Australian English /iː/. Australian Journal of Linguistics 34: 50–75. [Google Scholar] [CrossRef]
- Cox, Felicity, Sallyanne Palethorpe, and Joshua Penney. Forthcoming. 50 years of monophthong and diphthong shifts in Australian English. In Speech Dynamics: Synchronic Variation and Diachronic Change. Edited by Felicitas Kleber and Tamara Rathcke. Berlin: Mouton De Gruyter.
- D’Onofrio, Annette, and Jaime Benheim. 2020. Contextualizing reversal: Local dynamics of the Northern Cities Shift in a Chicago community. Journal of Sociolinguistics 24: 469–91. [Google Scholar] [CrossRef]
- de Boer, Bart. 2000. Self organization in vowel systems. Journal of Phonetics 28: 441–65. [Google Scholar] [CrossRef]
- Disner, Sandra Ferrari. 1980. Evaluation of vowel normalization methods. Journal of the Acoustical Society of America 67: 253–61. [Google Scholar] [CrossRef] [PubMed]
- Docherty, Gerard, Simon Gonzalez, and Nathaniel Mitchell. 2015. Static vs dynamic perspectives on the realization of vowel nucleii in West Australian English. Paper presented at 18th International Congress of Phonetic Sciences (ICPhS XVIII), Glasgow, UK, August 10–14; Edited by The Scottish Consortium for ICPhS 2015. Glasgow: Scotland. [Google Scholar]
- Docherty, Gerard, Paul Foulkes, Simon Gonzalez, and Nathaniel Mitchell. 2018. Missed connections at the junction of sociolinguistics and speech processing. Topics in Cognitive Science 10: 759–74. [Google Scholar] [CrossRef] [PubMed]
- Elvin, Jaydene, Daniel Williams, and Paola Escudero. 2016. Dynamic acoustic properties of monophthongs and diphthongs in Western Sydney Australian English. The Journal of the Acoustical Society of America 140: 576–81. [Google Scholar] [CrossRef] [PubMed]
- Farrington, Charlie, Tyler Kendall, and Valerie Fridland. 2018. Vowel Dynamics in the Southern Vowel Shift. American Speech 93: 186–222. [Google Scholar] [CrossRef]
- Fruehwald, Josef. 2017. The role of phonology in phonetic change. Annual Review of Linguistics 3: 25–42. [Google Scholar] [CrossRef]
- Gamer, Matthias, Jim Lemon, Ian Fellows, and Puspendra Singh. 2019. R Package Irr. Available online: https://cran.r-project.org/web/packages/irr/ (accessed on 26 February 2024).
- Gordon, Matthew J. 2011. Methodological and theoretical issues in the study of chain shifting. Language and Linguistics Compass 5: 784–94. [Google Scholar] [CrossRef]
- Gordon, Matthew J. 2015. Exploring chain shifts, mergers, and near-mergers as changes in progress. In The Oxford Handbook of Historical Phonology. Edited by Patrick Honeybone and Joseph Salmons. Oxford: Oxford University Press, pp. 173–90. [Google Scholar]
- Gordon, Elizabeth, Lyle Campbell, Jen Hay, Margaret Maclagan, Andrea Sudbury, and Peter Trudgill. 2004. New Zealand English: Its Origins and Evolution. Cambridge: CUP. [Google Scholar]
- Grama, James, Catherine E. Travis, and Simon González. 2019. Initiation, progression and conditioning of the short-front vowel shift in Australian English. Paper presented at 19th International Congress of Phonetic Sciences (X1X), Melbourne, Australia, August 5–9; Edited by Sasha Calhoun, Paola Escudero, Marija Tabain and Paul Warren. Canberra: Australasian Speech Science and Technology Association Inc., pp. 1769–73. [Google Scholar]
- Gubian, Michele, Jonathan Harrington, Mary Stevens, Florian Schiel, and Paul Warren. 2019. Tracking the New Zealand English NEAR/SQUARE Merger Using Functional Principal Components Analysis. Open Access Te Herenga Waka-Victoria University of Wellington.Paper presented at 20th Annual Conference the International Speech Communication Association Interspeech 2019, Graz, Austria, September 15–19; pp. 296–300. [Google Scholar]
- Harrington, Jonathan, and Steve Cassidy. 1994. Dynamic and target theories of vowel classification: Evidence from monophthongs and diphthongs in Australian English. Language and Speech 37: 357–73. [Google Scholar] [CrossRef]
- Harrington, Jonathan, and Florian Schiel. 2017. /u/-fronting and agent-based modeling: The relationship between the origin and spread of sound change. Language 93: 414–45. [Google Scholar] [CrossRef]
- Harrington, Jonathan, Felicity Cox, and Zoë Evans. 1997. An acoustic phonetic study of broad, general, and cultivated Australian English vowels. Australian Journal of Linguistics 17: 155–84. [Google Scholar] [CrossRef]
- Harrington, Jonathan, Felicitas Kleber, and Ulrich Reubold. 2011. The contributions of the lips and tongue to the diachronic fronting of high back vowels in Standard Southern British English. Journal of the International Phonetic Association 41: 137–56. [Google Scholar] [CrossRef]
- Harrington, Jonathan, Hoole Philip, and Marianne Pouplier. 2013. Future directions in speech production. In The Bloomsbury Companion to Phonetics. Edited by Mark Jones and Rachael-Anne Knight. London: Bloomsbury, pp. 242–59. [Google Scholar]
- Harrington, Jonathan, Felicitas Kleber, Ulrich Reubold, Florian Schiel, and Mary Stevens. 2018. Linking cognitive and social aspects of sound change using agent-based modeling. Topics in Cognitive Science 10: 707–28. [Google Scholar] [CrossRef]
- Harrington, Jonathan, Michele Gubian, Mary Stevens, and Florian Schiel. 2019a. Phonetic change in an Antarctic winter. The Journal of the Acoustical Society of America 146: 3327–32. [Google Scholar] [CrossRef] [PubMed]
- Harrington, Jonathan, Felicitas Kleber, Ulrich Reubold, Florian Schiel, and Mary Stevens. 2019b. The phonetic basis of the origin and spread of sound change. In The Routledge Handbook of Phonetics. Edited by William F. Katz and Peter F. Assmann. London: Routledge, pp. 401–26. [Google Scholar]
- Hawkins, Sarah, and Jonathan Midgley. 2005. Formant frequencies of RP monophthongs in four age groups of speakers. Journal of the International Phonetic Association 35: 183–99. [Google Scholar] [CrossRef]
- Hay, Jennifer B., Janet B. Pierrehumbert, Abby J. Walker, and Patrick LaShell. 2015. Tracking word frequency effects through 130 years of sound change. Cognition 139: 83–91. [Google Scholar] [CrossRef]
- Hickey, Raymond. 2018. ‘Yes, that’s the best’: Short front vowel lowering in English today. English Today 34: 9–16. [Google Scholar] [CrossRef]
- Hockett, Charles F. 1955. A Manual of Phonology. Baltimore: Waverly Press. [Google Scholar]
- Jacewicz, Ewa, and Robert Allen Fox. 2011. Perceptual distinctiveness of vowels in relation to dialectal sound change. The Journal of the Acoustical Society of America 129: 2421–21. [Google Scholar] [CrossRef]
- Jacewicz, Ewa, Robert Allen Fox, and Joseph Salmons. 2011. Cross-generational vowel change in American English. Language Variation and Change 23: 45–86. [Google Scholar] [CrossRef] [PubMed]
- Jacewicz, Ewa, and Robert Allen Fox. 2013. Cross-Dialectal Differences in Dynamic Formant Patterns in American English Vowels. In Vowel Inherent Spectral Change. Edited by Geoffrey Stewart Morrison and Peter F. Assmann. Berlin and Heidelberg: Springer. [Google Scholar] [CrossRef]
- Jin, Su-Hyun, and Chang Liu. 2013. The vowel inherent spectral change of English vowels spoken by native and non-native speakers. The Journal of the Acoustical Society of America 133: EL363. [Google Scholar] [CrossRef] [PubMed]
- Jones, Caroline, Felicity Meakins, and Heather Buchan. 2011. Comparing vowels in Gurindji Kriol and Katherine English: Citation speech data. Australian Journal of Linguistics 31: 305–26. [Google Scholar] [CrossRef]
- Kirkham, Sam, Claire Nance, Bethany Littlewood, Kate Lightfoot, and Eve Groarke. 2019. Dialect variation in formant dynamics: The acoustics of lateral and vowel sequences in Manchester and Liverpool English. The Journal of the Acoustical Society of America 145: 784. [Google Scholar] [CrossRef] [PubMed]
- Kisler, Thomas, Uwe Reichel, and Florian Schiel. 2017. Multilingual processing of speech via web services. Computer Speech and Language 45: 326–47. [Google Scholar] [CrossRef]
- Koo, Terry K., and Mae Y. Li. 2016. A guideline of selecting and reporting intraclass correlations for reliability research. Journal of Chiropractic Medicine 15: 155–63. [Google Scholar] [CrossRef] [PubMed]
- Labov, William. 1994. Principles of Linguistic Change: Internal Factors. Oxford: Blackwell. [Google Scholar]
- Labov, William. 2010. Principles of linguistic change: Cognitive and Cultural Factors. Malden: Wiley Blackwell. [Google Scholar]
- Labov, William, Rosenfelder Ingrid, and Fruehwald Josef. 2013. One hundred years of sound change in Philadelphia: Linear incrementation, reversal, and reanalysis. Language 89: 30–65. [Google Scholar] [CrossRef]
- Liljencrants, Johan, and Björn Lindblom. 1972. Numerical simulation of vowel quality systems: The role of perceptual contrast. Language 48: 839–62. [Google Scholar] [CrossRef]
- Lubowicz, Anna. 2011. Chain shifts. In The Blackwell Companion to Phonology. Edited by Marc van Oostendorp, Colin J. Ewen, Elizabeth Hume and Keren Rice. Oxford: Wiley-Blackwell, pp. 1717–35. [Google Scholar]
- Maclagan, Margaret, and Jennifer Hay. 2007. Getting fed up with our feet: Contrast maintenance and the New Zealand English “short” front vowel shift. Language Variation and Change 9: 1–25. [Google Scholar] [CrossRef]
- Martinet, André. 1952. Function, structure, and sound change. Word 8: 1–32. [Google Scholar] [CrossRef]
- Mitchell, Alexander G., and Arthur Delbridge. 1965. The Speech of Australian Adolescents. Sydney: Angus and Robertson. [Google Scholar]
- Morrison, Geoffrey. 2013. Theories of vowel inherent spectral change. In Vowel Inherent Spectral Change. Edited by Geoffrey Morrison and Peter F. Assmann. Berlin: Springer, pp. 31–47. [Google Scholar]
- Nearey, Terrance M. 2013. Vowel inherent spectral change in the vowels of North American English. In Vowel Inherent Spectral Change. Edited by Geoffrey Morrison and Peter F. Assmann. Berlin: Springer, pp. 49–85. [Google Scholar]
- Nearey, Terrance M., and Peter F. Assmann. 1986. Modeling the role of inherent spectral change in vowel identification. The Journal of the Acoustical Society of America 80: 1297–308. [Google Scholar] [CrossRef]
- Purser, Benjamin, James Grama, and Catherine E. Travis. 2020. Australian English over time: Using sociolinguistic analysis to inform dialect coaching. Voice and Speech 14: 269–91. [Google Scholar] [CrossRef]
- R Core Team. 2020. R: A Language and Environment for Statistical Computing. Version 4.0.2. Available online: https://www.R-project.org/ (accessed on 26 February 2024).
- Ratko, Louise, Michael Proctor, and Felicity Cox. 2023a. Articulation of vowel length contrasts in Australian English. Journal of the International Phonetic Association 53: 774–803. [Google Scholar] [CrossRef]
- Ratko, Louise, Michael Proctor, and Felicity Cox. 2023b. Gestural characterisation of vowel length contrasts in Australian English. Journal of Phonetics 98: 1–21. [Google Scholar] [CrossRef]
- Renwick, Margaret E. L., and Joseph A. Stanley. 2020. Modelling dynamic trajectories of front vowels in the American South. The Journal of the Acoustical Society of America 147: 579–95. [Google Scholar] [CrossRef] [PubMed]
- Schwartz, Geoffrey. 2021. The phonology of vowel VISC-osity—Acoustic evidence and representational implications. Glossa: A Journal of General Linguistics 6: 26. [Google Scholar] [CrossRef]
- Shrout, Patrick E., and Joseph L. Fleiss. 1979. Intraclass correlations: Uses in assessing rater reliability. Psychological Bulletin 86: 420–28. [Google Scholar] [CrossRef]
- Sóskuthy, Márton. 2017. Generalised Additive Mixed Models for Dynamic Analysis in Linguistics: A Practical Introduction. Available online: https://github.com/soskuthy/gamm_intro (accessed on 26 February 2024).
- Sóskuthy, Márton, Jennifer Hay, and James Brand. 2019. Horizontal diphthong shift in New Zealand English. Paper presented at 19th International Congress of Phonetic Sciences (ICPhS), Melbourne, Australia, August 5–9; Edited by Sasha Calhoun, Paola Escudero, Marija Tabain and Paul Warren. Canberra: Australasian Speech Science and Technology Association Inc., pp. 597–601. [Google Scholar]
- Stanley, Joseph A., Margaret E. L. Renwick, Katherine I. Kuiper, and Rachel M. Olsen. 2021. Back vowel Dynamics and distinctions in Southern American English. Journal of English Language 49: 389–418. [Google Scholar] [CrossRef]
- Stevens, Kenneth. 2000. Acoustic Phonetics. Cambridge, MA: MIT Press. [Google Scholar]
- Tamminga, Meredith. 2019. Interspeaker covariation in Philadelphia vowel changes. Language Variation and Change 31: 119–33. [Google Scholar] [CrossRef]
- Torgersen, Eivind, and Paul Kerswill. 2004. Internal and external motivation in phonetic change: Dialect levelling outcomes for an English vowel shift. Journal of Sociolinguistics 8: 33–53. [Google Scholar] [CrossRef]
- van Rij, Jacolien, Martijn Wieling, R. Harald Baayen, and Heddrick van Rijn. 2020. Itsadug: Interpreting Time Series and Autocorrelated Data Using GAMMs. R Package Version 2.4. Available online: https://cran.r-project.org/web/packages/itsadug (accessed on 26 February 2024).
- Watson, Catherine I., and Jonathan Harrington. 1999. Acoustic evidence for dynamic formant trajectories in Australian English vowels. The Journal of the Acoustical Society of America 106: 458–68. [Google Scholar] [CrossRef] [PubMed]
- Watson, Catherine I., Margaret Maclagan, and Jonathan Harrington. 2000. Acoustic evidence for vowel change in New Zealand English. Language Variation and Change 12: 51–68. [Google Scholar] [CrossRef]
- Wieling, Martijn. 2018. Analyzing dynamic phonetic data using generalized additive mixed modeling: A tutorial focusing on articulatory differences between L1 and L2 speakers of English. Journal of Phonetics 70: 86–116. [Google Scholar] [CrossRef]
- Williams, Daniel, and Paola Escudero. 2014. A cross-dialectal acoustic comparison of vowels in Northern and Southern British English. The Journal of the Acoustical Society of America 136: 2751–61. [Google Scholar] [CrossRef] [PubMed]
- Williams, Daniel, Jan-Willem van Leussen, and Paola Escudero. 2015. Beyond North American English: Modelling vowel inherent spectral change in British English and Dutch. Paper presented at Congress of Phonetic Sciences (ICPhS XVIII), Glasgow, UK, August 10–14; Edited by The Scottish Consortium for ICPhS 2015. Glasgow: Scotland. [Google Scholar]
- Williams, Daniel, Paola Escudero, and Adamantios Gafos. 2018. Spectral change and duration as cues in Australian English listeners’ front vowel categorization. The Journal of the Acoustical Society of America 144: EL215. [Google Scholar] [CrossRef] [PubMed]
- Winkelmann, Raphael, Lasse Bombien, and Michel Scheffers. 2016. Wrassp: An R Wrapper to the ASSP Library. Available online: https://cran.r-project.org/web/packages/wrassp (accessed on 26 February 2024).
- Winkelmann, Raphael, Jonathan Harrington, and Klaus Jänsch. 2017. EMU-SDMS: Advanced speech database management and analysis in R. Computer Speech and Language 45: 392–410. [Google Scholar] [CrossRef]
- Winter, Bodo, and Martijn Wieling. 2016. How to analyze linguistic change using mixed models, Growth Curve Analysis and Generalized Additive Modeling. Journal of Language Evolution 1: 7–18. [Google Scholar] [CrossRef]
- Wood, Simon N. 2011. Fast stable restricted maximum likelihood and marginal likelihood estimation of semiparametric generalized linear models. Journal of the Royal Statistical Society (Series B) 73: 3–36. [Google Scholar] [CrossRef]
- Wood, Simon N. 2017. Generalized Additive Models: An Introduction with R, 2nd ed. Boca Raton: CRC Press. First published 2006. [Google Scholar]
- Zahorian, Stephen A., and Amir Jalali Jagharghi. 1993. Spectral-shape features versus formants as acoustic correlates for vowels. The Journal of the Acoustical Society of America 94: 1966–82. [Google Scholar] [CrossRef]
- Zellou, Georgia, and Meredith Tamminga. 2014. Nasal coarticulation changes over time in Philadelphia English. Journal of Phonetics 47: 18–35. [Google Scholar] [CrossRef]




| 1960s | n | 1990s | n | 2010s | n | |
|---|---|---|---|---|---|---|
| /iː/ | speed | 119 | speed | 60 | speed | 71 |
| /ɪ/ | pick | 121 | pick | 59 | picked | 71 |
| /e/ | let’s | 121 | spend | 59 | spent | 71 |
| /æ/ | relaxing | 121 | relaxing | 59 | relaxing | 71 |
| /ɐ/ | sun | 121 | sun | 59 | sun | 71 |
| /ɔ/ | spot | 121 | spot | 56 | spot | 71 |
| /oː/ | water | 121 | water | 59 | water | 71 |
| /ʊ/ | good | 121 | good | 59 | good | 71 |
| /ʉː/ | flew | 115 | flew | 59 | flew | 70 |
| /ɜː/ | surfing | 121 | surfing | 59 | surfing | 71 |
| 1960s–1990s | 1990s–2010s | |||||||
|---|---|---|---|---|---|---|---|---|
| F1 | ↕ | F2 | ⟷ | F1 | ↕ | F2 | ⟷ | |
| /iː/ | *** | ↑ | *** | → | – | *** | ← | |
| /ɪ/ | ** | ↑ | – | – | *** | ← | ||
| /e/ | *** | ↑ | *** | → | *** | ↓ | – | |
| /æ/ | * | ↓ | *** | → | *** | ↓ | – | |
| /ɐ/ | – | *** | → | *** | ↓ | – | ||
| /ɜː/ | – | – | *** | ↓ | – | |||
| /ɔ/ | *** | ↑ | *** | → | *** | ↓ | – | |
| /oː/ | *** | ↑ | *** | → | *** | ↓ | – | |
| /ʊ/ | *** | ↑ | ** | ← | *** | ↓ | *** | ← |
| /ʉː/ | *** | ↑ | *** | ← | *** | ↓ | *** | ← |
| 1960s–1990s | ||||||||||
|---|---|---|---|---|---|---|---|---|---|---|
| F1 | F2 | |||||||||
| DCT0 | ↕ | DCT1 | DCT2 | DCT0 | ⟷ | DCT1 | DCT2 | |||
| /iː/ | – | *** | *** | *** | → | * | ** | |||
| /ɪ/ | * | ↑ | – | – | – | * | – | |||
| /e/ | *** | ↑ | – | *** | *** | → | *** | *** | ||
| /æ/ | – | – | *** | *** | → | *** | – | |||
| /ɐ/ | – | *** | * | *** | → | – | – | |||
| /ɜː/ | – | ** | *** | – | – | – | ||||
| /ɔ/ | *** | ↑ | ** | – | *** | → | *** | ** | ||
| /oː/ | *** | ↑ | ** | *** | * | → | * | *** | ||
| /ʊ/ | *** | ↑ | – | – | *** | ← | – | *** | ||
| /ʉː/ | *** | ↑ | *** | * | *** | ← | *** | ** | ||
| 1990s–2010s | ||||||||||
|---|---|---|---|---|---|---|---|---|---|---|
| F1 | F2 | |||||||||
| DCT0 | ↕ | DCT1 | DCT2 | DCT0 | ⟷ | DCT1 | DCT2 | |||
| /iː/ | – | – | *** | *** | ← | – | *** | |||
| /ɪ/ | – | – | – | *** | ← | – | – | |||
| /e/ | *** | ↓ | – | – | – | – | – | |||
| /æ/ | *** | ↓ | – | * | – | *** | – | |||
| /ɐ/ | ** | ↓ | ** | – | – | * | * | |||
| /ɜː/ | *** | ↓ | *** | – | – | ** | ** | |||
| /ɔ/ | *** | ↓ | *** | *** | *** | ← | *** | *** | ||
| /oː/ | *** | ↓ | *** | – | – | * | – | |||
| /ʊ/ | *** | ↓ | – | – | *** | ← | – | – | ||
| /ʉː/ | *** | ↓ | – | – | – | *** | *** | |||
| Vowel | F1 Parametric | F1 Non-Linear | F2 Parametric | F2 Non-Linear |
|---|---|---|---|---|
| /iː/ | - | *** | *** | *** |
| /ɪ/ | * | - | - | ** |
| /e/ | *** | *** | *** | *** |
| /æ/ | - | *** | *** | *** |
| /ɐ/ | - | *** | *** | - |
| /ɜː/ | - | *** | - | - |
| /ɔ/ | *** | * | *** | *** |
| /oː/ | *** | *** | * | *** |
| /ʊ/ | *** | - | *** | *** |
| /ʉː/ | *** | *** | *** | *** |
| Vowel | F1 Parametric | F1 Non-Linear | F2 Parametric | F2 Non-Linear |
|---|---|---|---|---|
| /iː/ | - | *** | *** | *** |
| /ɪ/ | - | ** | *** | - |
| /e/ | *** | - | - | - |
| /æ/ | *** | * | - | *** |
| /ɐ/ | ** | *** | - | ** |
| /ɜː/ | *** | *** | - | *** |
| /ɔ/ | *** | *** | *** | *** |
| /oː/ | *** | *** | - | - |
| /ʊ/ | *** | - | *** | - |
| /ʉː/ | *** | *** | - | *** |
| Static: Target, DCT0, GAMM Parametric | Dynamic: DCT1/DCT2, GAMM Non Linear | |||
|---|---|---|---|---|
| Vowel | F1 | F2 | F1 | F2 |
| /iː/ | ↑ target only | → ✓ | ✓ | ✓ |
| /ɪ/ | ↑ ✓ | – ✓ | – ✓ | ✓ |
| /e/ | ↑ ✓ | → ✓ | ✓ | ✓ |
| /æ/ | ↓ target only | → ✓ | ✓ | ✓ |
| /ɐ/ | – ✓ | → ✓ | ✓ | – ✓ |
| /ɜː/ | – ✓ | – ✓ | ✓ | – ✓ |
| /ɔ/ | ↑ ✓ | → ✓ | ✓ | ✓ |
| /oː/ | ↑ ✓ | → ✓ | ✓ | ✓ |
| /ʊ/ | ↑ ✓ | ← ✓ | – ✓ | ✓ |
| /ʉː/ | ↑ ✓ | ← ✓ | ✓ | ✓ |
| Static: Target, DCT0, GAMM Parametric | Dynamic: DCT1/DCT2, GAMM Non Linear | |||
|---|---|---|---|---|
| Vowel | F1 | F2 | F1 | F2 |
| /iː/ | – ✓ | ← ✓ | ✓ | ✓ |
| /ɪ/ | – ✓ | ← ✓ | GAMM only (DCT2 trend 0.06) | – ✓ |
| /e/ | ↓ ✓ | – ✓ | – ✓ | – ✓ |
| /æ/ | ↓ ✓ | – ✓ | ✓ | ✓ |
| /ɐ/ | ↓ ✓ | – ✓ | ✓ | ✓ |
| /ɜː/ | ↓ ✓ | – ✓ | ✓ | ✓ |
| /ɔ/ | ↓ ✓ | ← GAMM/DCT0 only | ✓ | ✓ |
| /oː/ | ↓ ✓ | – ✓ | ✓ | DCT1 only (GAMM trend 0.054) |
| /ʊ/ | ↓ ✓ | ← ✓ | – ✓ | – ✓ |
| /ʉː/ | ↓ ✓ | ← target only | GAMM only | ✓ |
Disclaimer/Publisher’s Note: The statements, opinions and data contained in all publications are solely those of the individual author(s) and contributor(s) and not of MDPI and/or the editor(s). MDPI and/or the editor(s) disclaim responsibility for any injury to people or property resulting from any ideas, methods, instructions or products referred to in the content. |
© 2024 by the authors. Licensee MDPI, Basel, Switzerland. This article is an open access article distributed under the terms and conditions of the Creative Commons Attribution (CC BY) license (https://creativecommons.org/licenses/by/4.0/).
Share and Cite
Cox, F.; Penney, J.; Palethorpe, S. Australian English Monophthong Change across 50 Years: Static versus Dynamic Measures. Languages 2024, 9, 99. https://doi.org/10.3390/languages9030099
Cox F, Penney J, Palethorpe S. Australian English Monophthong Change across 50 Years: Static versus Dynamic Measures. Languages. 2024; 9(3):99. https://doi.org/10.3390/languages9030099
Chicago/Turabian StyleCox, Felicity, Joshua Penney, and Sallyanne Palethorpe. 2024. "Australian English Monophthong Change across 50 Years: Static versus Dynamic Measures" Languages 9, no. 3: 99. https://doi.org/10.3390/languages9030099
APA StyleCox, F., Penney, J., & Palethorpe, S. (2024). Australian English Monophthong Change across 50 Years: Static versus Dynamic Measures. Languages, 9(3), 99. https://doi.org/10.3390/languages9030099

