Aerodynamic Characteristics of a Ducted Fan Hovering and Transition in Ground Effect
Abstract
1. Introduction
2. Numerical Method and Validation
2.1. Ducted Fan Model
2.2. Validation of Numerical Method
3. Hovering in Ground Effect
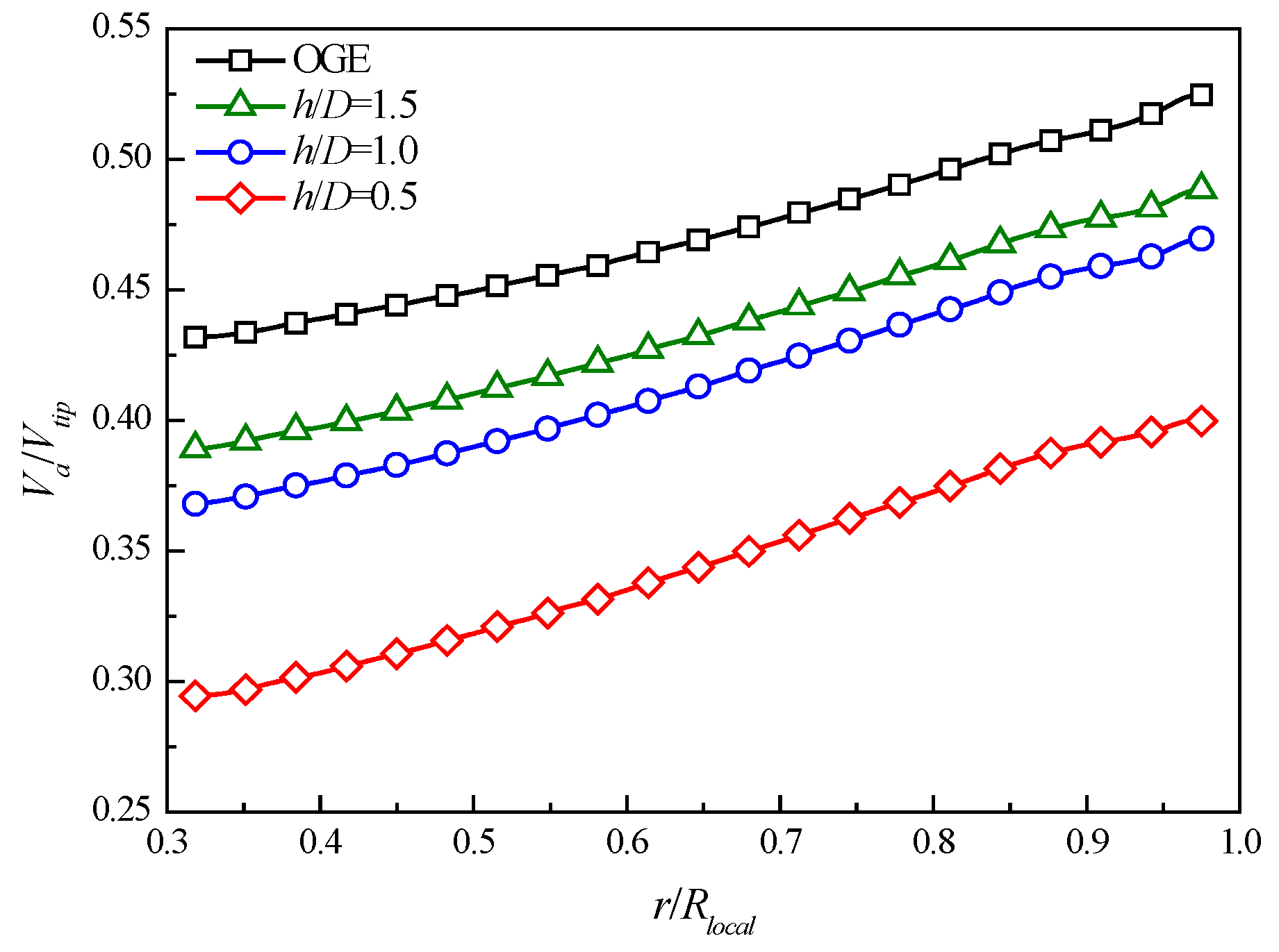
3.1. Variation in Ducted Fan Performance with Height
3.2. Flow Physics Leading to Increase in Blade Thrust
3.3. Flow Physics Leading to Decrease in Duct Thrust
4. Transitioning in Ground Effect
4.1. Ducted Fan Performance at Different Heights
4.2. Ducted Fan Performance at h/D = 0.5
4.3. Flow Physics Leading to Increase in Blade Thrust
4.4. Influence of Ground Vortex
5. Conclusions
- For the ducted fan studied in this paper, the ground effect is negligible in hovering when the height off the ground is greater than 3D and becomes significant when the height is less than 1.5D. As the height decreases, the thrust of the blades increases, while the thrust of the duct decreases. Compared with the values out of the ground effect, at the height of 0.5D, the blade thrust increases by 28.4%, and the duct thrust decreases by 41.1%, resulting in a total thrust decrease by 12.5%; the power loading decreases by 14.6%. The efficiency of the ducted fan decreases in the ground effect.
- When the ducted fan hovers in the ground effect, the increase in the blade thrust is the result of the combined effect of the increase in the effective angle of attack of the blade and the increase in the ambient pressure; the decrease in the duct thrust is the result of the combined effect of the decrease in the effective angle of attack of the duct and the increase in the ambient pressure.
- Stall occurs at a certain advance ratio and angle of attack when transitioning in the ground effect. The ground effect delays the occurrence of stall at some advance ratios. After stall occurs, the upwash resulting from the separated flow on the duct lip causes an increase in the total thrust of the blades.
- When the advance ratio is greater than 0.1, the influence zone of the ground effect is reduced, and the ground effect is hardly detectable at angles of attack less than 30° even if the height drops to 0.5D. At the height of 0.5D and high angles of attack, after the jet impinges on the ground, the interaction between the radially spreading wall flow and the crossflow generates ground vortices. The different positions and influence regions of the ground vortex at different advance ratios contribute to the different variation trends of the ducted fan performance and make the aerodynamic problem more complicated.
Author Contributions
Funding
Institutional Review Board Statement
Informed Consent Statement
Data Availability Statement
Conflicts of Interest
Nomenclature
| Symbols | Definition |
| r | Radial distance from fan axis |
| Rb | Blade radius |
| Db | Blade diameter |
| D | Duct exit diameter |
| cd | Duct chord |
| α | Angle of attack |
| V∞ | Freestream velocity |
| T | Thrust |
| N | Normal force |
| L | Lift |
| FX | Propulsive force |
| M | Pitching moment |
| Q | Blade torque |
| n | Fan rotational speed, revolution/s |
| ω | Fan rotational speed, revolution/min |
| Ω | Fan rotational speed, radian/s |
| ρ | Air density, 1.225 kg/m3 |
| p | Static pressure |
| p∞ | Static pressure of freestream, 101325 Pa |
| Vtip | Blade tip velocity, ΩRb |
| y+ | Nondimensional wall distance of the first mesh layer |
| h | Distance from the lowest point of duct trailing edge to the ground |
| P | Shaft power, 2πQn |
| PL | Power loading, T/P, |
| Nondimensional chordwise distance from blade leading edge | |
| θ | Pitch angle of blade section |
| Inflow angle | |
| Va | Induced velocity parallel to fan axis |
| Vt | Tangential velocity of blade element, Ωr |
| ξ | Chordwise distance from duct leading edge |
| Rlocal | Radius of duct inner surface |
| Ψ | Azimuth angle |
References
- Black, D.M.; Wainauski, H.S.; Rohrbach, C. Shrouded Propellers–A Comprehensive Performance Study. In Proceedings of the AIAA 5th Annual Meeting and Technical Display, Philadelphia, PA, USA, 21–24 October 1968. [Google Scholar] [CrossRef]
- Anderson, S.B. Historical Overview of V/STOL Aircraft Technology; Report No.: NASA-TM-812801; National Aeronautics and Space Administration: Washington, DC, USA, 1981.
- Paxhia, V.B.; Sing, E.Y. X-22A Design Development. J. Aircr. 1965, 2, 2–8. [Google Scholar] [CrossRef]
- BELL NEXUS. Available online: https://www.bellflight.com/products/bell-nexus (accessed on 12 July 2022).
- Architectural Performance Assessment of an Electric Vertical Take-off and Landing (e-VTOL) Aircraft Based on a Ducted Vectored Thrust Concept. Available online: https://lilium.com/files/redaktion/refresh_feb2021/investors/Lilium_7-Seater_Paper.pdf (accessed on 12 July 2022).
- Whiteside, S.; Pollard, B. Conceptual Design of a Tiltduct Reference Vehicle for Urban Air Mobility. In Proceedings of the VFS Aeromechanics for Advanced Vertical Flight Technical Meeting, San Jose, CA, USA, 25–27 January 2022. [Google Scholar]
- Sacks, A.H.; Burnell, J.A. Ducted propellers—A critical review of the state of the art. Prog. Aeosp. Sci. 1962, 3, 85–135. [Google Scholar] [CrossRef]
- Mort, K.W.; Yaggy, P.F. Aerodynamic Characteristics of a 4-Foot-Diameter Ducted Fan Mounted on the Tip of a Semispan Wing; Report No.: NASA TN D-1301; National Aeronautics and Space Administration: Washington, DC, USA, 1962.
- Grunwald, K.J.; Goodson, K.W. Aerodynamic Loads on an Isolated Shrouded-Propeller Configuration of Angles of Attack from −10° to 110°; Report No.: NASA TN D-995; National Aeronautics and Space Administration: Washington, DC, USA, 1962.
- Mort, K.W.; Gamse, B. A Wind-Tunnel Investigation of a 7-Foot-Diameter Ducted Propeller; Report No.: NASA TN D-4142; National Aeronautics and Space Administration: Washington, DC, USA, 1967.
- Abrego, A.I.; Bulaga, R.W.; Rutkowski, M.Y. Performance Study of a Ducted Fan System. In Proceedings of the American Helicopter Society Aerodynamics, Acoustics and Test and Evaluation Technical Specialists Meeting, San Francisco, CA, USA, 23–25 January 2002. [Google Scholar]
- Martin, P.; Tung, C. Performance and Flowfield Measurements on a 10-Inch Ducted Rotor VTOL UAV. In Proceedings of the 60th American Helicopter Society Annual Forum, Baltimore, MD, USA, 7–10 June 2004. [Google Scholar]
- Lind, R.; Nathman, J.; Gilchrist, I. Ducted Rotor Performance Calculations and Comparison with Experimental Data. In Proceedings of the 44th AIAA Aerospace Sciences Meeting and Exhibit, Reno, NV, USA, 9–12 January 2006. [Google Scholar] [CrossRef]
- Graf, W.; Fleming, J.; Ng, W. Improving Ducted Fan UAV Aerodynamics in Forward Flight. In Proceedings of the 46th AIAA Aerospace Sciences Meeting and Exhibit, Reno, NV, USA, 7–10 January 2008. [Google Scholar] [CrossRef]
- Pereira, J.L. Hover and Wind-Tunnel Testing of Shrouded Rotors for Improved Micro Air Vehicle Design. Ph.D. Thesis, University of Maryland, College Park, MD, USA, 2008. [Google Scholar]
- Colman, M.; Suzuki, S.; Kubo, D. Wind Tunnel Test Results and Performance Prediction For a Ducted Fan with Collective and Cyclic Pitch Actuation for VTOL with Efficient Cruise. In Proceedings of the AIAA Atmospheric Flight Mechanics Conference, Portland, OR, USA, 8–11 August 2011. [Google Scholar] [CrossRef]
- Hrishikeshavan, V.; Chopra, I. Performance, Flight Testing of a Shrouded Rotor Micro Air Vehicle in Edgewise Gusts. J. Aircr. 2012, 49, 193–205. [Google Scholar] [CrossRef]
- Ohanian, O.J., III; Gelhausen, P.A.; Inman, D.J. Nondimensional Modeling of Ducted-Fan Aerodynamics. J. Aircr. 2012, 49, 126–140. [Google Scholar] [CrossRef]
- Cai, H.; Wu, Z.; Deng, S.; Xiao, T. Numerical Prediction of Unsteady Aerodynamics for A Ducted Fan Micro Air Vehicle. Proc. Inst. Mech. Eng. Part G J. Aerosp. Eng. 2012, 229, 87–95. [Google Scholar] [CrossRef]
- Ryu, M.; Cho, L.; Cho, J. Aerodynamic Analysis of the Ducted Fan for a VTOL UAV in Crosswinds. Trans. Jpn. Soc. Aeronaut. Space Sci. 2016, 59, 47–55. [Google Scholar] [CrossRef]
- Raeisi, B.; Alighanbari, H. Simulation and Analysis of Flow around Tilting Asymmetric Ducted Fans Mounted at the Wing Tips of a Vertical Take-Off and Landing Unmanned Aerial Vehicle. Proc. Inst. Mech. Eng. Part G J. Aerosp. Eng. 2018, 232, 2870–2897. [Google Scholar] [CrossRef]
- Raeisi, B.; Alighanbari, H. Effects of Tilting Rate Variations on the Aerodynamics of The Tilting Ducted Fans Mounted At The Wing Tips Of A Vertical Take-Off And Landing Unmanned Aerial Vehicle. Proc. Inst. Mech. Eng. Part G J. Aerosp. Eng. 2018, 232, 1803–1813. [Google Scholar] [CrossRef]
- Misiorowski, M.P.; Gandhi, F.S.; Oberai, A.A. Computational analysis and flow physics of a ducted rotor in edgewise flight. J. Am. Helicopter Soc. 2019, 64, 1–14. [Google Scholar] [CrossRef]
- Deng, S.; Wang, S.; Zhang, Z. Aerodynamic Performance Assessment of a Ducted Fan UAV for VTOL Applications. Aerosp. Sci. Technol. 2020, 103, 105895. [Google Scholar] [CrossRef]
- Akturk, A.; Camci, C. Double-Ducted Fan as an Effective Lip Separation Control Concept for Vertical-Takeoff-and-Landing Vehicles. J. Aircr. 2022, 59, 233–252. [Google Scholar] [CrossRef]
- Zhang, T.; Barakos, G.N. Review on Ducted Fans for Compound Rotorcraft. Aeronaut. J. 2020, 124, 941–974. [Google Scholar] [CrossRef]
- Giullianetti, D.J.; Biggers, J.C.; Maki, R.L. Longitudinal Aerodynamic Characteristics in Ground Effect of a Large-Scale, V/STOL Model with Four Tilting Ducted Fans Arranged in a Dual Tandem Configuration; Report No.: NASA TN D-4218; National Aeronautics and Space Administration: Washington, DC, USA, 1967.
- De Divitiis, N. Performance and Stability Analysis of a Shrouded-Fan Unmanned Aerial Vehicle. J. Aircr. 2006, 43, 681–691. [Google Scholar] [CrossRef]
- Hosseini, Z.; Ramirez-Serrano, A.; Martinuzzi, R.J. Ground/Wall Effects on a Tilting Ducted Fan. Int. J. Micro Air Veh. 2011, 3, 119–141. [Google Scholar] [CrossRef]
- Ai, T.; Xu, B.; Xiang, C.; Fan, W.; Zhang, Y. Aerodynamic Analysis and Control for a Novel Coaxial Ducted Fan Aerial Robot in Ground Effect. Int. J. Adv. Robot Syst. 2020, 17, 1–15. [Google Scholar] [CrossRef]
- Gourdain, N.; Singh, D.; Jardin, T.; Prothin, S. Analysis of the Turbulent Wake Generated by a Micro Air Vehicle Hovering near the Ground with a Lattice Boltzmann Method. J. Am. Helicopter Soc. 2017, 62, 1–12. [Google Scholar] [CrossRef]
- Deng, S.; Ren, Z. Experimental Study of a Ducted Contra-Rotating Lift Fan for Vertical/Short Takeoff and Landing Unmanned Aerial Vehicle Application. Proc. Inst. Mech. Eng. Part G J. Aerosp. Eng. 2018, 232, 3108–3117. [Google Scholar] [CrossRef]
- Deng, Y. Experimental Investigation on Ground Effect of Ducted Fan System for VTOL UAV. In Proceedings of the 2018 Asia-Pacific International Symposium on Aerospace Technology, Chengdu, China, 16–18 October 2018. [Google Scholar] [CrossRef]
- Han, H.; Xiang, C.; Xu, B.; Yu, Y. Aerodynamic Performance and Analysis of a Hovering Micro-Scale Shrouded Rotor in Confined Environment. Adv. Mech. Eng. 2019, 11, 1–21. [Google Scholar] [CrossRef]
- Jin, Y.; Fu, Y.; Qian, Y.; Zhang, Y. A Moore-Greitzer Model for Ducted Fans in Ground Effect. J. Appl. Fluid Mech. 2020, 13, 693–701. [Google Scholar] [CrossRef]
- Han, H.; Xiang, C.; Xu, B.; Yu, Y. Experimental and Computational Investigation on Comparison of Micro-Scale Open Rotor and Shrouded Rotor Hovering in Ground Effect. Proc. Inst. Mech. Eng. Part G J. Aerosp. Eng. 2021, 235, 553–565. [Google Scholar] [CrossRef]
- Mi, B. Numerical Investigation on Aerodynamic Performance of a Ducted Fan under Interferences from the Ground, Static Water and Dynamic Waves. Aerosp. Sci. Technol. 2020, 100, 105821. [Google Scholar] [CrossRef]
- Siemens Industries Digital Software. Simcenter STAR-CCM+ User Guide, version 2020.1; Siemens Industries Digital Software: Munich, Germany, 2020. [Google Scholar]
- Bunker, R.S. Axial turbine blade tips: Function, design, and durability. J. Propuls. Power 2006, 22, 271–285. [Google Scholar] [CrossRef]
- Qing, J.; Hu, Y.; Wang, Y.; Liu, Z.; Fu, X.; Liu, W. Kriging Assisted Integrated Rotor-Duct Optimization for Ducted Fan in Hover. In Proceedings of the AIAA Scitech 2019 Forum, San Diego, CA, USA, 7–11 January 2019. [Google Scholar] [CrossRef]
- Leishman, G.J. Principles of Helicopter Aerodynamics, 2nd ed.; Cambridge University Press: New York, NY, USA, 2006; pp. 117–124. [Google Scholar]
- Jimenez, B.G.; Singh, R. Effect of Duct-Rotor Aerodynamic Interactions on Blade Design for Hover and Axial Flight. In Proceedings of the 53rd AIAA Aerospace Sciences Meeting, Kissimmee, FL, USA, 5–9 January 2015. [Google Scholar] [CrossRef]





























| Parameters | Value |
|---|---|
| Number of blades | 8 |
| Blade diameter Db | 0.646 m |
| Pitch angle at three-quarter radius | 39° |
| Hub diameter | 0.18 m |
| Duct chord length cd | 0.4 m |
| Duct exit diameter D | 0.704 m |
| Terms | CT, blades | CT, duct | CT, total | CQ |
|---|---|---|---|---|
| Experimental [9] | 0.1878 | 0.2574 | 0.4452 | 0.0295 |
| CFD | 0.1729 | 0.2442 | 0.4171 | 0.0279 |
| Discrepancy | −7.93% | −5.13% | −6.31% | −5.42% |
| Terms | CT, blades | CL | CX | CM | CQ |
|---|---|---|---|---|---|
| Experimental [9] | 0.1377 | 2.6195 | 0.7020 | 0.8708 | 0.0261 |
| CFD | 0.1413 | 2.3833 | 0.6516 | 0.9001 | 0.0259 |
| Discrepancy | +2.61% | −9.02% | −7.73% | +3.36% | −0.77% |
| Terms | CT, blades | CT, duct | CT, total | CQ |
|---|---|---|---|---|
| Experimental [9] | 0.1878 | 0.2574 | 0.4452 | 0.0295 |
| Discrepancy of SMM | −6.34% | +2.41% | −1.28% | −2.37% |
| Discrepancy of MRF | −7.93% | −5.13% | −6.31% | −5.42% |
| CT, blades | CT, duct | CT, total | CQ | PL (kg/kW) |
|---|---|---|---|---|
| 0.4646 | 0.6690 | 1.134 | 0.1277 | 3.828 |
Publisher’s Note: MDPI stays neutral with regard to jurisdictional claims in published maps and institutional affiliations. |
© 2022 by the authors. Licensee MDPI, Basel, Switzerland. This article is an open access article distributed under the terms and conditions of the Creative Commons Attribution (CC BY) license (https://creativecommons.org/licenses/by/4.0/).
Share and Cite
Zhao, Y.; Tian, Y.; Wan, Z. Aerodynamic Characteristics of a Ducted Fan Hovering and Transition in Ground Effect. Aerospace 2022, 9, 572. https://doi.org/10.3390/aerospace9100572
Zhao Y, Tian Y, Wan Z. Aerodynamic Characteristics of a Ducted Fan Hovering and Transition in Ground Effect. Aerospace. 2022; 9(10):572. https://doi.org/10.3390/aerospace9100572
Chicago/Turabian StyleZhao, Yanxiong, Yun Tian, and Zhiqiang Wan. 2022. "Aerodynamic Characteristics of a Ducted Fan Hovering and Transition in Ground Effect" Aerospace 9, no. 10: 572. https://doi.org/10.3390/aerospace9100572
APA StyleZhao, Y., Tian, Y., & Wan, Z. (2022). Aerodynamic Characteristics of a Ducted Fan Hovering and Transition in Ground Effect. Aerospace, 9(10), 572. https://doi.org/10.3390/aerospace9100572
