An Improved Climbing Strategy for High-Altitude Fast-Deploy Aerostat Systems
Abstract
1. Introduction
2. High Altitude Dual-Balloon System
3. Theoretical Analysis
3.1. Atmospheric Model
3.2. Constrained-Volume Zero-Pressure Balloon Geometry
3.3. Thermal and Dynamic Models
- (1)
- During the dual-balloon system’s climbing process, the length of the connecting rope cannot remain unchanged, because of the changing rope tension. The geometric deformation of the aerostat system is neglected for the purpose of simplification. Therefore, the effect of the elastic deformation of rope is not considered.
- (2)
- The motion of the upper balloon will have a certain impact on the aerodynamic characteristics of the balloon below. In order to reduce the impact, the length of the connecting rope between two balloons was designed to be greater than five times the diameter of the balloon. Therefore, in this paper, the aerodynamic effect between the two balloons is ignored.
- (3)
- Compared with the direct solar irradiance and reflected radiation on the balloon, the radiation between the tow balloon and the balance balloon is relatively small, and the envelope temperatures of the two balloons are similar. The thermal effect between the two balloon envelopes is ignored.
3.4. The Equilibrium Height of the Aerostat System
4. Experimental Procedure
5. Verification of Theoretical Model
6. Results and Discussion
6.1. Tow Balloon Effect
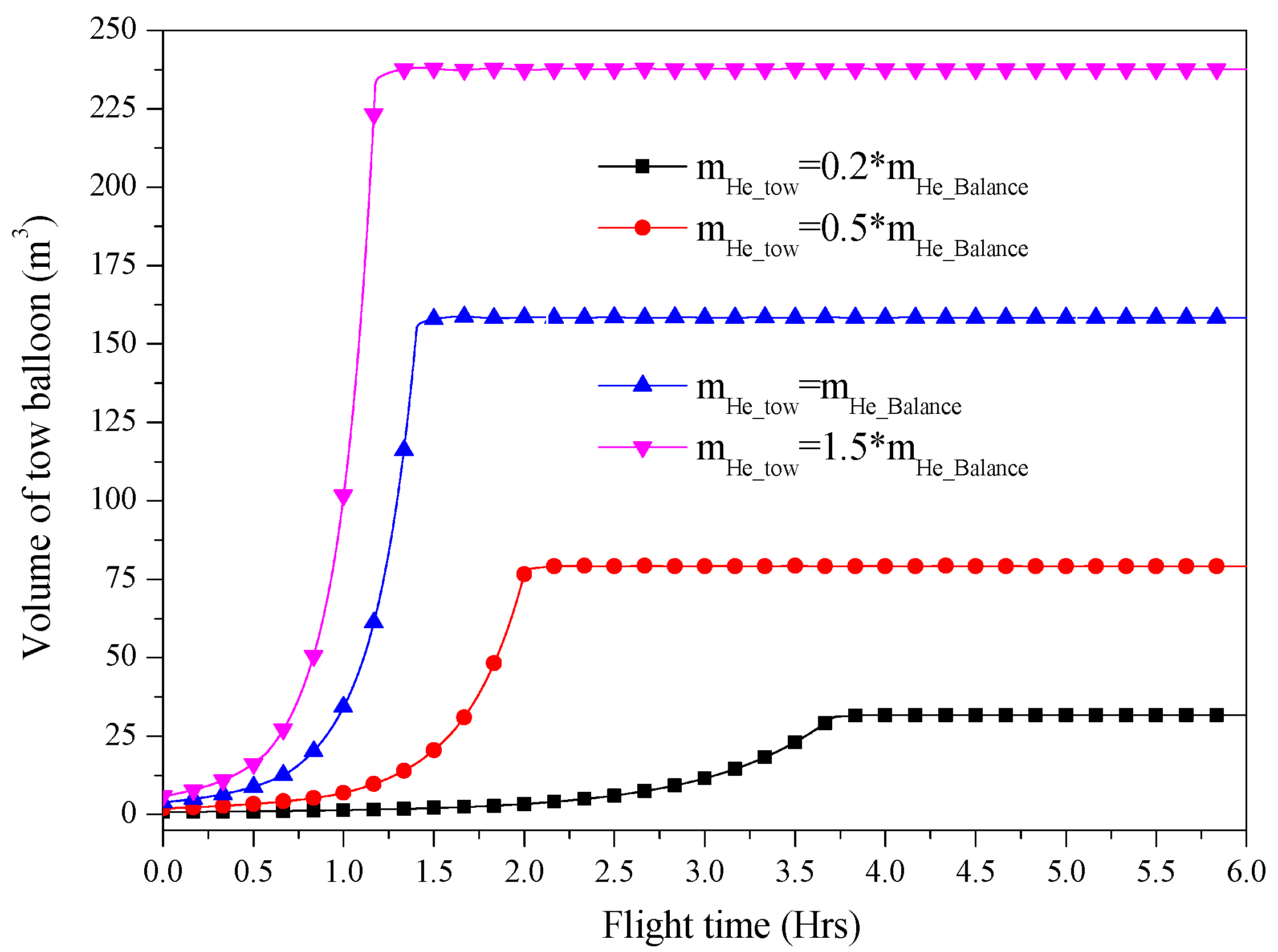
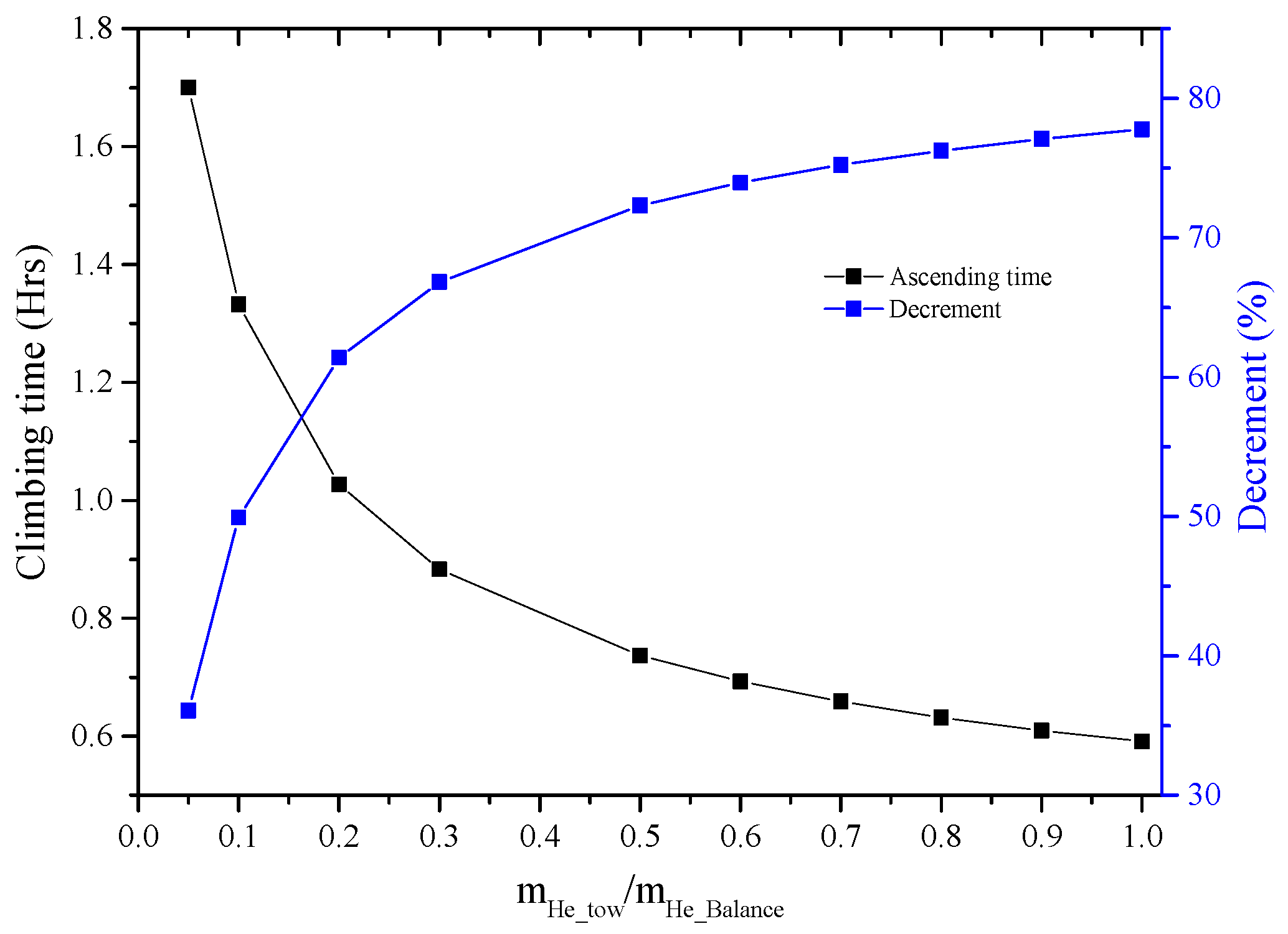
6.2. Effects of Helium Mass in the Tow Balloon
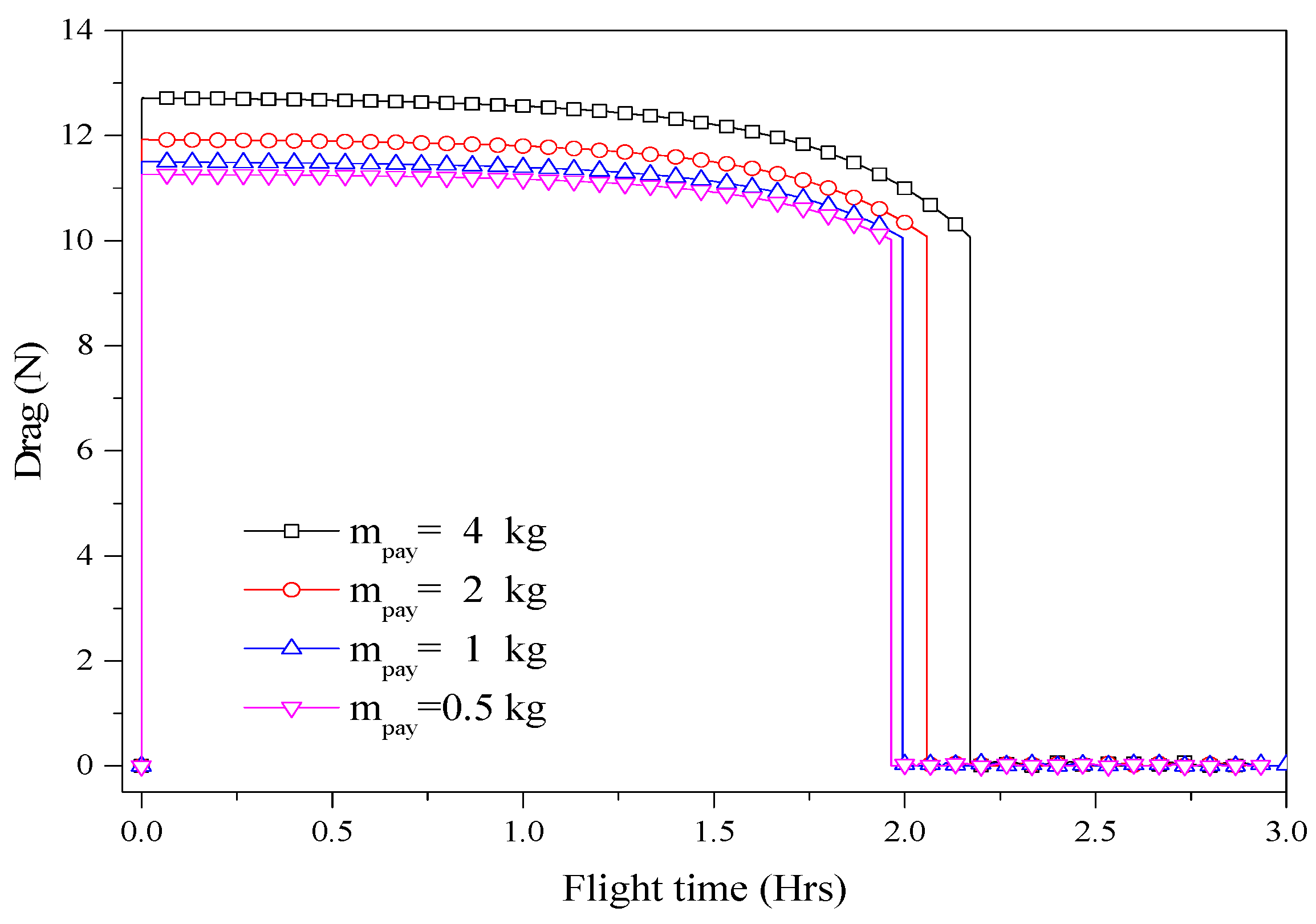
6.3. Effects of the Payload Mass
7. Conclusions
- (1)
- Based on the verification results, it was found that the theoretical dynamic model for the dual-balloon system proposed in this paper can be utilized to study the climbing time and horizontal displacement of aerostat systems during the climbing phase.
- (2)
- By comparison with the given constrained-volume zero-pressure balloon, the dual-balloon system can reduce the climbing time by two-thirds. During takeoff, the horizontal flight distance can be reduced from 200 km to 50 km under a specific wind field environment.
- (3)
- When the mass of helium in the tow balloon is relatively small, especially when is less than 0.3, the climbing time and horizontal displacement decrease rapidly. However, as the mass of helium in the tow balloon increases, the impact of the tow balloon on the decrease in climbing time and horizontal displacement gradually weakens. Considering the manufacturing complexity, operation difficulty, and cost, when designing the tow ball, it is necessary to select an appropriate volume, rather than a larger volume and helium mass.
- (4)
- The equilibrium height of the dual-balloon system cannot be increased arbitrarily by increasing the mass of the helium in the balance balloon because the equilibrium height increases rapidly and then varies little with the increase in the helium mass when the payload mass is constant.
Author Contributions
Funding
Institutional Review Board Statement
Informed Consent Statement
Data Availability Statement
Conflicts of Interest
References
- Bellemare, M.G.; Candido, S.; Castro, P.S.; Gong, J.; Machado, M.C.; Moitra, S.; Ponda, S.S.; Wang, Z.Y. Autonomous navigation of stratospheric balloons using reinforcement learning. Nature 2020, 588, 77–82. [Google Scholar] [CrossRef]
- González-Bárcena, D.; Fernández-Soler, A.; Pérez-Grande, I.; Sanz-Andrés, Á. Real data-based thermal environment definition for the ascent phase of Polar-Summer Long Duration Balloon missions from Esrange (Sweden). Acta Astronaut. 2020, 170, 235–250. [Google Scholar] [CrossRef]
- Murugaiah, M.; Pant, R.S. Research and advancements in hybrid airships—A review. Prog. Aerosp. Sci. 2021, 127, 100741. [Google Scholar] [CrossRef]
- Sun, K.; Liu, S.; Du, H.; Liang, H.; Guo, X. Online Learning-Based Surrogate Modeling of Stratospheric Airship Solar Array Output Power. Aerospace 2024, 11, 232. [Google Scholar] [CrossRef]
- Sirks, E.L.; Massey, R.; Gill, A.S.; Anderson, J.; Benton, S.J.; Brown, A.M.; Clark, P.; English, J.; Everett, S.W.; Fraisse, A.A.; et al. Data Downloaded via Parachute from a NASA Super-Pressure Balloon. Aerospace 2023, 10, 960. [Google Scholar] [CrossRef]
- Manikandan, M.; Pant, R.S. Design optimization of a tri-lobed solar powered stratospheric airship. Aerosp. Sci. Technol. 2019, 91, 255–262. [Google Scholar] [CrossRef]
- van Wynsberghe, E.; Turak, A. Station-keeping of a high-altitude balloon with electric propulsion and wireless power transmission: A concept study. Acta Astronaut. 2016, 128, 616–627. [Google Scholar] [CrossRef]
- Azinheira, J.; Carvalho, R.; Paiva, E.; Cordeiro, R. Hexa-Propeller Airship for Environmental Surveillance and Monitoring in Amazon Rainforest. Aerospace 2024, 11, 249. [Google Scholar] [CrossRef]
- Riboldi, C.E.D.; Belan, M.; Cacciola, S.; Terenzi, R.; Trovato, S.; Usuelli, D.; Familiari, G. Preliminary Sizing of High-Altitude Airships Featuring Atmospheric Ionic Thrusters: An Initial Feasibility Assessment. Aerospace 2024, 11, 590. [Google Scholar] [CrossRef]
- Rotter, J.; Marquez, M.; Orr, G. Zero-Pressure Balloon Reliability Factors. In Proceedings of the AIAA Balloon Systems Conference, Williamsburg, VA, USA, 21–24 May 2007. [Google Scholar]
- Liu, Q.; Wu, Z.; Zhu, M.; Xu, W.Q. A comprehensive numerical model investigating the thermal-dynamic performance of scientific balloon. Adv. Space Res. 2014, 53, 325–338. [Google Scholar] [CrossRef]
- Sushko, A.; Tedjarati, A.; Creus-Costa, J.; Maldonado, S.; Marshland, K.; Pavone, M. Low cost, high endurance, altitude-controlled latex balloon for near-space research (ValBal). In Proceedings of the 2017 IEEE Aerospace Conference, Big Sky, MT, USA, 4–11 March 2017. [Google Scholar]
- Palumbo, R.; Russo, M.; Filippone, E.; Corraro, F. ACHAB: Analysis code for high-altitude balloons. In Proceedings of the AIAA Atmospheric Flight Mechanics Conference and Exhibit, Hilton Head, SC, USA, 20–23 August 2007; p. 1169. [Google Scholar]
- Zhang, Y.; Liu, D.X. Influences of initial launch conditions on flight performance of high altitude balloon ascending process. Adv. Space Res. 2015, 56, 605–618. [Google Scholar] [CrossRef]
- Kayhan, Ö.; Yücel, Ö.; Hastaoğlu, M.A. Simulation and control of serviceable stratospheric balloons traversing a region via transport phenomena and PID. Aerosp. Sci. Technol. 2016, 53, 232–240. [Google Scholar] [CrossRef]
- Saleh, S.; He, W. Ascending performance analysis for high altitude zero pressure balloon. Adv. Space Res. 2017, 59, 2158–2172. [Google Scholar] [CrossRef]
- Yoder, C.D.; Waghela, R.; Gemmer, T.R.; Mazzoleni, A.P.; Gopalarathnam, A. On Performance of Passively-Guided Balloon Systems for Earth and Extra-Terrestrial Applications. In Proceedings of the AIAA Balloon Systems Conference, Denver, CO, USA, 5–9 June 2017. [Google Scholar]
- Lloyd, G.M.; Benn, K.; Haber, J.; Franklin, D. Improved Range Safety Methodologies for Long-Duration Heavy-Lift Balloon Missions over Populated Regions. J. Space Saf. Eng. 2016, 3, 127–135. [Google Scholar] [CrossRef]
- Miao, J.; Zhou, J.; Nie, Y.; Yang, X. Yaw controller design of stratospheric airship based on phase plane method. Chin. J. Aeronaut. 2016, 29, 738–745. [Google Scholar] [CrossRef]
- Waghela, R.; Yoder, C.D.; Gopalarathnam, A.; Mazzoleni, A.P. Aerodynamic Sails for Passive Guidance of High-Altitude Balloons: Static-Stability and Equilibrium Performance. J. Aircr. 2019, 56, 1849–1857. [Google Scholar] [CrossRef]
- Nock, K.T.; Aaron, K.M.; Heun, M.K.; Pankine, A.A. Aerodynamic and Mission Performance of a Winged Balloon Guidance System. J. Aircr. 2015, 44, 1923–1938. [Google Scholar] [CrossRef]
- Henry, M.; Cathey, J.; Pierce, D.L. Duration Flight of the NASA Super Pressure Balloon. In Proceedings of the AIAA Balloon Systems Conference, Seattle, WA, USA, 4–7 May 2009. [Google Scholar]
- Dubourg, V.; Vargas, A.; Cocquerez, P. The French balloon program 2012–2015. In Proceedings of the AIAA Balloon Systems Conference, Atlanta, GA, USA, 16–20 June 2014. [Google Scholar]
- Vargas, A.; Dubourg, V.; Vassaux, D. The French balloon program 2013–2015. In Proceedings of the AIAA Balloon Systems Conference, Dallas, TX, USA, 22–26 June 2015. [Google Scholar]
- Fuke, H. Recent Highlights of Scientific Ballooning in Japan. J. Astron. Instrum. 2017, 06, 1740001. [Google Scholar] [CrossRef]
- Liao, J.; Mai, Y.; Li, J.; Jiang, Y.; Wang, S.; Zhang, K. Design of the Aerial Deceleration Phase of an Aerostat Considering the Deployment Scale. Aerospace 2025, 12, 481. [Google Scholar] [CrossRef]
- Saleh, S.; He, W. New design simulation for a high-altitude dual-balloon system to extend lifetime and improve floating performance. Chin. J. Aeronaut. 2018, 31, 1109–1118. [Google Scholar] [CrossRef]
- Wang, J.; Meng, X.; Li, C. Recovery trajectory optimization of the solar-powered stratospheric airship for the station-keeping mission. Acta Astronaut. 2021, 178, 159–177. [Google Scholar] [CrossRef]
- Pande, D.; Verstraete, D. Impact of solar cell characteristics and operating conditions on the sizing of a solar powered nonrigid airship. Aerosp. Sci. Technol. 2018, 72, 353–363. [Google Scholar] [CrossRef]
- Liao, J.; Jiang, Y.; Li, J.; Liao, Y.; Du, H.; Zhu, W.; Zhang, L. An improved energy management strategy of hybrid photovoltaic/battery/fuel cell system for stratospheric airship. Acta Astronaut. 2018, 152, 727–739. [Google Scholar] [CrossRef]
- Farley, R.E. BalloonAscent—3-D Simulation Tool for the Ascent and Float of High-Altitude Balloons. In Proceedings of the AIAA 5th Aviation, Technology, Integration, and Operations Conference, Arlington, VA, USA, 26–28 September 2005. [Google Scholar]
- Cathey, H. Transient thermal loading of natural shaped balloons. In Proceedings of the International Balloon Technology Conference, San Francisco, CA, USA, 3–5 June 1997. [Google Scholar]
- Yang, X.; Liu, D. Conceptual Design of Stratospheric Airships Focusing on Energy Balance. J. Aerosp. Eng. 2018, 31, 04017094. [Google Scholar] [CrossRef]
- Alam, M.I.; Pant, R.S. Multi-objective multidisciplinary design analyses and optimization of high altitude airships. Aerosp. Sci. Technol. 2018, 78, 248–259. [Google Scholar] [CrossRef]
- Liuzzi, V.; Della Corte, V.; Rotundi, A.; Ivanovski, S.; Dionnet, Z.; Brunetto, R.; Inno, L. Zero-pressure balloons trajectory prediction: Duster flight simulations. Adv. Space Res. 2020, 66, 1876–1886. [Google Scholar] [CrossRef]
- Yoder, C.D.; Gemmer, T.R.; Mazzoleni, A.P. Modelling and performance analysis of a tether and sail-based trajectory control system for extra-terrestrial scientific balloon missions. Acta Astronaut. 2019, 160, 527–537. [Google Scholar] [CrossRef]
- Morris, A.L. Scientific Ballooning Handbook; NCAR Technical Note; NCAR-TN-99; National Center for Atmospheric Research: Boulder, CO, USA, 1975. [Google Scholar]
- Das, T.; Mukherjee, R.; Cameron, J. Optimal trajectory planning for hot-air balloons in linear wind fields. J. Guid. Control Dyn. 2003, 26, 416–424. [Google Scholar] [CrossRef]
- Kayhan, Ö.; Hastaoglu, M.A. Modeling of Stratospheric Balloon Using Transport Phenomena and Gas Compress–Release System. J. Thermophys. Heat Transf. 2014, 28, 534–541. [Google Scholar] [CrossRef]
- Lv, M.Y.; Yao, Z.B.; Zhang, L.C.; Du, H.F.; Meng, J.H.; Li, J. Effects of solar array on the thermal performance of stratospheric airship. Appl. Therm. Eng. 2017, 124, 22–33. [Google Scholar] [CrossRef]
- Dai, Q.; Fang, X. A new model for atmospheric radiation under clear sky condition at various altitudes. Adv. Space Res. 2014, 54, 1044–1048. [Google Scholar] [CrossRef]
- Bergman, T.L.; Incropera, F.P.; Lavine, A.S. Fundamentals of Heat and Mass Transfer; John Wiley & Sons: Hoboken, NJ, USA, 2011. [Google Scholar]
























| Parameters | Experiment 1 (Dual-Balloon) | Experiment 2 (Constrained Volume Balloon) | Experiment 3 (Dual-Balloon) |
|---|---|---|---|
| Design altitude (km) | 26.7 | 26.7 | 42 |
| Tow balloon weight (kg) | 0.7 | - | 0.8 |
| Balanced balloon weight (kg) | 1.5 | 1.5 | 2.45 |
| Maximum diameter of Balanced balloon (m) | 19.8 | 19.8 | 26.8 |
| Payload weight (kg) | 0.65 | 0.65 | 0.65 |
| Helium gas purity | 99.99% | 99.99% | 99.99% |
| Release vehicle weight (kg) | 0.3 | - | 0.3 |
| Connection string between tow balloon and balance balloon (m) | 45 | - | 45 |
| Connection string between balance balloon and payload (m) | 12 | 12 | 12 |
| Launch time | 9:30 | 9:30 | 18:30 |
| Launch site | Huaihua City | Huaihua City | Huaihua City |
| Parameters | Index |
|---|---|
| Operating frequency band (mHz) | 1675 ± 3 |
| Transmission power (mW) | 400 |
| Data acquisition rates (/s) | 1 |
| Temperature measurement range (°C) | −80~40 ± 0.3 |
| Pressure measurement range (hPa) | 10~1050 ± 1.5 |
Disclaimer/Publisher’s Note: The statements, opinions and data contained in all publications are solely those of the individual author(s) and contributor(s) and not of MDPI and/or the editor(s). MDPI and/or the editor(s) disclaim responsibility for any injury to people or property resulting from any ideas, methods, instructions or products referred to in the content. |
© 2025 by the authors. Licensee MDPI, Basel, Switzerland. This article is an open access article distributed under the terms and conditions of the Creative Commons Attribution (CC BY) license (https://creativecommons.org/licenses/by/4.0/).
Share and Cite
Li, J.; Deng, Y.; Chen, Z.; Liao, J.; Jiang, Y. An Improved Climbing Strategy for High-Altitude Fast-Deploy Aerostat Systems. Aerospace 2025, 12, 727. https://doi.org/10.3390/aerospace12080727
Li J, Deng Y, Chen Z, Liao J, Jiang Y. An Improved Climbing Strategy for High-Altitude Fast-Deploy Aerostat Systems. Aerospace. 2025; 12(8):727. https://doi.org/10.3390/aerospace12080727
Chicago/Turabian StyleLi, Jun, Yonglin Deng, Zheng Chen, Jun Liao, and Yi Jiang. 2025. "An Improved Climbing Strategy for High-Altitude Fast-Deploy Aerostat Systems" Aerospace 12, no. 8: 727. https://doi.org/10.3390/aerospace12080727
APA StyleLi, J., Deng, Y., Chen, Z., Liao, J., & Jiang, Y. (2025). An Improved Climbing Strategy for High-Altitude Fast-Deploy Aerostat Systems. Aerospace, 12(8), 727. https://doi.org/10.3390/aerospace12080727
