Improvements in Robustness and Versatility of Blade Element Momentum Theory for UAM/AAM Applications
Abstract
1. Introduction
2. Mathematical Models
2.1. Basic Formulation of Blade Element Momentum Theory
2.2. Improvement of Formulation for Velocity Factors
2.3. Formulation for Non-Axial Inflow Condition
2.4. Treatment for Descent Flights
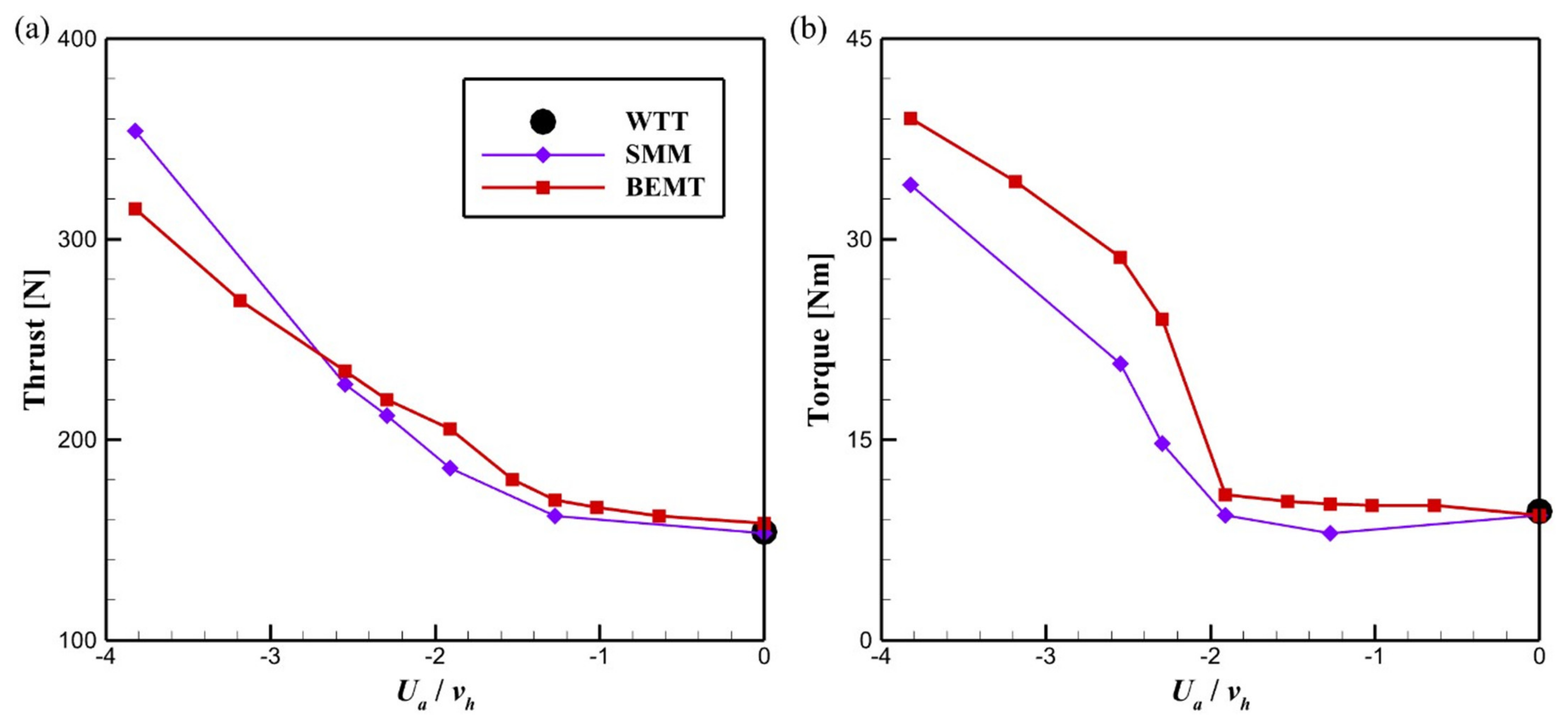
3. Validation
4. Application Examples
4.1. Performance of Tilt Propeller of OPPAV Along Flight Schedule
4.2. Generation of Database of Propeller Performance for Lift-Cruise Type UAM
4.3. Performance Analysis of a Reverse-Engineered T-Motor Propeller
5. Concluding Remarks
Author Contributions
Funding
Data Availability Statement
Conflicts of Interest
Nomenclature
| Nomenclature | |
| αeff | effective angle of attack |
| Κ | induced power factor |
| Ε | tolerance |
| ϕin | inflow angle |
| ρ | density |
| Σ | solidity of the propeller |
| Ψ | azimuth angle |
| aa | axial velocity factor |
| at | tangential velocity factor |
| B | number of blades |
| c | chord length |
| cl | lift coefficient for a 2D airfoil |
| cd | drag coefficient for a 2D airfoil |
| dL | lift acting on each element |
| dD | drag acting on each element |
| dFa | axial force on each element |
| dFt | tangential force on each element |
| dT | differential thrust |
| dQ | differential torque |
| Ftip/hub | tip/hub loss functions |
| Fi | i-th component of the force vector, i = x, y, z (N) |
| Mi | i-th component of the moment vector, i = x, y, z (Nm) |
| distance vector | |
| axial unit vector | |
| radial unit vector | |
| rotational unit vector | |
| Mtip | blade tip Mach number |
| Pcen | propeller center point |
| Pcell | propeller cell point |
| Q | torque |
| T | thrust |
| Ua | axial inflow velocity |
| Ut | tangential inflow velocity |
| vi | induced velocity |
| vh | axial induced velocity under the hovering condition |
| va | axial induced velocity |
| vt | tangential induced velocity |
| V∞ | freestream velocity |
| W | effective velocity |
| Wa | effective axial velocity |
| Wt | effective tangential velocity |
| Abbreviations | |
| aeroDB | aerodynamic database |
| AOA | angle of attack |
| AOS | side-slip angle |
| AAM | urban/advanced air mobility |
| ADM | actuator disk method |
| AS | actuator surface method |
| BEMT | blade element momentum theory |
| BET | blade element theory |
| CFD | computational fluid dynamics |
| eVTOL | electric-powered vertical and take-off and landing |
| KARI | Korea Aerospace Research Institute |
| LC | lift-cruise |
| OPPAV | optionally piloted personal air vehicle |
| OSM | overset mesh |
| propDB | propeller’s aerodynamic performance database |
| QTP | quad-tilt propeller |
| SMM | sliding mesh method |
| TR | test report |
| UAM | urban/advanced air mobility |
References
- Radotich, M. Conceptual design of tiltrotor aircraft for urban air mobility. In Proceedings of the Aeromechanics for Advanced Vertical Flight Technical Meeting, Transformative Vertical Flight 2022, San Jose, CA, USA, 25–27 January 2022. [Google Scholar]
- Prakasha, P.S.; Naeem, N.; Ratei, P.; Nagel, B.; Bertram, O. System of systems simulation driven urban air mobility vehicle design and fleet assessment. In Proceedings of the AIAA Aviation 2021 Forum, Virtual, 2–6 August 2021; p. 3200. [Google Scholar]
- Palaia, G.; Salem, K.A.; Cipolla, V.; Binante, V.; Zanetti, D. A conceptual design methodology for e-VTOL aircraft for urban air mobility. Appl. Sci. 2021, 11, 10815. [Google Scholar] [CrossRef]
- Lei, Y.; Zhao, X. Aerodynamic performance assessment of distributed electric propulsion after the wing trailing edge. Appl. Sci. 2023, 14, 280. [Google Scholar] [CrossRef]
- Heeg, J.; Stanford, B.; Wieseman, C.D.; Massey, S.; Moore, J.; Truax, R.A. Status report on aeroelasticity in the vehicle development for X-57 Maxwell. In Proceedings of the 2018 Applied Aerodynamics Conference, Atlanta, GA, USA, 25–29 June 2018; p. 3487. [Google Scholar]
- Liu, Y.; Druyor, C.T.; Wang, L. High-fidelity analysis of lift + cruise VTOL urban air mobility concept aircraft. In Proceedings of the AIAA AVIATION 2023 Forum, San Diego, CA, USA, 12–16 June 2023; p. 3671. [Google Scholar]
- Alba-Maestre, J.; Prud’homme van Reine, K.; Sinnige, T.; Castro, S.G. Preliminary propulsion and power system design of a tandem-wing long-range eVTOL aircraft. Appl. Sci. 2021, 11, 11083. [Google Scholar] [CrossRef]
- Bhandari, R.; Mishra, A.A.; Chakraborty, I. Optimization of lift-plus-cruise vertical take-off and landing aircraft with electrified propulsion. J. Aircr. 2024, 61, 392–414. [Google Scholar] [CrossRef]
- Lee, D.; Lim, D.; Yee, K. Generic design methodology for vertical takeoff and landing aircraft with hybrid-electric propulsion. J. Aircr. 2022, 59, 278–292. [Google Scholar] [CrossRef]
- Crona, M.; Dinger, S.; Samuelsson, P.; Strömfeldt, H.; Jonsson, I. Low-Speed Propeller for UAV Applications, From Design to Experimental Evaluation. In Proceedings of the 34rd Congress of the International Council of the Aeronautical Sciences, Florence, Italy, 9–13 September 2024. [Google Scholar]
- Firnhaber Beckers, M.; Schollenberger, M.; Lutz, T.; Bongen, D.; Radespiel, R.; Florenciano, J.L.; Funes-Sebastian, D.E. CFD investigation of high-lift propeller positions for a distributed propulsion system. In Proceedings of the AIAA AVIATION 2022 Forum, Chicago, IL, USA, 27 June–1 July 2022; p. 3217. [Google Scholar]
- Schollenberger, M.; Kirsch, B.; Lutz, T.; Krämer, E.; Friedrichs, J. Aerodynamic interactions between distributed propellers and the wing of an electric commuter aircraft at cruise conditions. CEAS Aeronaut. J. 2024, 15, 255–267. [Google Scholar] [CrossRef]
- Qiao, N.; Ma, T.; Fu, J.; Zhang, L.; Wang, X.; Xue, P. Rapid blade shape optimization for contra-rotating propellers for eVTOL aircraft considering the aerodynamic interference. Aerospace 2023, 10, 54. [Google Scholar] [CrossRef]
- Patterson, M.D.; Borer, N.K.; German, B. A simple method for high-lift propeller conceptual design. In Proceedings of the 54th AIAA Aerospace Sciences Meeting, San Diego, CA, USA, 4–8 January 2016; p. 0770. [Google Scholar]
- Moëllo, N.; Liscouët, J. Multi-Fidelity Approach for Aerodynamic Optimization of Propeller Blades in VTOL UAVs. In Proceedings of the International Conference on More Electric Aircraft, Towards Greener Aviation, Toulouse, France, 7–8 February 2024. [Google Scholar]
- Shi, S.; Huo, J.; Liu, Z.; Zou, A. Rapid design method of heavy-loaded propeller for distributed electric propulsion aircraft. Energies 2024, 17, 786. [Google Scholar] [CrossRef]
- Geng, X.; Hu, T.; Liu, P.; Sinnige, T.; Eitelberg, G. Analysis of thrust-scaled acoustic emissions of aircraft propellers and their dependence on propulsive efficiency. In Proceedings of the 32nd Congress of the International Council of the Aeronautical Sciences, Shanghai, China, 6–10 September 2021. [Google Scholar]
- Moreira, C.; Herzog, N.; Breitsamter, C. Wind tunnel investigation of transient propeller loads for non-axial inflow conditions. Aerospace 2024, 11, 274. [Google Scholar] [CrossRef]
- Leishman, J.G. Principles of Helicopter Aerodynamics; Cambridge University Press: Cambridge, UK, 2006. [Google Scholar]
- Ning, A. A simple solution method for the blade element momentum equations with guaranteed convergence. Wind Energy 2014, 17, 1327–1345. [Google Scholar] [CrossRef]
- Davoudi, B.; Duraisamy, K. A hybrid blade element momentum model for flight simulation of rotary wing unmanned aerial vehicles. In Proceedings of the AIAA Aviation 2019 Forum, Dallas, TX, USA, 17–21 June 2019; p. 2823. [Google Scholar]
- Rubin, R.L.; Zhao, D. New development of classical actuator disk model for propellers at incidence. AIAA J. 2021, 59, 1040–1054. [Google Scholar] [CrossRef]
- Park, S. Blade element momentum method for propeller under nonaxial flow. Int. J. Aeronaut. Space Sci. 2023, 24, 334–340. [Google Scholar] [CrossRef]
- Feng, D.; Yu, J.; He, R.; Zhang, Z.; Wang, X. Improved body force propulsion model for ship propeller simulation. Appl. Ocean Res. 2020, 104, 102328. [Google Scholar] [CrossRef]
- Dodic, M.; Krstic, B.; Rasuo, B.; Dinulovic, M.; Bengin, A. Numerical analysis of Glauert inflow formula for single-rotor helicopter in steady-level flight below stall-flutter limit. Aerospace 2023, 10, 238. [Google Scholar] [CrossRef]
- Harun-Or-Rashid, M.; Song, J.B.; Byun, Y.S.; Kang, B.S. Inflow prediction and first principles modeling of a coaxial rotor unmanned aerial vehicle in forward flight. Int. J. Aeronaut. Space Sci. 2015, 16, 614–623. [Google Scholar] [CrossRef]
- Zhu, H.; Jiang, Z.; Zhao, H.; Pei, S.; Li, H.; Lan, Y. Aerodynamic performance of propellers for multirotor unmanned aerial vehicles: Measurement, analysis, and experiment. Shock Vib. 2021. [Google Scholar] [CrossRef]
- Yan, W.; Tian, X.; Zhou, J.; Zhang, K. Research on the calculation method of propeller 1P loads based on the blade element momentum theory. Aerospace 2024, 11, 332. [Google Scholar] [CrossRef]
- Chen, R.T.N. A survey of nonuniform inflow models for rotorcraft flight dynamics and control applications. In Proceedings of the European Rotorcraft Forum, Amsterdam, The Netherlands, 12–15 September 1989; p. A-89220. [Google Scholar]
- Sun, Z.; Chen, J.; Shen, W.Z.; Zhu, W.J. Improved blade element momentum theory for wind turbine aerodynamic computations. Renew. Energy 2016, 96, 824–831. [Google Scholar] [CrossRef]
- Ning, A. Using blade element momentum methods with gradient-based design optimization. Struct. Multidiscip. Optim. 2021, 64, 991–1014. [Google Scholar] [CrossRef]
- Liu, S.; Janajreh, I. Development and application of an improved blade element momentum method model on horizontal axis wind turbines. Int. J. Energy Environ. Eng. 2012, 3, 30. [Google Scholar] [CrossRef]
- Fan, Z.; Zhou, Z.; Zhu, X. Application of high-robustness BEMT for simulation of UAV-VTOL propeller at low/high advance ratio. In Proceedings of the 31st Congress of the International Council of the Aeronautical Sciences, ICAS, Belo Horizonte, Brazil, 9–14 September 2018; pp. 1–10. [Google Scholar]
- Hwang, J.T.; Ning, A. Large-scale multidisciplinary optimization of an electric aircraft for on-demand mobility. In Proceedings of the 2018 AIAA/ASCE/AHS/ASC Structures, Structural Dynamics, and Materials Conference, Kissimmee, FL, USA, 8–12 January 2018; p. 1384. [Google Scholar]
- Casalino, D.; Grande, E.; Romani, G.; Ragni, D.; Avallone, F. Definition of a benchmark for low Reynolds number propeller aeroacoustics. Aerosp. Sci. Technol. 2021, 113, 106707. [Google Scholar] [CrossRef]
- Siemens. STAR-CCM, S.; Version 2022.1. Siemens PLM Software Inc. 2022. Available online: https://docs.sw.siemens.com/documentation/external/PL20200805113346338/en-US/userManual/userguide/html/index.html (accessed on 11 January 2025).
- Kim, T.; Oh, S.; Lee, K. Improved actuator surface method for wind turbine application. Renew. Energy 2015, 76, 16–26. [Google Scholar] [CrossRef]
- Manwell, J.F.; McGowan, J.G.; Rogers, A.L. Wind Energy Explained: Theory, Design and Application; John Wiley & Sons: Chichester, UK, 2010. [Google Scholar]
- Prandtl, L.; Betz, A. Vier Abhandlungen zur Hydrodynamik und Aerodynamik; Göttinger Nachrichten: Göttingen, Germany, 1927; pp. 88–92. [Google Scholar]
- Young, C. A Note on the Velocity Induced by a Helicopter Rotor in the Vortex Ring State; RAE Technical Report 78125; Royal Aircraft Establishment: Hampshire, UK, 1978. [Google Scholar]
- Johnson, W. Helicopter Theory; Princeton University Press: Princeton, NJ, USA, 1980. [Google Scholar]
- Kang, H. Design Optimization of QTP-UAV Prop-Rotor Blade Using ModelCenterⓇ. J. Aerosp. Syst. Eng. 2021, 11, 36–43. [Google Scholar]
- Cho, T.; Kim, Y.; Lee, S.; Park, C. Wind tunnel test of the propeller for QTP UAV. In Proceedings of the Korean Society for Aeronautical Space Sciences Spring Conference, Bu’an, Republic of Korea, 17–20 April 2019; pp. 548–549. [Google Scholar]
- You, J.; Kwon, O. Blending of SAS and correlation-based transition models for flow simulation at supercritical Reynolds numbers. Comput. Fluids 2013, 80, 63–70. [Google Scholar] [CrossRef]
- Choi, S.W.; Yu, K.H.; Lee, W.G.; Lee, K.J. Aerodynamic design of the SUAV proprotor. J. Korean Soc. Aeronaut. Space Sci. 2005, 33, 16–26. [Google Scholar] [CrossRef]
- Tai, M.; Lee, W.; Park, D.; Lee, J.; Chang, B. Development of Rapid Aerodynamic Analysis Method Including Propeller Effect. In Proceedings of the AIAA AVIATION 2023 Forum, San Diego, CA, USA, 12–16 June 2023. [Google Scholar]
- Lee, Y.; Lee, S.; Oh, S.; Choi, J.; Lee, Y.; Cho, T.; Park, D. Analysis of 3-axial components forces and moments of propeller using actuator methods. J. Comput. Fluids Eng. 2020, 25, 20–31. [Google Scholar] [CrossRef]
- Kim, D.; Lee, Y.; Oh, S.; Park, Y.; Choi, J.; Park, D. Aerodynamic analysis and static stability analysis of manned/unmanned distributed propulsion aircrafts using actuator methods. J. Wind Eng. Ind. Aerodyn. 2021, 214, 104648. [Google Scholar] [CrossRef]
- Kang, H.J. Aerodynamic analysis of the tilt prop in transition maneuver of the OPPAV. J. Comput. Fluids Eng. 2022, 27, 1–8. [Google Scholar] [CrossRef]
- Paek, S.; Chae, S.; Kang, H. Development of mission analysis tool for eVTOL aircrafts of lift-tilt concept. J. Korean Soc. Aeronaut. Space Sci. 2021, 49, 859–870. [Google Scholar]
- Lee, W.; Tai, M.; Kim, D.; Park, D. Construction and evaluation of aerodynamic database for UAM flight simulator integration Part I: Lift-cruise type. J. Korean Soc. Comput. Fluids Eng. 2024, 29, 60–79. [Google Scholar] [CrossRef]
- Kim, D.; Tai, M.; Lee, W.; Lim, D.; Park, D. Construction and evaluation of aerodynamic database for UAM flight simulator integration Part II: Multicopter type. J. Korean Soc. Comput. Fluids Eng. 2024, 29, 80–96. [Google Scholar] [CrossRef]
- Kang, H. Numerical analysis of aerodynamic interactions in hover for the separation distance between two props. J. Comput. Fluids Eng. 2020, 25, 95–101. [Google Scholar] [CrossRef]
- Chang, B.; Choi, S.; Lee, M.; Kang, Y.; Kim, Y.; Bae, J.; Jo, J.; Park, B.; Jo, A.; Park, B.; et al. Study on the Core Technologies of Electric Vertical Take-Off & Landing Aircraft. KARI Report FR21AOO. 2021. Available online: https://scienceon.kisti.re.kr/commons/util/originalView.do?cn=TRKO202200001406&dbt=TRKO&rn= (accessed on 10 July 2025).
- Chung, K.H.; Jun, Y.M.; Oh, K.R.; Lee, J.H.; Song, K.W.; Wie, S.Y. Results of grand challenge 0-stage of K-UAM. In Proceedings of the KSAS Fall Conference, Jeju, Republic of Korea, 19–21 April 2023. [Google Scholar]
- Samad, A.; Tagawa, G.B.; Morency, F.; Volat, C. Predicting rotor heat transfer using the viscous blade element momentum theory and unsteady vortex lattice method. Aerospace 2020, 7, 90. [Google Scholar] [CrossRef]
- Raghav, V.; Komerath, N. An exploration of radial flow on a rotating blade in retreating blade stall. J. Am. Helicopter Soc. 2013, 58, 1–10. [Google Scholar] [CrossRef]
- T-Motor, Test Report. Available online: https://www.tmotor.com (accessed on 11 November 2024).

























| Diameter [m] | Solidity, σ | No. of Blades | No. of Airfoil [45] |
|---|---|---|---|
| 1.1 | 0.10861 | 3 | 4 (SF30, SF25, SF18, SF12) |
| Solver | CPU | Cores | Times |
|---|---|---|---|
| OSM (In-house code) | Intel Xeon Gold 6130 2.1 GHz | 224 | 69 h |
| SMM (STAR-CCM+) | Intel Xeon E5-2640v4 2.4 GHz | 40 | 140.8 h |
| ASM (OpenFOAM) | Intel Xeon E5-2640v4 2.4 GHz | 20 | 18 h |
| ADM (OpenFOAM) | Intel Xeon E5-2640v4 2.4 GHz | 20 | 7.4 h |
| BEMT | Intel Core i7-11700kf 3.6 GHz | 1 | 1 s |
| Radius [m] | Solidity, σ | No. of Blades | No. of Airfoil |
|---|---|---|---|
| 0.75 | 0.1428 | 3 | 1 (Clark Y) |
| Hover Flight | Forward Flight | ||
| Velocity [m/s] | 0/2/10 | 0/2/10/40/70/85 | |
| AOA [°] | −90/−60/−30/−20~20 (∆ = 4)/ 30/60/90 | −30/−20~20 (∆ = 4)/30 | |
| AOS [°] | −180/−150/−120/−90/−60/−30 /−20~20 (∆ = 4)/ 30/60/90/120/150/180 | ||
| RPM [rev/min] | Lift | 0/1000/1200/1400 | 0/600/800/1000/1200 |
| Propulsion | 0/800/1000/1200 | 0/800/1000/1200 | |
Disclaimer/Publisher’s Note: The statements, opinions and data contained in all publications are solely those of the individual author(s) and contributor(s) and not of MDPI and/or the editor(s). MDPI and/or the editor(s) disclaim responsibility for any injury to people or property resulting from any ideas, methods, instructions or products referred to in the content. |
© 2025 by the authors. Licensee MDPI, Basel, Switzerland. This article is an open access article distributed under the terms and conditions of the Creative Commons Attribution (CC BY) license (https://creativecommons.org/licenses/by/4.0/).
Share and Cite
Tai, M.; Lee, W.; Kim, D.; Park, D. Improvements in Robustness and Versatility of Blade Element Momentum Theory for UAM/AAM Applications. Aerospace 2025, 12, 728. https://doi.org/10.3390/aerospace12080728
Tai M, Lee W, Kim D, Park D. Improvements in Robustness and Versatility of Blade Element Momentum Theory for UAM/AAM Applications. Aerospace. 2025; 12(8):728. https://doi.org/10.3390/aerospace12080728
Chicago/Turabian StyleTai, Myungsik, Wooseung Lee, Dahye Kim, and Donghun Park. 2025. "Improvements in Robustness and Versatility of Blade Element Momentum Theory for UAM/AAM Applications" Aerospace 12, no. 8: 728. https://doi.org/10.3390/aerospace12080728
APA StyleTai, M., Lee, W., Kim, D., & Park, D. (2025). Improvements in Robustness and Versatility of Blade Element Momentum Theory for UAM/AAM Applications. Aerospace, 12(8), 728. https://doi.org/10.3390/aerospace12080728

