Abstract
Fin-stabilized guided rockets exhibit ballistic characteristics such as low initial velocity, high flight altitude, and long flight duration, which render their impact point accuracy and flight stability highly susceptible to the influence of wind. In this paper, the four-dimensional nonlinear angular motion equations describing the changes in attack angle and the law of axis swing of a dual-spin rocket are established, and the phase trajectory and equilibrium point stability characteristics of the nonlinear angular motion system under windy conditions are analyzed. Aiming at the problem that the equilibrium point of the angular motion system cannot be solved analytically with the change in wind speed, a phase trajectory projection sequence method based on the Poincaré cross-section and stroboscopic mapping is proposed to analyze the effect of wind on the angular motion bifurcation characteristics of a dual-spin rocket. The possible instability of angular motion caused by nonlinear aerodynamics under strong wind conditions is explored. This study is of reference significance for the launch control and aerodynamic design of guided rockets in complex environments.
1. Introduction
In recent years, the application of range-extension technology and guidance control technology in conventional rocket weapons has made guided rockets overcome the contradiction between range and accuracy of uncontrolled rockets and gradually become the main weapon to make up for the firepower gap between tactical missiles and barrel artillery. At the same time, the multi-purpose development of guided rockets has made their combat missions cover a wide range of categories, such as ground suppression, anti-aircraft and anti-missile defense, precision strike, and anti-ship torpedo [1,2,3]. Therefore, guided rockets will face a very complex launch and flight environment.
Relevant studies have shown that meteorological factors are one of the most important factors affecting the average impact point deviation from the target during long-range artillery firing, and among these meteorological factors, the atmospheric wind field is the most dominant [4,5]. The wind changes the aerodynamic forces and moments during the flight of the projectile, thereby affecting the characteristics of the projectile’s center of mass motion and its motion around the center of mass. The characteristics of the center of mass motion include the flight speed, trajectory, and landing position of the projectile. The characteristics of motion around the center of mass mainly involve the angular motion and flight stability of the projectile. In recent years, the research conducted by scholars on the effect of wind on the flight process of projectiles has also centered on these two motion characteristics. Marko et al. [6] analyzed the effects of wind on the flight speed and trajectory of projectiles under linear and nonlinear drag conditions. Zhang et al. [7] investigated the effects of wind speed on the trajectory prediction accuracy of rotating projectiles and proposed a wind speed identification method based on a multi-objective chaotic adaptive differential evolutionary algorithm. Guo et al. [8] regarded wind as a combination of mean wind and pulse wind and discussed the influence of wind on the steady-state scanning characteristics and hit probability of terminal-sensitive projectiles. Zhang et al. [9] analyzed the influence of random wind fields on the dispersion of multiple rocket landing points. Baranowski [10] analyzed the influence of crosswind and longitudinal wind on the flight stability of a Denel 155 mm projectile in the initial section of launching. Wang et al. [11] deduced and analyzed the response of the acceleration of the canard control of a rotationally stabilized projectile under windy conditions. Hui [12] and others studied the influence of wind fields on the attack zone of air-to-air missiles.
Conventional artillery shells often need to be corrected for meteorological factors during live firing to minimize the reduction in artillery’s firing accuracy brought about by them [13,14,15]. Missiles are equipped with more accurate and efficient navigation and guidance control systems, and some missiles also have a power supply system; therefore, missiles have a better ability to resist wind interference [16,17,18]. Compared to conventional shells, guided rockets have a lower initial velocity, longer range, and longer flight time, while compared to missiles, guided rockets have weaker control capabilities. It can be seen that the atmospheric wind field has a more prominent impact on the flight process and combat performance of guided rockets. As an emerging guided weapon in recent years, the related research on the dual-spin rocket mainly focuses on flight dynamics modeling [19,20,21,22], a fixed canard control method [23,24,25], ballistic characterization [26,27,28], etc. There are still few reports on the influence of wind on the flight dynamics of dual-spin rockets.
In this paper, the influence of wind on the phase trajectory, equilibrium state, and bifurcation characteristics of the nonlinear angular motion system of a dual-spin rocket are analyzed based on four-dimensional nonlinear angular motion equations. A phase trajectory projection analysis method based on the Poincaré interface and stroboscopic mapping is proposed to address the difficulty in obtaining analytical solutions for equilibrium points in nonlinear angular motion systems under wind conditions, making it impossible to use the Routh–Hurwitz theorem. The method is used to explore the possible instability of angular motion caused by strong winds under nonlinear aerodynamic conditions of dual-spin rockets.
2. Flight Dynamics Model
The dual-spin rocket is created by installing a fixed canard guidance component at the warhead position of a conventional uncontrolled rocket (as shown in Figure 1a). During the projectile’s flight, the projectile body and warhead, connected by rolling bearings, rotate independently, forming a dual-spin structure. The projectile structure achieves ballistic control through rolling control of the canards. The fixed canards mechanism is equipped with a total of four canards (as shown in Figure 1b), divided into two pairs, one pair of control canards installed in the same direction and another pair of anti-rotation canards installed in the opposite direction.
Figure 1.
Structural diagram of dual-spin rocket.
In external ballistics [29], the projectile axis coordinate system and the velocity coordinate system are used to describe the angular motion of the projectile (shown in Figure 1a). The origin of the axis coordinate system is the centroid of the projectile . The axis is in the same direction as the projectile axis, pointing to the positive direction of the projectile head; the axis is in the plumbline and perpendicular to the axis, pointing to the upper part of the projectile; the axis is perpendicular to the plane; and the positive direction is determined by the right-hand rule of and . The origin of the velocity coordinate system is also point , the axis is in the same direction as the velocity vector of the centroid of the projectile , the axis is perpendicular to the axis pointing upward, the axis is perpendicular to the plane, and the positive direction is determined by the right-hand rule of and . In addition to the two reference coordinate systems mentioned above, the ground coordinate system is used to indicate the position of the projectile in space. The axis points towards the direction of projectile launch, the axis is perpendicular to the ground and upward, the axis is perpendicular to the plane, and the positive direction is determined by the right-hand rule of and .
For conventional projectiles, their motion in space can be divided into six degrees of freedom, namely translation along the three axes of and rotation along the three axes of . In terms of structure, the dual-spin rocket in this paper has an additional canards component that can rotate along the axis. Therefore, compared to conventional projectiles, a dual-spin rocket has an additional rotational degree of freedom for the canard component, totaling seven degrees of freedom. Based on the above ideas, Chang et al. [30,31] derived the 7DOF ballistic equations of the dual-spin rocket based on Newton’s second law of motion and the momentum moment theorem, which are improved based on the conventional 6DOF flight dynamics model of projectiles [29]:
Equation (1) is the dynamics equation for the centroid motion of a dual-spin rocket, which reflects the flight acceleration and swinging angular velocity of the projectile.
Equation (2) is the kinematics equation for the centroid motion of a dual-spin rocket, which reflects the position and velocity of the projectile in the ground coordinate system .
Equation (3) is the dynamics equations for the motion of a dual-spin rocket around the centroid, which reflects the swinging state of the projectile in space.
Equation (4) is the kinematics equations for the motion of a dual-spin rocket around the centroid, which reflects the rolling state of the projectile and canard along the axis . In Equations (1)–(4), denotes the mass of the projectile, denotes the velocity of the centroid of the projectile, denotes the angular velocity of the projectile swinging around the centroid, denotes the roll angle around the projectile axis, denote the position of the centroid of the projectile in the component of the ground coordinate system, and denote the combined external force and the combined external moment of the centroid of the projectile, and and denote the transverse moment of inertia of the projectile and the axial moment of inertia of the projectile. The subscripts and denote the velocity and axial coordinate system, respectively, while the subscripts represent the projectile body and the canards assembly. The derivation of the above equations, the definition of the projectile attitude angle , and the expressions of are given in detail in reference [31] and will not be repeated in this section. Equations (1)–(4) constitute the 7DOF flight dynamics equations of the dual-spin rocket, with a total of 14 variables. Based on the structural parameters, aerodynamic parameters, meteorological parameters, and initial launch state of the dual-spin rocket, the above equations can be numerically solved to obtain the full trajectory flight state of the projectile.
3. Nonlinear Angular Motion Model
3.1. Description of the Angle of Attack in Wind Conditions
In Figure 2a, the red vectors indicate the velocity of the rocket’s centroid , and the blue vectors indicate the three components of in the coordinate. denotes the angle between and , and it is called the total AOA (angle of attack); denote the pitch AOA and the yaw AOA, respectively, and they are the main state variables of the angular motion of the dual-spin rocket.
Figure 2.
AOA in wind conditions.
When a projectile flies in a wind field, aerodynamic forces and moments must be calculated using the projectile’s relative velocity to the air and relative angle of attack. As shown in Figure 2b, denotes the wind velocity vector, denotes the relative velocity of the projectile, and is the angle between the relative velocity vector and the axis of the projectile , which is called the relative angle of attack, where .
3.2. Nonlinear Angular Motion Equations
As shown in Section 2, the 7DOF ballistic model of the dual-spin rocket contains 14 state parameters, and the angular motion analysis mainly focuses on the angle of attack. According to the general form of the nonlinear system equations, it is necessary to organize the derivative expression of the angle of attack from the 7DOF ballistic model, while minimizing the number of state variables in the entire angular motion equations as much as possible to avoid the difficulties caused by a high-dimensional nonlinear system analysis. Projecting the velocity vector of the center of mass motion of the dual-spin rocket onto the projectile axis system, the components are obtained as
The pitch AOA and the yaw AOA can be expressed as
Derive the above equations once for the time to obtain
According to Equation (5), ; the derivative of the time is obtained once , and substituting into Equation (5) to eliminate the velocity derivative term , it is obtained as
The above equation still contains the derivative terms of the center of mass velocity components under the projectile axis coordinate system , , , which need to get their specific expressions, and projecting the equations of motion of the rocket’s center of mass under the ground system into the projectile axis system [29], there is
where denotes the derivative of the velocity vector with respect to the elastic axis system with respect to the time ; the component form of each vector in the above equation is expanded as
The organized form of Equation (10) is
Substituting the above equation into Equation (8), the derivative expressions for of the dual-spin rocket in the projectile axis coordinate system are obtained as
According to the coordinate transformation relationship between the coordinate system and [31], there are
In order to simplify Equation (12), the relevant terms of , , and are replaced by and , and Equation (3) is also associated to get
Neglecting the smaller values of gravity, Magnus force, and canard mechanism damping moments and retaining the main forces and moments, the expressions of ,, , in Equation (14) are
In Equation (15), the expressions for the relative velocities and are respectively
Substituting Equations (15) and (16) into Equation (14), we obtain
where denotes the air density; denotes the length of the projectile; denotes the reference area of the projectile; denotes the diameter of the projectile; and denote the drag coefficient, lift coefficient, and canards control force coefficient, respectively. denote the static moment coefficient derivative, transverse damping moment coefficient derivative, Magnus moment coefficient derivative, and canards control moment coefficient, respectively. denotes the canard deflection angle, and is the roll angle of the canard. Equation (17) is the dynamic equations describing the angular motion characteristics of the dual-spin rocket, and it can be seen that it includes trigonometric terms and product terms of attack angle and rotational angular velocity and is a four-dimensional nonlinear autonomous dynamic system equation. The subsequent nonlinear angular motion analysis of the dual-spin rocket in this paper will be based on Equation (17).
4. Wind-Induced Nonlinear Angular Motion
At the end of the active segment of the dual-spin rocket, the thrust disappears, and the stability of the rocket weakens. When the rocket reaches the trajectory vertex, the air density is low, the wind speed is high, the rocket’s velocity is small, and the rocket’s ability to resist disturbances is weak. Therefore, the end time of the active segment and the trajectory vertex are selected as the feature points for nonlinear angular motion analysis, which are sequentially referred to as feature point 1 and feature point 2. The main parameters of the nonlinear angular motion equations corresponding to the two characteristic points are shown in Table 1. Except for the wind velocity, all other meteorological parameters are set according to the artillery standard meteorological conditions [29]. At feature point 1 and feature point 2, the flight altitude of the dual-spin rocket is about 1 km and 13 km, respectively. Referring to the GFS (Global Forecasts Systems) of the U.S. National Centers for Environmental Prediction (https://www.windy.com/), the wind speed data for five different regions within China as of 10 March 2025 were obtained, as shown in Table 2. Therefore, the range of at feature point 1 and feature point 2 in the following simulations is set to 5 m/s~15 m/s and 15 m/s~60 m/s, respectively.
Table 1.
Flight dynamics parameters at the feature points.
Table 2.
Wind speed data by GFS and NCEP.
4.1. Phase Trajectories and Equilibrium Points
For the nonlinear angular motion of a dual-spin rocket, the main focus of research is on the phase trajectory characteristics of the system in the plane. Set the following four wind field conditions for a nonlinear angular motion phase trajectory simulation:
- (1)
- Feature point 1, , .
- (2)
- Feature point 1, , .
- (3)
- Feature point 1, , ,
- (4)
- Feature point 2, , .
The simulation duration is 7 s, and the initial state of the system is From Figure 3a,b,d, it can be seen that, compared with the no-wind case, at the end of the active segment, the vertical wind shifts the center of the phase trajectory along and decreases the amplitude of the phase trajectory in the direction of ; whereas the vertical wind shifts the center of the phase trajectory along the direction of and increases the amplitude of the phase trajectory in the direction of . At the apex of the trajectory, the vertical wind increases the amplitude of the angular motion phase trajectory in the direction of , and the shift in the phase trajectory center is approximately proportional to the size of the wind speed. Figure 3c shows that the above influence law is still valid when the rocket is disturbed by and at the same time. The comparison between Figure 3a,d shows that the anti-disturbance ability of the dual-spin rocket at the end of the active segment is stronger than that near the apex of the trajectory for the same intensity and duration of wind.
Figure 3.
Phase trajectories of the angular motion system under different wind conditions.
To further study the influence of wind on the center of the phase trajectory of angular motion, a numerical method is used to solve the zero solution, i.e., the equilibrium point position, of the angular motion equations of the dual-spin rocket under different wind speeds. Based on the physical significance of the angles of attack, the solution range is set to −90°~90° to simplify the solution process. The upper limit of simulated wind speed is taken as 10 m/s and 40 m/s for feature point 1 and feature point 2, respectively.
From Figure 4, it can be seen that the effect of wind on the position of the equilibrium point of the angular motion is basically linear with the magnitude of the wind speed under the consideration of geometric nonlinearity only. Further, the stability of the nonlinear angular motion equilibrium point of the projectile after being perturbed by wind is analyzed. Since the form of Equation (17) is complicated and the analytical form of the equilibrium point cannot be obtained directly, the position of the equilibrium point of the angular motion is obtained by numerical computation according to Lyapunov’s first approximation theory, and then the Jacobian matrix of the angular motion system corresponding to this point is computed, and the eigenvalues of the Jacobian matrix are utilized to carry out the stability analysis [32]. For feature point 1 and feature point 2, the maximum wind speed value of 40 m/s in the equilibrium curve of Figure 3 is taken, and the eigenvalues of the Jacobian matrix at the equilibrium point of the angular motion are calculated under different wind conditions, as shown in Table 3.
Figure 4.
Variation in the equilibrium points of angular motion with wind speed.
Table 3.
Jacobian matrix eigenvalues at the equilibrium point of angular motion.
Table 3 shows that, under the above wind conditions, the eigenvalues of the Jacobian matrix corresponding to the nonlinear angular motion at the equilibrium points on feature points 1 and 2 are two pairs of conjugate complexes with a negative real part, and all the equilibrium points are asymptotically stable foci.
4.2. Phase Trajectory Projection Sequence Method
From the nonlinear angular motion equations of Equation (17), it can be seen that the wind speeds produce not only additional terms that are not related to the angular motion state quantities, such as , but also coupling terms that are directly related to the angular motion state quantities, such as , so the equilibrium point of the angular motion system is constantly changing with the wind speed, and it is difficult to obtain its analytical form, which makes it difficult to use the Routh–Hurwitz stability criterion.
For the above problems, a phase trajectory projection sequence method for analyzing the variation in nonlinear system states with parameters is proposed in this section. This method combines the phase trajectory projection in the Poincaré section with periodic sampling in the Stroboscopic map, as shown in Figure 5. The main idea is to perform flicker sampling on the system state variables corresponding to a certain parameter condition when different values are taken and form a sampling sequence according to the increasing order of the parameters to reflect the changes of the system state with the parameters. Through this method, a curve of the system state with the system parameters is formed. The specific steps are as follows:
Figure 5.
Idea of the phase trajectory projection sequence method.
Step 1: Select the system parameter to be analyzed, set its value range as , and set a step size for the preliminary search of bifurcation values according to the size of the value of and satisfy the requirement that , where is positive integers.
Step 2: The parameter is substituted into the equations of the nonlinear system, and the numerical integration method is used to find the numerical solutions of the state quantities of the angular motion system. The state quantities of one dimension of the system (e.g., ) in the calculation result are labeled on the coordinate axes, which means that the phase trajectory of the entire nonlinear angular motion system is projected in the direction. The initial part of the phase trajectory, i.e., the point where the system has not been stabilized, can be discarded when the phase trajectory projection is carried out. At the same time, to simplify the calculation process, the projection of the phase trajectory only needs to take points at certain intervals (e.g., for the numerical solution of a total of 3000 sets of data, a point can be taken for every 50 sets of data, a total of 61 points).
Step 3: Let and repeat step (2) until the phase trajectory projection corresponding to is completed
Step 4: List the phase trajectory projections of each parameter value in the plane in the order of ~ to form a planar sequence diagram.
Step 5: Observe the phase trajectory projection sequence diagram; determine the approximate interval in which the phase trajectory projection sequence morphology undergoes a mutation, i.e., the interval in which the bifurcation value is located ; make ; reduce the step size ; and repeat steps 1 steps 4 until the accuracy requirement is met.
4.3. Bifurcation Characteristics
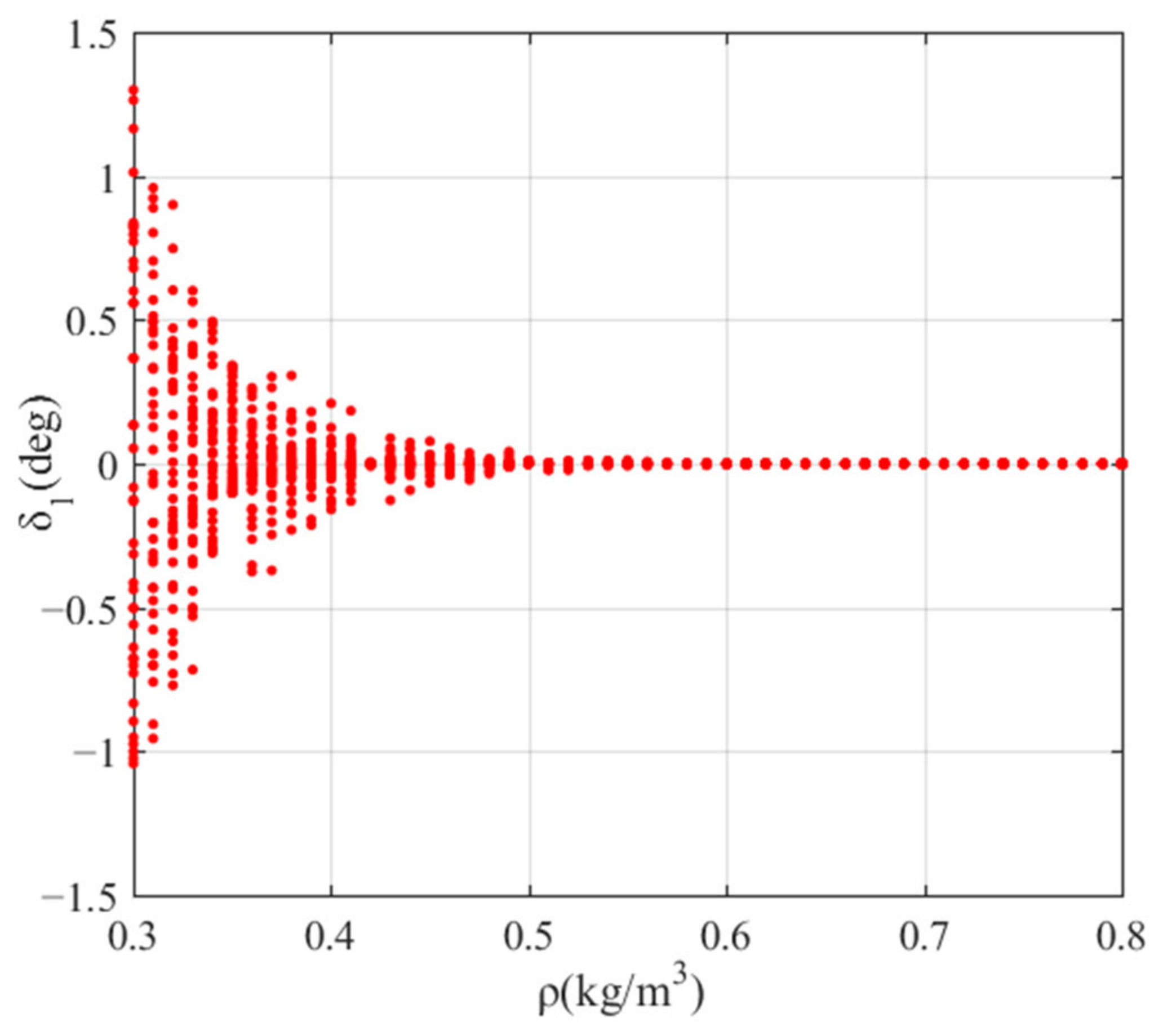
Based on the method in Section 4.2, the air density , which characterizes the influence of the flight environment, is selected as the bifurcation analysis parameter, and is selected as the projected state quantity of the phase trajectory sequence at feature point 1. The phase trajectory projection sequence diagram of the nonlinear angular motion of the dual-spin rocket is computed.
Figure 6 shows the sequence of plane phase trajectory projections for the nonlinear angular motion of the dual-spin rocket. It can be seen that when is greater than 0.5 kg/m3, the phase trajectory is projected in the high and low angle of attack on axis as a single point gathered in the vicinity of , and when is less than 0.5 kg/m3, the phase trajectory projection with the decline in is gradually dispersed to the positive and negative direction of the axis, which indicates that the nature of the solution to the nonlinear equations of angular motion has changed. Take the density value of 0.35 kg/m3 and make the system phase diagram as shown in Figure 7. At this point, the angular motion phase trajectory is a limit cycle with an amplitude of approximately 1.6°. The limit cycle represents the periodic solution of the nonlinear system. According to the basic theory of nonlinear dynamics, at this time, the nonlinear angular motion of the dual-spin rocket exhibits a Hopf bifurcation with respect to .
Figure 6.
δ1-ρ phase trajectory projection sequence.
Figure 7.
Limit cycle with respect to ρ.
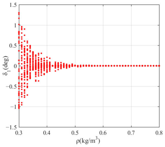
Further, a phase trajectory projection sequence diagram is used to analyze the influence of wind on the bifurcation of the rocket’s nonlinear angular motion system.
Figure 8 shows a comparison of the projection sequence of the phase trajectory plane of the angular motion when there is no wind, , and . It can be seen that the three projection sequences have similar patterns, and the position of the bifurcation point of does not change significantly when there is wind, i.e., the wind does not change the bifurcation critical value of the parameters of the dual-spin rocket nonlinear angular motion system. In Figure 9, the phase trajectory projection sequence diagram for analyzing parameter angular motion shows that there is no divergence in the phase trajectory projection sequence, indicating that when only geometric nonlinearity is considered, and aerodynamic nonlinearity is not considered, the wind will not cause bifurcation in the nonlinear angular motion of the dual-spin rocket.
Figure 8.
δ1-ρ phase trajectory projection sequence with different wy2.
Figure 9.
δ1-wy2 phase-trajectory projection sequence.
4.4. Wind-Induced Instability of Angular Motion
Based on the basic theory of nonlinear dynamics, the wind-induced angular motion response of a dual-spin rocket is analyzed in terms of phase trajectories, equilibrium points, and bifurcation characteristics in Section 4.1 and Section 4.3. According to the wind tunnel test, free flight test, and flow field numerical calculations of projectiles, it is known that aerodynamic nonlinearity should be considered when the projectile is flying at a large angle of attack. Therefore, in this section the effect of aerodynamic nonlinearity on the angular motion of the dual-spin rocket when strong winds cause a larger angle of attack for the projectile is analyzed. For the modeling of nonlinear aerodynamic forces, scholars have carried out a lot of research. At present, the main types of nonlinear aerodynamic models include the algebraic polynomial model, spline function model, Fourier function analysis model, state space model, integral equation model, and so on. In the related research of external ballistics [33], the nonlinear form of aerodynamic force is mostly described by algebraic polynomials, as shown in Equation (18).
where denotes the aerodynamic coefficient derivative, denotes the linear-term aerodynamic coefficient derivative, and denotes the cubic-term aerodynamic coefficient derivative. For the tail-stabilized dual-spin rocket, the aerodynamic term mainly affects the flight velocity and direction of the projectile and has a weaker effect on the angular motion, and the main factors affecting the stability of the angular motion are the static moment and the transverse damping moment. The calculations and analyses in the following section are centered on the nonlinear static moment and the nonlinear transverse damping moment .
4.4.1. Instability Caused by Nonlinear Static Moment
When the flight velocity of a projectile is in the transonic range, its aerodynamic characteristics are more complicated. Therefore, feature point 2 is selected to simulate and analyze the influence of nonlinear static moment coefficients on the stability of angular motion. Table 4 lists the flight stability situations of the rocket corresponding to the four positive and negative sign cases of the static moment coefficient derivative . For cases 1 and 4, the static stability properties of the projectile remain unchanged. Positive linear static moment coefficients are relatively rare in case 3. For case 2, research has shown that some tail-stabilized projectiles have a positive cubic static moment coefficient at transonic velocities. Therefore, the focus is on analyzing the angular motion characteristics of the dual-spin rocket when the derivative of the static moment coefficient is in case 2.
Table 4.
Stability of the rocket corresponding to the derivative of the static moment coefficient.
Similarly, the phase trajectory projection sequence is used as the analysis method. The simulation initial values of the nonlinear angular motion system equation are the same as those in Section 4.1. Based on the wind speed range at feature point 2, strong wind conditions and are taken, and the simulation results are shown in Figure 10.
Figure 10.
Projection sequence of phase trajectories of angular motion systems under different wind speeds and derivative conditions of cubic static moment coefficients.
From Figure 10a,b, it can be seen that under strong wind conditions, when the derivative of the cubic-term static moment coefficient exceeds the critical value, the amplitude of the attack angle of the dual-spin rocket increases rapidly, leading to divergence and an instability of angular motion. Under the same wind speed condition, the critical value of corresponding to is about 22.78, which is larger than the critical value of corresponding to , which is 18.66. Fixing the value of the derivative of the static moment coefficient of the cubic term to 30, we calculate the projection sequence of angular motion phase trajectories using the vertical wind and as parameters, respectively, as shown in Figure 10c,d. Comparing Figure 10c,d with Figure 10a,b, similar conclusions can be obtained: when is the same, the critical value of that causes the angular motion destabilization is larger than that of , and they are about 51.53 m/s and 44.77 m/s, respectively. It can be seen that is more prone to cause the angular motion destabilization of the dual-spin rocket in the case of strong winds and nonlinearity of the static moment.
4.4.2. Instability Caused by Nonlinear Transverse Damping Moment
When the projectile swings around the centroid with a certain angular velocity, it will be subject to a transverse damping moment that inhibits the swing. For a tail-stabilized rocket, the tail is the main source of the transverse damping moment; in addition, the transverse damping moment also includes the damping moment generated by other parts of the projectile and the friction between the projectile and the air in the process of swinging. Similarly, for the nonlinear form of the derivative of the transverse damping moment coefficient, there are four combinations of positive and negative signs in the following table. For the below four cases in Table 5, case 1 and case 2 rarely occur in the actual situation, and in case 4, the transverse damping moment is always a stabilizing factor for the projectile, so we mainly analyze the effect of a negative cubic-term transverse damping moment coefficient derivative on the angular motion of the dual-spin rocket in case 3, i.e., the case of a large angle of attack caused by a strong wind.
Table 5.
Stability of the rocket corresponding to the derivative of the transverse damping moment coefficient.
The wind speed magnitude is set to and when is the analytical parameter, and the derivative value of the transverse damping moment coefficient of the cubic term is set to when is the analytical parameter. The simulation results are shown in Figure 11.

Figure 11.
Projection sequence of phase trajectories of angular motion systems under different wind speeds and derivative conditions of cubic transverse damping moment coefficients.
Figure 11a,b show the projected sequence of angular motion phase trajectories at and with respect to , and it can be seen that the angular motion instability occurs with a value of about −22.12 for when , and the angular motion instability is induced with a value of about −14.31 for when . Figure 11c,d show the projected sequence of angular motion phase trajectories with respect to at , and it can be seen that the critical wind speeds causing angular motion instability are and , respectively. Figure 11 shows that the threshold of for angular motion instability is higher than that of , which is similar to the conclusion in Section 4.4.1.
4.4.3. Causes of Instability in Nonlinear Angular Motion
The relevant case at in Section 4.4.2 is used as an example to analyze the cause of angular motion destabilization. If the total static moment coefficient of the dual-spin rocket is , the critical value of the angle of attack when the derivative of the total static moment coefficient undergoes a sign change is calculated from Equation (18) as . Take the derivative of the cubic-term static moment coefficient as , which is close to the critical value of when the angular motion is destabilized calculated in Section 4.4.2, and the phase trajectory of the nonlinear angular motion system of the rocket at this time is calculated as shown in Figure 12.
Figure 12.
Angular motion phase trajectory near the instability critical value of my2′.
It can be seen that, due to the strong wind, the projectile produces a larger amplitude of angle of attack oscillation; the oscillation amplitude is about 25.49 °, very close to the value of ; at this time, if the wind speed or the derivative of the coefficient of the static moment of the cubic term is further increased, then the situation of will occur. The above analysis also applies to the case corresponding to the nonlinear equatorial damping moment. Based on the above analysis, the destabilization of the angular motion of the dual-spin rocket caused by strong wind and nonlinear aerodynamics can be summarized in Figure 13.
Figure 13.
Diagram of angular motion instability.
As shown in Figure 13, when there is strong wind, the angle of attack of the dual-spin rocket increases. According to Equation (18), if there is a cubic term with the opposite sign to the linear term of the aerodynamic moment derivative at this time, the large angle of attack may cause a change in the sign of the total aerodynamic moment coefficient. The static moment and transverse damping moment lose their stabilizing and damping effects, leading to divergence of the angle of attack and instability of angular motion.
5. Limitations
In this paper, the dual-spin rocket adopts the same control method as the PGK (Precision Guidance Kit), which has two working states: controlled and uncontrolled. The research in this paper was conducted in an uncontrolled state, where the steering engine does not work, and the canards rotates freely. In the uncontrolled state, the control force of the canards on the projectile is negligible. Therefore, the complex feedback on the canard fin interaction caused by the wind speeds and high angle of attack is not considered. All the conclusions in this paper are drawn referring to the uncontrolled state of the dual-spin rocket.
6. Conclusions
In this paper, based on the four-dimensional nonlinear angular motion equation of a dual-spin rocket, the phase trajectory changes and equilibrium point stability of the nonlinear angular motion system of the projectile under wind conditions were analyzed. In response to the problem that the equilibrium point of the nonlinear angular motion equation cannot be analytically solved with a change in wind speed, a phase trajectory projection sequence method based on a Poincaré cross-section and stroboscopic mapping was proposed. This method was used to analyze the influence of wind on the bifurcation characteristics of the nonlinear angular motion system. The instability phenomenon of angular motion caused by nonlinear aerodynamics under strong wind conditions was studied. The main research conclusions are as follows:
(1) Without considering aerodynamic nonlinearity, the wind shifts the equilibrium point of the angular motion of the dual-spin rocket relative to the windless case. The positive vertical wind in causes the system equilibrium point to move in the negative direction of , while the positive vertical wind in causes the equilibrium point to move in the negative direction of . The offset is proportional to the magnitude of the wind speed. At this point, the equilibrium point of the dual-spin rocket’s nonlinear angular motion is the asymptotically stable focal point.
(2) When aerodynamic nonlinearity is not taken into account, the wind will not cause a bifurcation of nonlinear angular motion of the dual-spin rocket, nor will it change the critical bifurcation values of other system parameters for nonlinear angular motion.
(3) When aerodynamic nonlinearity is considered, nonlinear static moments and nonlinear transverse damping moments may cause the instability of nonlinear angular motions of dual-spin rockets in strong wind conditions. The vertical wind is more prone to cause the angular motion destabilization of the dual-spin rocket in the case of strong winds and nonlinear aerodynamics.
In future work, the analysis of the impact of wind speed changes caused by turbulence and wind direction on angular motion will be conducted through detailed ballistic numerical simulations. In addition, a surface flow field simulation of the projectile will be conducted to simulate and explore the situation when the rocket passes through the shear layer. Considering the limitations in Section 5, the study of the influence of wind on the angular motion of the dual-spin rocket in the controlled state will also be the main direction of our subsequent work.
Author Contributions
Conceptualization, J.C.; methodology, J.C.; software, J.C. and Z.Y.; validation, J.C.; formal analysis, J.C. and Z.Y.; investigation, J.C.; resources, J.C. and Z.Y.; writing—original draft preparation, J.C.; writing—review and editing, J.C.; supervision, L.W.; project administration, J.C. and L.W.; funding acquisition, J.C. All authors have read and agreed to the published version of the manuscript.
Funding
This research was funded by funding for school-level research projects of Yancheng Institute of Technology (xjr2024043).
Data Availability Statement
The original contributions presented in this study are included in the article. Further inquiries can be directed to the corresponding author(s).
Conflicts of Interest
The authors declare no conflicts of interest.
References
- Wang, C.; Ding, L.; Zhang, H. Research on Control Force Aerodynamic Model of a Guided Rocket With an Isolated-rotating Tail Rudder. Int. J. Aeronaut. Space Sci. 2022, 23, 1–18. [Google Scholar] [CrossRef]
- Gu, B.; Kim, M.Y.; Baek, S.W. Analysis of the IR Signature and Radiative Base Heating from a Supersonic Solid Rocket Exhaust Plume. Int. J. Aeronaut. Space Sci. 2019, 20, 423–432. [Google Scholar] [CrossRef]
- Dov, O.; Ben-Asher, J.Z. Fuzzy control for neighboring extremals in midcourse rocket guidance. IEEE Trans. Aerosp. Electron. Syst. 2016, 52, 778–785. [Google Scholar] [CrossRef]
- Mukhedkar, R.J.; Naik, S.D. Effects of Different Meteorological Standards on Projectile Path. Def. Sci. J. 2013, 63, 101–107. [Google Scholar] [CrossRef]
- Yuan, T.; Bar-Shalom, Y.; Willett, P. Impact Point Prediction for Thrusting Projectiles in the Presence of Wind. IEEE Trans. Aerosp. Electron. Syst. 2014, 50, 102–119. [Google Scholar] [CrossRef]
- Lubarda, M.V.; Lubarda, V.A. A review of the analysis of wind-influenced projectile motion in the presence of linear and nonlinear drag force. Arch. Appl. Mech. 2022, 92, 1997–2017. [Google Scholar] [CrossRef]
- Zhang, K.; Gao, Y. Wind Identification of Spinning Projectile Using Improved Multi-objective Differential Evolution Algorithm. Int. J. Aerosp. Eng. 2022, 5, 13–28. [Google Scholar]
- Guo, R.; Liu, R.; Wang, Y. Effects of Wind on Steady-state Scan Characteristics and Hit Probability of Terminal-sensitive Projectile. Def. Technol. 2010, 1, 16–19. [Google Scholar]
- Zhang, K.; Gao, Y. The Impact of Wind Farms on Multiple Rocket Spread. Appl. Mech. Mater. 2014, 687–691, 606–609. [Google Scholar] [CrossRef]
- Baranowski, L. Testing of Flight Stability of Spin-stabilized Artillery Projectiles. J. Theor. App Mech-Pol. 2013, 51, 375–385. [Google Scholar]
- Wang, Y.; Yu, J.; Wang, X. Normal acceleration response to canard control with wind for spin-stabilized projectiles. Proc. Inst. Mech. Eng. Part G J. Aerosp. Eng. 2020, 234, 1473–1490. [Google Scholar] [CrossRef]
- Hui, Y.; Ying, N.; Chen, S. Dynamic attack zone of air-to-air missile after being launched in random wind field. Chin. J. Aeronaut. 2015, 28, 1519–1528. [Google Scholar] [CrossRef]
- Kaviratna, L.; Costello, M.; Slegers, N. Projectile Fire-Control Algorithm in a Spatially Varying Wind Field. J. Aerosp. Inf. Syst. 2013, 10, 497–512. [Google Scholar] [CrossRef][Green Version]
- Yu, M.; Ren, S. Aerodynamic and trajectory characteristics of a typical mortar projectile with a deflectable nose. Def. Technol. 2019, 15, 758–767. [Google Scholar] [CrossRef]
- Mandic, S. Dispersion reduction of artillery rockets guided by flight path steering method. Aeronaut. J. 2016, 120, 7435–7456. [Google Scholar] [CrossRef]
- Kim, S.W.; Choi, H.L. A Telemetry-Based Post-flight Wind Profile Estimation Method for Air-to-Surface Missiles. Int. J. Aeronaut. Space Sci. 2021, 22, 687–702. [Google Scholar] [CrossRef]
- Zhi, W.U.; Long, C.; Rui, Y. Studies on aeroservoelasticity semi-physical simulation test for missiles. Sci. China Technol. Sc. 2012, 55, 2482–2488. [Google Scholar]
- Zyluk, A. Numerical simulation of the effect of wind on the missile motion. J. Theor. App Mech-Pol. 2014, 52, 335–344. [Google Scholar]
- Philippe, W.; Theodoulis, S.; Morel, Y. Flight Dynamics Properties of 155 mm Spin-Stabilized Projectiles Analyzed in Different Body Frames. In Proceedings of the AIAA Atmospheric Flight Mechanics Conference, Toronto, ON, Canada, 2–5 August 2010. [Google Scholar]
- Florian, S.; Theodoulis, S.; Wernert, P. Flight dynamics modeling of dual-spin guided projectiles. IEEE Trans. Aerosp. Electron. Syst. 2017, 53, 1625–1641. [Google Scholar] [CrossRef]
- Zhi, W.; Wei, L.; Zhe, Z. Dynamics modeling of guided dual-spin rocket. Acta Armamentarii 2013, 34, 910–915. [Google Scholar]
- Li, W.; Wang, Z.G. Analysis of motion characteristics for dual-spin projectile. J. Solid. Rocket. Technol. 2014, 37, 143–149. [Google Scholar]
- Florian, S.; Theodoulis, S.; Wernert, P. Pitch/yaw channels control design for a 155mm projectile with rotating canards, using an infinity loop-shaping design procedure. In Proceedings of the AIAA Guidance, Navigation, and Control Conference, National Harbor, MD, USA, 13–17 January 2014. [Google Scholar]
- Theodoulis, S.; Sève, F.; Wernert, P. Robust gain-scheduled autopilot design for spin-stabilized projectiles with a course-correction fuze. Aerosp. Sci. Technol. 2014, 42, 477–489. [Google Scholar] [CrossRef]
- Theodoulis, S.; Gassmann, V.; Wernert, P. Guidance and Control Design for a Class of Spin-Stabilized Fin-Controlled Projectiles. J. Guid. Control Dynam 2013, 36, 517–531. [Google Scholar] [CrossRef]
- Chang, S. Dynamic Response to Canard Control and Gravity for a Dual-Spin Projectile. J. Spacecr. Rocket. 2016, 53, 558–566. [Google Scholar] [CrossRef]
- Shi, K.; Liu, M. Trajectory analysis of a dual-spin-stabilized projectile with fixed canards for the precision guidance kit. Proc. Inst. Mech. Eng. Part G J. Aerosp. Eng. 2022, 236, 2620–2632. [Google Scholar] [CrossRef]
- Liu, X.; Wu, X.; Yin, J. Aerodynamic characteristics of a dual-spin projectile with canards. Proc. Inst. Mech. Eng. Part G J. Aerosp. Eng. 2019, 233, 4541–4553. [Google Scholar] [CrossRef]
- Han, Z.P. Exterior Ballistics of Shells and Rockets, 2nd ed.; Beijing University of Technology Press: Beijing, China, 2008; pp. 141–143. [Google Scholar]
- Costello, M.F. Modeling and Simulation of a Different Roll Projectile. In Proceedings of the AIAA Modeling and Simulation Technologies Conference, Reston, VA, USA, 10–12 August 1998. [Google Scholar]
- Si, C.; Zhong, W.; Tie, L. Modeling and Simulation of Flight Dynamics for Dual-spin Stabilized Projectile Equipped With Canards. J. Ballist. 2014, 26, 1–5. [Google Scholar]
- Strogatz, S.H. Nonlinear Dynamics and Chaos; Westview Press: Boulder, CO, USA, 2001; pp. 67–80. [Google Scholar]
- McCoy, R.L. Modern Exterior Ballistics; Schiffer Publishing: Atglen, PA, USA, 1999; pp. 45–49. [Google Scholar]
Disclaimer/Publisher’s Note: The statements, opinions and data contained in all publications are solely those of the individual author(s) and contributor(s) and not of MDPI and/or the editor(s). MDPI and/or the editor(s) disclaim responsibility for any injury to people or property resulting from any ideas, methods, instructions or products referred to in the content. |
© 2025 by the authors. Licensee MDPI, Basel, Switzerland. This article is an open access article distributed under the terms and conditions of the Creative Commons Attribution (CC BY) license (https://creativecommons.org/licenses/by/4.0/).