Predicting Electromagnetic Performance Under Wrinkling in Thin-Film Phased Arrays
Abstract
1. Introduction
2. Wrinkling of Step-Stiffness Structure and Dual-Domain Displacement Mod
2.1. Wrinkling Mechanism of Step-Stiffness Structure
2.2. Surface Deformation of STMA
2.3. Dual-Domain Displacement-Driven Function
3. Structural–Electromagnetic Coupling Model
3.1. Electromechanical Coupling Model
3.2. Patch Electro-Magnetic Performance Simulation
4. Discussion
4.1. Dual-Domain Displacement Patch Analysis
4.2. Phased Array Antenna Analysis
5. Conclusions
- (1)
- The proposed model accurately captures wrinkling-induced deformations and their effects on far-field radiation and impedance. It enables rapid evaluation of antenna behavior under varying and values.
- (2)
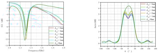
- Variations in and lead to significant changes in membrane surface accuracy, which, in turn, affect the peak gain and sidelobe structure. Excessive structural modification in either parameter can degrade beam symmetry and increase sidelobe interference.
- (3)
- As increases (e.g., reaching 0.30), the main lobe gain decreases, and sidelobes intensify, indicating potential degradation in directional performance and an increased risk of interference.
- (4)
- S-parameter analysis reveals that increasing and causes resonant frequency shifts and impedance mismatches. Notably, at = 0.30, the return loss significantly worsens, potentially compromising the antenna’s operational efficiency at 1.3 GHz.
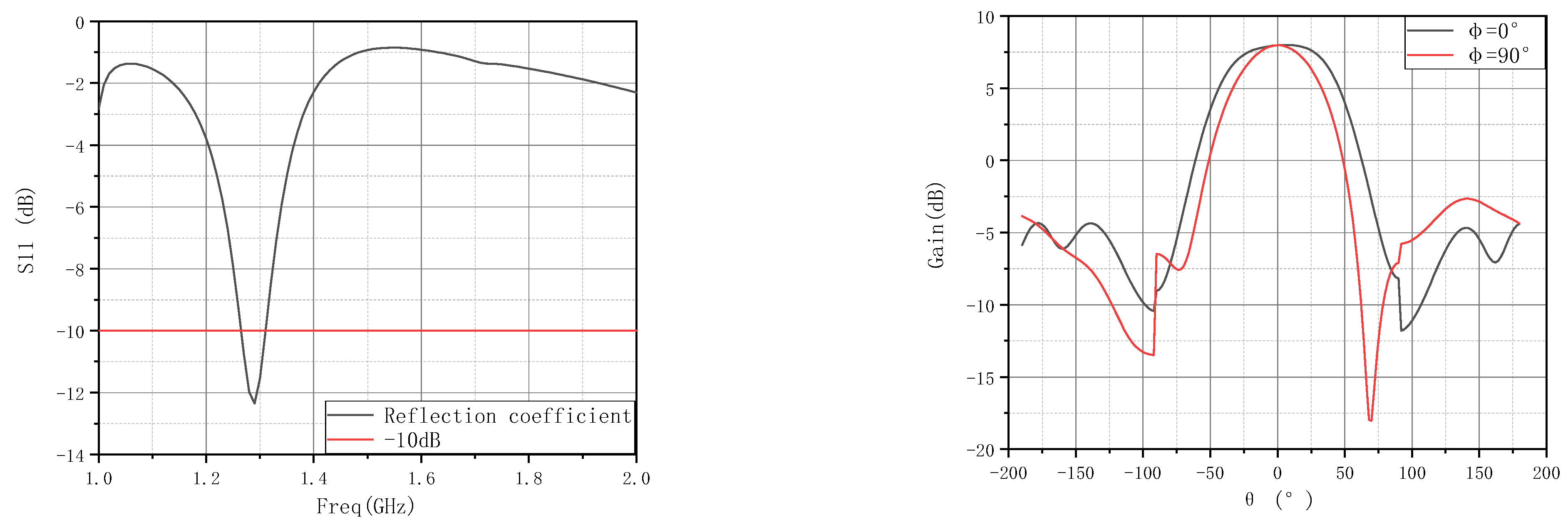
- (5)
- Phased array simulations show that while the antenna maintains high gain at broadside (θ ≈ 0°), its radiation pattern becomes increasingly distorted at larger values. In particular, gain symmetry is preserved at φ = 0°, but deformation is more pronounced at φ = 90°, demonstrating directional sensitivity to the structural design.
Author Contributions
Funding
Data Availability Statement
Conflicts of Interest
Abbreviations
| DASIY | Deployable Antenna Integral System. |
| SSDA | Solid Surface Deployable Antenna. |
| SAR | Synthetic Aperture Radar. |
| STMA | Space-Tensioned Membrane Antenna. |
References
- Ma, X.; Li, J.; Ma, J.; Wang, Z.; Shi, C.; Zheng, S.; Cui, Q.; Li, X.; Liu, F.; Guo, H.; et al. China’s Space Deployable Structures: Progress and Trends. Engineering 2020, 17, 207–219. [Google Scholar] [CrossRef]
- Ma, X.; An, N.; Cong, Q.; Bai, J.B.; Wu, M.; Xu, Y.; Jia, Q. Design, modeling, and manufacturing of high strain composites for space deployable structures. Commun. Eng. 2024, 3, 78. [Google Scholar] [CrossRef]
- Duan, B. Large spaceborne deployable antennas (LSDAs)—A comprehensive summary. Chin. J. Electron. 2020, 29, 1–15. [Google Scholar] [CrossRef]
- Liu, Z.Q.; Qiu, H.; Li, X.; Yang, S.L. Review of large spacecraft deployable membrane antenna structures. Chin. J. Mech. Eng. 2017, 30, 1447–1459. [Google Scholar] [CrossRef]
- Zhou, X.; Ma, X.; Li, H. Research status and development trends of flexible tensioned thin-film deployable space antennas. China Space Sci. Technol. 2022, 42, 15. (In Chinese) [Google Scholar]
- Shinde, S.D.; Upadhyay, S.H. Investigation on effect of tension forces on inflatable torus for rectangular multi-layer planar membrane reflector. Mater. Today Proc. 2023, 72, 1486–1489. [Google Scholar] [CrossRef]
- Li, M.J.; Li, M.; Liu, Y.F.; Geng, X.Y.; Li, Y.Y. A review on the development of spaceborne membrane antennas. Space Sci. Technol. 2022, 2022, 1–12. [Google Scholar] [CrossRef]
- Landis, C.M.; Huang, R.; Hutchinson, J.W. Formation of surface wrinkles and creases in constrained dielectric elastomers subject to electromechanical loading. J. Mech. Phys. Solids 2022, 167, 105023. [Google Scholar] [CrossRef]
- Mierunalan, S.; Dassanayake, S.P.; Mallikarachchi, H.M.Y.C.; Upadhyay, S.H. Simulation of ultra-thin membranes with creases. Int. J. Mech. Mater. Des. 2022, 19, 73–94. [Google Scholar] [CrossRef]
- Hakim, G.; Abramovich, H. Large deflections of thin-walled plates under transverse loading: Investigation of the generated in-plane stresses. Materials 2022, 15, 1577. [Google Scholar] [CrossRef]
- Yang, P.; Fang, Y.; Yuan, Y.; Meng, S.; Nan, Z.; Xu, H.; Gao, H. A perturbation force based approach to creasing instability in soft materials under general loading conditions. J. Mech. Phys. Solids 2021, 151, 104401. [Google Scholar] [CrossRef]
- Zhang, J.; Qiu, X.; Wang, C.; Liu, Y. A general theory and analytical solutions for post-buckling behaviors of thin sheets. J. Appl. Mech. 2022, 89, 061003. [Google Scholar] [CrossRef]
- Pamulaparthi Venkata, S.; Balbi, V.; Destrade, M.; Zurlo, G. Designing necks and wrinkles in inflated auxetic membranes. Int. J. Mech. Sci. 2024, 268, 109031. [Google Scholar] [CrossRef]
- Hao, Y.K.; Li, B.; Feng, X.Q.; Gao, H. Wrinkling–dewrinkling transitions in stretched soft spherical shells. Int. J. Solids Struct. 2024, 294, 112773. [Google Scholar] [CrossRef]
- Rammane, M.; Elmhaia, O.; Mesmoudi, S.; Askour, O.; Braikat, B.; Tri, A.; Damil, N. On the use of Hermit-type WLS approximation in a high order continuation method for buckling and wrinkling analysis of von-Kàrmàn plates. Eng. Struct. 2023, 278, 115498. [Google Scholar] [CrossRef]
- Yan, D.; Huangfu, D.; Zhang, K.; Hu, G. Wrinkling of the membrane with square rigid elements. EPL (Europhys. Lett.) 2016, 116, 24005. [Google Scholar] [CrossRef]
- Zhang, S.Q.; Lai, W.J.; Huang, C.Y.; Cai, C.S.; Lin, C.H.; Zhu, Q.H. Dynamic modeling and control of rigid-flexible-thermo-electrically coupled piezoelectric integrated smart spacecraft. Appl. Math. Model. 2025, 140, 115896. [Google Scholar] [CrossRef]
- Li, N.; Duan, B.; Zheng, F. Effect of the random error on the radiation characteristic of the reflector antenna based on two-dimensional fractal. Int. J. Antennas Propag. 2012, 2012, 543462. [Google Scholar] [CrossRef]
- Yu, D.; Yang, Y.; Hu, G.; Zhou, Y.; Hong, J. Energy harvesting from thermally induced vibrations of antenna panels. Int. J. Mech. Sci. 2022, 231, 107565. [Google Scholar] [CrossRef]
- Li, H.; Lyu, S.; Ma, X.; Lin, K.; Zhang, D.; Zhou, X.; Jin, X. Topology design of modular unit and cable network of on-orbit modular-assembled antenna. Int. J. Aerosp. Eng. 2024, 2024, 6385683. [Google Scholar] [CrossRef]
- Xu, P.; Wang, Y.; Xu, X.; Wang, L.; Wang, Z.; Yu, K.; Wang, C. Structural-electromagnetic-thermal coupling technology for active phased array antenna. Int. J. Antennas Propag. 2023, 2023, 2843443. [Google Scholar] [CrossRef]
- Jia, Y.; Wei, X.; Xu, L.; Wang, C.; Lian, P.; Xue, S.; Shi, Y. Multiphysics vibration FE model of piezoelectric macro fibre composite on carbon fibre composite structures. Compos. Part B Eng. 2019, 161, 376–385. [Google Scholar] [CrossRef]
- Wang, C.; Wang, Y.; Zhou, J.; Wang, M.; Zhong, J.; Duan, B. Compensation method for distorted planar array antennas based on structural–electromagnetic coupling and fast Fourier transform. IET Microw. Antennas Propag. 2018, 12, 954–962. [Google Scholar] [CrossRef]
- Zhang, S.; Zhang, Y.; Yang, D.; Song, L.; Zhang, X. Second-order sensitivity analysis of electromagnetic performance with respect to surface nodal displacements for reflector antennas and its benefits in integrated structural–electromagnetic optimisation. IET Microw. Antennas Propag. 2017, 11, 1530–1535. [Google Scholar] [CrossRef]
- Zeb, B.A.; Afzal, M.U.; Esselle, K.P. Performance analysis of classical and phase-corrected electromagnetic band gap resonator antennas with all-dielectric superstructures. IET Microw. Antennas Propag. 2016, 10, 1276–1284. [Google Scholar] [CrossRef]
- Hadarig, R.C.; de Cos, M.E.; Las-Heras, F. High-performance computational electromagnetic methods applied to the design of patch antenna with EBG structure. Int. J. Antennas Propag. 2012, 2012, 435890. [Google Scholar] [CrossRef]
- Zhou, X.; Li, H.; Ma, X. Analysis of structural boundary effects of copper-coated films and their application to space antennas. Coatings 2023, 13, 1612. [Google Scholar] [CrossRef]
- Balanis, C.A. Antenna Theory: Analysis and Design, 3rd ed.; Wiley: New York, NY, USA, 2005. [Google Scholar]
- Manteghi, M. Analytical Calculation of Impedance Matching for Probe-Fed Microstrip Patch Antennas. IEEE Trans. Antennas Propag. 2009, 57, 3972–3975. [Google Scholar] [CrossRef]
- Mohammed, A.S.B.; Yauri, A.R.; Kabir, A.M. Review of feeding techniques for microstrip patch antenna. Int. J. Comput. Appl. 2019, 178, 97–887. [Google Scholar]
















| Part | Material Parameters | ||
|---|---|---|---|
| Material | Young’s Modulus | Poisson Ratio | |
| Membrane | Polymide | 3 GPa | 0.33 |
| Beam/Frame/Connection flange | Alumimum | 206 GPa | 0.3 |
| Truss | Carbon Fiber | 110 GPa | 0.32 |
| Prestress/N | Maximum Deformation/mm | |||
|---|---|---|---|---|
| 5 × 3 Suspension Cable Configuration | 7 × 3 Suspension Cable Configuration | |||
| Radiator Layer | Ground Layer | Radiator Layer | Ground Layer | |
| 1.0 | 0.6332 | −0.4000 | 0.3698 | −0.3807 |
| 2.1 | 1.117 | −0.8091 | 0.6395 | −0.6479 |
Disclaimer/Publisher’s Note: The statements, opinions and data contained in all publications are solely those of the individual author(s) and contributor(s) and not of MDPI and/or the editor(s). MDPI and/or the editor(s) disclaim responsibility for any injury to people or property resulting from any ideas, methods, instructions or products referred to in the content. |
© 2025 by the authors. Licensee MDPI, Basel, Switzerland. This article is an open access article distributed under the terms and conditions of the Creative Commons Attribution (CC BY) license (https://creativecommons.org/licenses/by/4.0/).
Share and Cite
Zhou, X.; Yang, J.; Zhang, L.; Li, H.; Jin, X.; Fan, Y.; Xu, Y.; Ma, X. Predicting Electromagnetic Performance Under Wrinkling in Thin-Film Phased Arrays. Aerospace 2025, 12, 630. https://doi.org/10.3390/aerospace12070630
Zhou X, Yang J, Zhang L, Li H, Jin X, Fan Y, Xu Y, Ma X. Predicting Electromagnetic Performance Under Wrinkling in Thin-Film Phased Arrays. Aerospace. 2025; 12(7):630. https://doi.org/10.3390/aerospace12070630
Chicago/Turabian StyleZhou, Xiaotao, Jianfei Yang, Lei Zhang, Huanxiao Li, Xin Jin, Yesen Fan, Yan Xu, and Xiaofei Ma. 2025. "Predicting Electromagnetic Performance Under Wrinkling in Thin-Film Phased Arrays" Aerospace 12, no. 7: 630. https://doi.org/10.3390/aerospace12070630
APA StyleZhou, X., Yang, J., Zhang, L., Li, H., Jin, X., Fan, Y., Xu, Y., & Ma, X. (2025). Predicting Electromagnetic Performance Under Wrinkling in Thin-Film Phased Arrays. Aerospace, 12(7), 630. https://doi.org/10.3390/aerospace12070630

