Investigation of Improved Labyrinth Seal Stability Accounting for Radial Deformation
Abstract
1. Introduction
2. Investigation of Labyrinth Seal Stability
2.1. Technique and Procedure
2.2. Regulatory Equation
2.2.1. Equation for Fluid Domain Control
2.2.2. Robust Domain Control Equation
2.2.3. Equation for Fluid–Solid-Thermal Coupling
3. Validation of Research Object and Methodology
3.1. Subject of Investigation
3.2. Grid Partitioning and Autonomy Validation
3.3. Establishment of Boundary Conditions
3.4. Verification of Solution Accuracy
3.4.1. Validation of the Temperature Rise Characteristics Due to Wind Resistance
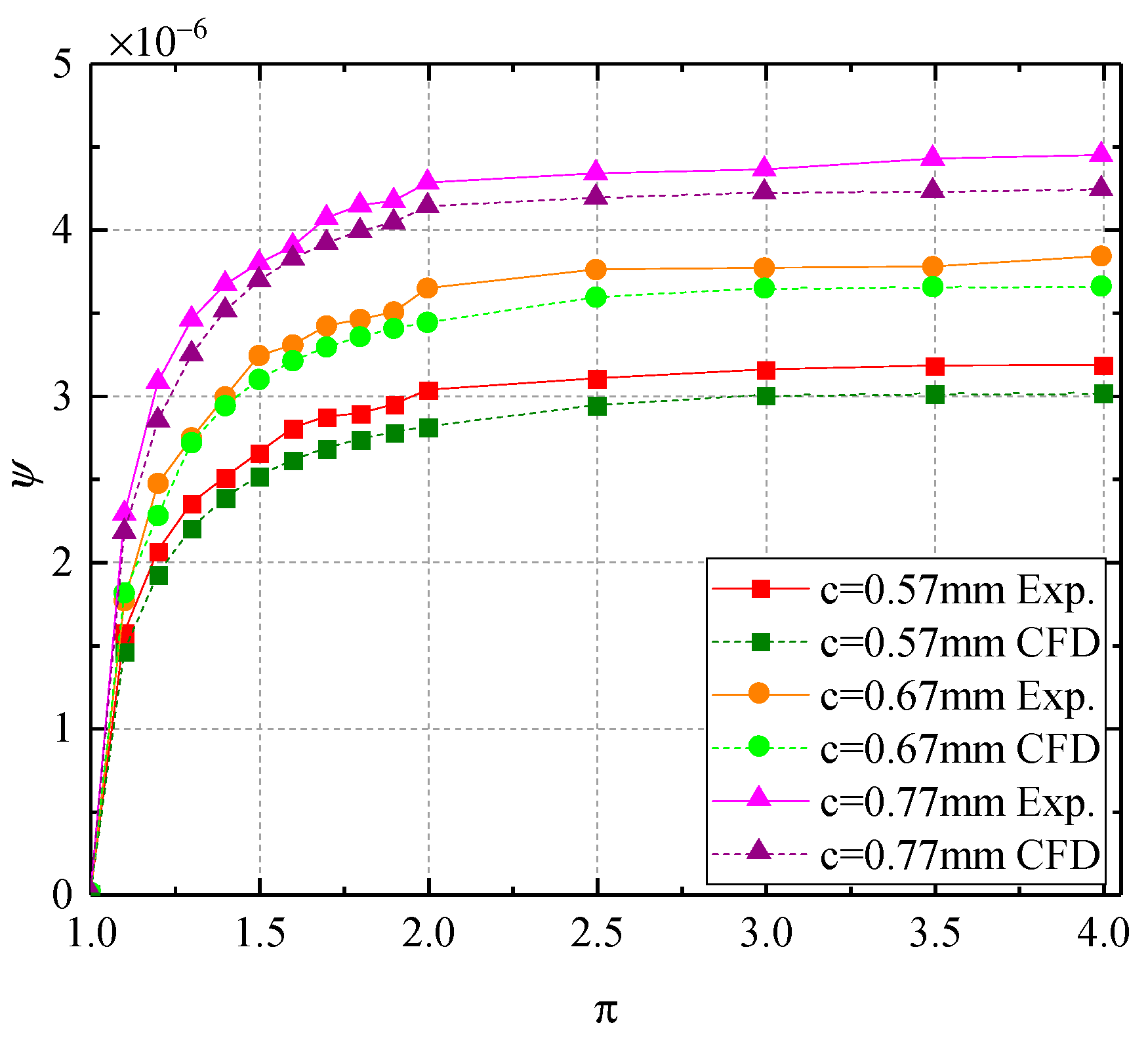
3.4.2. Validation of Leakage Characteristics Accuracy
4. Stability Assessment of Traditional Configuration
4.1. Establishment of Model Grid and Boundary Conditions
4.2. Analysis of Sealing Stability in Conventional Configurations
4.2.1. Analysis Under a Cold Gap Condition of 0.5 mm
4.2.2. Analysis Under a Cold Gap Condition of 0.3 mm
5. Enhanced Configuration Design and Stability Assessment
5.1. Enhanced Configuration Model and Study of Mechanical Properties
5.2. Analysis of Sealing Stability for Enhanced Configuration
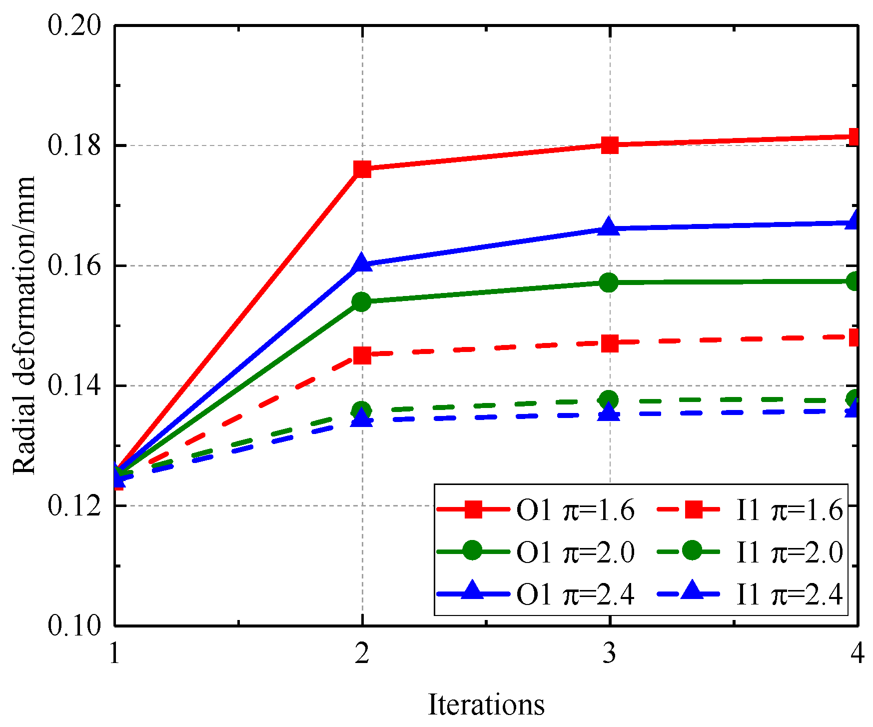
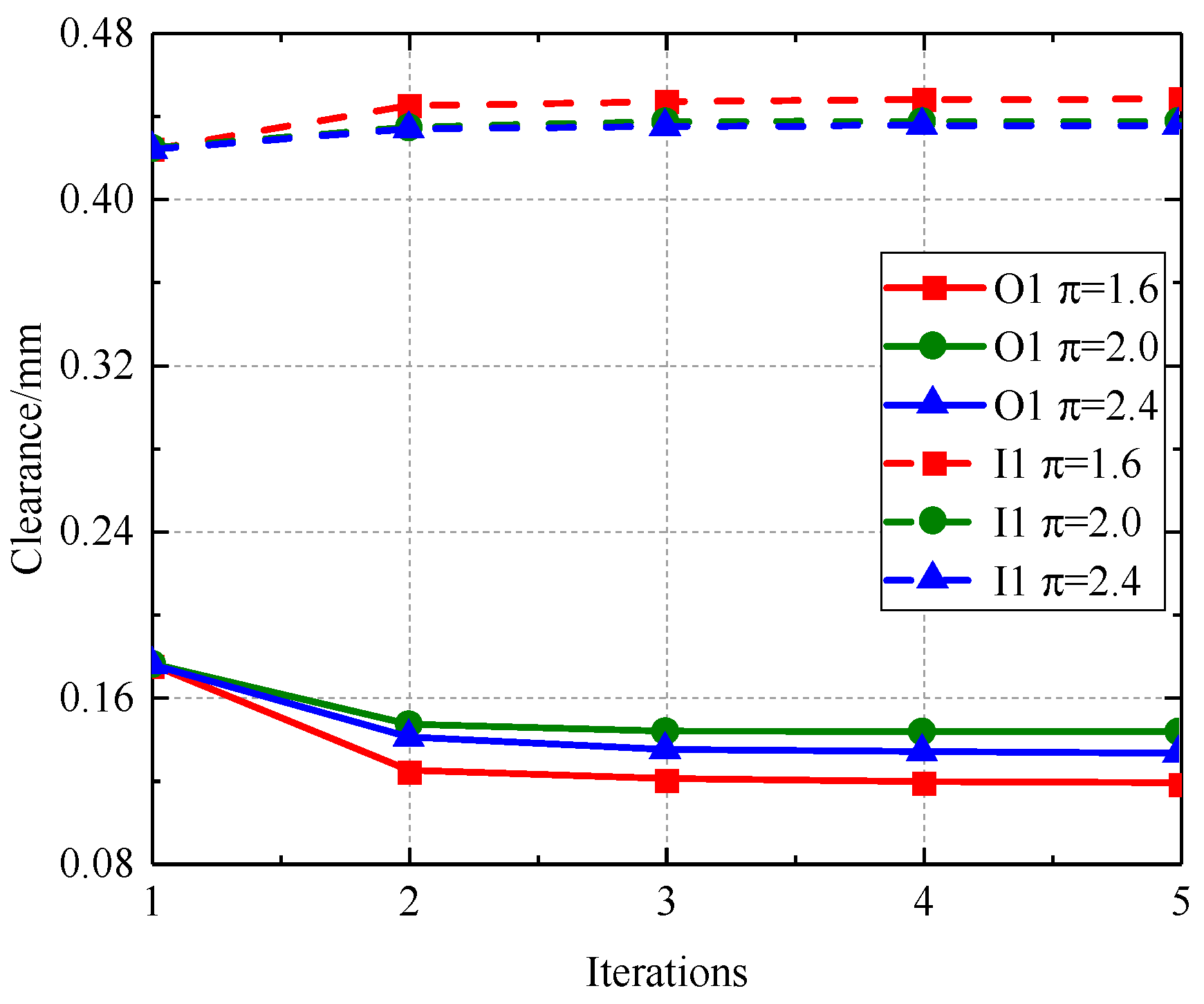
5.2.1. Analysis of Sealing Stability for Configuration A
5.2.2. Analysis of Sealing Stability for Configuration B
5.3. Comparison of Sealing Stability Between Traditional Setup and Enhanced Configuration
6. Conclusions
Author Contributions
Funding
Data Availability Statement
Conflicts of Interest
References
- Liu, G.; Chen, K.; Gang, T.; Zheng, H.-L. Influences of pressure ratio and Reynolds number on flow characteristics of labyrinth seal in compressor stator well. J. Aerosp. Power 2015, 30, 1554–1560. [Google Scholar] [CrossRef]
- Liu, G.; Jiang, Z.-W.; Wu, W.-T.; Xia, Q.-Z. Investigation on effects of rectangular groove on leakage of straight-trough labyrinth seal based on numerical simulation. J. Propuls. Technol. 2013, 34, 181. [Google Scholar]
- Wang, D.J.; Su, Y.L.; Luo, X. Experimental investigation on leakage flow characteristics in rotating labyrinth seals. Gas Turbine Exp. Res. 2007, 2, 41–44. Available online: https://api.semanticscholar.org/CorpusID:113809453 (accessed on 6 July 2025).
- Wang, P.F.; Liu, Y.F.; Guo, W.; Li, J.H.; Liu, B. Influence of high rotational speeds on the labyrinth sealing characteristics. Gas Turbine Exp. Res. 2007, 2, 45–48. Available online: https://api.semanticscholar.org/CorpusID:112650347 (accessed on 6 July 2025).
- Wang, Z.; Zhang, B.; Chen, Y.; Yang, S.; Liu, H.; Ji, H. Investigation of Leakage and Heat Transfer Properties of the Labyrinth Seal on Various Rotation Speed and Geometric Parameters. Coatings 2022, 12, 586. [Google Scholar] [CrossRef]
- Suryanarayanan, S.; Morrison, G.L. Analysis of flow parameters influencing carry-over coefficient of labyrinth seals. In Turbo Expo: Power for Land, Sea, and Air; American Society of Mechanical Engineers: Orlando, FL, USA, 2009; Volume 3, pp. 1137–1145. [Google Scholar] [CrossRef]
- Micio, M.; Facchini, B.; Innocenti, L.; Simonetti, F. Experimental investigation on leakage loss and heat transfer in a straight through labyrinth seal. In Turbo Expo: Power for Land, Sea, and Air; American Society of Mechanical Engineers: Vancouver, BC, Canada, 2011; Volume 5, pp. 967–979. [Google Scholar] [CrossRef]
- Li, Z.; Li, J.; Yan, X.; Feng, Z. Effects of pressure ratio and rotational speed on leakage flow and cavity pressure in the staggered labyrinth seal. J. Eng. Gas Turbines Power 2011, 133, 114503. [Google Scholar] [CrossRef]
- Zhang, L.; Zhu, H.; Liu, C.; Tong, F. Experimental and numerical investigation on leakage characteristic of stepped labyrinth seal. In Turbo Expo: Power for Land, Sea, and Air; American Society of Mechanical Engineers: Vancouver, BC, Canada, 2016. [Google Scholar] [CrossRef]
- Lee, S.I.; Kang, Y.J.; Kim, W.J.; Kwak, J.S.; Kim, T.S.; Kim, D.H.; Jung, I.Y. Effects of tip clearance, number of teeth, and tooth front angle on the sealing performance of straight and stepped labyrinth seals. J. Mech. Sci. Technol. 2021, 35, 1539–1547. [Google Scholar] [CrossRef]
- Wasilczuk, F.; Flaszynski, P.; Kaczynski, P.; Szwaba, R.; Doerffer, P.; Marugi, K. Leakage flow analysis in the gas turbine shroud gap. Aircr. Eng. Aerosp. Technol. 2019, 91, 1077–1085. [Google Scholar] [CrossRef]
- Wasilczuk, F.; Flaszynski, P.; Kaczynski, P.; Szwaba, R.; Doerffer, P.; Marugi, K. Air curtain application for leakage reduction in gas turbine shroud sealing. Aerosp. Sci. Technol. 2021, 112, 106636. [Google Scholar] [CrossRef]
- Chougule, H.H.; Mirzamoghadam, A. CFD Simulation of Lab Seal Tooth Tip Geometry Variations to Reduce Leakage. In Proceedings of the ASME Turbo Expo 2015: Turbine Technical Conference and Exposition. Volume 5C: Heat Transfer, Montreal, QC, Canada, 15–19 June 2015. V05CT15A036. [Google Scholar] [CrossRef]
- Tong, F.; Wang, Y.; Zhu, H. Numerical investigation on the leakage characteristics of stepped labyrinth seal. In Proceedings of the 2016 IEEE International Conference on Aircraft Utility Systems (AUS), Beijing, China, 10–12 October 2016; pp. 676–681. [Google Scholar] [CrossRef]
- Kong, X.; Liu, G.; Liu, Y.; Zheng, L. Experimental testing for the influences of rotation and tip clearance on the labyrinth seal in a compressor stator well. Aerosp. Sci. Technol. 2017, 71, 556–567. [Google Scholar] [CrossRef]
- Fang, J.; Liu, C.; Simos, T.E.; Famelis, I.T. Neural network solution of single-delay differential equations. Mediterr. J. Math. 2020, 17, 30. [Google Scholar] [CrossRef]
- Li, T.; Yang, W. Solution to chance constrained programming problem in swap trailer transport organisation based on improved simulated annealing algorithm. Appl. Math. Nonlinear Sci. 2020, 5, 47–54. [Google Scholar] [CrossRef]
- Willenborg, K.; Kim, S.; Wittig, S. Effects of Reynolds number and pressure ratio on leakage loss and heat transfer in a stepped labyrinth seal. J. Turbomach. 2001, 123, 815–822. [Google Scholar] [CrossRef]
- Zhang, B.; Yang, S.; Zhang, J.; Lin, Z.-Q.; Ji, H.-H. Experimental investigation on relationship between heat transfer and sealing characteristics under different pressure ratios in labyrinth seals with orthogonal method. Ain Shams Eng. J. 2023, 14, 101990. [Google Scholar] [CrossRef]
- Nayak, K.C.; Dutta, P. Numerical investigations for leakage and windage heating in straight-through labyrinth seals. J. Eng. Gas Turbines Power 2016, 138, 012507. [Google Scholar] [CrossRef]
- Nayak, K.; Musthafa, M.; Ansari, A. The effects of tooth tip wear and its axial displacement in rub-grooves on leakage and windage heating of labyrinth seals with honeycomb lands. In Proceedings of the 43rd AIAA/ASME/SAE/ASEE Joint Propulsion Conference & Exhibit, Cincinnati, OH, USA, 8–11 July 2007; p. 5736. [Google Scholar] [CrossRef]
- Wei, X.; Yao, Z.; Jin, F.; Wang, Z.; Ji, H. Numerical simulation of flow and heat transfer characteristic in straight-through labyrinth seals of aeroengines under eccentric and rotating conditions. J. Mech. Sci. Technol. 2023, 37, 3173–3183. [Google Scholar] [CrossRef]
- Sun, D.; Lu, J.; Liu, Y.; Zhan, P.; Xin, Q. Investigation on windage heating characteristics of labyrinth seals. Acta Aeronaut. Astronaut. Sin. 2018, 39, 122357. [Google Scholar] [CrossRef]
- Sun, D.; Zhou, M.; Zhao, H.; Lu, J.; Fei, C.-W.; Li, H. Numerical and experimental investigations on windage heating effect of labyrinth seals. J. Aerosp. Eng. 2020, 33, 04020057. [Google Scholar] [CrossRef]
- Szymański, A.; Wróblewski, W.; Bochon, K.; Majkut, M.; Strozik, M.; Marugi, K. Experimental validation of optimised straight-through labyrinth seals with various land structures. Int. J. Heat Mass Transf. 2020, 158, 119930. [Google Scholar] [CrossRef]
- Kulkarni, D.Y.; di Mare, L. Development of a new loss model for turbomachinery labyrinth seals. In Proceedings of the ASME 2021 Gas Turbine India Conference, Virtual, Online, 2–3 December 2021. [Google Scholar] [CrossRef]
- Xu, W.; Wang, Z.; Sun, D.; Ren, G.; Li, Y.; Lu, D. Numerical and Experimental Study on the Influence of Honeycomb Bushing Wear on the Leakage Flow Characteristics of Labyrinth Seal. J. Eng. Gas Turbines Power 2024, 146, 1–34. [Google Scholar] [CrossRef]
- Denecke, J.; Dullenkopf, K.; Wittig, S.; Bauer, H.-J. Experimental investigation of the total temperature increase and swirl development in rotating labyrinth seals. In Turbo Expo: Power for Land, Sea, and Air; American Society of Mechanical Engineers: Reno, NV, USA, 2005; pp. 1161–1171. [Google Scholar] [CrossRef]
- Ren, G.Z.; Lu, D.Z.; Sun, D.; Xu, W.F.; Wang, Z.M.; Tang, H.Y. Effects of structural parameters on flow characteristics and optimal number of sealing teeth of labyrinth seals. J. Propuls. Technol. 2025, 46, 1–13. [Google Scholar] [CrossRef]












































| Structural Parameters | Value |
|---|---|
| Number of Teeth (N) | 5.00 |
| Tooth Pitch (B)/mm | 4.50 |
| Tooth Height (H)/mm | 4.80 |
| Clearance (c)/mm | 0.50, 0.30 |
| Tooth Width (w)/mm | 0.25 |
| Front inclination angle (α1)/° | 10.00 |
| Rear inclination angle (α2)/° | 10.00 |
| Outer radius of labyrinth/mm | 247.00 |
| Inner radius of labyrinth/mm | 66.00 |
| Bolt diameter/mm | 10.00 |
| Bolt length/mm | 35.00 |
| Distance of bolt and tooth tip/mm | 39.50 |
| Num. | Grid Size (mm) | Grid Number (×104) | Mass Flow (g/s) |
|---|---|---|---|
| 1 | 4 | 146.65 | 6.967 |
| 2 | 3 | 205.57 | 7.897 |
| 3 | 2 | 312.27 | 8.03 |
| 4 | 1 | 580.87 | 7.978 |
| 5 | 0.5 | 1515.98 | 7.967 |
| Boundary | Value/Condition |
|---|---|
| Inlet Pressure (P*in)/atm | 1.6, 2.0, 2.4 |
| Outlet Pressure (P*out)/atm | 1 |
| Inlet Temperature (T)/K | 298.15 |
| Rotational velocity/rev min−1 | 15,000 |
| Fluid media | Perfect gas |
| Turbulence model | SST k-Omega |
| Wall condition | Anti-slip wall |
| ΔTtot | Relative Error | |
|---|---|---|
| Reference [28] | 4.08 | - |
| Results of CFD | 3.92 | 4.06% |
| Structural Parameters | Value |
|---|---|
| Tooth Pitch (B)/mm | 3.00 |
| Number of Teeth (N) | 5 |
| Tooth Height (H)/mm | 3.20 |
| Clearance (c)/mm | 0.57, 0.67, 0.77 |
| Tooth Width (w)/mm | 0.30 |
| Front inclination angle (α1)/(°) | 10.00 |
| Rear inclination angle (α2)/(°) | 10.00 |
| Piece width/mm | 200.00 |
Disclaimer/Publisher’s Note: The statements, opinions and data contained in all publications are solely those of the individual author(s) and contributor(s) and not of MDPI and/or the editor(s). MDPI and/or the editor(s) disclaim responsibility for any injury to people or property resulting from any ideas, methods, instructions or products referred to in the content. |
© 2025 by the authors. Licensee MDPI, Basel, Switzerland. This article is an open access article distributed under the terms and conditions of the Creative Commons Attribution (CC BY) license (https://creativecommons.org/licenses/by/4.0/).
Share and Cite
Ren, G.; Tang, H.; Sun, D.; Xu, W.; Li, Y. Investigation of Improved Labyrinth Seal Stability Accounting for Radial Deformation. Aerospace 2025, 12, 621. https://doi.org/10.3390/aerospace12070621
Ren G, Tang H, Sun D, Xu W, Li Y. Investigation of Improved Labyrinth Seal Stability Accounting for Radial Deformation. Aerospace. 2025; 12(7):621. https://doi.org/10.3390/aerospace12070621
Chicago/Turabian StyleRen, Guozhe, Hongyuan Tang, Dan Sun, Wenfeng Xu, and Yu Li. 2025. "Investigation of Improved Labyrinth Seal Stability Accounting for Radial Deformation" Aerospace 12, no. 7: 621. https://doi.org/10.3390/aerospace12070621
APA StyleRen, G., Tang, H., Sun, D., Xu, W., & Li, Y. (2025). Investigation of Improved Labyrinth Seal Stability Accounting for Radial Deformation. Aerospace, 12(7), 621. https://doi.org/10.3390/aerospace12070621

