Permeation Investigation of Carbon Fibre Reinforced Polymer Material for LH2 Storage Thermally Shocked and Mechanically Cycled at Cryogenic Temperature
Abstract
1. Introduction
2. Materials
Samples Preconditioning
3. Methods
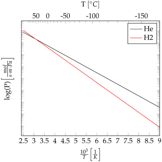
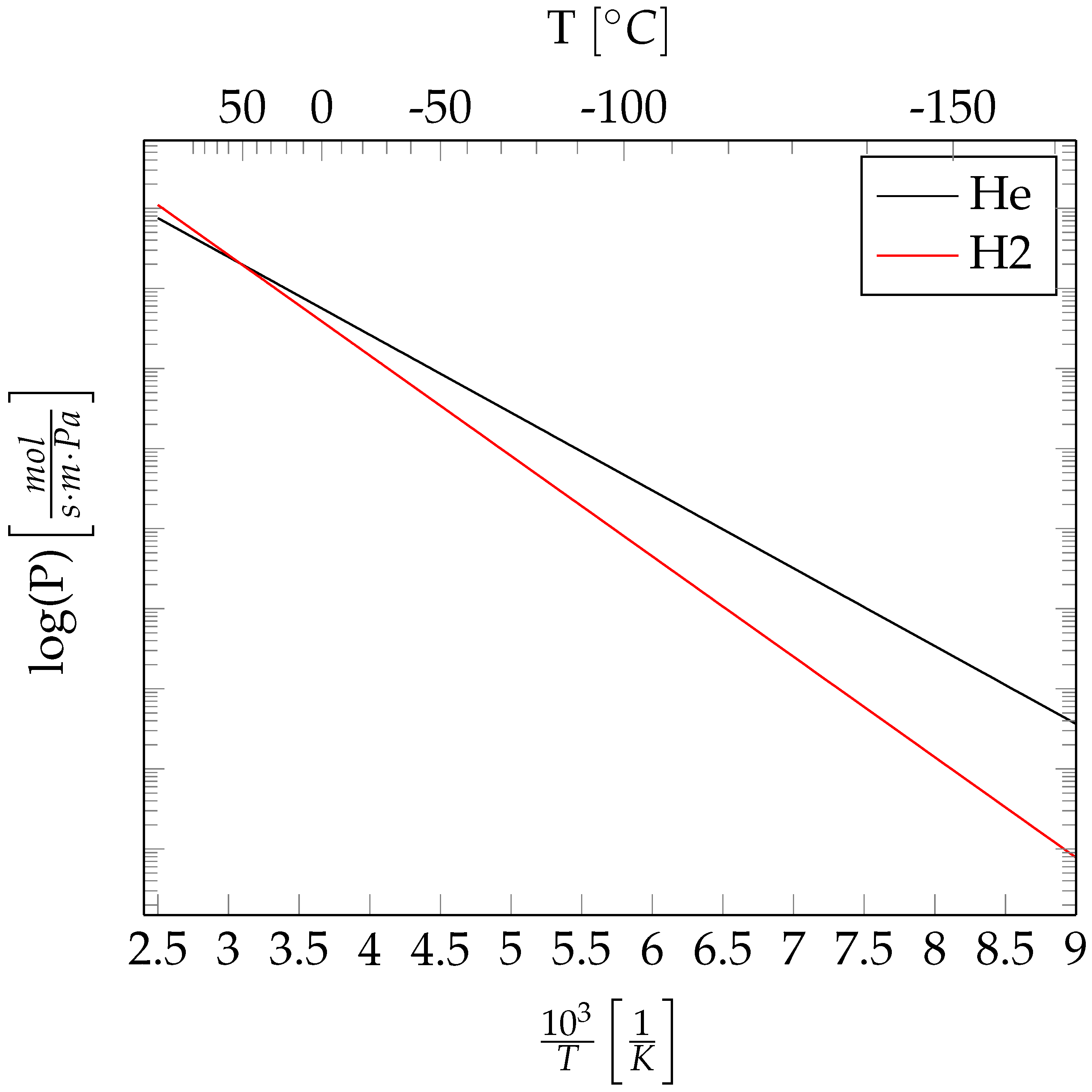
3.1. Helium and Hydrogen
3.2. Theoretical Fickian Diffusion
- The concentration at the feed side is referenced as ;
- The concentration at the permeate side is referenced as ;
- At , the concentration is applied as a constant: ;
- For every t, and .
3.3. Test Setup
3.4. Permeation Testing Methodology
- Assemble gaskets and the specimen concentrically in the sample holder.
- Tighten the sample holder assembly and connect the upper and lower chambers to the respective instrumentation tubing.
- Run preliminary checks. Apply vacuum to both the upper and lower chambers and make sure the required pressure is reached (in this case, selected at mbar), so as to make sure that all connections are sufficiently vacuum-tight. Then, run pressure tightness checks in the upper chamber by increasing the pressure within the tubing, closing necessary valves and verifying that the pressure inside the tubing assembly does not drop rapidly. This ensures that no gross leaks are present.
- Evacuate the upper chamber tubing assembly at least 5 times if all previous preliminary checks are successful.
- Start pulling vacuum and testing on the lower chamber with ASM340.
- Increase the tracer gas pressure in the upper chamber assembly to the desired amount, making sure that the same pressure will be delivered for the whole duration of the test.
- Start recording on ASM340.
- Convert the leak rate value from to by dividing if by a factor of 10 [32].
- Convert in the surface area (A) of the specimen exposed to the tracer gas.
- Convert in K the temperature (T) at which the test was carried out.
- Calculate the thickness of the specimen (l) in m.
- Calculate the gas transmission rate (GTR) with the following equation:where R is the ideal gas constant in .
- Calculate the difference in partial pressure of the permeating gas between the upper and lower chambers ( in ).
- Calculate permeance () by dividing the GTR by ().
- Calculate the permeation coefficient by multiplying the permeance by the thickness of the specimen.
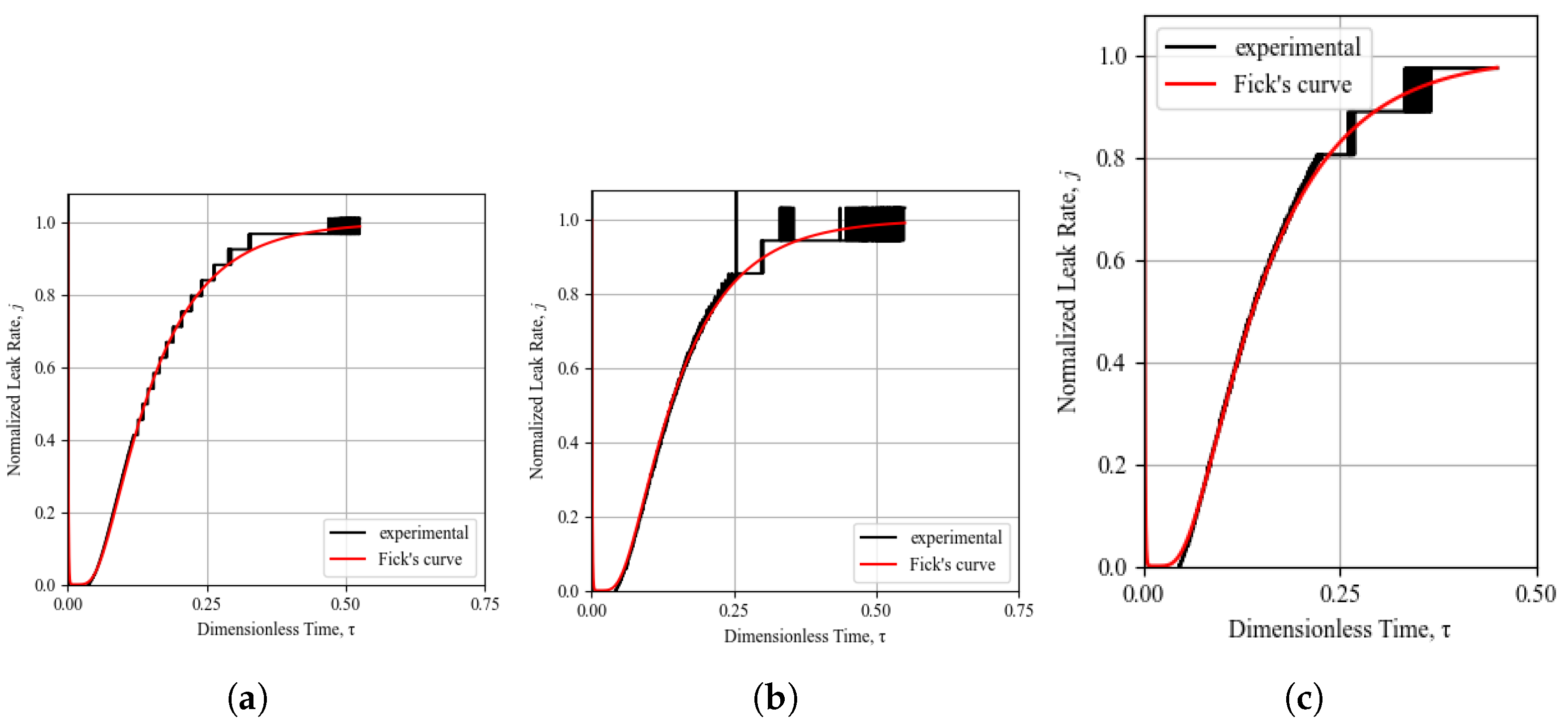
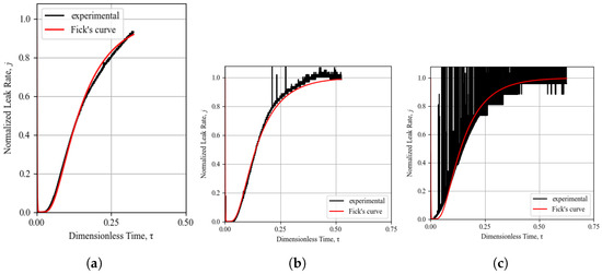
4. Results
5. Discussion
6. Conclusions
- A Fickian behavior investigation was performed on carbon fiber-reinforced thermoset and thermoplastic materials with specimens subjected to different preconditioning scenarios. Diffusion coefficients were calculated for every preconditioning scenario.
- The Fickian investigation on permeation measurements allowed us to identify material inhomogeneities undetectable by permeation coefficient or leak rate measurements alone and link them to specific preconditioning. This result could aid further research on similar investigations, where other methods to evaluate the material’s homogeneity cannot be implemented.
- The use of coefficient of determination as an objective method to evaluate and categorize Fickian, near-Fickian, and non-Fickian permeation behaviors needs to always be performed in conjunction with subjective evaluation of the main experimental permeation diffusion features (time lag, transient state, steady state) and compared to their respective theoretical ones.
- A methodology to improve the evaluation of correct testing time and steady-state leak rate determination is suggested.
- Cryogenic mechanical loading was demonstrated to be a more effective preconditioning method with respect to cryogenic thermal cycles alone.
Future Work
Author Contributions
Funding
Data Availability Statement
Acknowledgments
Conflicts of Interest
References
- International Civil Aviation Organization. Trends in Emissions That Affect Climate Change. Available online: https://www.icao.int/environmental-protection/Pages/ClimateChange_Trends.aspx (accessed on 15 December 2024).
- European Commission. Reducing Emissions from Aviation. Available online: https://climate.ec.europa.eu/eu-action/transport/reducing-emissions-aviation_en (accessed on 15 December 2024).
- U.S. Department of Energy. Hydrogen Storage. Available online: https://www.energy.gov/eere/fuelcells/hydrogen-storage (accessed on 16 December 2024).
- H2ELIOS. H2ELIOS Project. Available online: https://h2elios.eu/ (accessed on 16 December 2024).
- Coward, H.F.; Jones, G.W. Limits of Flammability of Gases and Vapors; Government Printing Office: Washington, DC, USA, 1952; pp. 503–508.
- Murphy, A.; Lake, R.; Wilkerson, C. Unlined Reuseable Filament Wound Composite Cryogenic Tank Testing; Technical Report; National Aeronautics and Space Administration: Washington, DC, USA, 1999. [Google Scholar]
- Bechel, V.T.; Negilski, M.; James, J. Limiting the permeability of composites for cryogenic applications. Compos. Sci. Technol. 2006, 66, 2284–2295. [Google Scholar] [CrossRef]
- Humpenöder, J. Gas permeation of fibre reinforced plastics. Cryogenics 1998, 38, 143–147. [Google Scholar] [CrossRef]
- Schultheiß, D. Permeation Barrier for Lightweight Liquid Hydrogen Tanks. Ph.D. Thesis, Universität Augsburg, Augsburg, Germany, 2007. [Google Scholar]
- Choi, S.; Sankar, B.V. Gas permeability of various graphite/epoxy composite laminates for cryogenic storage systems. Compos. Part B Eng. 2008, 39, 782–791. [Google Scholar] [CrossRef]
- Roy, S.; Benjamin, M. Modeling of permeation and damage in graphite/epoxy laminates for cryogenic fuel storage. Compos. Sci. Technol. 2004, 64, 2051–2065. [Google Scholar] [CrossRef]
- Flanagan, M.; Grogan, D.M.; Goggins, J.; Appel, S.; Doyle, K.; Leen, S.B.; Brádaigh, C.Ó. Permeability of carbon fibre PEEK composites for cryogenic storage tanks of future space launchers. Compos. Part A Appl. Sci. Manuf. 2017, 101, 173–184. [Google Scholar] [CrossRef]
- Scheerer, M.; Simon, Z.; Marischler, M.; Schoder, H. Importance of Cryogenic Testing Data for Composites–Matrix dominated properties and permeability. In Proceedings of the 32nd Leoben-Conference on Polymer Engineering and Science, Leoben, Austria, 21–22 November 2024. [Google Scholar]
- Condé-Wolter, J.; Vater, M.; Düreth, C.; Auer, M.; Gelencsér, A.; Liebsch, A.; Koch, I.; Gude, M. Experimental Analysis of Damage-Dependent GAS Leakage in Fibre Reinforced Composites. In Proceedings of the ECCM21—21st European Conference on Composite Materials, Nantes, France, 2–5 July 2024. [Google Scholar]
- Liu, S.; Zhan, L.; Ma, B.; Guan, C.; Yang, X. Simulation and experimental study on the internal leak behavior in carbon fiber reinforced composite components. Polymers 2023, 15, 2758. [Google Scholar] [CrossRef] [PubMed]
- Hosseini, S.; den Otter, A.; Zevenbergen, J.; Atli-Veltin, B.; Dransfeld, C. Methodology for the identification of hydrogen gas permeation path in damaged laminates. In Proceedings of the 20th European Conference on Composite Materials: Composites Meet Sustainability, Lausanne, Switzerland, 26–30 June 2022; EPFL Lausanne, Construction Laboratory: Lausanne, Switzerland, 2022; pp. 306–313. [Google Scholar]
- Gates, T.; Grenoble, R.; Whitley, K. Permeability and life-time durability of polymer matrix composites for cryogenic fuel tanks. In Proceedings of the 45th AIAA/ASME/ASCE/AHS/ASC Structures, Structural Dynamics & Materials Conference, Palm Springs, CA, USA, 19–22 April 2004; p. 1859. [Google Scholar]
- Rauh, C.; Reimer, T.; Wilken, J. Leakage investigation of epoxy-based composite laminates for reusable cryogenic propellant tanks. In Proceedings of the 2nd International Conference on Flight Vehicles, Aerothermodynamics and Re-Entry Missions & Engineering (FAR), Heilbronn, Germany, 19–23 June 2022. [Google Scholar]
- Katsivalis, I.; Signorini, V.; Ohlsson, F.; Langhammer, C.; Minelli, M.; Asp, L.E. Hydrogen permeability of thin-ply composites after mechanical loading. Compos. Part A Appl. Sci. Manuf. 2024, 176, 107867. [Google Scholar] [CrossRef]
- Stokes, E. Hydrogen permeability of polymer based composites under bi-axial strain and cryogenic temperatures. In Proceedings of the 45th AIAA/ASME/ASCE/AHS/ASC Structures, Structural Dynamics & Materials Conference, Palm Springs, CA, USA, 19–22 April 2004; p. 1858. [Google Scholar]
- Hamori, H.; Kumazawa, H.; Higuchi, R.; Yokozeki, T. Gas permeability of CFRP cross-ply laminates with thin-ply barrier layers under cryogenic and biaxial loading conditions. Compos. Struct. 2020, 245, 112326. [Google Scholar] [CrossRef]
- Grenoble, R.; Gates, T. Hydrogen permeability of polymer matrix composites at cryogenic temperatures. In Proceedings of the 46th AIAA/ASME/ASCE/AHS/ASC Structures, Structural Dynamics and Materials Conference, Austin, TX, USA, 18–21 April 2005; p. 2086. [Google Scholar]
- ASTM D1434-23; Standard Test Method for Determining Gas Permeability Characteristics of Plastic Film and Sheeting, Technical Report. ASTM International: West Conshohocken, PA, USA, 2023.
- Saha, S.; Sullivan, R.W. A review on gas permeability of polymer matrix composites for cryogenic applications. J. Compos. Mater. 2024, 58, 827–847. [Google Scholar] [CrossRef]
- Saha, S.; Sullivan, R.W. Gas permeation of composites subjected to impact for cryogenic applications. J. Spacecr. Rockets 2022, 59, 1255–1261. [Google Scholar] [CrossRef]
- Timmerman, J.F.; Tillman, M.S.; Hayes, B.S.; Seferis, J.C. Matrix and fiber influences on the cryogenic microcracking of carbon fiber/epoxy composites. Compos. Part A Appl. Sci. Manuf. 2002, 33, 323–329. [Google Scholar] [CrossRef]
- ISO 527/2/1A/5; Tensile Testing for Plastics. Available online: https://www.instron.com/en/testing-solutions/iso-standards/iso-527-2/ (accessed on 7 April 2025).
- Breck, D.W. Zeolite Molecular Sieves: Structure, Chemistry, and Use; Wiley: New York, NY, USA, 1974. [Google Scholar]
- Humpenöder, J. Gaspermeation von Faserverbunden mit Polymermatrices; Forschungszentrum Karlsruhe: Karlsruhe, Germany, 1997. [Google Scholar]
- Disdier, S.; Rey, J.; Pailler, P.; Bunsell, A. Helium permeation in composite materials for cryogenic application. Cryogenics 1998, 38, 135–142. [Google Scholar] [CrossRef]
- Crank, J. The Mathematics of Diffusion; Oxford University Press: Oxford, UK, 1979. [Google Scholar]
- Vacuum, P. Leak Detection Compendium; Pfeiffer Vacuum: Hesse, Germany, 2023. [Google Scholar]
- Just, T.; Will, J.; Haberstroh, C. Hydrogen permeability testing of fibre reinforced thermoplastics under cryogenic conditions–validation of a test rig concept. In Proceedings of the IOP Conference Series: Materials Science and Engineering; IOP Publishing: Bristol, UK, 2024; Volume 1301, p. 012063. [Google Scholar]














| Material ID | Layup | Diameter [mm] | Thickness [mm] | Fiber Content [%] | 
|---|---|---|---|---|
| P1 | 50 ± 0.5 | 2.09 ± 0.14 | 64.5 | |
| P2 | - | 50 ± 0.5 | 4 ± 0.10 | 20 | 
| Material System | Preconditioning ID | Cryogenic Cycles | Mechanical Cycles to 4500 @77 K | 
|---|---|---|---|
| P1 | N0-M0 | 0 | 0 | 
| P1 | N1-M0 | 1 | 0 | 
| P1 | N5-M0 | 5 | 0 | 
| P1 | H0-M50 | 0 | 50 | 
| P1 | H5-M50 | 5 | 50 | 
| Behavior | Non-Fickian | Near-Fickian | Fickian | 
|---|---|---|---|
| Range | 
| Material System | Preconditioning ID | Sample ID | Behavior | 
|---|---|---|---|
| P1 | N0-M0 | S1 | Fickian | 
| S2 | Near-Fickian | ||
| S3 | Fickian | ||
| P1 | N1-M0 | S1 | Fickian | 
| S2 | Fickian | ||
| S3 | Fickian | ||
| P1 | N5-M0 | S1 | Fickian | 
| S2 | Fickian | ||
| S3 | Fickian | ||
| P1 | H0-M50 | S1 | Non-Fickian | 
| S2 | Fickian | ||
| S3 | Near-Fickian | ||
| P1 | H5-M50 | S1 | Near-Fickian | 
| S2 | Near-Fickian | ||
| S3 | Non-Fickian | ||
| P2 | H0-M0 | S1 | Fickian | 
| S2 | Fickian | 
| Material System | Preconditioning ID | Diffusivity Avg. | Diffusivity St. Dev. | 
|---|---|---|---|
| P1 | N0-M0 | 2.72 | 3.97 | 
| P1 | N1-M0 | 3.08 | 1.03 | 
| P1 | N5-M0 | 1.85 | 6.6 | 
| P1 | H0-M50 | 3.24 | 9.74 | 
| P1 | H5-M50 | 4.12 | 1.49 | 
| P2 | H0-M0 | 2.36 | 8 | 
| N0-M0 | N1-M0 | N5-M0 | H0-M50 | H5-M50 | |
|---|---|---|---|---|---|
| Minimum | 1.49 | 1.83 | 1.49 | 1.01 | 8.74 | 
| Maximum | 2.28 | 2.89 | 2.07 | 1.87 | 1.91 | 
| Average | 1.79 | 2.44 | 1.80 | 1.41 | 1.43 | 
| Standard Deviation | 2.96 | 4.42 | 2.41 | 3.55 | 4.26 | 
| Coefficient of Variation [%] | 16.6 | 18 | 13.4 | 25.2 | 29.8 | 
| Disclaimer/Publisher’s Note: The statements, opinions and data contained in all publications are solely those of the individual author(s) and contributor(s) and not of MDPI and/or the editor(s). MDPI and/or the editor(s) disclaim responsibility for any injury to people or property resulting from any ideas, methods, instructions or products referred to in the content. | 
© 2025 by the authors. Licensee MDPI, Basel, Switzerland. This article is an open access article distributed under the terms and conditions of the Creative Commons Attribution (CC BY) license (https://creativecommons.org/licenses/by/4.0/).
Share and Cite
Dreossi, G.; Horvat, A.B. Permeation Investigation of Carbon Fibre Reinforced Polymer Material for LH2 Storage Thermally Shocked and Mechanically Cycled at Cryogenic Temperature. Aerospace 2025, 12, 342. https://doi.org/10.3390/aerospace12040342
Dreossi G, Horvat AB. Permeation Investigation of Carbon Fibre Reinforced Polymer Material for LH2 Storage Thermally Shocked and Mechanically Cycled at Cryogenic Temperature. Aerospace. 2025; 12(4):342. https://doi.org/10.3390/aerospace12040342
Chicago/Turabian StyleDreossi, Giacomo, and Andrej Bernard Horvat. 2025. "Permeation Investigation of Carbon Fibre Reinforced Polymer Material for LH2 Storage Thermally Shocked and Mechanically Cycled at Cryogenic Temperature" Aerospace 12, no. 4: 342. https://doi.org/10.3390/aerospace12040342
APA StyleDreossi, G., & Horvat, A. B. (2025). Permeation Investigation of Carbon Fibre Reinforced Polymer Material for LH2 Storage Thermally Shocked and Mechanically Cycled at Cryogenic Temperature. Aerospace, 12(4), 342. https://doi.org/10.3390/aerospace12040342
 
        



 
       