Sign in to use this feature.

Years

Between: -

Subjects

remove_circle_outline
remove_circle_outline
remove_circle_outline
remove_circle_outline
remove_circle_outline
remove_circle_outline
remove_circle_outline
remove_circle_outline
remove_circle_outline

Journals

remove_circle_outline
remove_circle_outline
remove_circle_outline
remove_circle_outline
remove_circle_outline
remove_circle_outline
remove_circle_outline
remove_circle_outline
remove_circle_outline
remove_circle_outline
remove_circle_outline

Article Types

Countries / Regions

remove_circle_outline
remove_circle_outline
remove_circle_outline
remove_circle_outline
remove_circle_outline
remove_circle_outline
remove_circle_outline

Search Results (1,088)

Search Parameters:
Keywords = helium

Order results
Result details
Results per page
Select all
Export citation of selected articles as:
16 pages, 607 KB  
Article
Ionization of Helium by Proton Impact in a Quasi-Sturmian Approach Built upon the 3C Model
by Sergey A. Zaytsev, Darya S. Zaytseva, Alexander S. Zaytsev, Lorenzo U. Ancarani, Konstantin A. Kouzakov and Yury V. Popov
Atoms 2026, 14(5), 36; https://doi.org/10.3390/atoms14050036 (registering DOI) - 26 Apr 2026
Abstract
We investigate theoretically the 75 keV proton-impact ionization of atomic helium. The convoluted quasi-Sturmian approach is extended to treat, on an equal footing, both the direct mechanism and the electron capture to the continuum. This is achieved by proposing an ansatz of the [...] Read more.
We investigate theoretically the 75 keV proton-impact ionization of atomic helium. The convoluted quasi-Sturmian approach is extended to treat, on an equal footing, both the direct mechanism and the electron capture to the continuum. This is achieved by proposing an ansatz of the Green’s function of the three-body Coulomb system (e,He+,p+) that is compatible with the well-known 3C correlated continuum wave function. The model that stems from this approximation, named 3C˜, is tested numerically using parabolic Sturmian expansions. Calculations of fully differential cross sections are presented for different regimes of energy losses, namely for ejected electron energies below, nearly equal to, and above the cusp energy. Our results are compared with recent experimental measurements and other theoretical calculations. The proposed 3C˜ model yields very encouraging results and paves the way towards a more advanced Lippmann–Schwinger approach based on the 3C model. Full article
(This article belongs to the Section Atomic, Molecular and Nuclear Spectroscopy and Collisions)
21 pages, 5641 KB  
Article
Flow-Field Characterization of Multiple Low-Density Gas Jets Impinging on a Wall at a Short Distance Using PIV
by Giovanni Cecere, Mats Andersson, Simona Silvia Merola and Adrian Irimescu
Fluids 2026, 11(4), 103; https://doi.org/10.3390/fluids11040103 - 19 Apr 2026
Viewed by 240
Abstract
This paper studies the dynamics of a low-density gas directly injected onto a flat wall, focusing on the influence of different pressure ratios (PRs) and plate position. Due to safety reasons, Helium (He) was employed as substitute to reproduce the mixing characteristics of [...] Read more.
This paper studies the dynamics of a low-density gas directly injected onto a flat wall, focusing on the influence of different pressure ratios (PRs) and plate position. Due to safety reasons, Helium (He) was employed as substitute to reproduce the mixing characteristics of hydrogen. A Nd:YAG laser has been used to generate the luminous background in the constant volume chamber (CVC) and vegetable oil particles as trackers to identify the induced flow-field. Two configurations were investigated: the first, with a flat wall perpendicularly positioned at an axial distance of 10 mm from the injector tip, and the second with the same plate at 30 mm downstream of the injector, inclined at 30°. The pressure of injection was swept from 20 to 50 bar, while the backpressure inside the CVC ranged from 2 to 6 bar to enable the reproduction of five different values of PRs: 3, 4, 7, 10 and 17. The comparison of the results in the two configurations has highlighted the role of the plate at short distance in decelerating the jet speed (230 m/s to 160 m/s) while improving the vorticity intensity (+10%). In addition, a stagnation region was observed to form on the flat wall, downstream of the injector axis for 10 mm configuration. In this area the velocity ranged from 50% to 60% compared to the average jet speed. This phenomenon was noted to be less pronounced with the 30 mm, 30° configuration that led to a more contained speed reduction to 150–160%. Full article
Show Figures

Figure 1

48 pages, 5383 KB  
Article
A Dark Atom Scenario for Direct Dark Matter Investigation
by Pierluigi Belli, Rita Bernabei, Vitaly Beylin, Timur Bikbaev, Artem Kharakhashyan, Maxim Khlopov, Vladimir Korchagin, Andrey Mayorov and Danila Sopin
Universe 2026, 12(4), 116; https://doi.org/10.3390/universe12040116 - 15 Apr 2026
Viewed by 158
Abstract
This paper extensively explores the concept of dark atoms, hypothetical stable lepton-like particles with a charge of 2n (where n is any natural number) that form neutral bound states with n primordial helium nuclei. The discussion begins with the introduction of [...] Read more.
This paper extensively explores the concept of dark atoms, hypothetical stable lepton-like particles with a charge of 2n (where n is any natural number) that form neutral bound states with n primordial helium nuclei. The discussion begins with the introduction of multiply charged stable particles. Next, the formation and evolution of dark atoms are examined, followed by a review of related constraints. The capture of dark atoms by the Earth and implications for direct dark matter search are subsequently discussed. Then, the quantum-mechanical description of bound states between dark atoms and ordinary nuclei is addressed. Moreover, procedures for systematic comparisons with this model, which have general interest, are presented considering the DAMA published results on the dark matter annual and diurnal modulation signatures as a benchmark. Full article
(This article belongs to the Topic Dark Matter, Dark Energy and Cosmological Anisotropy)
Show Figures

Figure 1

29 pages, 2132 KB  
Review
Critical Review on Photovoltaic Fire Safety in Buildings from Ignition to Smoke Control and Intervention
by Fouad Fatoom, Răzvan Calotă, Ilinca Năstase and Florin Bode
Fire 2026, 9(4), 163; https://doi.org/10.3390/fire9040163 - 13 Apr 2026
Viewed by 998
Abstract
Photovoltaic (PV) systems are important for sustainable energy infrastructure, but their rapid deployment introduces complex fire dynamics that current regulations fail to address adequately. While existing standards focus on the electrical safety of individual components, they often neglect the risks arising from the [...] Read more.
Photovoltaic (PV) systems are important for sustainable energy infrastructure, but their rapid deployment introduces complex fire dynamics that current regulations fail to address adequately. While existing standards focus on the electrical safety of individual components, they often neglect the risks arising from the interaction between the PV array and the building envelope. This review synthesizes current research on ignition mechanisms, thermal behavior, and the aerodynamic propagation of smoke to evaluate these overlooked hazards. A primary finding is that the interstitial space between the panel and the roof functions as a “heat trap,” significantly altering airflow patterns and accelerating flame spread even across fire-rated materials. The analysis further highlights that standard testing protocols do not sufficiently account for the urban dispersion of toxic combustion byproducts, such as hydrogen fluoride and volatile organic compounds. By evaluating recent advancements in Computational Fluid Dynamics (CFD) and helium-based surrogate testing, this paper demonstrates that accurate prediction of pollutant transport requires coupled modeling of wind effects and thermal buoyancy. The study concludes that ensuring urban fire resilience demands an evolution from component certification to integrated system assessments that include installation geometry, ventilation strategies, and environmental impact. Full article
Show Figures

Figure 1

12 pages, 416 KB  
Article
Ionization in C6++He Collisions: Singly Differential Cross-Sections
by Sh. U. Alladustov, K. H. Spicer, N. W. Antonio, A. M. Kotian and A. S. Kadyrov
Atoms 2026, 14(4), 31; https://doi.org/10.3390/atoms14040031 - 9 Apr 2026
Viewed by 199
Abstract
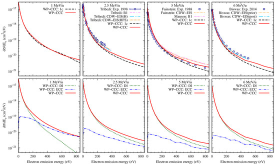
Differential ionization in C6++He collisions is investigated using the single- and two-center wave-packet convergent close-coupling (WP-CCC) method for projectile energies of 1–6 MeV/u. We present three types of singly differential cross-sections (SDCSs) as functions of the ejection angle, ejection [...] Read more.
Differential ionization in C6++He collisions is investigated using the single- and two-center wave-packet convergent close-coupling (WP-CCC) method for projectile energies of 1–6 MeV/u. We present three types of singly differential cross-sections (SDCSs) as functions of the ejection angle, ejection energy, and projectile scattering angle. The two-center framework incorporates couplings across all channels as well as electron correlations. Overall, both the single- and two-center WP-CCC results agree well with existing experimental and theoretical data (apart from the first Born ones) for the SDCS as a function of electron energy and the SDCS as a function of ejection angle, laying a foundation for investigation of doubly and fully differential ionization cross-sections. The cross-sections differential in the projectile scattering angle are presented for the first time. Full article
(This article belongs to the Special Issue Electronic Dynamics in Atomic and Molecular Collisions)
Show Figures

Figure 1

17 pages, 16976 KB  
Article
Micropore Characteristics and Reservoir Potential of Deep Tight Carbonates from the Lower Cambrian Canglangpu Formation in the Northern Sichuan Basin, China
by Yuan He, Kunyu Li, Hongyu Long, Xinjian Zhu, Sixuan Wu, Yong Li, Dailin Yang and Hang Jiang
Minerals 2026, 16(4), 391; https://doi.org/10.3390/min16040391 - 9 Apr 2026
Viewed by 319
Abstract
Recent deep exploration in the northern Sichuan Basin has advanced our understanding of Lower Cambrian Canglangpu Formation carbonate reservoirs. However, the characteristics, genesis, and distribution of the reservoir, as well as future exploration targets, remain unclear. Specifically, core and thin-section analyses indicate that [...] Read more.
Recent deep exploration in the northern Sichuan Basin has advanced our understanding of Lower Cambrian Canglangpu Formation carbonate reservoirs. However, the characteristics, genesis, and distribution of the reservoir, as well as future exploration targets, remain unclear. Specifically, core and thin-section analyses indicate that these reservoirs are notably tight, with virtually no visible macroporosity and low permeability (0.01–1 mD). However, helium porosity measurements reveal values of 2–5%, suggesting significant storage potential. An integrated approach utilizing optical and scanning electron microscopy (SEM), high-pressure mercury injection capillary pressure (MICP), nuclear magnetic resonance (NMR), and micro-computed tomography (micro-CT) was employed to characterize the pore systems. Quantitative thin-section analysis reveals visible areal porosity markedly lower than helium porosity, indicating predominance of micropores; mercury intrusion and NMR demonstrate that intragranular and intergranular micropores constitute most pore volume, although effectively connected throat sizes remain below 1 µm. Comparative stratigraphic evaluations show that porosity is more developed in the dolomite-rich upper and middle intervals of the depositional cycles, whereas the lower intervals are less porous. Early subaerial exposure promoted dolomitization and dissolution, which facilitated pore development. However, the influence of sediment mixing led to a reduction in porosity. And deep burial subjected the rocks to intense compaction and cementation, destroying most of the primary pore space. Consequently, reservoir quality is ultimately governed by the interplay between the original depositional environment and the later diagenetic history, with paleotopographic highs identified as the most promising exploration targets. These findings establish a predictive framework for reservoir quality in tight carbonate rocks, which holds significant implications for analogous plays worldwide. Full article
(This article belongs to the Special Issue Carbonate Systems: Petrography, Geochemistry and Resource Effect)
Show Figures

Figure 1

19 pages, 3511 KB  
Article
Numerical Investigation and Analytical Modeling of MHD Pressure Drop in Lead–Lithium Flows Within Rectangular Ducts Under Variable Magnetic Field for Nuclear Fusion Reactors
by Silvia Iannoni, Gianluca Camera, Marcello Iasiello, Nicola Bianco and Giuseppe Di Gironimo
J. Nucl. Eng. 2026, 7(2), 26; https://doi.org/10.3390/jne7020026 - 2 Apr 2026
Viewed by 457
Abstract
The breeding blanket is a key component of tokamaks, primarily responsible for extracting heat from fusion reactions and for tritium breeding, which is essential to ensure a fusion reactor’s fuel self-sufficiency. Recent technological advancements have led to the development of Dual-Cooled Lead–Lithium (DCLL) [...] Read more.
The breeding blanket is a key component of tokamaks, primarily responsible for extracting heat from fusion reactions and for tritium breeding, which is essential to ensure a fusion reactor’s fuel self-sufficiency. Recent technological advancements have led to the development of Dual-Cooled Lead–Lithium (DCLL) breeding blankets, which employ a liquid metal (specifically a Lead–Lithium eutectic alloy) as a heat transfer medium and tritium breeder, while helium gas is used to cool the structural components of the reactor. The interaction between the moving electrically conducting fluid and the strong magnetic field in the tokamak environment leads to magnetohydrodynamic (MHD) effects. The latter are characterized by the induction of eddy currents within the fluid and resulting Lorentz forces generated by their interaction with the magnetic field, which cause additional pressure losses and reduce heat transfer efficiency. This work investigates the pressure drop experienced by a Lead–Lithium flow within a rectangular section conduit under the action of an external, uniform magnetic field of different intensities. An analytical model was developed to estimate the total MHD-induced pressure losses along the channel for different values of the external magnetic field intensity and then benchmarked against relative computational fluid dynamics (CFD) simulations carried out using COMSOL Multiphysics. This comparison allowed the validation of the analytical predictions as well as a better understanding of the influence of the applied magnetic field intensity on the overall pressure drop. Therefore, the aim of the analytical model is to provide analytical tools for reasonably accurate estimations of MHD pressure losses suitable for future preliminary design purposes. Full article
Show Figures

Figure 1

23 pages, 5164 KB  
Article
Laboratory Investigation on Stress-Permeability of Different Rank Coals and Its Sensitivity Evaluation
by Libo Tan, Zhaoping Meng and Yuheng Wang
Energies 2026, 19(7), 1681; https://doi.org/10.3390/en19071681 - 30 Mar 2026
Viewed by 327
Abstract
Permeability constitutes a critical factor controlling the production of coalbed methane (CBM), and the sensitivity of the CBM reservoirs to stress and the degree of coalification strongly influences permeability variations. Elucidating the mechanism underlying the sensitivity of reservoir permeability to stress and degree [...] Read more.
Permeability constitutes a critical factor controlling the production of coalbed methane (CBM), and the sensitivity of the CBM reservoirs to stress and the degree of coalification strongly influences permeability variations. Elucidating the mechanism underlying the sensitivity of reservoir permeability to stress and degree of coalification is therefore a crucial prerequisite for enhancing CBM production capacity. Helium permeability tests were conducted on raw coal pillar samples to investigate the variation in coal permeability under different effective stresses and degrees of coalification. The effective stress ranged from 1.5 to 7.5 MPa, and the maximum vitrinite reflectance (Ro,max) varied between 0.456% and 3.211%. The results indicate that permeability decreases with increasing effective stress and Ro,max. When internal fractures in the coal samples are poorly developed, this relationship follows a negative exponential trend. To evaluate the permeability sensitivity of the coal samples, a stress sensitivity index (S1) and a coalification degree sensitivity index (S1R) were introduced and constructed. In addition, the permeability damage rate (PDR) and stress sensitivity coefficient (αk) were also employed to assess permeability sensitivity. The results show that the stress sensitivity of coal decreases with the increase in effective stress but increases with the rise in Ro,max; the coal sensitivity of coalification degree decreases with the rise in Ro,max and increases with the increase in effective stress. Furthermore, S1 and S1R exhibit strong positive linear correlations with other sensitivity evaluation parameters, indicating that they can serve as comprehensive indices for evaluating the overall permeability sensitivity of coal samples. A predictive model relating permeability to effective stress and maximum vitrinite reflectance was established for coal reservoirs. Using Pearson’s, Spearman’s, and Kendall’s correlation coefficients, the relationships among effective stress, coalification degree, and permeability were analyzed. The results reveal that coalification degree exerts a stronger control on permeability than effective stress. The permeability control mechanism was thereby clarified, providing theoretical guidance for the efficient development of CBM reservoirs. Full article
Show Figures

Figure 1

13 pages, 280 KB  
Article
Surface Diffusion at Finite Coverage: The Characteristic Function Method
by Elena E. Torres-Miyares and Salvador Miret-Artés
Surfaces 2026, 9(2), 32; https://doi.org/10.3390/surfaces9020032 - 28 Mar 2026
Viewed by 260
Abstract
In this work, the so-called characteristic function method is proposed as a new approach to describe and interpret the diffusion process with interacting adsorbates in terms of surface coverage. In this context, the intermediate scattering function is identified as a characteristic function that [...] Read more.
In this work, the so-called characteristic function method is proposed as a new approach to describe and interpret the diffusion process with interacting adsorbates in terms of surface coverage. In this context, the intermediate scattering function is identified as a characteristic function that is very well defined in probability theory. From this function, the generating functions of the moments and cumulants of the jump probability distribution are straightforwardly obtained at any order. This analysis is carried out in two stages. First, the dilute limit, corresponding to non-interacting adsorbates or very low surface coverage, is briefly reviewed. Second, the method is extended to low and intermediate coverages, where adsorbate-adsorbate interactions become relevant. A further consequence of the present analysis is that the static structure factor is also a characteristic function of the adsorbate separation distance distribution. This method thus provides a compact and physically transparent route for connecting scattering observables, diffusion coefficients, and coverage-dependent structural correlations. Full article
(This article belongs to the Collection Featured Articles for Surfaces)
15 pages, 5329 KB  
Article
Comparative Experimental Assessment of Elastomeric and Thermoplastic Sealing Materials in Valve Sealing Under Cyclic High-Pressure Hydrogen Exposure
by Enric Palau Forte and Francesc Medina Cabello
Polymers 2026, 18(7), 814; https://doi.org/10.3390/polym18070814 - 27 Mar 2026
Viewed by 435
Abstract
Hydrogen is increasingly adopted as a clean energy carrier for storing and transporting low-carbon energy. Achieving a practical volumetric energy density for real-world deployment typically requires compression to several hundred bar, which in turn demands dedicated high-pressure infrastructure. Because valves are indispensable for [...] Read more.
Hydrogen is increasingly adopted as a clean energy carrier for storing and transporting low-carbon energy. Achieving a practical volumetric energy density for real-world deployment typically requires compression to several hundred bar, which in turn demands dedicated high-pressure infrastructure. Because valves are indispensable for isolation and flow control within this infrastructure, durable sealing valve materials become a key reliability and safety requirement. This assembly-level screening study compares two valve configurations with different polymer assemblies: EPDM O-rings with PEEK seats/bushing and NBR O-rings with POM seats/bushing. Four new identical 500-bar ball valves were tested (two EPDM/PEEK and two NBR/POM). For each seal configuration, one valve was cycled 5000 times at 500 bar in helium (inert baseline), and a second identical valve was cycled 5000 times at 500 bar in hydrogen to isolate hydrogen effects from mechanical/metallic wear. Leakage was tracked during cycling, and seals were analyzed by SEM/EDX after testing. The EPDM/PEEK configuration remained leak-tight in both gases, with no cracking observed in the elastomer or thermoplastic components. The NBR/POM configuration exhibited POM bushing fracture during cycling and minor external leakage at the stem during the hydrogen phase, accompanied by micro-fissures on the NBR O-ring surface. EDX indicated composition changes after cycling, including oxygen and fluorine enrichment and occasional metallic transfer species, consistent with surface films and deposits. Under the present valve geometry and cycling protocol, EPDM/PEEK provided robust sealing, whereas NBR/POM showed failure modes relevant to high-pressure service. These findings are intended as configuration-level screening evidence to be used in valves rather than as a full qualification of the individual materials. Full article
(This article belongs to the Section Polymer Analysis and Characterization)
Show Figures

Figure 1

17 pages, 6413 KB  
Article
Anomaly in Methane Concentrations on Co To Island (Northern Vietnam): Results from the 2024 Underground Water Research
by Andrei Kholmogorov, Nadezhda Syrbu, Renat Shakirov, Le Duc Anh, Le Dinh Nam, Elena Maltseva, Hitoshi Tomaru, Elena Khazanova, Anastasia Voitovskaya, Irina Isaeva, Ngo Bich Huong, Tran Hoang Yen and Trinh Hoai Thu
Geosciences 2026, 16(4), 138; https://doi.org/10.3390/geosciences16040138 - 26 Mar 2026
Viewed by 419
Abstract
The northern Vietnam shelf, particularly the area adjacent to the Red River Fault Zone, is characterized by complex geology and active neotectonics. However, the patterns of degassing and the origins of hydrocarbon gases in this region remain poorly understood. In particular, the potential [...] Read more.
The northern Vietnam shelf, particularly the area adjacent to the Red River Fault Zone, is characterized by complex geology and active neotectonics. However, the patterns of degassing and the origins of hydrocarbon gases in this region remain poorly understood. In particular, the potential links between deep-seated fluid migration, fault systems, and gas anomalies in island groundwater systems have not been systematically investigated. This study presents preliminary results of dissolved methane, its homologues (C2–C5), helium, hydrogen, and carbon dioxide measurements in groundwater from Co To Island (Northern Vietnam), with the aim of identifying gas origins and assessing structural controls on fluid migration. A significant methane anomaly was discovered, with concentrations reaching up to 10% by volume in the northwestern part of the island. The hydrocarbon homologous series is traced up to pentane (C5), and CO2 content is also elevated, with a maximum of 5.4%. The average He concentration of 10.8 ppm significantly exceeds atmospheric equilibrium values, with maximum recorded concentrations of 18 ppm for He and 34.5 ppm for H2. Stable carbon isotope analysis of methane (δ13C-CH4 values ranging from −50.2‰ to −49.7‰ VPDB), combined with the presence of a complete C1–C5 hydrocarbon series and elevated mantle/crustal tracers (He, H2), indicates a predominantly thermogenic/metamorphogenic origin for the gases, ruling out a purely biogenic source. The spatial distribution of anomalies is structurally controlled, closely associated with the NE-SW trending Co To Fault system and its intersections with subsidiary faults, as corroborated by recent electrical resistivity tomography data. These findings indicate intensive, focused gas leakage from a deep-seated source, likely related to thermogenic/metamorphic processes and active fault-mediated degassing. The results highlight the significant hydrocarbon potential of the region and underscore the critical role of neotectonic activity in controlling fluid migration pathways in island aquifer systems. Full article
(This article belongs to the Section Geochemistry)
Show Figures

Figure 1

18 pages, 6946 KB  
Article
Packing Geometry and Polymer Material Effects on Sealing of a PN650 Hydrogen Service Needle Valve: Vacuum/Helium Leak Screening and 650 Bar Hydrogen Cycling
by Enric Palau Forte and Francesc Medina Cabello
Hydrogen 2026, 7(1), 41; https://doi.org/10.3390/hydrogen7010041 - 20 Mar 2026
Viewed by 356
Abstract
External leakage from valve stem packings is a critical safety and reliability issue in high-pressure hydrogen systems. This work aims to quantify how packing geometry and polymer selection influence stem sealing in a PN650 needle valve (316L body and stem). Two geometries were [...] Read more.
External leakage from valve stem packings is a critical safety and reliability issue in high-pressure hydrogen systems. This work aims to quantify how packing geometry and polymer selection influence stem sealing in a PN650 needle valve (316L body and stem). Two geometries were compared: a conical V-ring (chevron style) stack and a flat three-disc stack. Two polymer material sets were assessed: Vespel® polyimide (SP-1/SP-21) and a glass-filled PTFE sealing element combined with a virgin PEEK back-up ring. Four assemblies (one per geometry/material combination) were first screened by hydrostatic pressure hold testing up to 1500 bar and by helium mass spectrometer leak measurements under vacuum. All assemblies sustained the hydrostatic overpressure hold with negligible decay. Vacuum helium screening produced leak rates between 3.7 × 10−10 and 9.5 × 10−10 mbar·l·s−1, with the conical V-ring geometry consistently outperforming the disc stack. A more demanding helium test at 700 bar with external vacuum yielded leak rates of 3.6–3.7 × 10−8 mbar·l·s−1, for conical assemblies. Based on the screening results and practical industrial considerations, the PTFE/PEEK conical configuration was selected for endurance testing and completed 2500 open/close cycles in 650 bar hydrogen without gland readjustment. Post-cycling checks confirmed continued tightness, including a qualitative helium pressure hold result near 700 bar and 0 bubbles in 10 min in the seat tightness test. Microscopy/EDX revealed limited wear with minor metallic transfer. The proposed multi-stage workflow provides a pragmatic route for the early qualification of stem packings for high-pressure hydrogen valves. Full article
Show Figures

Figure 1

15 pages, 11991 KB  
Article
Suppressed Detrimental Effect of Ti-Bearing Precipitation on Impact Toughness of High-Mn Steel at Liquid Helium Temperature (4.2 K)
by Hangrui Liu, Bingbing Wu, Xiaoyu Yang, Tianlong Li, Yanxin Wu, Yonggang Yang and Zhenli Mi
Metals 2026, 16(3), 347; https://doi.org/10.3390/met16030347 - 20 Mar 2026
Viewed by 304
Abstract
This study systematically investigates the effect of trace Ti addition on the impact toughness and underlying deformation mechanisms of high-Mn austenitic steel from 298 K to 4.2 K through instrumented Charpy impact testing, dynamic J-R curve analysis, and multi-scale microstructural characterization (SEM, TEM). [...] Read more.
This study systematically investigates the effect of trace Ti addition on the impact toughness and underlying deformation mechanisms of high-Mn austenitic steel from 298 K to 4.2 K through instrumented Charpy impact testing, dynamic J-R curve analysis, and multi-scale microstructural characterization (SEM, TEM). The results show that Ti addition leads to the formation of Ti(C,N) precipitations, which act as microcrack initiation sites and significantly reduce the impact-absorbed energy at room temperature (298 K) from 249 J to 189 J. However, as the temperature decreases to liquid nitrogen (77 K) and liquid helium (4.2 K) temperatures, the impact toughness of the Ti-added steel does not deteriorate further and remains comparable to that of the Base steel. This temperature-dependent behavior originates from a transition in the dominant deformation mode. At room and moderately low temperatures, deformation is primarily governed by dislocation slip, whose strong interaction with coarse precipitates leads to premature cracking. At cryogenic temperatures, the significantly reduced stacking fault energy (SFE) shifts the deformation mechanism to the predominant formation of high-density nano-twins. These dense deformation twins enhance the matrix via the dynamic Hall–Petch effect and mitigate the detrimental effect of precipitates by alleviating interactions between dislocations and precipitates. Full article
(This article belongs to the Special Issue Microstructure and Mechanical Behavior of High-Strength Steel)
Show Figures

Figure 1

16 pages, 3834 KB  
Article
Microstructural and Mechanical Characterization of Ultra-Pure Aluminum for Low-Amplitude-Vibration Cryogenic Applications
by Mirko Pigato, Filippo Agresti, Alberto Benato, Carlo Bucci, Irene Calliari, Daniele Cortis, Serena D’Eramo, Shihong Fu, Cristina Giancarli, Luca Pezzato, Andrea Zambon and Antonio D’Addabbo
Materials 2026, 19(6), 1195; https://doi.org/10.3390/ma19061195 - 18 Mar 2026
Viewed by 371
Abstract
In fundamental physics, sensors operating below liquid helium temperatures are highly vulnerable to vibrations, which can affect the sensitivity, for example, of high-performance particle detectors. Pulse-tube refrigerators, while generating vibrations lower than those of conventional systems, may still introduce several disturbances. Hence, flexible [...] Read more.
In fundamental physics, sensors operating below liquid helium temperatures are highly vulnerable to vibrations, which can affect the sensitivity, for example, of high-performance particle detectors. Pulse-tube refrigerators, while generating vibrations lower than those of conventional systems, may still introduce several disturbances. Hence, flexible thermal connections are a commonly used mechanical solution to mitigate these undesirable effects. Among the materials that can be used, ultra-high-purity aluminum (UHP-Al) has attracted the attention for low-amplitude-vibration cryogenic applications, including gravitational wave interferometry, quantum information systems, precision space instrumentation, and cryogenic resonators. Thus, the aim of the paper is the characterization of the mechanical and microstructure properties of three UHP-Als (i.e., 5N—99.999 wt%, 5N5—99.9995 wt% and 6N—99.9999 wt%) intended for the production of thermal flexible connections with low stiffness, specifically designed to reduce vibration transmission in cryogenic environments. Mechanical properties were evaluated through standard tensile tests from room (+25 °C) to low temperature (i.e., −150 °C), providing insights into yield strength, ultimate tensile strength, elongation and elastic modulus. In addition, the dynamic elastic modulus of material loads, at cryogenic conditions (i.e., about −180 °C), was determined by measuring the natural resonance frequency, thereby assessing the material’s response to vibrational. Moreover, an extensive microstructural analysis was conducted using electron backscatter diffraction and x-ray diffraction. The correlation between the observed microstructure and the elastic properties was systematically examined. The results underscore the pivotal role of microstructural characteristics in dictating the elastic behavior of UHP Als. Eventually, the analysis provides valuable guidelines for the materials employment inside cryogenic systems, where severe vibration control is critical to maintain high operational performance. Full article
(This article belongs to the Section Metals and Alloys)
Show Figures

Figure 1

15 pages, 3448 KB  
Article
Deposition Behavior in Atmospheric-Pressure Plasma CVD Evaluated by a Quartz Crystal Microbalance
by Kenichi Yamazaki, Hiroyuki Yasui, Tsuyoshi Noguchi, Yuuma Suenaga and Akitoshi Okino
Plasma 2026, 9(1), 8; https://doi.org/10.3390/plasma9010008 - 17 Mar 2026
Viewed by 448
Abstract
Atmospheric-pressure plasma-enhanced chemical vapor deposition (AP-PECVD) enables low-temperature coating in open air, yet the interplay between precursor activation and ambient-derived species remains unclear. Here, thin films from an amine precursor are deposited using a helium plasma and characterized by gas chromatography–mass spectrometry (GC-MS), [...] Read more.
Atmospheric-pressure plasma-enhanced chemical vapor deposition (AP-PECVD) enables low-temperature coating in open air, yet the interplay between precursor activation and ambient-derived species remains unclear. Here, thin films from an amine precursor are deposited using a helium plasma and characterized by gas chromatography–mass spectrometry (GC-MS), a quartz crystal microbalance (QCM), and X-ray photoelectron spectroscopy (XPS). GC-MS indicates partial precursor conversion and formation of oxygen- and nitrogen-containing products, consistent with participation of ambient air and moisture. QCM identifies a limited precursor-concentration window in which mass increases monotonically during plasma exposure and remains constant after shutdown; outside this window, post-discharge mass loss occurs, indicating desorption of weakly bound species. XPS confirms carbon-rich films incorporating oxygen- and nitrogen-containing functionalities and complete substrate coverage at higher precursor concentrations. Full article
(This article belongs to the Special Issue Processes in Atmospheric-Pressure Plasmas—2nd Edition)
Show Figures

Figure 1

Back to TopTop