Application of a Soft-Switching Adaptive Kalman Filter for Over-Range Measurements in a Low-Frequency Extension of MHD Sensors
Abstract
1. Introduction
2. MHD Sensor Principle and Limitations
2.1. Measuring Principle of MHD
2.2. Limitations in Measurement with MHD Sensors
3. SSAKF Design
3.1. Traditional Kalman Filter Design
3.2. Soft-Switching Adaptive Method
4. SSAKF Simulations
4.1. Traditional Kalman Filter Simulation
4.2. Soft-Switching Adaptive Method Simulations
5. Experimental Validation
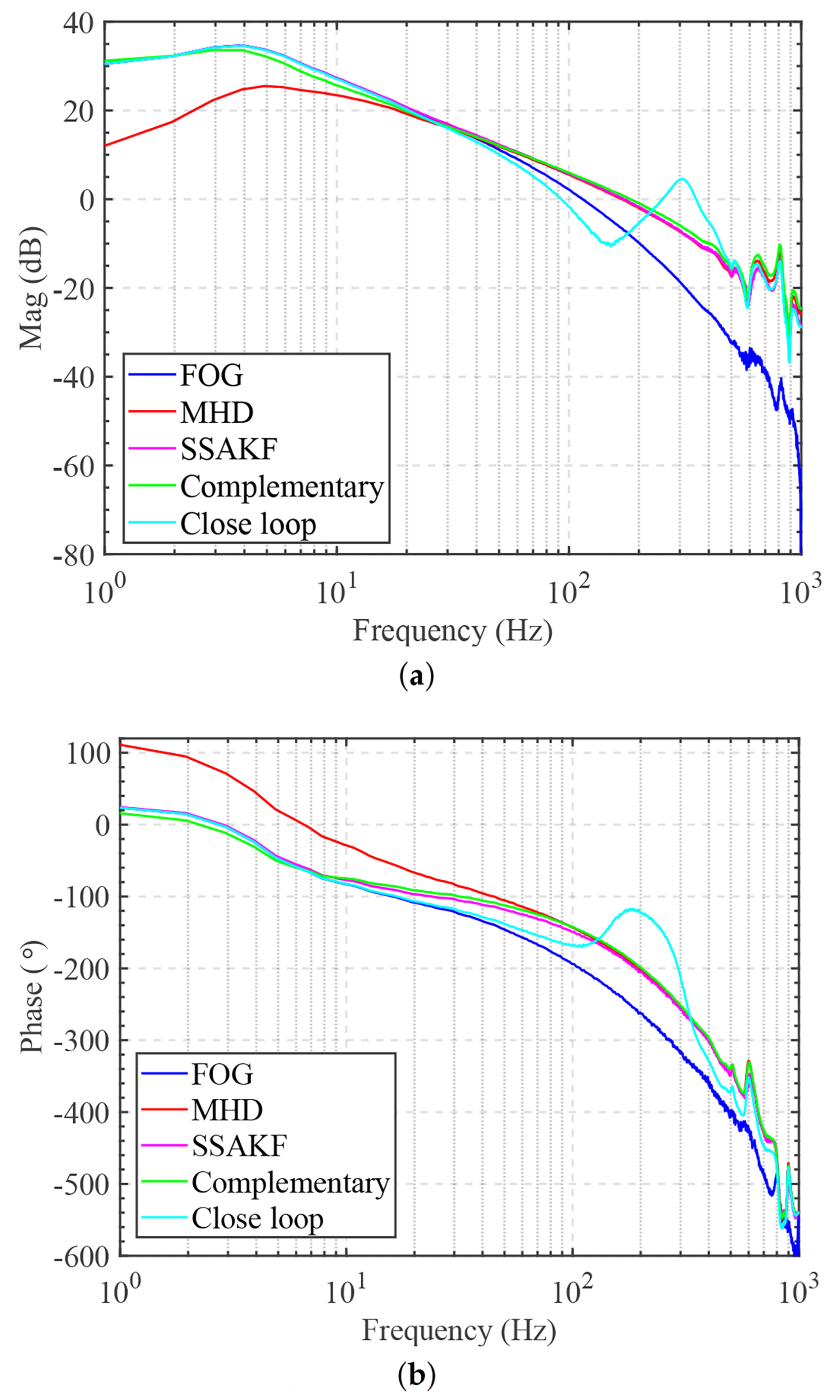
5.1. Sensor System Identification
5.2. Comparison Method
5.2.1. Complementary Filtering Method [24]
5.2.2. Closed-Loop Control Filtering [25]
5.3. Experimental Setup and Parameters
5.4. Experimental Results
5.4.1. Static Fusion Test
5.4.2. Composite-Frequency Assessments
5.4.3. Random Motion Verification
5.4.4. Full-Band SWEEP
6. Conclusions
Author Contributions
Funding
Data Availability Statement
Conflicts of Interest
Abbreviations
| MHD | Magneto-hydrodynamics |
| SSAKF | Soft-switch Adaptive Kalman Filter |
| FOG | Fiber-optic gyro |
| PSD | Power spectral density |
| RMS | Root-Mean-Square |
| EMF | Electromotive force |
| MEMS | Micro-Electro-Mechanical Systems |
Appendix A. Derivation of Linear Combination Rewriting of Kalman Filter
References
- Ren, W.; Wang, Z.; Xia, M.; Lin, H. MFINet: Multi-Scale Feature Interaction Network for Change Detection of High-Resolution Remote Sensing Images. Remote Sens. 2024, 16, 1269. [Google Scholar] [CrossRef]
- Xiang, S.; Liang, Q. Remote sensing image compression based on high-frequency and low-frequency components. IEEE Trans. Geosci. Remote Sens. 2024, 62, 1–15. [Google Scholar] [CrossRef]
- Jia, P.; Chen, C.; Zhang, D.; Sang, Y.; Zhang, L. Semantic segmentation of deep learning remote sensing images based on band combination principle: Application in urban planning and land use. Comput. Commun. 2024, 217, 97–106. [Google Scholar] [CrossRef]
- Ran, T.; Shi, G.; Lin, J.; Meng, L. Decoupling Control of an Aviation Remote Sensing Stabilization Platform Based on a Cerebellar Model Articulation Controller. Machines 2023, 11, 5. [Google Scholar] [CrossRef]
- Ge, Q.; Li, Y.; Wang, Y.; Hu, X.; Li, H.; Sun, C. Adaptive Kalman Filtering Based on Model Parameter Ratios. IEEE Trans. Autom. Control 2024, 69, 6230–6237. [Google Scholar] [CrossRef]
- Dahlin Rodin, C.; de Alcantara Andrade, F.A.; Hovenburg, A.R.; Johansen, T.A. A Survey of Practical Design Considerations of Optical Imaging Stabilization Systems for Small Unmanned Aerial Systems. Sensors 2019, 19, 4800. [Google Scholar] [CrossRef]
- Hilkert, J. Inertially stabilized platform technology concepts and principles. IEEE Control Syst. Mag. 2008, 28, 26–46. [Google Scholar]
- Jain, A.; Kanhangad, V. Human activity classification in smartphones using accelerometer and gyroscope sensors. IEEE Sens. J. 2017, 18, 1169–1177. [Google Scholar] [CrossRef]
- Xu, M.; Mo, J.; Xia, C.; Yang, L.; Ji, F.; Chen, J.; Li, X. Error analysis and modeling of the racetrack magnetohydrodynamic linear motion sensor. Meas. Sci. Technol. 2024, 35, 046118. [Google Scholar] [CrossRef]
- Tuo, W.; Li, X.; Ji, Y.; Wu, T.; Xia, G. Quantitative analysis of position setting effect on magnetohydrodynamics angular vibration sensor response. Sensors Actuators A Phys. 2021, 332, 113194. [Google Scholar] [CrossRef]
- Capriglione, D.; Carratù, M.; Catelani, M.; Ciani, L.; Patrizi, G.; Pietrosanto, A.; Sommella, P. Experimental analysis of filtering algorithms for IMU-based applications under vibrations. IEEE Trans. Instrum. Meas. 2020, 70, 1–10. [Google Scholar] [CrossRef]
- Mehamud, I.; Marklund, P.; Björling, M.; Shi, Y. Machine condition monitoring enabled by broad range vibration frequency detecting triboelectric nano-generator (TENG)-based vibration sensors. Nano Energy 2022, 98, 107292. [Google Scholar] [CrossRef]
- Łakomy, K.; Madonski, R.; Dai, B.; Yang, J.; Kicki, P.; Ansari, M.; Li, S. Active disturbance rejection control design with suppression of sensor noise effects in application to DC–DC buck power converter. IEEE Trans. Ind. Electron. 2021, 69, 816–824. [Google Scholar]
- Kong, L.; Peng, X.; Chen, Y.; Wang, P.; Xu, M. Multi-sensor measurement and data fusion technology for manufacturing process monitoring: A literature review. Int. J. Extrem. Manuf. 2020, 2, 022001. [Google Scholar] [CrossRef]
- Xiang, C.; Feng, C.; Xie, X.; Shi, B.; Lu, H.; Lv, Y.; Yang, M.; Niu, Z. Multi-sensor fusion and cooperative perception for autonomous driving: A review. IEEE Intell. Transp. Syst. Mag. 2023, 15, 36–58. [Google Scholar] [CrossRef]
- Liu, W.; Liu, Y.; Bucknall, R. Filtering based multi-sensor data fusion algorithm for a reliable unmanned surface vehicle navigation. J. Mar. Eng. Technol. 2023, 22, 67–83. [Google Scholar] [CrossRef]
- Ding, X.; Wang, Z.; Zhang, L.; Wang, C. Longitudinal vehicle speed estimation for four-wheel-independently-actuated electric vehicles based on multi-sensor fusion. IEEE Trans. Veh. Technol. 2020, 69, 12797–12806. [Google Scholar] [CrossRef]
- Zhang, Q.; Tan, Z.; Guo, L. A New Controller of Stabilizing Circuit in FOGS. In Proceedings of the 2009 IEEE International Conference on Mechatronics and Automation, Changchun, China, 9–12 August 2009. Conference Proceedings; Guo, S., Fukuda, T., Yo, Y., Yu, H., Eds.; IEEE: Piscataway, NJ, USA, 2009; Volumes 1–7, pp. 757–761. [Google Scholar]
- Dickson, W.C.; Yee, T.K.; Coward, J.F.; McClaren, A.; Pechner, D.A. Compact fiber optic gyroscopes for platform stabilization. In Proceedings of the Nanophotonics and Macrophotonics for Space Environments VII, San Diego, CA, USA, 25–27 August 2013. Taylor, E., Cardimona, D., Eds.; SPIE: Bellingham, WA, USA, 2013; Volume 8876. [Google Scholar] [CrossRef]
- Sofla, M.S.; Zareinejad, M.; Parsa, M.; Sheibani, H. Integral based sliding mode stabilizing a camera platform using Kalman filter attitude estimation. Mechatronics 2017, 44, 42–51. [Google Scholar] [CrossRef]
- Koenigseder, F.; Kemmetmueller, W.; Kugi, A. Attitude Estimation Using Redundant Inertial Measurement Units for the Control of a Camera Stabilization Platform. IEEE Trans. Control Syst. Technol. 2016, 24, 1837–1844. [Google Scholar] [CrossRef]
- Tian, Y.; Compere, M.; Drakunov, S. A Quaternion-Based Sliding Mode Observer for Gyro-Bias Estimation and Attitude Reconstruction. In Proceedings of the Proceedings of the Asme International Mechanical Engineering Congress and Exposition, Salt Lake City, UT, USA, 8–14 November 2019; ASME: New York, NY, USA, 2020; Volume 4. [Google Scholar]
- Lu, P.; Dai, F. An overview of multi-sensor information fusion. In Proceedings of the 2021 6th International Conference on Intelligent Informatics and Biomedical Sciences (ICIIBMS), Oita, Japan, 25–27 November 2021; IEEE: Piscataway, NJ, USA, 2021; Volume 6, pp. 5–9. [Google Scholar]
- Rehman, S.; Khan, M.F.; Kim, H.D.; Kim, S. Energy-efficient and reconfigurable complementary filter based on analog-digital hybrid computing with SnS2 memtransistor. Nano Energy 2023, 109, 108333. [Google Scholar] [CrossRef]
- Möller, F.; Essig, T.; Holzhauer, S.; Förstner, R. Experimental demonstration of a method to actively stabilize satellite structures against random perturbations of thermal boundary conditions using a closed-loop filter and controller approach. CEAS Space J. 2024, 16, 427–444. [Google Scholar] [CrossRef]
- Rizun, P. Optimal Wiener filter for a body mounted inertial attitude sensor. J. Navig. 2008, 61, 455–472. [Google Scholar] [CrossRef]
- Kheirandish, M.; Yazdi, E.A.; Mohammadi, H.; Mohammadi, M. A fault-tolerant sensor fusion in mobile robots using multiple model Kalman filters. Robot. Auton. Syst. 2023, 161, 104343. [Google Scholar] [CrossRef]
- Alfian, R.I.; Ma’arif, A.; Sunardi, S. Noise reduction in the accelerometer and gyroscope sensor with the Kalman filter algorithm. J. Robot. Control (JRC) 2021, 2, 180–189. [Google Scholar] [CrossRef]
- Potokar, E.R.; Norman, K.; Mangelson, J.G. Invariant extended kalman filtering for underwater navigation. IEEE Robot. Autom. Lett. 2021, 6, 5792–5799. [Google Scholar] [CrossRef]
- Lu, L.; Ding, W.; Xiong, F.; Liang, T.; Fu, R.; Zhang, N. Attitude Estimation Algorithm of Unmanned Aerial Vehicle Based on Untraced Kalman Filter. In Proceedings of the 2023 4th International Seminar on Artificial Intelligence, Networking and Information Technology (AINIT), Nanjing, China, 16–18 June 2023; IEEE: Piscataway, NJ, USA, 2023; pp. 560–563. [Google Scholar]
- Xu, W.; Huang, C.; Jiang, H. Analyses and enhancement of linear Kalman-filter-based phase-locked loop. IEEE Trans. Instrum. Meas. 2021, 70, 6504510. [Google Scholar] [CrossRef]
- Xiong, K.; Wei, C.; Zhang, H. Q-learning for noise covariance adaptation in extended KALMAN filter. Asian J. Control 2021, 23, 1803–1816. [Google Scholar] [CrossRef]
- Song, M.; Astroza, R.; Ebrahimian, H.; Moaveni, B.; Papadimitriou, C. Adaptive Kalman filters for nonlinear finite element model updating. Mech. Syst. Signal Process. 2020, 143, 106837. [Google Scholar] [CrossRef]
- Gajula, K.; Marepalli, L.K.; Yao, X.; Herrera, L. Recursive least squares and adaptive Kalman filter-based state and parameter estimation for series arc fault detection on DC microgrids. IEEE J. Emerg. Sel. Top. Power Electron. 2021, 10, 4715–4724. [Google Scholar] [CrossRef]
- Mumuni, F.; Mumuni, A. Adaptive Kalman filter for MEMS IMU data fusion using enhanced covariance scaling. Control Theory Technol. 2021, 19, 365–374. [Google Scholar] [CrossRef]
- Zhu, M.; Wu, Q.; Wang, Y. Forecasting gas consumption based on a residual auto-regression model and kalman filtering algorithm. J. Resour. Ecol. 2019, 10, 546–552. [Google Scholar]
- Lee, A.S.; Hilal, W.; Gadsden, S.A.; Al-Shabi, M. Combined Kalman and sliding innovation filtering: An adaptive estimation strategy. Measurement 2023, 218, 113228. [Google Scholar] [CrossRef]
- Kumari, N.; Kulkarni, R.; Ahmed, M.R.; Kumar, N. Use of kalman filter and its variants in state estimation: A review. Artif. Intell. Sustain. Ind. 2021, 4, 213–230. [Google Scholar]
- Ji, Y.; Li, X.; Wu, T.; Chen, C. Modified analytical model of magnetohydrodynamics angular rate sensor for low-frequency compensation. Sens. Rev. 2016, 36, 193–199. [Google Scholar] [CrossRef]
- Ji, Y.; Xu, M.; Li, X.; Wu, T.; Tuo, W.; Wu, J.; Dong, J. Error Analysis of Magnetohydrodynamic Angular Rate Sensor Combing with Coriolis Effect at Low Frequency. Sensors 2018, 18, 1921. [Google Scholar] [CrossRef]
- Laughlin, D.; Sebesta, H.; Eckelkamp-Baker, D. A dual function magnetohydrodynamic(MHD) device for angular motion measurement and control. Adv. Astronaut. Sci. 2002, 111, 335–347. [Google Scholar]















| Type | Limitations | Common Frequency Band |
|---|---|---|
| MEMS Gyroscope | Low accuracy and Weak anti-interference. | 0∼200 Hz |
| Fiber optic Gyroscope | Low frequency drift exists. | 0∼400 Hz |
| Accelerator | Measuring linear acceleration only. | 0∼5 kHz |
| MHD sensors | Low frequency cannot be measured. | 2∼1 kHz |
| Parameter | Definition | Unit |
|---|---|---|
| B | Magnetic induction generated by permanent magnets | T |
| W | Width of ring container, , and represents | m |
| the inner and outer radius. | ||
| r | Radius Root Mean Square of ring container, | m |
| Viscosity coefficient of conductive fluids | m2/s | |
| h | Height of ring container | m |
| H | Hartmann’s constant, | |
| Density of conductive fluids | kg/m3 | |
| Resistivity of conductive fluids | m |
| Parameter | Value | Parameter | Value |
|---|---|---|---|
| Initial | |||
| 0.6 s/° | |||
| 249,999.5 | 29 °/s |
| Methods | FOG | MHD | SSAKF | Complementary | Closed-Loop |
|---|---|---|---|---|---|
| Mean | |||||
| RMS | 0.0012 | 0.0072 | 0.0052 | 0.0132 | 0.0075 |
Disclaimer/Publisher’s Note: The statements, opinions and data contained in all publications are solely those of the individual author(s) and contributor(s) and not of MDPI and/or the editor(s). MDPI and/or the editor(s) disclaim responsibility for any injury to people or property resulting from any ideas, methods, instructions or products referred to in the content. |
© 2025 by the authors. Licensee MDPI, Basel, Switzerland. This article is an open access article distributed under the terms and conditions of the Creative Commons Attribution (CC BY) license (https://creativecommons.org/licenses/by/4.0/).
Share and Cite
Tong, J.; Shi, S.; Wang, F.; Tian, D. Application of a Soft-Switching Adaptive Kalman Filter for Over-Range Measurements in a Low-Frequency Extension of MHD Sensors. Aerospace 2025, 12, 192. https://doi.org/10.3390/aerospace12030192
Tong J, Shi S, Wang F, Tian D. Application of a Soft-Switching Adaptive Kalman Filter for Over-Range Measurements in a Low-Frequency Extension of MHD Sensors. Aerospace. 2025; 12(3):192. https://doi.org/10.3390/aerospace12030192
Chicago/Turabian StyleTong, Junze, Shaocen Shi, Fuchao Wang, and Dapeng Tian. 2025. "Application of a Soft-Switching Adaptive Kalman Filter for Over-Range Measurements in a Low-Frequency Extension of MHD Sensors" Aerospace 12, no. 3: 192. https://doi.org/10.3390/aerospace12030192
APA StyleTong, J., Shi, S., Wang, F., & Tian, D. (2025). Application of a Soft-Switching Adaptive Kalman Filter for Over-Range Measurements in a Low-Frequency Extension of MHD Sensors. Aerospace, 12(3), 192. https://doi.org/10.3390/aerospace12030192

