Next Article in Journal
Performance Monitoring Based on Improved Adaptive Kalman Filtering for Turboshaft Engines Under Network Uncertainties
Next Article in Special Issue
Public Acceptance of a Proposed Sub-Regional, Hydrogen–Electric, Aviation Service: Empirical Evidence from HEART in the United Kingdom
Previous Article in Journal
Certification Gap Analysis for Normal-Category and Large Hydrogen-Powered Airplanes
Previous Article in Special Issue
Performance and Emissions Evaluation of a Turbofan Burner with Hydrogen Fuel
 
 
Font Type:
Arial Georgia Verdana
Font Size:
Aa Aa Aa
Line Spacing:
Column Width:
Background:
Article

Innovative Aircraft Propulsive Configurations: Technology Evaluation and Operations in the SIENA Project

1
Department of Aerospace Science and Technology, Politecnico di Milano, Via La Masa 34, 20156 Milano, Italy
2
Collins Aerospace Applied Research and Technology, Penrose Quay, T23 XN53 Cork, Ireland
*
Author to whom correspondence should be addressed.
Aerospace 2025, 12(3), 240; https://doi.org/10.3390/aerospace12030240
Submission received: 23 January 2025 / Revised: 5 March 2025 / Accepted: 13 March 2025 / Published: 15 March 2025

Abstract

In this paper, developed in the context of the Clean Sky 2 project SIENA (Scalability Investigation of hybrid-Electric concepts for Next-generation Aircraft), an extensive analysis is carried out to identify and accelerate the development of innovative propulsion technologies and architectures that can be scaled across five aircraft categories, from small General Aviation airplanes to long-range airliners. The assessed propulsive architectures consider various components such as batteries and fuel cells to provide electricity as well as electric motors and jet engines to provide thrust, combined to find feasible aircraft architectures that satisfy certification constraints and deliver the required performance. The results provide a comprehensive analysis of the impact of key technology performance indicators on aircraft performance. They also highlight technology switching points as well as the potential for scaling up technologies from smaller to larger aircraft based on different hypotheses and assumptions concerning the upcoming technological advancements of components crucial for the decarbonization of aviation. Given the considered scenarios, the common denominator of the obtained results is hydrogen as the main energy source. The presented work shows that for the underlying models and technology assumptions, hydrogen can be efficiently used by fuel cells for propulsive and system power for smaller aircraft (General Aviation, commuter and regional), typically driven by propellers. For short- to long-range jet aircraft, direct combustion of hydrogen combined with a fuel cell to power the on-board subsystems appears favorable. The results are obtained for two different temporal scenarios, 2030 and 2050, and are assessed using Payload-Range Energy Efficiency as the key performance indicator. Naturally, introducing such innovative architectures will face a lack of applicable regulation, which could hamper a smooth entry into service. These regulatory gaps are assessed, detailing the level of maturity in current regulations for the different technologies and aircraft categories.

1. Introduction

Despite an average yearly increase in aircraft fuel efficiency of 1.3% between 1960 and 2014 [1], aviation accounts for about 2.5% of man-made greenhouse emissions (neglecting non-CO2 emission effects [2]), as the efficiency gain has been offset by a steady traffic growth. This trend will continue as Airbus expects a 4.4% growth of Revenue Passenger Kilometers (RPKs) in the coming decades [3]. Therefore, in recent years, the aeronautical stakeholders have started programs with the aim to mitigate aviation’s impact on climate change, such as the ACARE’s Flightpath 2050 [4]. Similar actions have been announced by ICAO, IATA and NASA [5,6,7], committing to a set of ambitious goals to achieve net-zero emissions by the year 2050 [8]. To fulfill these long-term goals, new energy sources for aircraft are being assessed, with the ultimate goal of reducing the carbon footprint of aviation. The energy sources that are currently being considered in numerous projects include hydrogen, used either by fuel cells or via direct combustion, and electricity stored in batteries. These novel propulsive configurations eliminate CO2 emissions at the aircraft level, which is not possible with conventional engines, which have limited room for improvement. In fact, evolutionary advancements show no possibility of compliance with net-zero emissions by 2050 without a breakthrough in the production of sustainable aviation fuels. Therefore, investigating revolutionary propulsion concepts and energy sources could be a viable alternative to reach net-zero CO2 emissions. Traditionally, it was deemed that no one-design-fits-all solution is possible, with radically different solutions already implemented in the General Aviation (GA) category [9] or under study for regional [10] and short/long-range commercial aviation [11].
The SIENA project (Scalability Investigation of hybrid Electric concepts for Next-generation Aircraft) [12], funded by the European Commission within the Clean Sky 2 initiative together with its partner project CHYLA [13], is an example of the European effort to develop innovative aircraft concepts that target reductions in the environmental impact of aviation. The project is taking a new approach aiming at the assessment of technology scalability across the full spectrum of aircraft classes in civil aviation and has been executed by a consortium led by the Multidisciplinary Design Optimization (MDO) group of Collins Aerospace Applied Research and Technology (ART) and including Politecnico di Milano’s Department of Aerospace Science and Technology (DAER) and Department of Management Engineering (DIG). The presented approach allows parallel investigation of the preliminary design of aircraft with innovative propulsive configurations and their introduction into operations, providing a framework to assess the barriers and enabling factors of the new technologies. The analyses have been carried out with hypotheses concerning the technological advancements of various components required for innovative propulsive architectures, defining a well-constrained design space for the carried-out explorations. In compliance with the requirements expressed in the Clean Sky 2 call GA 101007784 [14], the high-level objective of this work is to deliver a comprehensive study of different technology choices in novel aircraft architectures with respect to aircraft performance, operations and economic impact and their capability to scale-up across different categories. The key to reaching this objective is the development of a systematic methodology that enables scalable-by-design architectures. In order to accomplish this high-level objective, several sub-objectives are listed below:
  • Baseline and requirements: Definition of a baseline vehicle scheme and Top Level Aircraft Requirements (TLARs) across five aircraft categories.
  • Performance indicators: Identification of technologies and operational key performance indicators (KPIs) to evaluate aircraft architectures and technologies.
  • Infrastructures: Definition of the impact of potential technologies on airport infrastructure and complementary requirements in operation.
  • Technologies evaluation: Identification of technology switching points and architecture cross-over points.
  • Proof of viability: Assessment of economic and operational viability of the main selected technologies.
  • Safety: Analysis of the regulatory gap for promising technologies.
  • Scale-up: Identification of the most promising architectures and technologies for up-scaling and additional opportunities across regulatory, operational and economic analyses.
This paper focuses on the preliminary design of innovative aircraft based on assumptions for KPI values of future technologies, which allow for clearly defining switching points across different propulsive configurations given the identified design space. This approach allows for an analysis of the potential for scaling up technologies across different aircraft classes. Further, gaps in the current regulations, which hamper certification of the new technologies, are identified.
The tasks carried out to address these objectives are as follows (Figure 1):
  • Novel technology selection: Initial selection of technologies.
  • Initial assessment of possible architectures: An initial architecture assessment is executed in parallel for each of the five aircraft categories.
  • Switching point identification: A cross-platform study to identify points where technologies become infeasible, given our set of assumptions, as categories grow, and how those switching points evolve as requirements and hypotheses are relaxed.
  • Novel architecture definition: A final study to propose an architecture that is feasible across multiple smaller aircraft categories and includes technologies that can be scaled up for use in larger aircraft.
In recent years, numerous studies have been conducted in the field of novel propulsion system technologies for aircraft applications. For example, Palaia et al. performed a parametric analysis on the battery specific energy to assess the feasibility of hybrid-electric regional aircraft [16], establishing a minimum battery energy density of 500 Wh/kg to achieve a fuel burn reduction at a fixed mission. Furthermore, they suggest that penalties on the MTOM or energy efficiency should be accepted if doing so enables a reduction in emissions. This approach is coherent with the two indicators, normalized MTOM and PREE, that are used to assess the various propulsive configurations. In their review of electric aircraft concepts, Brelje and Martins [17] detail how the specific energy of batteries is a limiting factor for fully electric aircraft. Furthermore, they delineate how novel full-electric propulsive configurations will see a strong coupling among disciplines such as electrics, thermal management, propulsion and aerodynamics. This supports the approach pursued in this work, which is to assess propulsive and systems architectures and their impact on the overall aircraft sizing already in the early design stages. Karpuk and Elham carried out a performance, emissions and cost comparison of hydrogen and kerosene A320-like aircraft, also considering novel solutions, in terms of materials, active control and high bypass ratios (BPRs) [18]. The approach, which includes an economic and overall environmental impact assessment in the preliminary design phase, is similar to the work presented in this paper, in the sense that the assessed propulsive configurations must not only be technically feasible, but also capable of bringing an environmental or energetic advantage that is estimated early on. On the systems side, Barm et al. highlight the importance of heat management systems for novel propulsive configurations, marking how the sizing of systems is crucial already in the preliminary sizing phase [19]. Pustina et al. showed the MDO methodology applied to full-electric and fuel-cell-based architectures, detailing a methodology suitable for the preliminary sizing of aircraft [20]. Furthermore, there is a strong industrial involvement in the development of greener solutions for aviation. The Pipistrel Velis Electro is the only certified full-electric aircraft, capable of carrying out 50-min flights with two people on board [9]. DAHER, in partnership with Airbus and Safran, is studying distributed electric propulsion in their EcoPulse project [21]. Heart Aerospace is developing a 30-passenger aircraft, aiming for 200 km full-electric missions or 800 km hybrid flights [22]. Scaling further up, ZeroAvia is already flight-testing its hydrogen-powered retrofitted Dornier 228 [10]. Lastly, Airbus stated the intention of delivering a family of hydrogen-powered aircraft in the context of the ZeroE project starting in 2035, covering both short-haul missions, with a fuel-cell-based architecture and medium-haul flights, with direct hydrogen combustion, eventually introducing a blended-wing–body architecture as well [11].
The aim of the presented work is to find a common trend across different architectures and aircraft categories to make advancements in aviation scalable. The remainder of this paper is organized as follows. Section 2 presents the development framework, detailing the design space in terms of considered propulsive configurations and technological hypotheses for the subsystems. Furthermore, a review of the applicable certification regulations is presented, detailing the gap for innovative propulsive architectures. Section 3 provides details on the used methodologies, particularly HYPERION, developed by Politecnico di Milano’s DAER to perform preliminary aircraft sizing and ASIM, an aircraft system sizing and evaluation platform, developed by Collins Aerospace [23,24]. Results of the preliminary sizing of short/medium-range single-aisle aircraft are presented to show the potential of the coupled methodologies. Section 4 shows results in terms of identification of the switching point for different propulsive architectures.

2. General Framework

This section is divided into three sections. The first section presents the development framework, detailing the considered design space in terms of evaluated propulsive configurations and technological hypotheses/assumptions for the various subsystems. Subsequently, the reference aircraft for each category, spanning from general aviation to long-range jets, are presented, with an overview of the most important performance requirements. Lastly, a review of the applicable certification regulations is presented, detailing the gap for innovative propulsive architectures.

2.1. Design Space Overview

The market review of radical technologies carried out in this work leads to the conclusion that propulsion system changes will lead the way in changes to aircraft architectures in the coming years due to emission reduction goals. It also points towards two major trends in propulsion advancement:
  • Alternative fuels and electrification.
  • Trends in higher integration of aircraft systems.
This section focuses on the design space, including changes in the electrical system as well as the inclusion of near-zero-emission fuels like hydrogen, detailing possible solutions that can pave the way to carbon-free aviation. The propulsion of an aircraft is functionally a set of systems and subsystems, which provide thrust for the aircraft as well as power to the rest of the aircraft systems. Traditionally in commercial aviation, this has been achieved through the use of combustion engines. To reduce aviation’s climate impact, new propulsion system concepts have been widely investigated throughout industry, research and academia. These trends include alternative fuels such as synthetic fuels or hydrogen as well as the electrification of propulsion systems. However, to this day, significant technology hurdles must be overcome to realize an entry into the market for these technologies. The electrification trend has broadly manifested itself in two ways: With the More Electric Aircraft (MEA), such as the Boeing 787 [25], each successive generation of aircraft employs more electrical equipment in place of systems that would previously have been mechanical, hydraulic or pneumatic, with specific design choices made for different vehicles. The second broad trend has been the increased focus on Electric Propulsion, fully or partially electric. Electrification and hydrogen are major focuses for this paper, together with the research on scalability potential across different aircraft classes. The following sections introduce different innovative propulsion system architectures as shown in Figure 2.

2.1.1. Battery-Electric

A fully Battery-Electric (BE) propulsion system has the highest powertrain efficiency as it directly uses electrical energy to propel the aircraft, thereby avoiding energy conversion losses. Additionally, it has the advantage of zero local emissions during the operation of the aircraft. However, due to the low energy density of batteries, which is currently about 50 times lower than that of kerosene, these systems tend to become too heavy, especially for large aircraft and long flight missions. The system architecture considered in the scope of this work consists of a battery pack including a DC-to-DC converter to ensure a constant system voltage level, a power management and distribution system, an inverter to convert the direct current to three-phase alternate current (AC), an electric motor that drives the propulsion device (propeller in case of Cat. 1, 2 and 3, or ducted fan in case of Cat. 4 and 5), and a thermal management system.

2.1.2. Battery-Electric Hybrid

A solution to mitigate the significant impact of the low energy density of batteries is a hybrid solution combining a conventional combustion engine with a battery-electric powertrain. There are various possibilities for hybrid architectures; for instance, a gas turbine can be directly connected to an electric generator, leaving the entire propulsive power to be provided by electric motors. Together with the battery-electric powertrain, this constitutes the so-called Battery-Electric SeriesHybrid (BESH), which is particularly interesting for distributed propulsion solutions, given the relative simplicity of distributing electrical motors (EMs) compared to distributing combustion engines. Removing the battery would result in a so-called turbo-electric architecture. Another solution is the Battery-Electric Parallel Hybrid (BEPH), which includes mainly two parts, a conventional gas-turbine-powered part and an electric part powered by a battery.

2.1.3. Fuel-Cell-Electric Propulsion

The Fuel-Cell-Electric (FCE) architecture mainly consists of the same elements as the battery-electric propulsion system except that the battery is replaced by a fuel cell powered by hydrogen. It should be noted that, in most cases, an additional battery is present to cope with the rather long ramp-up time of the fuel cell in case of short-term changes in the required power, obtaining a Fuel-Cell-Electric Parallel Hybrid (FCEPH) architecture. The FCE layout has a power hybridization of 1 (i.e., all propulsive power is provided by electric motors), while the energy hybridization is 0 (i.e., all propulsive energy is provided by fuel). Since energy hybridization is defined as the ratio of energy provided by batteries over the total used energy for the mission, the FCEPH architecture is quite similar to a turbo-electric propulsion system; the only difference is that instead of a gas turbine engine and generator, a fuel cell is used to generate the electric power.

2.1.4. Hydrogen Combustion

The use of hydrogen as a fuel for combustion in gas turbines combines several environmental advantages: local emissions like CO2 and soot can be reduced to zero. In addition, hydrogen can already be produced in a CO2-neutral way through electrolysis with renewable electricity, enabling the complete elimination of CO2 in the fuel life cycle. There are studies in the literature indicating that liquid hydrogen is one of the most environmentally benign alternatives compared with other fuel types for aeronautical applications [26]. Especially in the case of hydrogen produced from renewable resources, when compared with Jet A fuel, in well-to-wake emissions there is a reduction in environmental emissions (up to 60%), leaving NOx as the only greenhouse gas emitted [27]. On the other hand, contrails, considered one of the largest contributors to the greenhouse effect of aircraft operations, will remain with hydrogen combustion [28]. Therefore, hydrogen combustion (HC) seems promising from an environmental point of view, but the integration of a bulky hydrogen tank poses storage issues. In fact, liquid hydrogen needs to be stored in a cryo-cooled and insulated tank at −253 °C. Its volume, at least three times the volume of normal Jet-A Fuel tanks, implies a change in the overall architecture of the aircraft, as the fuel tank cannot be placed inside the wing. Currently, the most widely recognized option is to place the tank at the back of the fuselage behind the cabin. This would cause a fuselage elongation if the cabin length is maintained unchanged, implying an increased wetted surface and, thus, drag.

2.2. Reference Aircraft

Five aircraft categories are investigated ranging from nine-seat general aviation aircraft to long-range twin-aisle configurations. The following paragraphs give a brief overview on the chosen aircraft configurations and their main specifications. For a more detailed description, please refer to deliverable D2.1 (“Radical technologies for reference vehicles”) of the SIENA project [15].
Category 1: Category 1 (General Aviation aircraft) is the smallest aircraft category investigated in the project. The reference vehicle for this class is the Pilatus PC-12, wit the manufacturer based out of Stans, Switzerland, which has a capacity of six to nine passengers, a maximum range of 3417 km and is equipped with a single-engine turboprop. Since its entry into service in 1994, more than 1700 units have been built. For the scope of the presented study, the newest version of the aircraft, the PC-12 NGX, has been selected, which was introduced in 2006 and has an integrated avionics suite and an upgraded Pratt & Whitney Canada PT6A-67P engine, produced in Longueuil, Quebec.
Category 2: Category 2 (commuter aircraft) represents the upper limit of aircraft certifiable according to the CS-23 segment in terms of MTOM, with up to 19 passengers. The commuter segment currently has a relatively small market size, but there are signs of a re-flourishment in the market with novel aircraft being certified in recent years, such as the Cessna 408 SkyCourier, Wichita, Kansas. For the investigations presented here, the L 410 NG by Czech aircraft manufacturer Aircraft Industries (formerly Let Kunovice, based in Kunovice, Czechia) has been selected. The original version of the aircraft has been in production since 1971, with a major update introduced in 2018. The L 410 NG is a twin-turboprop with a capacity of 19 passengers and a maximum range of 2750 km.
Category 3: Category 3 (regional aircraft) is seen as the key category in the transition to zero-emission aviation with the earliest predicted entry into service within the Part 25 aircraft category [2]. As the market is dominated by the ATR 42 and ATR 72 by Avions de Transport Régional (Toulouse, France) with more than 1700 units built to date, the ATR 72-600 has been chosen for the scope of this paper. The aircraft is a twin-turboprop with a passenger capacity of 68 to 78 and a range of 1500 km.
Category 4: Category 4 (short/medium range) forms the larger portion of the fleet for commercial aircraft and therefore has a bigger impact on overall emissions than the previous categories. As the best-selling aircraft within this segment, the Airbus A320 family, designed by Airbus, Toulouse, France, has been selected for the investigations in this project. The latest version of the aircraft is the A320neo, which was introduced in 2015 with improved geared turbofan engines (e.g., PW1000G) and increased aerodynamic efficiency due to sharklets.
Category 5: Category 5 (wide-body aircraft) is the largest aircraft category considered in the scope of this work. Due to the high payload and range requirements in this segment, it is definitely the most challenging category for novel electric propulsion concepts, which still have the disadvantage of low component energy and power density. For Cat. 5, the Airbus A350-900, designed by Airbus, Toulouse, France, serves as a baseline, which is currently one of the best-selling aircraft in this class. The A350-900 is a twin-turbofan aircraft and had its entry into service in 2015. It is powered by Rolls-Royce Trent XWB engines, produced in Derby, UK, and makes use of composite materials in the wing and fuselage to reduce structural weight compared to the previous generation of aircraft. The A350-900 has a passenger capacity of 440 and a maximum range of 15,000 km.

Summary of TLAR

The top-level aircraft requirements (TLARs) of the baseline vehicles used in the context of this work are summarized in Table 1.

2.3. Review of Regulatory Aspects

The introduction of novel propulsive configurations does not only pose a technical and performance challenge, but also a regulatory one. In fact, often Certification Specifications (CSs) and Acceptable Means of Compliance (AMCs) are developed with current propulsive configurations and technological assumptions in mind. This subsection summarizes gaps in existing regulations and identifies where current requirements are inapplicable for novel architectures. It also points out the estimated efforts and challenges required by the current regulations to ensure Equivalent Levels of Safety (ELOS). For a more detailed and comprehensive overview of regulator aspects, please refer to deliverable D4.2 (“Impact analysis on certification and requirements when upscaling technologies”) of the SIENA project [34]. The analysis is based on the review of the following documents:
  • CS-23: Certification Specifications for Normal Category Aeroplanes (CS-23) and Acceptable Means of Compliance and Guidance Material to the Certification Specifications for Normal-Category Aeroplanes [35];
  • CS-25: Certification Specifications and Acceptable Means of Compliance for Large Aeroplanes [36];
  • CS-E: Certification Specifications and Acceptable Means of Compliance for Engines [37];
  • CS-APU: Certification Specifications and Acceptable Means of Compliance for Auxiliary Power Units [38];
  • SC E-19: Special Condition E-19 for Electric and Hybrid Propulsion Systems [39];
  • MOC SC-VTOL: Proposed Means of Compliance with the Special Condition VTOL [40,41,42];
  • CS-26: Certification Specifications and Guidance Material for Additional airworthiness specifications for operations [43].
The applicability of current regulations to electric and hybrid propulsion systems (hereafter referred to as EHPSs) are summarized in Table 2.
The following subsections briefly summarize regulatory gaps and challenges for each technology considered in this work.

2.3.1. Overall System Architecture

The special condition SC E-19 for electric and hybrid propulsion systems provides an addition to the general CS-23 and the CS-E to account for the specifics of these rather new systems. EASA foresees three different ways to certify an EHPS in line with the standard regulations and the SC E-19. The first solution is to certify the entire EHPS as one engine module, upon identification of the components needed to operate and control the propulsion system. Interfaces, i.e., avionics, are certified together with the aircraft. This approach enables reusing the certified EHPS on multiple aircraft, similar to what is currently done for conventional engines. The second possibility is to certify each component as a separate element based on a European Technical Standard Order (ETSO). Each of these approved components could then be combined on aircraft level to form the EHPS. However, this approach is currently not fully adopted by EASA. It still requires interconnections and a combination of ETSO systems to be certified for each aircraft, which would therefore probably require a dedicated certification process. The third way to certify an EHPS is as part of the aircraft type certificate. This has the advantage that the EHPS is entirely tailored to the aircraft application, simplifying the interface between the aircraft itself and the EHPS. The downside is that reusing EHPS components or even entire EHPS subsystems for another aircraft type would require a completely new certification process. Nevertheless, this approach is possible with the new basic regulation and might actually be the preferred approach by the applicant depending on the application. Note that while the SC E-19 provides a valuable addition to the CS-E and the CS-23 for small aircraft, they currently do not apply to CS-25 aircraft, because of missing emission requirements and gaps in defining the proper AMC in line with the EHPS regulations.

2.3.2. Electric Motors and Generators

Electric machines (motors and generators) are present in today’s aircraft in several subsystems. Engine-driven generators are used to provide power to electrical consumers in the aircraft, such as actuation of control surfaces, or to drive hydraulic pumps. Therefore, the design principles given in Subpart D of the CS-25 would still mostly apply to the types of electric machines used in EHPSs, especially the points mentioning external causes like high-intensity radiated fields (HIRFs), lightning and electromagnetic interference (EMI). The main CS-23 does not explicitly consider electric machines. While standard ASTM F44 [44] is mentioned in the CS 23, it has not been fully accepted by EASA for electrical systems installed on EHPS aircraft yet. In summary, the regulatory gap for electric motors is rather small. One aspect that still needs to be addressed involves the continued rotation of EMs after shutdown, as it can induce current back into the electric system.

2.3.3. Electric Power Management, Distribution and Conversion Systems

There is significant coverage of these aspects in subpart H (electrical wiring interconnection systems) and subpart F (equipment) of CS-25 and similarly in CS-23. Therefore, the regulatory gap is small, with the most noteworthy exception represented by superconducting technologies, which require cooling of the components and careful design of the interfaces between cryogenic and non-cryogenic parts. Summarizing this section, the regulatory gap to close for electric power management distribution and conversion systems is considered small (if any), as long as conventional conducting systems are employed.

2.3.4. Thermal Management System

The CS-25 provides regulations on Thermal Management Systems (TMSs) regarding the powerplant (subpart E) and the APU (subpart J), mainly regarding cooling tests, thus not giving specifications for the design and construction of a dedicated TMS. The CS-E provides additional regulations for the engine cooling system of piston engines and turbine engines, assuming cooling by bleed air, not suitable for all EHPSs. The CS-23 is very similar in this regard. The SC E-19 mentions dedicated cooling systems for EHPSs in subpart C, while nevertheless only providing some general regulations in terms of operating conditions and installation requirements without details concerning the design and construction of the TMS. Since the amount of heat to be cooled will be significantly lower for CS-23 aircraft compared to CS-25, the effort to close the current regulatory gaps is assumed to be a bit lower, leading to an estimated moderate effort. The relevance of heat management is marked by the fact that thermal and acoustic insulation is also mentioned in CS-26 to guarantee proper thermal insulation between the cabin and hot/cold systems.

2.3.5. Hydrogen-Burning Jet Engines

The CS-E provides the regulatory framework for the certification of jet engines. Currently, there is no mention of hydrogen-burning engines, as the technology has not yet been introduced by any aircraft manufacturers. The most significant changes linked to the usage of hydrogen as the main energy source affect the fuel system, the combustion chamber and downstream components, because of the hydrogen combustion temperature which is expected to be approximately 200 K higher than that of kerosene. Therefore, it is expected that the most significant changes of the CS-E to account for hydrogen combustion will be regarding design and construction (Subpart D), type substantiation (Subpart E) and environmental and operational design requirements (Subpart F). Therefore, the effort to address the regulatory gap is relatively limited in the CS itself, but will represent a more remarkable burden for the AMC, especially considering the absolute importance of the propulsion system. Therefore, the overall effort to close the regulatory gap for hydrogen-burning jet engines is assumed to be high.

2.3.6. Batteries

Energy storage batteries have been part of aircraft equipment for a long time. The CS-25 mentions batteries in Subparts C, D and E; CS-23 mentions them in Subpart F. The thermal management of the batteries and the procedures in case of thermal runaway need to be carefully addressed. In either case, batteries are not considered as energy storage for the propulsion system. This, however, is the case within the SC E-19, which specifically requires that the state of health and state of charge of the batteries need to be monitored to ensure that the battery can provide enough power and energy to fulfill the flight mission. Based on the already existing regulations, the effort to close the regulatory gap for CS-23 aircraft is estimated as moderate, while for CS-25, it is estimated as high.

2.3.7. Fuel Cells

None of the existing regulations cover fuel cells. Despite the increasing applications in other mobility sectors, the high safety standards and special operating conditions in aviation require a high effort to close the regulatory gaps in the current certification specifications. In this context, some of the main challenges will be to ensure that the fuel cell is placed in a way that guarantees safe operation and good accessibility for maintenance.

2.3.8. Hydrogen Fuel System and Tank

Hydrogen fuel systems and tanks are currently also not covered in any of the existing regulations. Similar to fuel cells, hydrogen as an energy source is currently excluded from the SC E-19. Furthermore, since either high-pressure gaseous or low-temperature liquid hydrogen fuel systems would be much more complex than conventional fuel systems, the effort to certify these systems is estimated to be very high. Also, specific testing procedures to ensure the safety and reliability of the system would have to be created almost from scratch.
Table 3 resumes the estimated effort to adapt current regulations for each of the considered technologies. The results clearly indicate a higher maturity in current regulations for smaller aircraft, certified under CS-23, compared to CS-25 aircraft.

3. Methodology

To perform the technology evaluation in this work, an integrated vehicle design and systems evaluation methodology is used, which is enabled by combining the aircraft systems design and analysis capabilities at Collins Aerospace, Applied Research and Technology (ART), Ireland, with the conceptual aircraft design capabilities at the Department of Aerospace Sciences and Technologies (DAER) of Politecnico di Milano (PoliMi), Italy. The following sections first give an overview of both methodologies, before briefly describing how the two are synchronised to obtain the presented results.

3.1. Methodology

A thorough analysis of the preliminary aircraft size and system design methodologies is carried out in [45]. HYPERION [46], developed by PoliMi’s DAER, is a preliminary sizing tool dedicated to the computation of the aircraft weight breakdown, geometry and power characteristics of the propulsion system. These may include conventional or hydrogen combustion engines, as well as electric, hybrid-electric or hydrogen-electric propulsion systems, depending on the targeted configuration. Special care has been taken in estimating the aircraft’s operational empty mass fraction. Indeed, an approach relying on historical regressions based on the Maximum Take-Off Mass (MTOM) cannot be employed, due to the obvious lack of data for innovative aircraft. Therefore, a build-up method has been developed and validated, where the masses of each structural component are computed separately, relying on quasi-analytical and regression-based methods. This allows the sizing of each component to be carried out independently, with the inputs to each sub-model adapted to be able to account for innovative configurations. The wing mass is computed considering the area required to deliver the required performance. The fuselage mass is estimated considering a total length able to accommodate both a cabin of the required length and the hydrogen tank. Similar arrangements are also made for the preliminary sizing of other innovative propulsive architectures. The mass of the other subsystems, such as landing gear, avionics, hydraulics and cabin furnishings, are computed using regressions that are based on historical data and depend on various factors such as MTOM, number of passengers, and wing area.
Collins Aerospace has developed the proprietary in-house aircraft power platform modeling software ASIM [23,24], which enables detailed sizing and analysis of an entire on-board aircraft systems architecture. Besides modeling traditional architectures with bleed-air-powered pneumatic and hydraulic power systems, the software can also account for more (MEA) and all-electric aircraft (AEA) configurations. Depending on different technology selections, the tool calculates the power flow of the aircraft by dividing the different systems into power-consuming systems, power distribution/transformation systems, and power sources using a multi-fidelity modeling approach. Table 4 shows the assumptions used to perform the sizing of the aircraft and its systems.
To evaluate the impact of different system architectural and technology choices at the vehicle level, it is necessary to couple the vehicle design with the design and evaluation of the systems in an interconnected design loop. This implementation, shown in Figure 3, was based on the remote exchange of input/output data.
To account for impacts from the design of the systems (Collins Aerospace) on the overall aircraft design (PoliMi), including the resulting snowball effects, the Collins systems design was extended with the respective design sensitivities obtained with HYPERION. These sensitivities are represented by the Mass Growth Factor (MGF), which details the overall aircraft mass increase given a lumped variation of mass. To achieve this, several sensitivity studies were performed at PoliMi capturing “snowball” effects resulting from an imposed change in system weight for each aircraft configuration. Figure 4 shows the results of these studies for aircraft in Cat. 3 (left) and Cat. 4 (right), with a fuel-cell-electric (2030 scenario) and hydrogen combustion (BPR of 6) propulsive architecture, respectively. Similar trends are obtained for the other aircraft categories. In both cases, the parameter that is most affected by the artificial mass variation is the operating empty mass (OEM), with a more pronounced relative change for Cat. 3 aircraft. For regional aircraft, the hydrogen mass has the same relative change as that of the MTOM, as the aircraft performance is penalized by the significant increase in the OEM, whereas for the short-haul jet aircraft, the fuel has the lowest relative change due to its high specific energy. The MGF enables ASIM to consider repercussions of the system sizing on the MTOM, as the new design point is close to the original.
Hydrogen-powered aircraft scale differently in the context of this work. This is because hydrogen is stored in the rear fuselage section, causing the fuselage length to vary with mission fuel (e.g., during the sizing iteration). The absence of fuel in the wing (dry wing) additionally affects the scaling of the wing structure. Therefore, the correction factors implemented for hydrogen-driven aircraft differ slightly from those of conventional aircraft. The effect of an artificial mass variation (i.e., representing an imposed increase or decrease in the airframe mass computed from regressions) on the MTOM, OEM and fuel mass has been computed with HYPERION, in order to allow the Collins aircraft system platform to capture the impact of snowball effects on structural weight.
The different propulsive configurations and technology scenarios are assessed using the Payload-Range Energy Efficiency (PREE) as KPI. PREE describes the efficiency of an aircraft in performing its main task, the transport of payload on a given flight distance, by defining the payload ( m p l ) and range (R) in relation to the necessary mission energy ( E m i s s i o n ):
P R E E = R m p l g E m i s s i o n = R m p l g m F L H V + E B a t t
L H V represents the Lower Heating Value of the fuel used in the considered architecture, whereas E B a t t represents the usable energy of the battery, if present in the considered architecture. As PREE only evaluates the energy efficiency of the different propulsive architectures, the presented results would be different for other KPIs, such as environmental impact or cost.

3.2. Preliminary Sizing Results

This section details the preliminary aircraft and system sizing results based on the methodology presented in Figure 3. The results show examples for Cat. 4 aircraft, with further details available in [57]. Figure 5 shows the mass breakdowns obtained for the conventional baseline aircraft and its respective hydrogen-based counterparts with bypass ratios (BPR) of 6 and 9.6 respectively. The hydrogen-powered versions are based on the same TLAR as the baseline aircraft.
The hydrogen-based configuration shows a reduced MTOM in the obtained results. The increase in the OEM, due to the longer fuselage and the additional mass of the hydrogen tank, is outweighed by the significant fuel mass reduction. This effect can particularly be observed for the 9.6 BPR case, as more efficient engines not only reduce the fuel burn, but consequently also the required fuselage elongation and tank mass.

4. Switching Point Identification

This section provides detailed insights derived from the switching point analysis for certain technology options. A switching point (also known as switch point or tipping point) is defined as a point in the design space, where a technology option either becomes feasible or beneficial, or where it stops being feasible or beneficial. In general, these points can either be reached due to a variation of the technology assumptions (e.g., battery energy density) or due to a variation of the TLAR, such as moving from one aircraft category to another. The results presented here are based on the following underlying assumptions:
  • The design mission is not modified (i.e., payload or range reduced), e.g., to make electric propulsion more feasible or beneficial;
  • Parallel hybrid architectures neglect possible optimization of conventional engines and interactions of electric motors and gas turbines;
  • No technology advancements regarding the efficiency and weight of conventional engines are considered;
  • Each considered propulsive architecture for each aircraft category is compared to the respective reference aircraft considering the PREE of the design mission.
Preliminary studies have led to the identification of the system architectures and parameter variations considered for each aircraft category. Table 5 shows all of the sensitivity analyses carried out in the present work. However, the following sections only present the results for the liquid-hydrogen-based architectures combined with fuel cells, which, based on the underlying assumptions and models, show the highest scalability across all aircraft categories considered in the project. Note that the results of this work have been already presented in [58].
Note that the selected architectures are not the optimal ones for each considered configuration. Rather, for the sake of simplicity, the authors have limited the scope of this work to a set of architectures that perform well across the five aircraft categories.
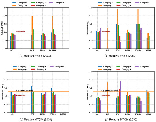
For the short/mid-term (EIS 2030), a parallel hybrid solution combining a fuel-cell-electric part and a hydrogen combustion part (FCEPH) is the most feasible option for the smaller aircraft categories, while in the long term (2050 scenario), a transition to fully fuel-cell-electric propulsion seems possible. However, the larger categories will most likely rely on hydrogen combustion in combination with fuel cells to power the on-board sub-systems, such as the environmental control system, anti-icing and other hotel loads. These architectures have been selected by comparing relevant indicators (PREE and MTOM) across the five aircraft categories, considering the 2030 and 2050 scenarios, as shown in Figure 6.
While PREE is a useful indicator to evaluate the mission efficiency of different aircraft and technologies, it neglects the important aspect of novel propulsion system research, which is the impact on the climate. Although PREE might be lower due to higher component weights of battery- or hydrogen-powered aircraft, the effect on climate change might still be beneficial for these configurations because the emissions are significantly reduced compared to conventional fuel.
The results of the scalability assessment for different propulsive architectures across the five aircraft categories are shown in Figure 6. To allow for a comparison of technologies that is unbiased by the intrinsic differences across the five aircraft categories in terms of PREE and MTOM, the shown parameters are normalized with respect to the value of the reference aircraft for each category. The reference values are indicated by the horizontal burgundy line. Furthermore, for aircraft in Cat. 1 and 2, certified according to CS23, the MTOM limits for certification (5670 kg and 8618 kg, respectively) are also shown. This plot offers a clear representation of the variation in PREE and MTOM, where an increase in PREE and a decrease in MTOM are considered to be advantageous. Finally, this plot details the propulsive configurations that do not converge to a feasible design, which are thus not represented in the plot. In general, the lack of convergence of certain architectures is linked to technologies not being mature enough to ensure a feasible design (BE and BESH for the 2030 scenarios, with an insufficient battery energy density) or to a mismatch between the architecture and the aircraft category (Cat. 4 and 5 are not possible with a BESH architecture).
Looking at the 2030 technology scenario as shown in the plots of the first column of Figure 6, the novel propulsion system architectures appear more promising compared to the state of the art. In fact, while the battery-powered configurations (BE and BESH) still remain unfeasible for most aircraft categories based on the underlying assumptions, and thus are not shown in Figure 6, the hydrogen-powered architectures appear feasible for all aircraft categories. Notably, the fuel-cell-electric parallel hybrid (FCEPH) architecture performs well for all aircraft classes in terms of impact on MTOM, with an increase not exceeding 25%, except for Cat. 1 aircraft, for which the increase is 60%, which causes the CS23 MTOM limit to be exceeded. This architecture also enables good values for the PREE, which is already comparable to the reference in the 2030 scenario, for aircraft in Cat. 1 and 3, with a PREE that is doubled for Cat. 2 and with no significant changes for larger aircraft (Cat. 4 and 5). Note that the hybridization strategy has been optimized for each aircraft category. Thus, for the smaller classes, there is a significant amount of propulsive power provided by the electric part of the system, while Cat. 4 and 5 rely on hydrogen combustion to provide propulsive power and the fuel cell only powers the on-board subsystems. However, it is questionable if the architectures for Cat. 4 and 5 can actually be called “parallel hybrid” if there is no propulsive power provided by the fuel cells. However, for the sake of consistency, the authors decided not to define this as a distinct architecture.
For the 2050 technology scenario, the battery-electric architectures enter the space of feasible solutions. However, this is only the case for aircraft in Cat. 2 (commuters), as illustrated in the second column of Figure 6. The fuel-cell-electric architectures, on the other hand, appear as the most beneficial ones for all aircraft categories. In fact, for Cat. 1, 2 and 3, the full-electric fuel-cell-powered architecture performs best in the context of this study, with an improvement of the PREE of at least 50%, with even greater improvement for Cat. 2. Again, for Cat. 4 and 5, the hydrogen combustion combined with a fuel cell to power the on-board sub-systems is the most feasible solution.
Based on the results described above, a set of best-performing propulsion system architectures can be selected, as detailed in the following. We remark that the conclusions drawn in this section are highly dependent on the applied use cases, underlying models and assumptions. Further studies are needed to test the reliability and robustness of these results in a wider context.

4.1. Fuel-Cell-Electric Propulsion System for Propeller Aircraft

Fuel-cell-electric propulsion is considered a promising option for environmentally friendly aircraft operations, profiting from the high energy density of hydrogen and the absence of CO2 and other emissions. However, due to expected technology advancements in terms of the gravimetric index (GI) of tanks and in terms of fuel-cell power density, the obtained results suggest that FCE propulsion is only feasible for aircraft in Cat. 1, 2 and 3. Figure 7 shows the relative PREE compared to the reference aircraft for Cat. 3 for the FCE architecture as a function of fuel cell power density for different GIs. For the other system components, the 2030 technology scenario is assumed here.
Due to its design mission, Cat. 3 is more sensitive to the fuel cell power density compared to smaller aircraft, as the required fuel cell power scales with payload. For GIs above 30% and fuel cell power densities above 3 kW/kg, the FCE designs have a higher PREE than the conventional baseline. Lower GI or FC specific power values still allow for successful aircraft sizing, but the conventional aircraft would outperform the FCE designs in terms of PREE.

4.2. Hydrogen Combustion Propulsion System (Jet)

A propulsive system based on hydrogen combustion (HC) is mainly considered for Cat. 4 and 5, because fuel cell power densities are not expected to become sufficient for the high power requirements of these aircraft. In the context of this work, the HC propulsive system is combined with a fuel cell that provides electric power to the on-board systems. Figure 8 shows the result of the switching point analysis for aircraft in Cat. 4. Theoretically, a GI of approximately 35% would be sufficient to break even with the energy density of a kerosene fuel system, as hydrogen and its tank would have the same energy density as kerosene. However, due to the derived effects of the fuselage extension (structural mass increase of the fuselage, additional fuselage drag, center of gravity shift), this is not the case. In fact, the break-even point is slightly below a GI of 40%. Nevertheless, feasible designs can be found for GIs above 20%. While the general trends are similar for Cat. 5, the switching point is shifted to even higher GIs due to the higher sensitivity towards system weight for an aircraft of this range and size. Additionally, it should be noted that the necessary tank volume for such an aircraft might cause the fuselage to exceed the maximum allowed aircraft length at airport gates.

4.3. Summary of Switching Points Analysis

The feasibility of a given propulsive architecture combined with the design missions of the five aircraft categories has been assessed considering the impact on MTOM and PREE, which greatly differs depending on the requirements of the design mission. In fact, each propulsive configuration reacts differently depending on the design range and payload, but also on performance elements such as cruise speed and take off run length, which greatly impact the maximum installed power/thrust. A summary of these aspects is presented in Table 6. Clearly, there is no general rule to couple an innovative propulsive architecture to a design mission and a possible aircraft that performs it. However, the choice is highly affected by the traditional propulsion system of the reference configuration (jet or turboprop) and the required performance, which affect the installed Power-to-Weight ratio. The effect of the novel propulsive configuration can be estimated by evaluating the impact on PREE and MTOM.

5. Conclusions

This paper summarizes an assessment on the limitations and opportunities of scaling innovative propulsion technologies and architectures for commercial aircraft. Different propulsion concepts arw investigated considering two different sets of technology assumptions, based on a literature review (EIS 2030 and EIS 2050). The multi-dimensional design space is explored by efficiently combining the conceptual aircraft design tools available at Politecnico di Milano with the design space exploration tools and aircraft systems design and evaluation at Collins Aerospace. The system architectures are based on the combination of various components with expected technological advancements for the future, leading to a well-defined design space. Each potential propulsive architecture is evaluated based on the payload range energy efficiency (PREE) to assess the scalability across five aircraft categories. The investigations suggest that, based on the underlying models and technology assumptions, hydrogen-burning gas turbines are a promising option for larger aircraft (short/medium- and long-range), while fuel-cell-electric systems are preferred for smaller aircraft (GA and regional). It must be mentioned there is no single system that can be scaled across the categories, given the extremely different power requirements, but rather a family of systems consisting of the same elements: hydrogen combustion gas turbines, hydrogen fuel cells and batteries. Supporting systems, such as electric power management, DC distribution including power conversion and a dedicated thermal management system, are introduced as needed.
The selected family of system architectures shows the potential to decrease the mission energy demand of commercial aircraft if certain technology advancements are achieved. However, some of the technical challenges concerning hydrogen-based systems need to be tackled in the near future to enable these benefits and to pave the way for a more sustainable aviation sector. In fact, the integration of hydrogen radically changes the aircraft architecture, affecting the performance as well. Furthermore, the presented results are based on assumptions for the future advancement of several components; these expectations may or may not be actually reached, which could change the expected relevance of the proposed architectures. Note that the study is focused on vehicle-level performance, neglecting the impact of fuel production and logistics. Additionally, to enable investigations across various aircraft categories, the level of detail of the underlying models was kept at low fidelity. Both Collins Aerospace and PoliMi continue to investigate (hybrid) electric and hydrogen propulsion both internally and in the context of international collaborations; such studies address topics such as high-voltage power distribution [59] and hybrid-electric and water-enhanced turbofan technologies [60], among others.

Author Contributions

Conceptualization, G.S., B.A., E.W., C.E.D.R. and L.T.; methodology, G.S. and B.A.; formal analysis, G.S. and B.A.; writing—original draft, G.S.; writing—review & editing, B.A., E.W. and L.T.; supervision, E.W., C.E.D.R. and L.T.; project administration, E.W., C.E.D.R. and L.T.; Funding acquisition, L.T. All authors have read and agreed to the published version of the manuscript.

Funding

Scalability Investigation of hybrid Electric concepts for Next-generation Aircraft (SIENA) project received funding from Grant agreement ID: 101007784 of the European Commission, in the context of Clean Sky 2.

Data Availability Statement

The datasets presented in this article are not readily available because of Company policies. Requests to access the datasets should be directed to gabriele.sirtori@polimi.it and benedikt.aigner@collins.com.

Conflicts of Interest

Benedikt Aigner and Erich Wehrl were employed by the Collins Aerospace Applied Research and Technology. The remaining authors declare that the research was conducted in the absence of any commercial or financial relationships that could be construed as a potential conflict of interest.

References

  1. Kharina, A.; Rutherford, D. Fuel Efficiency Trends for New Commercial Jet Aircraft: 1960 to 2014; White Paper of the International Council on Clean Transportation; International Council on Clean Transportation (ICCT): Washington, DC, USA, 2015. [Google Scholar]
  2. DLR; BDLI. Zero Emission Aviation—Emissionsfreie Luftfahrt: German Aviation Research White Paper. 2020. Available online: https://www.dlr.de/en/media/publications/brochures/2020/white-paper-dlr-bdli-zero-2020-en/ (accessed on 15 May 2024).
  3. Shulz, E. Global Networks, Global Citizens: Global Market Forecast 2018–2037; Airbus: Leiden, The Netherlands, 2018. [Google Scholar]
  4. European Commission: Directorate-General for Mobility and Transport and Directorate-General for Research and Innovation. Flightpath 2050—Europe’s Vision for Aviation—Maintaining Global Leadership and Serving Society’s Needs. Publications Office. 2011. Available online: https://www.arcs.aero/sites/default/files/downloads/Bericht_Flightpath_2050.pdf (accessed on 15 June 2023).
  5. ICAO. Environmental Report 2016; Aviation and Climate Change; ICAO: Montreal, QC, Canada, 2016. [Google Scholar]
  6. IATA. A Global Approach to Reducing Aviation Emissions. First Stop: Carbon-Neutral Growth from 2020; IATA: Montreal, QC, Canada, 2009. [Google Scholar]
  7. Drake, A. NASA environmentally responsible aviation (ERA) N + 2 advanced vehicle study. In Proceedings of the 50th AIAA Aerospace Sciences Meeting, Nashville, Tennessee, 9–12 January 2012. [Google Scholar]
  8. van der Sman, E.; Peerlings, J.; Kos, J.; Lieshout, R.; Boonekamp, T. Destination 2050—A Route to Net Zero European Aviation. In Proceedings of the Destination 2050. 2021. Available online: https://www.destination2050.eu/ (accessed on 15 June 2023).
  9. Pipistrel. Pipistrel Velis Elecrto Brochure. 2020. Available online: https://www.pipistrel-aircraft.com/wp-content/uploads/2023/04/Pipistrel_VelisElectro.pdf (accessed on 15 May 2022).
  10. Barabanova, K. ZeroAvia Successfully Completes Initial Dornier 228 Flight Test Campaign. 2023. Available online: https://zeroavia.com/complete-flight-test/ (accessed on 15 May 2022).
  11. Airbus. ZeroE: Towards the World’s First Zero Emission Aircraft. 2020. Available online: https://www.airbus.com/en/innovation/zero-emission/hydrogen/zeroe (accessed on 15 May 2022).
  12. Clean Aviation. CHYLA & SIENA Reveal Scaling-Up Opportunities of Hybrid-Electric Propulsion in Aviation. 2024. Available online: https://www.clean-aviation.eu/chyla-siena-reveal-scaling-up-opportunities-of-hybrid-electric-propulsion-in-aviation (accessed on 5 March 2024).
  13. Hoogreef, M.; Bonnin, V. Scalability analysis of radical technologies to various arcraft class—Part I: Initial designs. In Proceedings of the ICAS 2022 Conference, Stockholm, Sweden, 4–9 September 2022; Volume 2, pp. 884–899. [Google Scholar]
  14. Scalability Investigation of Hybrid Electric Concepts for Next-Generation. Aircraft|SIENA Project|Fact Sheet|H2020. Available online: https://cordis.europa.eu/project/id/101007784 (accessed on 2 May 2022).
  15. Collins Aerospace; Politecnico di Milano. SIENA D2.1: Radical Technologies for Reference Vehicles; Collins Aerospace: Cork, Ireland; Politecnico di Milano: Milan, Italy, 2022. [Google Scholar]
  16. Palaia, G.; Abu Salem, K.; Quarta, A. Parametric Analysis for Hybrid–Electric Regional Aircraft Conceptual Design and Development. Appl. Sci. 2023, 13, 11113. [Google Scholar] [CrossRef]
  17. Brelje, B.; Martins, J. Electric, hybrid, and turboelectric fixed-wing aircraft: A review of concepts, models, and design approaches. Prog. Aerosp. Sci. 2019, 104, 1–19. [Google Scholar] [CrossRef]
  18. Karpuk, S.; Elham, A. Comparative study of hydrogen and kerosene commercial aircraft with advanced airframe and propulsion technologies for more sustainable aviation. Proc. Inst. Mech. Eng. Part G J. Aerosp. Eng. 2023, 237, 2074–2091. [Google Scholar] [CrossRef]
  19. Barm, S.; Reitenberger, J.; Bersiner, P.; Baeten, A.; Baeten, S.; Fackler, M.; Körner, T.; Oblinger, C. Design of a Cryogenic Airborne Hydrogen Cooling System for Electric Propulsion. In Proceedings of the AIAA SciTech Forum and Exposition, Orlando, FL, USA, 8–12 January 2024. [Google Scholar]
  20. Pustina, L.; Blandino, M.; Ciottoli, P.; Mastroddi, F. Towards multidisciplinary design optimization of next-generation green aircraft. In Proceedings of the Aeronautics and Astronautics: AIDAA XXVII International Congress, Padova, Italy, 4–7 September 2023. [Google Scholar]
  21. DAHER. EcoPulse Demonstrator Takes Shape Ahead of Paris Airshow. 2023. Available online: https://www.daher.com/en/ecopulse-demonstrator-takes-shape-ahead-of-paris-airshow-2023 (accessed on 15 January 2024).
  22. Heart Aerospace. Introducing the ES-30—A Clean-Sheet Hybrid-Electric Design Engineered to Reignite Regional Aviation. 2023. Available online: https://heartaerospace.com/es-30/ (accessed on 15 January 2024).
  23. Garcia Garriga, A.; Govindaraju, P.; Ponnusamy, S.; Cimmino, N.; Mainini, L. A modelling framework to support power architecture trade-off studies for More-Electric Aircraft. In Proceedings of the CEAS Air & Space Conference Aerospace Europe, Bucharest, Romania, 16–20 October 2017. [Google Scholar]
  24. Lents, C.; Baig, Z. Parallel Hybrid Propulsion & Secondary Power System Architecture Exploration and Evaluation. In Proceedings of the AIAA Propulsion and Energy Forum, New Orleans, LA, USA, 26–28 August 2020. [Google Scholar] [CrossRef]
  25. Sinnet, M. 787 No-Bleed Systems: Saving Fuel and Enhancing Operational Efficiencies; Boeing: Arlington, VA, USA, 2007. [Google Scholar]
  26. Bicer, Y.; Dincer, I. Life cycle evaluation of hydrogen and other potential fuels for aircrafts. Int. J. Hydrogen Energy 2017, 42, 10722–10738. [Google Scholar] [CrossRef]
  27. Zhang, F.; Maddy, J. Investigation of the Challenges and Issues of Hydrogen and Hydrogen Fuel Cell Applications in Aviation. TechRxiv 2021. [Google Scholar] [CrossRef]
  28. Silberhorn, D.; Dahlmann, K.; Görtz, A.; Linke, F.; Zanger, J.; Rauch, B.; Methling, T.; Janzer, C.; Hartmann, J. Climate Impact Reduction Potentials of Synthetic Kerosene and Green Hydrogen Powered Mid-Range Aircraft Concepts. Appl. Sci. 2022, 12, 5950. [Google Scholar] [CrossRef]
  29. Pilatus Aircraft. Pilatus PC12 NGX. Available online: https://www.pilatus-aircraft.com/en/fly/pc-12 (accessed on 25 May 2022).
  30. Aircraft Industries. L 410NG Brochure. 2015. Available online: https://www.let.cz/en/l410ng (accessed on 25 May 2022).
  31. ATR. ATR 72-600 Brochure. 2012. Available online: https://www.atr-aircraft.com/atr-600-series/ (accessed on 25 May 2022).
  32. Airbus. A320—Aircraft Characteristics—Airport And Maintenance Planning; Airbus: Leiden, The Netherlands, 2022. [Google Scholar]
  33. Airbus. A350—Aircraft Characteristics—Airport And Maintenance Planning; Airbus: Leiden, The Netherlands, 2021. [Google Scholar]
  34. Aigner, B.; Sirtori, G. SIENA D4.2: Impact Analysis on Certification and Requirements When Upscaling Technologies; Collins Aerospace: Cork, Ireland; Politecnico di Milano: Milan, Italy, 2023. [Google Scholar]
  35. EASA. CS-23 Certification Specifications for Normal, Utility, Aerobatic, and Commuter Category Aeroplanes; Amdt. 6; EASA: Cologne, Germany, 2023. [Google Scholar]
  36. EASA. CS-25 Certification Specifications and Acceptable Means of Compliance for Large Aeroplanes; Amdt. 27; EASA: Cologne, Germany, 2021. [Google Scholar]
  37. EASA. CS-E Certification Specifications and Acceptable Means of Compliance for Engines; Amdt. 6; EASA: Cologne, Germany, 2020. [Google Scholar]
  38. EASA. CS-APU Certification Specifications and Acceptable Means of Compliance for Auxiliary Power Units; Amdt. 1; EASA: Cologne, Germany, 2020. [Google Scholar]
  39. EASA. SC E-19 Special Condition: Electric/Hybrid Propulsion System. CRI Consultation Paper; Issue 1; EASA: Cologne, Germany, 2021. [Google Scholar]
  40. EASA. MOC SC-VTOL Proposed Means of Compliance with the Special Condition VTOL; Issue 1; EASA: Cologne, Germany, 2020. [Google Scholar]
  41. EASA. MMOC-2 SC-VTOL Second Publication of Means of Compliance with the Special Condition VTOL; Issue 3; EASA: Cologne, Germany, 2022. [Google Scholar]
  42. EASA. MOC-3 SC-VTOL Third Publication of Proposed Means of Compliance with the Special Condition VTOL; Issue 1; EASA: Cologne, Germany, 2022. [Google Scholar]
  43. EASA. CS-26 Certification Specifications and Guidance Material for Additional Airworthiness Specifications for Operations; Issue 4; EASA: Cologne, Germany, 2022. [Google Scholar]
  44. American Society for Testing and Materials. ASTM F 44 General Aviation Aircraft; American Society for Testing and Materials: West Conshohocken, PA, USA, 2021. [Google Scholar]
  45. Aigner, B.; Garcia Garriga, A.; Sirtori, G.; Riboldi, C.E.D.; Trainelli, L.; Mariani, C.; Mancini, M. Overview and preliminary results of the scalability investigation of hybrid Electric concepts for next generation aircraft (SIENA) project. In Journal of Physics: Conference Series; IOP Publishing: Bristol, UK, 2023; Volume 2562. [Google Scholar]
  46. Trainelli, L.; Riboldi, C.E.D.; Salucci, F.; Rolando, A. A General Preliminary Sizing Procedure for Pure-Electric and Hybrid-Electric Airplanes. In Proceedings of the Aerospace Europe Conference, Bordeaux, France, 25–28 February 2020. [Google Scholar]
  47. National Academies Press. Commercial Aircraft Propulsion and Energy Systems Research: Reducing Global Carbon Emissions; National Academies Press: Washington, DC, USA, 2016. [Google Scholar] [CrossRef]
  48. Jansen, R.; Bowman, C.; Jankovsky, A.; Dyson, R.; Felder, J. Overview of NASA Electrified Aircraft Propulsion (EAP) Research for Large Subsonic Transports. In Proceedings of the 53rd AIAA/SAE/ASEE Joint Propulsion Conference, Atlanta, GA, USA, 10–12 July 2017. [Google Scholar] [CrossRef]
  49. Dicks, A.L.; Rand, D.A.J. Fuel Cell Systems Explained; John Wiley & Sons, Ltd.: Hoboken, NJ, USA, 2018. [Google Scholar]
  50. Ladous, R. Hydrogen for powering aircraft: Roadmap becomes tangible. In Proceedings of the Emission Free & Electric Flight Conference, Stuttgart, Germany, 20–21 February 2020. [Google Scholar]
  51. Seeckt, K. Conceptual Design and Investigation of Hydrogen-Fueled Regional Freighter Aircraft. Ph.D. Thesis, KTH School of Engineering, Stockholm, Sweden, 2010. [Google Scholar]
  52. Winnefeld, C.; Kadyk, T.; Bensmann, B.; Krewer, U.; Hanke-Rauschenbach, R. Modelling and designing cryogenic hydrogen tanks for future aircraft applications. Energies 2018, 11, 105. [Google Scholar] [CrossRef]
  53. Vratny, P.C. Conceptual Design Methods of Electric Power Architectures for Hybrid Energy Aircraft. Ph.D. Thesis, Technical University of Munich, Munich, Germany, 2018. [Google Scholar]
  54. Ferermann, Y.; Maury, C.; Level, C.; Zarati, K.; Salanne, J.P.; Pornet, C.; Thoraval, B.; Isikveren, A.T. Hybrid-Electric Motive Power Systems For Commuter Transport Applications. In Proceedings of the 30th Congress of the International Council of the Aeronautical Sciences, Daejeon, Republic of Korea, 25–30 September 2016. [Google Scholar]
  55. Gong, A.; Verstraete, D. Fuel Cell Propulsion in Small Fixed-Wing Unmanned Aerial Vehicles: Current Status and Research Needs. Int. J. Hydrogen Energy 2017, 42, 21311–21333. [Google Scholar] [CrossRef]
  56. Salucci, F. Design of Electric-Powered Aircraft for Commercial Transportation. Ph.D. Thesis, Politecnico di Milano, Milan, Italy, 2021. [Google Scholar]
  57. Aigner, B.; Sirtori, G. SIENA D2.2: Limitations and Opportunities of Scaling Up Main Technologies and Architecture Crossover Points; Collins Aerospace: Cork, Ireland; Politecnico di Milano: Cork, Ireland, 2023. [Google Scholar]
  58. Aigner, B.; Wehrle, E.; Struiwig, W.; Sirtori, G.; Riboldi, C.; Trainelli, L. Consideration of technology scalability in the design of electric propulsion system architectures. In Proceedings of the Aerospace Europe Conference 2023-Joint 10th EUCASS-9th CEAS Conference, Lausanne, Switzerland, 9–13 July 2023. [Google Scholar]
  59. Clean Aviation Joint Undertaking. Hybrid ElectriC Regional Aircraft Distribution TEchnologies (HECATE). 2024. Available online: https://hecate-project.eu (accessed on 9 September 2024).
  60. MTU Aero Engines. Clean Aviation SWITCH Project to Advance Hybrid-Electric and Water-Enhanced Turbofan Technologies, Press Release. 2022. Available online: https://www.mtu.de/newsroom/press/press-archive/press-archive-detail/clean-aviation-switch-project-to-advance-hybrid-electric-and-water-enhanced-turbofan-technologies/ (accessed on 15 September 2024).
Figure 1. Technology evaluation method [15]. © 2025 Collins Aerospace. All rights reserved.
Figure 1. Technology evaluation method [15]. © 2025 Collins Aerospace. All rights reserved.
Aerospace 12 00240 g001
Figure 2. Innovative propulsion system architectures considered in this work. © 2025 Collins Aerospace. All rights reserved.
Figure 2. Innovative propulsion system architectures considered in this work. © 2025 Collins Aerospace. All rights reserved.
Aerospace 12 00240 g002
Figure 3. Aircraft and systems design process. © 2025 PoliMi. All rights reserved.
Figure 3. Aircraft and systems design process. © 2025 PoliMi. All rights reserved.
Aerospace 12 00240 g003
Figure 4. Mass Growth Factors (MGFs) for MTOM, OEM and fuel for Cat. 3 (left) and 4 (right) aircraft, with a fuel-cell-electric and hydrogen combustion propulsive architecture, respectively. © 2025 PoliMi & Collins Aerospace. All rights reserved.
Figure 4. Mass Growth Factors (MGFs) for MTOM, OEM and fuel for Cat. 3 (left) and 4 (right) aircraft, with a fuel-cell-electric and hydrogen combustion propulsive architecture, respectively. © 2025 PoliMi & Collins Aerospace. All rights reserved.
Aerospace 12 00240 g004
Figure 5. Mass breakdown comparison of Cat. 4 aircraft—conventional vs. hydrogen-powered. © 2025 PoliMi. All rights reserved.
Figure 5. Mass breakdown comparison of Cat. 4 aircraft—conventional vs. hydrogen-powered. © 2025 PoliMi. All rights reserved.
Aerospace 12 00240 g005
Figure 6. Scalability assessment for the 2030 (a,b) and 2050 (c,d) scenarios. Note: No converged feasible designs for the 2030 scenario: BE, BESH and FCE for Category 4 and 5. No converged feasible designs for the 2050 scenario: BE for Cat. 1, 3, 4 and 5; BESH for Cat. 4 and 5. © 2025 Collins Aerospace. All rights reserved.
Figure 6. Scalability assessment for the 2030 (a,b) and 2050 (c,d) scenarios. Note: No converged feasible designs for the 2030 scenario: BE, BESH and FCE for Category 4 and 5. No converged feasible designs for the 2050 scenario: BE for Cat. 1, 3, 4 and 5; BESH for Cat. 4 and 5. © 2025 Collins Aerospace. All rights reserved.
Aerospace 12 00240 g006
Figure 7. Relative PREE as function of fuel cell power density for different GIs (2030 tech. scenario) for Category 3 (regional). © 2025 Collins Aerospace. All rights reserved.
Figure 7. Relative PREE as function of fuel cell power density for different GIs (2030 tech. scenario) for Category 3 (regional). © 2025 Collins Aerospace. All rights reserved.
Aerospace 12 00240 g007
Figure 8. Relative PREE as function of GI (2030 technology scenario) for Category 4 aircraft—HC propulsive architecture. © 2025 Collins Aerospace. All rights reserved.
Figure 8. Relative PREE as function of GI (2030 technology scenario) for Category 4 aircraft—HC propulsive architecture. © 2025 Collins Aerospace. All rights reserved.
Aerospace 12 00240 g008
Table 1. Main TLARs of reference aircraft.
Table 1. Main TLARs of reference aircraft.
Cat.ModelMax
Pax.
Range @Max.
PL [km]
Payload
[kg]
Cruise Alt.
[m]
Cruise Speed
[km/h]
MTOM
[kg]
1Pilatus PC-12 NGX [29]6–93417111467005374740
2Let L410 NG [30]19342230061004177000
3ATR 72-600 [31]68–7814047550700051022,800
4Airbus A320neo [32]194450019,70011,00082878,000
5Airbus A350-900 [33]44010,80053,30012,000903280,000
Table 2. Overview of current regulations and their application to EHPSs. © 2025 PoliMi & Collins Aerospace. All rights reserved.
Table 2. Overview of current regulations and their application to EHPSs. © 2025 PoliMi & Collins Aerospace. All rights reserved.
Component/
Technology
CS-25CS-23CS-E and
CS-APU
CS-26 and
Other
SC E-19 and
MOC-3-SC-VTOL
Electric motors
and generators
Electric power
management,
distribution,
conversion and
protection systems
Thermal management
system
H2-burning jet
engines
Batteries
Fuel cells
LH2 fuel tanks
Legend
Regulations apply or mostly apply
Regulations partially apply/can be derived from existing regs.
Regulations do not apply/do not exist
Not applicable to this technology
Table 3. Estimated effort to close gaps of current regulation for EHPSs. © 2025 PoliMi & Collins Aerospace. All rights reserved.
Table 3. Estimated effort to close gaps of current regulation for EHPSs. © 2025 PoliMi & Collins Aerospace. All rights reserved.
Component/TechnologyCS-25 (Incl. CS-E
& CS-APU)
CS-23 (Incl. CS-E,
CS-APU & SCE-19)
CS-26 &
Other
Electric motors and generators
Electric power management,
distribution, conversion and
protection systems
Thermal management system
Batteries
Fuel cells
LH2 fuel tanks
Legend
Very low effort required
Low effort required
Moderate effort required
High effort required
Very high effort required
Not applicable
Table 4. Parameter constants, state of the art (2020), short-term (2030) and mid-term future (2050).
Table 4. Parameter constants, state of the art (2020), short-term (2030) and mid-term future (2050).
ComponentParameterUnit202020302050Source
E-Motor/GeneratorEfficiency 0.950.950.97MAHEPA 1
Specific weightkW/kg5.7511.116.45MAHEPA
DC/AC ConverterEfficiency 0.950.970.99-
Specific weightkW/kg9919[47]
DCBUSEfficiency 0.990.990.99-
VoltageV540540540-
DC2DC ConverterEfficiency 0.970.970.99[48]
Specific weightkW/kg9956.3[47,48]
BatteryEfficiency 0.950.950.95MAHEPA
Specific weight (power)kW/kg1.3652.2754.2MAHEPA
Specific weight (energy)kWh/kg0.210.351.15MAHEPA
Fuel cellSpecific weightkW/kg0.84.88.8MAHEPA
Cell efficiency 0.60.60.6-
H2 fuel efficiency 0.950.950.95[49]
Hydrogen tankGravimetric index 0.250.40.8[48,50,51,52]
Thermal ManagementPump efficiency 0.850.850.85
Motor controller eff. 0.950.950.95
Specific pump weightkg/kW333[53]
Specific fluid weightkg/m0.7500.750.75
Specific ducting weightkg/m2.52.52.5
1 These values have been obtained via extrapolation considering data presented for 2020 and 2030 in the context of Deliverable 9.3 of the MAHEPA project [54,55,56].
Table 5. Investigated architectures and parameters for switching point identification.
Table 5. Investigated architectures and parameters for switching point identification.
System ArchitectureCat. 1Cat. 2Cat. 3Cat. 4Cat. 5Investigated Parameters
Battery-Electric (BE) Design range
Bat. energy density
2030 tech. scenario
Fuel-Cell-Electric FC power density
(FCE) Gravimetric index
Tech. scenario
Fuel-Cell-Electric FC power density
Parallel Hybrid Gravimetric index
(FCEPH) Tech. scenario
Bat. energy density
Hydrogen Gravimetric index
Combustion (HC) 2030 tech. scenario
Power hybridization factor
Battery-ElectricBat. energy density
Parallel Hybrid (BEPH) 2030 tech scenario
Battery-Electric Bat. energy density
Serial Hybrid (BESH) 2030 tech scenario
Table 6. Summary of switching points.
Table 6. Summary of switching points.
Aircraft CategoryBest-Performing Architectures in This StudyReason
1: General aviationBEPH (2030) FCE/FCEPH (2050)Given that the reference mission requires a high cruise speed and aggressive take-off performance, a fuel-cell-based architecture is strongly impacted by a sizable FC, which causes a degradation of the PREE in 2030 and acceptable results once the specific power of the FC increases (2050). For the 2030 scenario, BEPH offers a more suitable solution leveraging the potential of both batteries and conventional engines.
2: CommuterFCE and FCEPHThe reference mission is limited in range (thus low impact from the integration of the hydrogen tank) and does not require a high installed power, allowing for a significant increase in PREE due to the efficiency of the FC-based propulsive architectures.
3: RegionalFCE and FCEPHSimilar considerations to Category 2, although the impact on PREE is more limited given a higher reference Power-to-Weight ratio, which requires a heavier FC.
4: Short/medium range (single aisle)HC, with FC for non-propulsive powerIn 2030, HC and HC + FCEPH are detrimental, looking at both PREE and MTOM. Advancements in hydrogen storage and FC will enable an improvement in both indicators in 2050.
5: Long range (wide body)HC, with FC for non-propulsive powerSimilar to Cat. 4, the higher initial fuel fraction causes the impact on MTOM and PREE to be more marked.
Disclaimer/Publisher’s Note: The statements, opinions and data contained in all publications are solely those of the individual author(s) and contributor(s) and not of MDPI and/or the editor(s). MDPI and/or the editor(s) disclaim responsibility for any injury to people or property resulting from any ideas, methods, instructions or products referred to in the content.

Share and Cite

MDPI and ACS Style

Sirtori, G.; Aigner, B.; Wehrle, E.; Riboldi, C.E.D.; Trainelli, L. Innovative Aircraft Propulsive Configurations: Technology Evaluation and Operations in the SIENA Project. Aerospace 2025, 12, 240. https://doi.org/10.3390/aerospace12030240

AMA Style

Sirtori G, Aigner B, Wehrle E, Riboldi CED, Trainelli L. Innovative Aircraft Propulsive Configurations: Technology Evaluation and Operations in the SIENA Project. Aerospace. 2025; 12(3):240. https://doi.org/10.3390/aerospace12030240

Chicago/Turabian Style

Sirtori, Gabriele, Benedikt Aigner, Erich Wehrle, Carlo E. D. Riboldi, and Lorenzo Trainelli. 2025. "Innovative Aircraft Propulsive Configurations: Technology Evaluation and Operations in the SIENA Project" Aerospace 12, no. 3: 240. https://doi.org/10.3390/aerospace12030240

APA Style

Sirtori, G., Aigner, B., Wehrle, E., Riboldi, C. E. D., & Trainelli, L. (2025). Innovative Aircraft Propulsive Configurations: Technology Evaluation and Operations in the SIENA Project. Aerospace, 12(3), 240. https://doi.org/10.3390/aerospace12030240

Note that from the first issue of 2016, this journal uses article numbers instead of page numbers. See further details here.

Article Metrics

Back to TopTop