Next Article in Journal
Design of Reverse Bleed Slot for Curved Axisymmetric Inlet Based on Kantrowitz Criterion and Flow Field Characteristics
Previous Article in Journal
Inter-Satellite Link Prediction with Supervised Learning: An Application in Polar Orbits
 
 
Font Type:
Arial Georgia Verdana
Font Size:
Aa Aa Aa
Line Spacing:
Column Width:
Background:
Article

Three-Dimensional Characterization of Residual Stress in Aircraft Riveted Panel Structures

1
School of Mechanical Engineering, Northwestern Polytechnical University, Xi’an 710072, China
2
Xi’an Aircraft Industry Group Co., Ltd., Xi’an 710089, China
*
Author to whom correspondence should be addressed.
Aerospace 2024, 11(7), 552; https://doi.org/10.3390/aerospace11070552
Submission received: 20 May 2024 / Revised: 28 June 2024 / Accepted: 2 July 2024 / Published: 4 July 2024

Abstract

The residual stress field induced by interference-fit riveting in aircraft panel structures significantly affects the fatigue performance around the rivet holes. Common residual stress analytical models often overlook the non-uniformity of interference between the rivet and the hole, which impacts the applicability of these models. Addressing this issue, an analytical model of residual stress around the rivet hole is proposed for a typical single-riveted structure based on the thick-walled cylinder theory and Lame’s equations, considering the non-uniform interference along the axis of the rivet hole. This novel model is then extended to multi-riveted structures in fuselage panels. Using vector synthesis, analytical models for single-row double-rivets and double-row quadruple-rivets configurations were derived. The established analytical models provide a three-dimensional characterization of the residual stress field in typical riveted structures. Finally, the accuracy of the model is verified through X-ray diffraction experiments and FEM simulation results.

1. Introduction

In the aircraft manufacturing process, according to the study by Su et al. [1], the complex residual stress field introduced by interference-fit riveting in aircraft panel structures significantly impacts the fatigue fracture performance around the rivet holes. According to the study by Qi [2], the non-uniform distribution of interference is determined by the characteristics of the riveting process, and the corresponding stress field also exhibits non-uniform distribution characteristics. Common residual stress analytical models used in the literature often overlook the non-uniformity of interference, affecting the applicability of these models and hindering the understanding of the distribution patterns of residual stress.
The field currently faces many challenges, with extensive research being conducted by numerous scholars. Szolwinski et al. [3] used the FEM to study the relationship between the quasistatic riveting force-controlled riveting process and the residual stress field of riveted structures. Lv et al. [4] used a finite element model to investigate the impact of riveting deformation and studied the stress and strain distribution at the joint interface of the connected components. Korbel [5] employed the FEM to examine the effects of riveting process parameters on the residual stress, clamping stress, and the clamping force of riveted joints and observed the fracture morphology of riveted lap joints. Li et al. [6] established a two-dimensional axisymmetric finite element model to present the residual stress distribution and verified it using microstrain gauges. Gao et al. [7] obtained the influence pattern of blank residual stress on machining deformation by constructing a semi-analytical predictive finite element model for the deformation of thin-walled parts during processing. The above literature confirms that the FEM is a commonly used and effective method for studying the riveting process and the distribution of residual stresses at riveted joints. Gadalinska et al. [8] measured the stress distribution around rivets after special surface treatments and polishing using X-ray diffraction. Zhu et al. [9] analyzed the residual stress in a GH4169 alloy using an X-ray residual stress tester. Haque et al. [10] used neutron diffraction technology to measure the residual strain/stress of self-piercing riveted (SPR) joints and proposed the best parameters and conditions for measuring SPR joints. These papers provide a feasible technical method for measuring and analyzing the residual stress distribution in test specimens. Additionally, Muller [11], Rans [12], Gao [13], Figueira [14], and Yu [15], among other scholars both domestic and international, have used the FEM in conjunction with experimental techniques to analyze the residual stress in riveted joints, providing references for the experimental design and simulation conditions set in this paper.
Compared to establishing finite element models or conducting experimental measurements, analytical models for residual stress usually achieve results faster and at a lower cost. Liu et al. [16] proposed a new conical indentation loading residual stress model to describe the relationship between residual stress, material constitutive parameters, load, and displacement. Zheng et al. [17] developed a residual stress model to predict the distribution of residual stress after riveting processes and applied it to predict fatigue life under multiaxial fatigue criteria. Zeng et al. [18] considered the impact of initial fitting and pressing force in riveting and, based on elastoplastic deformation theory, developed an analytical model of residual stress during the riveting process. Jin [19] established an expression for the distribution of residual stress after the rebound of the rivet hole, analyzing the factors affecting riveting deformation. However, Liu et al.’s [16] article has limited descriptions of tangential residual stress and does not consider the impact of axial non-uniform interference. Zheng et al.’s [17] article lacks a more intuitive characterization method for the mentioned model. Zeng et al. [18] considered the impact of uneven rivet expansion, but their study lacks experimental measurements of residual stress data corresponding to the analytical model. Additionally, their work also lacks a more intuitive characterization method. Overall, research related to analytical models for riveting residual stress is limited, and most studies have not considered the impact of non-uniform axial interference fit at the rivet hole, which restricts the model’s applicability to specific axial positions of the rivet hole’s residual stress distribution. The existing literature often presents data for several specific paths but does not provide an intuitive characterization of all points around the rivet hole.
Based on the current state of research, this paper considers the non-uniform axial interference-fit at the rivet hole to develop an analytical model for residual stress, proposing a three-dimensional characterization method for the residual stress field in typical aircraft riveted structures. The accuracy of the residual stress analytical model is verified through X-ray diffraction and FEMs, and the model is applicable for calculating the residual stress field at any axial position of the rivet hole.

2. Formation of Non-Uniform Interference during the Riveting Process

As the punch displacement increases, the shank begins to contact the surface of the connected components, forming the upset head. The friction generated between the upset head and the connected components changes the direction of metal flow (blue arrows in Figure 1), with a small amount of material still flowing into the rivet hole near the upset head side, causing the interference to become uneven. At the same time, the connected components undergo certain elastic deformation due to the pressure of the upset head’s shoulder. The riveting die stops moving when the upset head reaches the target size.
During the riveting process, the pressure exerted on both ends of the shank causes it to contact and deform against the hole walls, thereby exerting a squeezing force on the inside of the rivet hole. Due to the non-uniform distribution of this squeezing force along the axis of the rivet hole, it results in axial expansion of the hole, indicating that the interference is also non-uniform, as shown in Figure 1.
Non-uniform interference generates a complex residual stress field around the rivet hole. This stress field typically includes radial and tangential residual stresses, whose distribution characteristics are directly influenced by the distribution of the interference. Radial residual stresses are primarily generated by the radial compression of the rivet against the hole wall. In contrast, tangential residual stresses result from the plastic deformation of the material during the riveting process. Non-uniform interference leads to the uneven distribution of residual stresses, particularly at different heights and radial positions around the rivet hole, which may increase the stress concentration in the material and thus affect the fatigue performance of the structure.

3. Analytical Model for Residual Stress around Rivet Holes

Considering the non-uniform interference at the rivet hole during the riveting process, an analytical model for the residual stress around the rivet hole is constructed based on the following assumptions:
(1)
The material of the connected components is continuous and isotropic, with properties remaining stable throughout the process;
(2)
The processes of elastic and plastic deformation are independent; initial stress is zero, and the effect of body forces is neglected;
(3)
The riveting die is approximated as a rigid body, and the rivet is positioned at the center of the rivet hole.
These assumptions simplify the theoretical model. According to the results of Li [20], when the outer diameter of a compressed thick-walled cylinder is at least four times its inner diameter, the influence of the outer diameter on the synthesized Mises stress is minor, with a computational error between 5% and 6%. Similarly, Hüyük [21] performed an elastoplastic analysis of rivet holes in interference-fit fasteners, pointing out that when the outer diameter is at least three times the inner diameter, the influence of the outer diameter on the elastic limit interference can be neglected, and the structure can be treated as an infinitely large plate. As shown in Figure 2, the rivet holes on the panel are further simplified into a thick-walled cylindrical model, serving as the basis for the construction of the analytical calculation model.

3.1. Thick-Walled Cylinder Theory

The thick-walled cylinder problem is a very classic problem in elastoplastic mechanics, and many scholars have studied its solutions. Consider a general model of a thick-walled cylinder with an inner diameter a and an outer diameter b. Uniform pressures pa and pb are applied to its inner and outer surfaces, respectively, as shown in Figure 2. For the general thick-walled cylinder problem, it is assumed that the length of the cylinder is much greater than its diameter, the material is ideally elastoplastic, and body forces are neglected, leading to the stress solution of the thick-walled cylinder model, and according to the yield criterion: σ θ   σ   r = β σ s   [22,23,24,25].
Plastic region ( a r r s ):
{ σ r = β σ s ln r a p a σ θ = β σ s ( 1 + ln r a ) p a
Elastic region ( r s r b ):
{ σ r = b 2 / r 2     1   b 2 / r s 2     1 ( β σ s ln r s a p a ) σ θ = b 2 / r 2   +   1   b 2 / r s 2     1 ( β σ s ln r s a p a )
r s represents the radius of the plastic zone. The expansion of the bulging part of the driven head during rivet setting can be approximated as a thick-walled cylinder under internal pressure, with outward expansion. Since the height of the driven head is relatively small, the driven head can be considered as a short thick-walled cylinder with zero inner diameter and can be solved as a sheet stress problem, using β = 1.1 [23].

3.2. Calculation of Internal Pressure and Interference on the Inner Surface of the Hole

The internal pressure pa is related to the range of the plastic zone, the material’s yield strength, the initial diameter of the rivet hole, and the absolute interference. When the skin and longeron materials and sizes are fixed, both the material’s yield strength and the initial diameter of the rivet hole are constants. Therefore, the internal pressure pa is mainly influenced by the range of the plastic zone and the absolute interference, with the range of the plastic zone itself determined by the absolute interference, making pa strongly correlated with the absolute interference Δ c . Based on boundary conditions, the following equation is derived for solving the model [19]:
Assuming the absolute interference of the rivet hole radius is Δ c , and when the radial displacement of the hole wall is Δ c and r = a + Δ c , the relationship between the absolute interference Δ c and the radius of the plastic zone r s can be expressed as follows:
Δ c = ( 1 + ν ) E β σ s [ ( 1 2 ν ) ( ln a + Δ c r s 1 2 ) ( a + Δ c ) + r s 2 a + Δ c ( 1 ν ) ]
When r = r s , the material is in a critical state of plastic yielding and the internal pressure p a can be calculated as follows:
p a = β σ s ln r s a + Δ c + β σ s 2 = β σ s ( ln r s a + Δ c + 1 2 )
Equation (3) is a non-algebraic equation for the radius rs of the plastic zone. If the absolute interference Δ c of the rivet hole is known, the radius of the plastic zone for that layer can be solved, and consequently, the internal pressure of that layer can be calculated. Finally, by substituting this into Equations (6)–(8), the analytical solution for the residual stress of a particular layer can be obtained.
In practice, after riveting is completed, the absolute interference along the axial direction of the rivet hole is non-uniformly distributed [12] and is generally obtained through experimental measurement. In order to quickly obtain the absolute interference amount of the hole diameter at any axial position on the hole wall for subsequent residual stress calculations, we perform Polynomial fitting based on the experimental measurement data of the interference amount, thereby obtaining the expression for the distribution of interference along the axial direction. Since the interference between the outer and inner plates often varies significantly, the interference is generally divided into outer and inner plate sections for separate fitting. The fitted expression for the axial distribution of the hole interference is denoted as:
Δ c = { f ( t ) , 0 t 1 g ( t ) , 1 t 2
In the equation, t represents the axial position of the rivet hole (normalized), f ( t ) is the fitted expression for the axial interference of the rivet hole in the outer plate, and g ( t ) is the fitted expression for the axial interference of the rivet hole in the inner plate.

3.3. Expression for the Residual Stress Distribution of a Single-Rivet Joint

For a single-rivet riveting structure, the connected component can be treated as an infinitely large flat plate, which allows it to be simplified into a thick-walled cylinder with an inner diameter a and an outer diameter b , where p b = 0 , as shown in Figure 2. Combining Equations (1) and (2), the radial stress distribution of the connected component’s hole wall in an axial layer, considering springback, can be obtained, as indicated in Equations (6) and (7).
The stress distribution in the plastic zone is as follows:
{ σ r p = p a + β σ s ln r a + a 2 r 2 p u n σ θ p = p a + β σ s ( 1 + ln r a ) a 2 r 2 p u n a r r s
The stress distribution in the elastic zone is as follows:
{ σ r e = β σ s r s 2 2 r 2 + a 2 r 2 p u n σ θ e = β σ s r s 2 2 r 2 a 2 r 2 P u n r r s
Here, according to Lamé’s equations, the unload stress p u n is represented as:
p u n = E 1 + ν Δ D ( a + Δ D ) a 2
In Equations (1)–(4) and (6)–(8), β represents the stress correction factor and Δ D represents the change in the diameter of the rivet hole after springback.
In summary, by combining Equations (3)–(8), a residual stress analytical model that considers non-uniform axial interference can be constructed. This model can provide analytical solutions for residual stress at any axial and radial position, thus helping to understand and predict the distribution of residual stress in materials during the riveting process.

3.4. Expression for Residual Stress Distribution in Double-Riveted Joints

The calculation of residual stress for double-riveted joints considers the final distribution of residual stresses on any one rivet as influenced by another rivet. Since the residual stress distribution for a single-rivet has already been calculated, the calculation for double-riveted joints involves superimposing the residual stresses based on the single-rivet’s data, taking into account the distribution of elastic–plastic deformation zones for the two rivets, as shown in Figure 3. It is divided into three areas: the first area is the plastic zone of Rivet A, where the residual stress includes the plastic zone stress of Rivet A and the elastic zone stress of Rivet B; the second area is where both Rivet A and Rivet B are within the elastic range, with the residual stress including the elastic zone stress of both Rivet A and Rivet B; the third area is within the plastic zone of Rivet B, where Rivet A is in the elastic range, and the residual stress includes the elastic zone stress of Rivet A and the plastic zone stress of Rivet B.
In the diagram, e x represents the margin in the X-axis direction, e y is the margin in the Y-axis direction, and Z is any point on the sheet. r A and r B are distances from point Z to the centers of rivet holes A and B, respectively.
This section analyzes the residual stress distribution in a double-rivet structure. First, a model for calculating double-rivet residual stress is established based on previous theoretical derivations and relevant formulas.
(1) Constraint conditions:
{ r A = ( x + p 2 ) 2 + y 2 ,   r B = ( x p 2 ) 2 + y 2 e x + p 2 x p 2 + e x e y y e y r A a ,   r B a
(2) Stress distribution in the plastic zone of Rivet A: based on Equations (6) and (7), when point Z is considered to be within the plastic zone of Rivet A, i.e., a r A r s , the stress can be expressed by Equation (10):
{ σ r A = σ r p ( r A ) | cos α | + σ θ p ( r A ) | cos ( π 2 α ) | + σ r e ( r B ) | cos φ | + σ θ e ( r B ) | cos ( π 2 φ ) | σ θ A = σ r p ( r A ) | sin α | + σ θ p ( r A ) | sin ( π 2 α ) | + σ r e ( r B ) | sin φ | + σ θ e ( r B ) | sin ( π 2 φ ) |
(3) Stress distribution in the plastic zone of Rivet B: based on Equations (6) and (7), when point Z is within the plastic zone of Rivet B, i.e., a r B r s , the stress distribution is described by Equation (11):
{ σ r B = σ r e ( r A ) | cos α | + σ θ e ( r A ) | cos ( π 2 α ) | + σ r p ( r B ) | cos φ | + σ θ p ( r B ) | cos ( π 2 φ ) | σ θ B = σ r e ( r A ) | sin α | + σ θ e ( r A ) | sin ( π 2 α ) | + σ r p ( r B ) | sin φ | + σ θ p ( r B ) | sin ( π 2 φ ) |
(4) Stress distribution in the elastic zone: based on Equation (7), when point Z is in the elastic zone, i.e., r A > r s and r B > r s , the stress distribution follows the expression:
{ σ r C = σ r e ( r A ) | cos α | + σ θ e ( r A ) | cos ( π 2 α ) | + σ r e ( r B ) | cos φ | + σ θ e ( r B ) | cos ( π 2 φ ) | σ θ C = σ r e ( r A ) | sin α | + σ θ e ( r A ) | sin ( π 2 α ) | + σ r e ( r B ) | sin φ | + σ θ e ( r B ) | sin ( π 2 φ ) |

3.5. Expression for the Residual Stress Distribution in Double-Row Quadruple-Rivet Configurations

The calculation of residual stress for double-row quadruple-rivet configurations considers the residual stress distribution in the connected component after the completion of double-row quadruple-rivet riveting. This calculation involves superimposing the residual stresses based on the single-rivet calculation model and takes into account the distribution of the elastic–plastic deformation zones for the quadruple-rivets, as shown in Figure 4. The regions are divided into five areas: four plastic zones, one for each rivet, where the residual stress includes the plastic zone stress of that rivet and the elastic zone stress of the other three rivets; the fifth area is where all quadruple-rivets are within the elastic range, with the residual stress including the elastic zone stress of all quadruple-rivets.
In Figure 4, e x represents the margin in the X-axis direction, e y is the margin in the Y-axis direction, Z is any point on the sheet, and r A , r B , r C , and r D are the distances from point Z to the centers of rivet holes A, B, C, and D, respectively. The coordinate system is as shown in Figure 4.
This section analyzes the residual stress distribution in the double-row quadruple-rivet structure. Initially, a model for calculating double-row quadruple-rivet residual stress is established based on the theoretical derivations and relevant formulas provided in the previous chapters. This model encompasses the following key equations:
(1) Constraint conditions:
The coordinate range for any point Z on the sheet is:
{ r A = ( x + p 2 ) 2 + ( y p 2 ) 2 ,   r B = ( x p 2 ) 2 + ( y p 2 ) 2 r C = ( x + p 2 ) 2 + ( y + p 2 ) 2 ,   r D = ( x p 2 ) 2 + ( y + p 2 ) 2 e x + p 2 x p 2 + e x ,   e y + p 2 y e y + p 2 r A a , r B a , r C a , r D a
(2) Stress distribution in the plastic zone of Rivet A: based on Equations (6) and (7), when considering that point Z is within the plastic zone of Rivet A, i.e., when a r A r s , the stress can be expressed by the following equation:
{ σ r A = σ r p ( r A ) | cos α | + σ θ p ( r A ) | cos ( π 2 α ) | + σ r e ( r B ) | cos φ | + σ θ e ( r B ) | cos ( π 2 φ ) | + σ r e ( r C ) | cos γ | + σ θ e ( r C ) | cos ( π 2 γ ) | + σ r e ( r D ) | cos ω | + σ θ e ( r D ) | cos ( π 2 ω ) | σ θ A = σ r p ( r A ) | sin α | + σ θ p ( r A ) | sin ( π 2 α ) | + σ r e ( r B ) | sin φ | + σ θ e ( r B ) | sin ( π 2 φ ) | + σ r e ( r C ) | sin γ | + σ θ e ( r C ) | sin ( π 2 γ ) | + σ r e ( r D ) | sin ω | + σ θ e ( r D ) | sin ( π 2 ω ) |
(3) Stress distribution in the plastic zone of Rivet B: based on Equations (6) and (7), when point Z is within the plastic zone of Rivet B, i.e., when a r B r s , the stress distribution is described by the following equation:
{ σ r B = σ r e ( r A ) | cos α | + σ θ e ( r A ) | cos ( π 2 α ) | + σ r p ( r B ) | cos φ | + σ θ p ( r B ) | cos ( π 2 φ ) | + σ r e ( r C ) | cos γ | + σ θ e ( r C ) | cos ( π 2 γ ) | + σ r e ( r D ) | cos ω | + σ θ e ( r D ) | cos ( π 2 ω ) | σ θ B = σ r e ( r A ) | sin α | + σ θ e ( r A ) | sin ( π 2 α ) | + σ r p ( r B ) | sin φ | + σ θ p ( r B ) | sin ( π 2 φ ) | + σ r e ( r C ) | sin γ | + σ θ e ( r C ) | sin ( π 2 γ ) | + σ r e ( r D ) | sin ω | + σ θ e ( r D ) | sin ( π 2 ω ) |
(4) Stress distribution in the plastic zone of Rivet C: based on Equations (6) and (7), when point Z is within the plastic zone of Rivet C, i.e., when a r C r s , the stress distribution is described by the following equation:
{ σ r C = σ r e ( r A ) | cos α | + σ θ e ( r A ) | cos ( π 2 α ) | + σ r e ( r B ) | cos φ | + σ θ e ( r B ) | cos ( π 2 φ ) | + σ r p ( r C ) | cos γ | + σ θ p ( r C ) | cos ( π 2 γ ) | + σ r e ( r D ) | cos ω | + σ θ e ( r D ) | cos ( π 2 ω ) | σ θ C = σ r e ( r A ) | sin α | + σ θ e ( r A ) | sin ( π 2 α ) | + σ r e ( r B ) | sin φ | + σ θ e ( r B ) | sin ( π 2 φ ) | + σ r p ( r C ) | sin γ | + σ θ p ( r C ) | sin ( π 2 γ ) | + σ r e ( r D ) | sin ω | + σ θ e ( r D ) | sin ( π 2 ω ) |
(5) Stress distribution in the plastic zone of Rivet D: based on Equations (6) and (7), when point Z is within the plastic zone of Rivet D, i.e., when a r D r s , the stress distribution is described by the following equation:
{ σ r D = σ r e ( r A ) | cos α | + σ θ e ( r A ) | cos ( π 2 α ) | + σ r e ( r B ) | cos φ | + σ θ e ( r B ) | cos ( π 2 φ ) | + σ r e ( r C ) | cos γ | + σ θ e ( r C ) | cos ( π 2 γ ) | + σ r p ( r D ) | cos ω | + σ θ p ( r D ) | cos ( π 2 ω ) | σ θ D = σ r e ( r A ) | sin α | + σ θ e ( r A ) | sin ( π 2 α ) | + σ r e ( r B ) | sin φ | + σ θ e ( r B ) | sin ( π 2 φ ) | + σ r e ( r C ) | sin γ | + σ θ e ( r C ) | sin ( π 2 γ ) | + σ r p ( r D ) | sin ω | + σ θ p ( r D ) | sin ( π 2 ω ) |
(6) Stress distribution in the elastic zone: based on Equation (7), when point Z is in the elastic zone, i.e., when r A , r B , r C , and r D are all greater than r s , the stress distribution follows the expression:
{ σ r E = σ r e ( r A ) | cos α | + σ θ e ( r A ) | cos ( π 2 α ) | + σ r e ( r B ) | cos φ | + σ θ e ( r B ) | cos ( π 2 φ ) | + σ r e ( r C ) | cos γ | + σ θ e ( r C ) | cos ( π 2 γ ) | + σ r e ( r D ) | cos ω | + σ θ e ( r D ) | cos ( π 2 ω ) | σ θ E = σ r e ( r A ) | sin α | + σ θ e ( r A ) | sin ( π 2 α ) | + σ r e ( r B ) | sin φ | + σ θ e ( r B ) | sin ( π 2 φ ) | + σ r e ( r C ) | sin γ | + σ θ e ( r C ) | sin ( π 2 γ ) | + σ r e ( r D ) | sin ω | + σ θ e ( r D ) | sin ( π 2 ω ) |

4. Experimental Verification and Results Analysis

4.1. Material and Dimensions of the Riveted Structure

The riveted structure consists of two 1.0 mm thick 2024T3 aluminum alloy plates, joined at the center by a single 3.2 mm diameter 2117-T4 aluminum rivet. The riveting of a universal head rivet with a length of 6.4 mm (U.S. military specification MS20426AD44) was investigated. In the constructed finite element model, the friction coefficient at each contact surface of the riveted structure was set to 0.18 [26]. To simulate the plastic behavior of the material, a power-law hardening model was employed:
σ t r u e = k ( ε t u r e ) n
In the equation, σ t r u e represents the true stress; k is the strength coefficient; ε t r u e denotes the true strain; and n is the hardening exponent.
The material properties of the rivet and the components being joined are as shown in Table 1.

4.2. Fitting of Rivet Hole Interference

According to the study by Rans et al. [12], the absolute interference amount and axial distribution of the rivet hole radius in the riveted structure under a riveting force of 8900 N can be observed, as shown in Figure 5a. Additionally, using the formulas, the corresponding axial distribution of the internal pressure on the hole wall can be calculated, as illustrated in Figure 5b.
(1) Expression for Outer Plate Interference Amount
The absolute interference amount of the outer plate is smaller and more uniform; therefore, a second-order polynomial is used for fitting. The expression for the outer plate interference amount is obtained as follows:
Δ c o u t = 0.004554 t 2 0.007129 t + 0.003373 ( 0 t 1 )
In the equation, Δ c o u t represents the absolute interference amount of the outer plate.
(2) Expression for Inner Plate Interference Amount
The interference amount of the inner plate is unevenly distributed along the axial direction. A third-order polynomial is chosen for fitting and approximation. The derived expression is as follows:
Δ c i n = 0.2222 t 3 0.9112 t 2 1.235 t 0.5361 ( 1 t 2 )
In the equation, Δ c i n represents the absolute interference amount of the inner plate.
(3) From the above, the final expression for the distribution of the absolute riveting interference amount at axial positions can be obtained as follows:
Δ c = { 0.004554 t 2 0.007129 t + 0.003373 ( 0 t 1 ) 0.2222 t 3 0.9112 t 2 1.235 t 0.5361 ( 1 t 2 )
The axial distribution of the final absolute interference amount is shown in Figure 6:

4.3. Model Validation

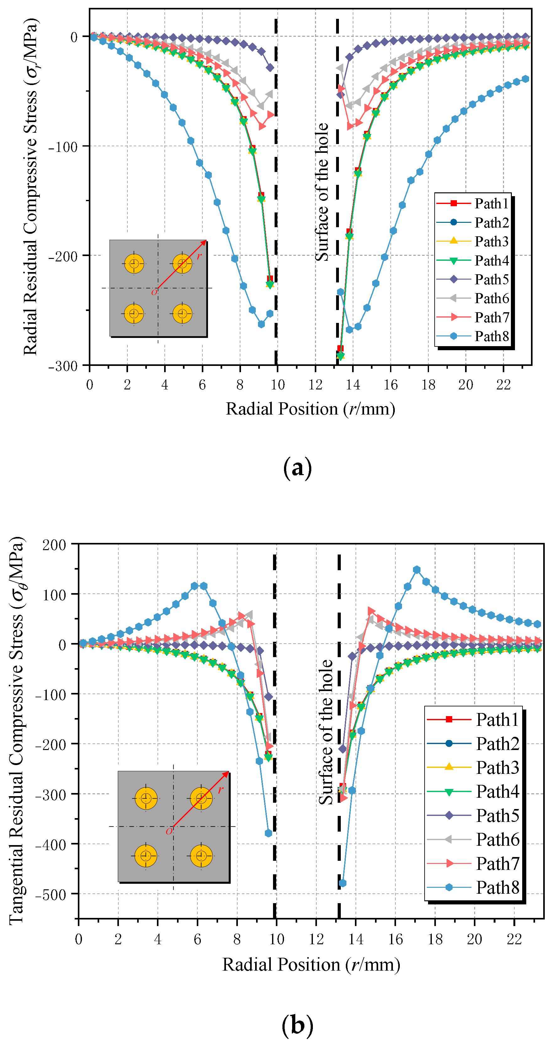
To more specifically illustrate the stress distribution within the plated structure with holes, the residual stress distribution along 8 paths is selected, as shown in Figure 7. The results of the analytical model are compared and validated against those from the finite element analysis. Specifically, Path1, Path2, Path3, Path4, Path5, Path6, Path7, and Path8 correspond to the free surface (upper surface) of the outer plate, one-third into the thickness of the outer plate, two-thirds into the thickness of the outer plate, the joint surface of the outer plate, the bonding surface of the inner plate, one-third into the thickness of the inner plate, two-thirds into the thickness of the inner plate, and the free surface (lower surface) of the inner plate, respectively.
To verify the accuracy of the residual stress analytical calculation model results, three types of typical riveting tests were organized, including single-rivet, double-rivet, and quadruple-rivet configurations. Due to the need for precise control over the riveting force and the loading/unloading process, a universal testing machine was used to complete the riveting of the test pieces. The maximum riveting force was 8900 N, with a loading speed of 5 mm/min, as shown in Figure 8a,b [12]. The material, dimensions, and inspection points of the test pieces are as per Table 1, and shown in Figure 8c–e [5,22].
Residual stress measurements were performed on specified points on the rivet head side and the swaged end side of the test pieces using X-ray diffraction (XRD), as illustrated in Figure 9. It should be noted that, without processing the test pieces, X-rays struggle to completely penetrate metal and can only measure residual stresses on the outer surfaces of the joined components. Moreover, due to the obstruction from the rivet head and swaged end, stresses beneath these areas are also difficult to measure, resulting in limited effective measurement data. In light of this, the incorporation of finite element model (FEM) calculations is considered to enhance the validity of the verification. The FEM simulation was performed using Abaqus. We used a dynamic, explicit analysis step. The material for the sheet is 2024-T3 aluminum alloy, the rivet material is 2117-T4 aluminum alloy, and the material for the die and punch is steel, with the remaining settings as rigid bodies. The interaction types are all contacts. The sheet is rigidly fixed, the die moves to the surface of the manufactured head during riveting, and the punch applies displacement and load for riveting. The finite element mesh consists of hexahedral elements. The approximate global mesh size is 0.1. The mesh for the sheet is generated using the sweep technique, while the mesh for the rivet, die, and punch is generated using structured meshing techniques.
Figure 10 shows the comparison between the FEM results, analytical calculation results (ANS), and XRD measurements along Paths 1 and 8.
The comparison results are as follows:
(1) Overall, both the finite element model and the analytical model are able to predict the distribution trends of residual stresses well.
(2) The analytical model adopted more assumptions and moderate simplifications during its construction. Despite this, the results from the analytical model remain within an acceptable range and its computational efficiency is significantly higher than that of the finite element model. For example, in the residual stress calculation of a single rivet, the analytical solution takes about 2 to 3 min on the same computer, whereas the FEM simulation takes around five hours. This demonstrates that the calculation efficiency of the analytical model is hundreds of times higher.
(3) Further observation revealed that in the analytical model of residual stresses, the accuracy of the results for single-rivet structures is higher than that for multiple-rivet structures. This phenomenon can be attributed to the need to superimpose residual stresses between different rivets in multi-rivet structures. However, the superimposition effect of residual stresses in practice is extremely complex, and the analytical model needs to consider this superposition effect more extensively.

4.4. Analysis of Single-Rivet Results

Based on the analytical model of the single-rivet derived in Section 3.4, the distribution of residual stresses around the rivet hole in a single-rivet riveted structure was obtained. The results illustrate the detailed distribution of radial and tangential residual stresses, presented in the form of a heatmap as shown in Figure 11.
The residual stresses calculated along Paths 1 to 8 are plotted as residual stress distribution curves, as shown in Figure 12. The radial residual stresses within the single-riveted plate primarily manifest as compressive stresses. These stress distribution curves show a consistent trend, gradually approaching zero as the distance from the rivet hole increases. Generally, tangential residual stresses are considered key factors affecting the fatigue life of structures [27]. There is a significant amount of residual tangential compressive stress in the surface area of the hole wall. The tangential residual stress calculated by the single-rivet analytical model ranges from approximately −550 MPa to 150 MPa. The presence of tangential compressive stress is extremely beneficial for extending the fatigue life of the structure. As the radial position increases, the tangential stress gradually transitions to tensile stress, with the maximum values appearing on the outer surface of the outer plate. As the radial position increases further, all stresses tend to zero.
Additionally, it is noteworthy that the radial and tangential residual stress curves at Path 4, which is the joint surface of the outer plate, exhibit significant differences compared to other locations. This indicates that the single-rivet residual stress analytical model may have some discrepancies in predicting the stress state at the outer plate’s bonding surface.

4.5. Analysis of Double-Rivet Results

4.5.1. Three-Dimensional Characterization of Stress Distribution

Based on the double-rivet analytical model derived in Section 3.4, the calculation results are shown in Figure 13 and Figure 14, where t = 0, t = −1, and t = −2 correspond to the outer surface of the outer plate, the inner surface of the inner plate at the joint interface, and the outer surface of the inner plate, respectively.

4.5.2. Residual Stress Distribution Curves at Different Heights within the Plate

Figure 15 compares the analytical calculation results of the residual stress distribution along Paths 1 to 8 within the plate. It is observed that the residual stresses at various heights within the plate are predominantly compressive.
It is noteworthy that the stress distribution curves from Path1 to Path4 almost completely overlap. This phenomenon may be due to the axial interference amount fitted at the rivet hole being small and numerically similar in the outer plate area, resulting in very close computed residual stress results. The tangential residual stress, which has a more significant impact on fatigue life, shows some tensile stress in Paths 6 to 8, while the remaining paths are primarily compressive. This distribution may be related to the direction of material flow during the formation of the rivet’s swaged head. Particularly, the presence of tensile stress in the inner plate may originate from the impact of the swaging process on the residual stress distribution in the plates. However, it is important to emphasize that near the hole, the residual stresses are still predominantly compressive, which is beneficial for extending the structural fatigue life.

4.6. Analysis of Double-Row Quadruple-Rivet Results

4.6.1. Stress Distribution Characterization

Based on the double-rivet analytical model developed in Section 3.5, the calculation results are presented in Figure 16 and Figure 17, where t = 0, t = −1, and t = −2, respectively, correspond to the outer surface of the outer plate, the inner surface of the inner plate at the joint interface, and the outer surface of the inner plate.

4.6.2. Residual Stress Distribution Curves at Different Axial Heights within the Plate

Considering that metal cracks tend to occur near rivet holes and taking into account the symmetry of the double-row of a quadruple-rivets riveted structure, the residual stress distribution along the diagonal direction through the rivet holes of the plate was specifically plotted and analyzed, as shown in Figure 18.
The residual stress distribution characteristics of this riveted structure are similar to those of the double-rivet structure. As the distance from the rivet hole increases, the compressive stress gradually decreases and approaches zero. In terms of tangential residual stresses, they are predominantly compressive, although some tensile stresses are present. Notably, along Path8 on the swaged head side, although the maximum tensile stress is relatively high, there is still significant compressive stress at the hole wall, which helps to enhance fatigue life.
Furthermore, the similarity in the residual stress distribution characteristics between the double-row of quadruple-rivets and the double-rivet structures suggests that the rivet spacing and row spacing in the experimental riveted structures are relatively large. Therefore, the stress state within the plate is mainly influenced by nearby rivets, with less impact from more distant rivets. This observation not only validates the rationality of simplifying the riveted structure into a thick-walled cylindrical model but also provides important references for determining rivet spacing and row spacing during the design process. This analysis aids in optimizing the design of riveted structures, thereby enhancing their overall performance and fatigue life.

5. Conclusions

(1) The three-dimensional characterization method of the residual stress field proposed in this work is proven to be effective, providing a stress distribution that generally follows the same trends as the experimental data, especially in terms of tangential residual stress. This result is significant for understanding and predicting the impact of residual stresses on the fatigue performance of aircraft riveted structures.
(2) Traditionally, by establishing a cylindrical coordinate system at the geometric center on the surface of the outer panel and directing the positive Z-axis towards the outside of the plate, we can better observe and analyze the distribution of residual stresses. This method reveals that within the same horizontal sheet inside the plate, the radial and tangential residual stress fields are symmetrical with respect to the axis of symmetry of the plate, while along the axial direction of the rivet holes, i.e., at different axial heights, the distribution of residual stresses is uneven.
(3) The uneven deformation of the rivets during the riveting process is the main reason for the uneven distribution of internal pressure along different heights of the inner wall of the rivet hole. Although there is a significant deviation in the predicted values of radial residual stresses compared to finite element simulation results, the predicted results for tangential residual stresses show smaller deviations and the overall trend consistency is high. Considering that tangential residual stress is often regarded as one of the significant factors affecting structural fatigue performance, the analysis and discussion of tangential residual stress in this study are of significant importance.
(4) The analytical model established in this paper is highly efficient, providing an effective tool for studying the distribution of residual stresses, especially the impact of riveting tangential residual stress distribution on the fatigue performance of aircraft riveted structures. In future work, we will further explore how to enhance the fatigue performance of aircraft panel riveting by altering the distribution of tangential residual stress around the rivet hole based on the analytical model and three-dimensional characterization methods mentioned in this paper.

Author Contributions

Software, G.L.; Writing—original draft, Y.K., H.X. and Z.W.; Writing—review & editing, H.X. and Z.W.; Visualization, G.L.; Supervision, Y.K.; Funding acquisition, Y.C. All authors have read and agreed to the published version of the manuscript.

Funding

This research received the funding support to this research from The National Natural Science Foundation of China (Grant No. 52375517), the Key Projects of The National Natural Science Foundation of China (Grant No. 92067205), the Aeronautical Science Foundation of China (Grant No. 2018ZE53050).

Data Availability Statement

The original contributions presented in the study are included in the article, further inquiries can be directed to the corresponding author.

Conflicts of Interest

Author Yonggang Chen was employed by the company Xi’an Aircraft Industry Group Co., Ltd. The remaining authors declare that the research was conducted in the absence of any commercial or financial relationships that could be construed as a potential conflict of interest.

References

  1. Su, R.; Huang, L.; Xu, C.; He, P.; Wang, X.; Yang, B.; Wu, D.; Wang, Q.; Dong, H.; Ma, H. Factors Influencing Residual Stresses in Cold Expansion and Their Effects on Fatigue Life—A Review. Coatings 2023, 13, 2037. [Google Scholar] [CrossRef]
  2. Qi, Z.; Zhang, Z.; Xiao, Y.; Wang, X. Analysis of Plastic Improvement and Interference Behavior in Current-Assisted Riveting of CFRP Laminates. Materials 2022, 15, 1673. [Google Scholar] [CrossRef] [PubMed]
  3. Szolwinski, M.P.; Farris, T.N. Linking riveting process parameters to the fatigue performance of riveted aircraft structures. J. Aircr. 2000, 37, 130–137. [Google Scholar] [CrossRef]
  4. Lv, G.; Li, C.; Zhao, C.; Jia, D.; Zhang, X.; Zhang, H.; Huang, W. Research on theoretical prediction method of rivet-forming quality considering different riveted structure parameters. Int. J. Adv. Manuf. Technol. 2024, 132, 2333–2345. [Google Scholar] [CrossRef]
  5. Korbel, A. Effect of aircraft rivet installation process and production variables on residual stress, clamping force and fatigue behaviour of thin sheet riveted lap joints. Thin-Walled Struct. 2022, 181, 110041. [Google Scholar] [CrossRef]
  6. Li, G.; Shi, G.Q. Effect of the riveting process on the residual stress in fuselage lap joints. Can. Aeronaut. Space J. 2004, 50, 91–105. [Google Scholar] [CrossRef]
  7. Gao, H.; Zhang, Y.; Wu, Q.; Li, B. Investigation on influences of initial residual stress on thin-walled part machining deformation based on a semi-analytical model. J. Mater. Process. Technol. 2018, 262, 437–448. [Google Scholar] [CrossRef]
  8. Gadalińska, E.; Kaniowski, J.; Wojtas, A. Stress measurements with X-ray diffractometry of aluminium alloys. Determination of the most optimized parameters of the measurement. In Bridging the Gap between Theory and Practice, Proceedings of the 25th ICAF Symposium, Rotterdam, The Netherlands, 27–29 May 2009; Boss, M.J., Ed.; Springer: Dordrecht, The Netherlands; Berlin/Heidelberg, Germany; London, UK; New York, NY, USA, 2009; pp. 1285–1304. [Google Scholar]
  9. Zhu, W.; Zhao, F.; Yin, S.; Liu, Y.; Yang, R. Effect of tensile deformation on residual stress of GH4169 alloy. Materials 2021, 14, 1773. [Google Scholar] [CrossRef]
  10. Haque, R.; Durandet, Y.; Wong, Y.C.; Paradowska, A.; Beynon, J.H.; Blacket, S. Optimising parameters for meaningful measurement of residual strain by neutron diffraction in self-pierce riveted joints. Sci. Technol. Weld. Join. 2013, 18, 492–499. [Google Scholar] [CrossRef]
  11. Muller, R.P. An Experimental and Analytical Investigation on the Fatigue Behavior of Fuselage Riveted Lap Joints. Ph.D. Thesis, Delft University of Technology, Delft, The Netherlands, 1995. [Google Scholar]
  12. Rans, C.; Straznicky, P.V.; Alderliesten, R. Riveting process induced residual stresses around solid rivets in mechanical joints. J. Aircr. 2007, 44, 323–329. [Google Scholar] [CrossRef]
  13. Gao, H.; Li, X.; Wu, Q.; Lin, M.; Zhang, Y. Effects of residual stress and equivalent bending stiffness on the dimensional stability of the thin-walled parts. Int. J. Adv. Manuf. Technol. 2022, 119, 4907–4924. [Google Scholar] [CrossRef]
  14. Figueira, J.A.; Trabasso, L.G.; Silva, A.V.; Soviero, P.A. Shape effects on airfoils induced by riveting. J. Braz. Soc. Mech. Sci. Eng. 2022, 44, 285. [Google Scholar] [CrossRef]
  15. Yu, H.; Zheng, B.; Xu, X.; Lai, X. Residual stress and fatigue behavior of riveted lap joints with various riveting sequences, rivet patterns, and pitches. Proc. Inst. Mech. Eng. Part B J. Eng. Manuf. 2019, 233, 2306–2319. [Google Scholar] [CrossRef]
  16. Liu, X.K.; Cai, L.X.; Chen, H. Residual stress indentation model based on material equivalence. Chin. J. Aeronaut. 2022, 35, 304–313. [Google Scholar] [CrossRef]
  17. Zheng, B.; Yu, H.; Lai, X.; Lin, Z. Analysis of Residual Stresses Induced by Riveting Process and Fatigue Life Prediction. J. Aircr. 2016, 53, 1431–1438. [Google Scholar] [CrossRef]
  18. Zeng, C.; Liao, W.H.; Tian, W. Influence of initial fit tolerance and squeeze force on the residual stress in a riveted lap joint. Int. J. Adv. Manuf. Technol. 2015, 81, 1643–1656. [Google Scholar] [CrossRef]
  19. Jin, K.; Wang, H.; Tao, J.; Tian, J. Effect of the interference fit on the stress distribution and failure mode of a flat-head riveted GLARE joint. Compos. Struct. 2020, 235, 111788. [Google Scholar] [CrossRef]
  20. Li, Y.J. An Analysis of Riveting Process by Theoretical, Nonlinear Finite Element and Experimental Methods. Ph.D. Thesis, Wichita State University, Wichita, KS, USA, 1998. [Google Scholar]
  21. Hüyük, H.; Music, O.; Koç, A.; Karadoğan, C.; Bayram, Ç. Analysis of elastic-plastic interference-fit joints. Procedia Eng. 2014, 81, 2030–2035. [Google Scholar] [CrossRef]
  22. Miracle, D.B.; Donaldson, S.L.; Henry, S.D.; Moosbrugger, C.; Anton, G.J.; Sanders, B.R.; Hrivnak, N.; Terman, C.; Kinson, J.; Muldoon, K.W., Jr.; et al. ASM Handbook; ASM International: Materials Park, OH, USA, 2001. [Google Scholar]
  23. Hashiguchi, K. Elastoplasticity Theory; Springer: Berlin/Heidelberg, Germany, 2009; Volume 42. [Google Scholar]
  24. Chang, Z.P.; Wang, Z.Q.; Wang, B.B.; Kang, Y.; Luo, Q. Riveting force computation model based on formed head in homogeneous deformation. Acta Aeronaut. Astronaut. Sin. 2016, 37, 2312–2320. [Google Scholar]
  25. Boër, C.R.; Rebelo, N.M.; Rydstad, H.A.; Schröder, G. Process Modelling of Metal Forming and Thermomechanical Treatment; Springer Science & Business Media: Berlin/Heidelberg, Germany, 2012. [Google Scholar]
  26. Ryan, L.; Monaghan, J. Failure mechanism of riveted joint in fibre metal laminates. J. Mater. Process. Technol. 2000, 103, 36–43. [Google Scholar] [CrossRef]
  27. Zeng, C.; Tian, W.; Liao, W.H. Improved model concerning driven rivet head dimensions based on material flow characteristics. J. Aircr. 2016, 53, 1180–1185. [Google Scholar] [CrossRef]
Figure 1. Formation of Non-Uniform Interference in Riveting. (a) Single-Rivet Riveting Structure; (b) Non-Uniform Interference After Driven Head Formation.
Figure 1. Formation of Non-Uniform Interference in Riveting. (a) Single-Rivet Riveting Structure; (b) Non-Uniform Interference After Driven Head Formation.
Aerospace 11 00552 g001
Figure 2. Schematic Diagram of the Thick-Walled Cylinder Problem. (a) Panel Structure; (b) Riveted Structure; (c) Thick-walled Cylinder.
Figure 2. Schematic Diagram of the Thick-Walled Cylinder Problem. (a) Panel Structure; (b) Riveted Structure; (c) Thick-walled Cylinder.
Aerospace 11 00552 g002
Figure 3. Schematic Diagram of the Double-Rivet Structure.
Figure 3. Schematic Diagram of the Double-Rivet Structure.
Aerospace 11 00552 g003
Figure 4. Schematic Diagram of a Quadruple-Rivet Structure.
Figure 4. Schematic Diagram of a Quadruple-Rivet Structure.
Aerospace 11 00552 g004
Figure 5. Axial Distribution of Rivet Hole Interference Amount and Internal Pressure on Surface of the Hole. (a) Rivet Hole Interference Amount; (b) Internal Pressure on the Surface of the Hole.
Figure 5. Axial Distribution of Rivet Hole Interference Amount and Internal Pressure on Surface of the Hole. (a) Rivet Hole Interference Amount; (b) Internal Pressure on the Surface of the Hole.
Aerospace 11 00552 g005
Figure 6. Fitting Results for the Absolute Interference Amount of Rivet Hole Radius.
Figure 6. Fitting Results for the Absolute Interference Amount of Rivet Hole Radius.
Aerospace 11 00552 g006
Figure 7. Axial Positions of Residual Stress in Simulation Results.
Figure 7. Axial Positions of Residual Stress in Simulation Results.
Aerospace 11 00552 g007
Figure 8. Test Piece Riveting and Residual Stress Measurement Points. (a) MTS E45.105 electromechanical universal testing of 100 kN; (b) Riveted Test Piece; (c) Single-Rivet Structure; (d) Double-Rivet Riveting Structure; (e) Quadruple-Rivet Structure.
Figure 8. Test Piece Riveting and Residual Stress Measurement Points. (a) MTS E45.105 electromechanical universal testing of 100 kN; (b) Riveted Test Piece; (c) Single-Rivet Structure; (d) Double-Rivet Riveting Structure; (e) Quadruple-Rivet Structure.
Aerospace 11 00552 g008
Figure 9. Residual Stress Measurement of the Test Specimen.
Figure 9. Residual Stress Measurement of the Test Specimen.
Aerospace 11 00552 g009
Figure 10. Comparison of Residual Stress Results from Finite Element, Analytical Solution, and XRD. (a) Radial Residual Stress of a Single-Rivet; (b) Radial Residual Stress of Double-Rivets; (c) Radial Residual Stress of a Double-Row of Quadruple-Rivets; (d) Tangential Residual Stress of a Single-Rivet; (e) Radial Residual Stress of Double-Rivets; (f) Radial Residual Stress of a Double-Row of Quadruple-Rivets.
Figure 10. Comparison of Residual Stress Results from Finite Element, Analytical Solution, and XRD. (a) Radial Residual Stress of a Single-Rivet; (b) Radial Residual Stress of Double-Rivets; (c) Radial Residual Stress of a Double-Row of Quadruple-Rivets; (d) Tangential Residual Stress of a Single-Rivet; (e) Radial Residual Stress of Double-Rivets; (f) Radial Residual Stress of a Double-Row of Quadruple-Rivets.
Aerospace 11 00552 g010
Figure 11. The Residual Stress Distribution from Riveting Calculated by the Single-Rivet Analytical Model. (a) Radial Residual Stress Distribution; (b) Tangential Residual Stress Distribution.
Figure 11. The Residual Stress Distribution from Riveting Calculated by the Single-Rivet Analytical Model. (a) Radial Residual Stress Distribution; (b) Tangential Residual Stress Distribution.
Aerospace 11 00552 g011
Figure 12. Residual Stress Distribution Curves At Different Positions Within The Single-Rivet Plate Obtained From Analytical Calculations. (a) Radial Residual Stress Distribution; (b) Tangential Residual Stress Distribution.
Figure 12. Residual Stress Distribution Curves At Different Positions Within The Single-Rivet Plate Obtained From Analytical Calculations. (a) Radial Residual Stress Distribution; (b) Tangential Residual Stress Distribution.
Aerospace 11 00552 g012
Figure 13. Radial Residual Stress Distribution Calculated By The Double-Rivet Analytical Model.
Figure 13. Radial Residual Stress Distribution Calculated By The Double-Rivet Analytical Model.
Aerospace 11 00552 g013
Figure 14. Tangential Residual Stress Distribution Calculated By The Double-Rivet Analytical Model.
Figure 14. Tangential Residual Stress Distribution Calculated By The Double-Rivet Analytical Model.
Aerospace 11 00552 g014
Figure 15. Residual Stress Distribution Curves At Different Positions Within The Double-Rivet Plate Obtained From Analytical Calculations. (a) Radial Residual Stress; (b) Tangential Residual Stress.
Figure 15. Residual Stress Distribution Curves At Different Positions Within The Double-Rivet Plate Obtained From Analytical Calculations. (a) Radial Residual Stress; (b) Tangential Residual Stress.
Aerospace 11 00552 g015
Figure 16. Radial Residual Stress Distribution Calculated By The Double-Row Quadruple-Rivet Analytical Model.
Figure 16. Radial Residual Stress Distribution Calculated By The Double-Row Quadruple-Rivet Analytical Model.
Aerospace 11 00552 g016
Figure 17. Tangential Residual Stress Distribution Calculated By The Double-Row Quadruple-Rivet Analytical Model.
Figure 17. Tangential Residual Stress Distribution Calculated By The Double-Row Quadruple-Rivet Analytical Model.
Aerospace 11 00552 g017
Figure 18. Residual Stress Distribution Curves At Different Positions Within The Double-Row Quadruple-Rivet Plate Obtained From Analytical Calculations. (a) Radial Residual Stress; (b) Tangential Residual Stress.
Figure 18. Residual Stress Distribution Curves At Different Positions Within The Double-Row Quadruple-Rivet Plate Obtained From Analytical Calculations. (a) Radial Residual Stress; (b) Tangential Residual Stress.
Aerospace 11 00552 g018
Table 1. Material Properties of the Rivet and Aluminum Alloy Plates.
Table 1. Material Properties of the Rivet and Aluminum Alloy Plates.
Material2024-T3 Plates2117-T4 Rivets
Young’s Modulus/MPa72,40072,400
Poisson’s Ratio/ ν 0.330.33
Yield Strength/MPa290170
Strength Coefficient/MPa530544
Hardening Exponent/n0.100.23
Disclaimer/Publisher’s Note: The statements, opinions and data contained in all publications are solely those of the individual author(s) and contributor(s) and not of MDPI and/or the editor(s). MDPI and/or the editor(s) disclaim responsibility for any injury to people or property resulting from any ideas, methods, instructions or products referred to in the content.

Share and Cite

MDPI and ACS Style

Kang, Y.; Xiao, H.; Wang, Z.; Li, G.; Chen, Y. Three-Dimensional Characterization of Residual Stress in Aircraft Riveted Panel Structures. Aerospace 2024, 11, 552. https://doi.org/10.3390/aerospace11070552

AMA Style

Kang Y, Xiao H, Wang Z, Li G, Chen Y. Three-Dimensional Characterization of Residual Stress in Aircraft Riveted Panel Structures. Aerospace. 2024; 11(7):552. https://doi.org/10.3390/aerospace11070552

Chicago/Turabian Style

Kang, Yonggang, Huan Xiao, Zihao Wang, Guomao Li, and Yonggang Chen. 2024. "Three-Dimensional Characterization of Residual Stress in Aircraft Riveted Panel Structures" Aerospace 11, no. 7: 552. https://doi.org/10.3390/aerospace11070552

APA Style

Kang, Y., Xiao, H., Wang, Z., Li, G., & Chen, Y. (2024). Three-Dimensional Characterization of Residual Stress in Aircraft Riveted Panel Structures. Aerospace, 11(7), 552. https://doi.org/10.3390/aerospace11070552

Note that from the first issue of 2016, this journal uses article numbers instead of page numbers. See further details here.

Article Metrics

Back to TopTop