Prediction of Training Cost and Difficulty for Aircraft-Type Transition Based on Similarity Assessment
Abstract
1. Introduction
- A scientific and systematic methodology dedicated to the quantitative assessment of similarity between civil aircraft types is developed.
- The quantitative analysis confirms the positive role of aircraft-type similarity in reducing the difficulty and cost of transition training.
- Using the KNN algorithm, this study successfully constructs a highly accurate model for predicting the difficulty of transition training.
- Facing the challenge of the insufficient data volume of transition training costs, this study innovatively adopts the transfer learning method to construct a reliable training cost prediction model, which further enhances the practical value of this study.
2. Quantitative Analysis of Aircraft-Type Similarity
2.1. Aircraft-Type Similarity Assessment Method
- Instrument panel: the area where the pilot has the best line of sight, generally laying out some of the most frequently viewed display information.
- Center console: the area most accessible to the pilot, generally laying out the most frequently operated or important control components.
- FCU: the second most accessible area to the pilot after the center console, and generally lays out the more frequently operated controls and display components.
- Head panel: the largest area of a panel; the general layout operation using infrequent controls.
- MCDU/CDU panel: located on either side of the center console or under the dashboard, it generally lays out the more frequently operated but less important control components.
- Communication Panel: located on the rear side of the center console, this panel generally lays out the more frequently operated but less important control components.
- Push switch: An interactive control that the user can press to trigger some action or function.
- Knob: A circular control that is rotated to adjust or select a specific value.
- Toggle: Typically, an on/off design that allows the user to switch between two or more states.
- Slide: Allows the user to select or adjust values within a range of values by sliding.
- Joystick: Usually used for control in two or three dimensions, such as a flight stick.
- Handwheel: Large knob, usually used for fine-tuning or manual control of a machine.
- Pedal: A control operated by the foot.
- Indicator Light: A small electronic light that uses light to indicate a status or warning.
- Dial: An instrument with markers and pointers for displaying the values of certain physical quantities.
- Digital display: A display that shows specific values by means of numbers.
- Display: An electronic screen that can display images, text, and video.
- (1)
- Initialize a matrix of size , where m and n represent the lengths of the two strings, respectively.
- (2)
- Set the values of the first row from 0 to m and the values of the first column from 0 to n. This indicates the number of edits required to transform an empty string into the other string.
- (3)
- For each pair of characters, starting from each character in the two strings, calculate each matrix element according to the following rules:
- If the two characters are identical, the value of the current cell is taken from the cell diagonally above and to the left.
- If the characters differ, the value of the current cell is the minimum value from the cell above, to the left, or diagonally above and to the left, incremented by 1. This corresponds to an insertion, deletion, or substitution operation.
- (4)
- Once the matrix is fully populated, the value in the bottom-right corner represents the Levenshtein distance between the two strings.
- (5)
- Calculate the similarity between the two strings using Equation (2).
- (1)
- Matrix initialization: Create a matrix of size , where m and n are the lengths of the two sequences, respectively, and the values of the first row and column are usually initialized to the cumulative gap penalty value.
- (2)
- Filling the matrix: Use a predefined scoring scheme to fill the matrix (for the scheme in this paper, the match score is 1 and the mismatch penalty and gap penalty are 0). For each cell in the matrix, consider the following three possible scores:
- (a)
- From the value of the previous cell plus the gap penalty.
- (b)
- From the value of the cell on the left plus the gap penalty.
- (c)
- From the value of the cell on the upper left plus the match or mismatch score.
- (3)
- Read the comparison score S from the lower right corner of the matrix.
- (4)
- Obtain the similarity by comparing the score S to the upper score limit, which, in this paper, is equal to the length of the SOP sequence of the new aircraft type as in Equation (5).
2.2. Aircraft-Type Similarity Assessment Cases and Analysis
3. Difficulty and Cost Analysis of Aircraft-Type Transition Training
3.1. Analysis of the Difficulty of Transition Training
3.2. Analysis of the Cost of Transition Training
4. Predictive Modeling of the Difficulty and Cost of Transition Training
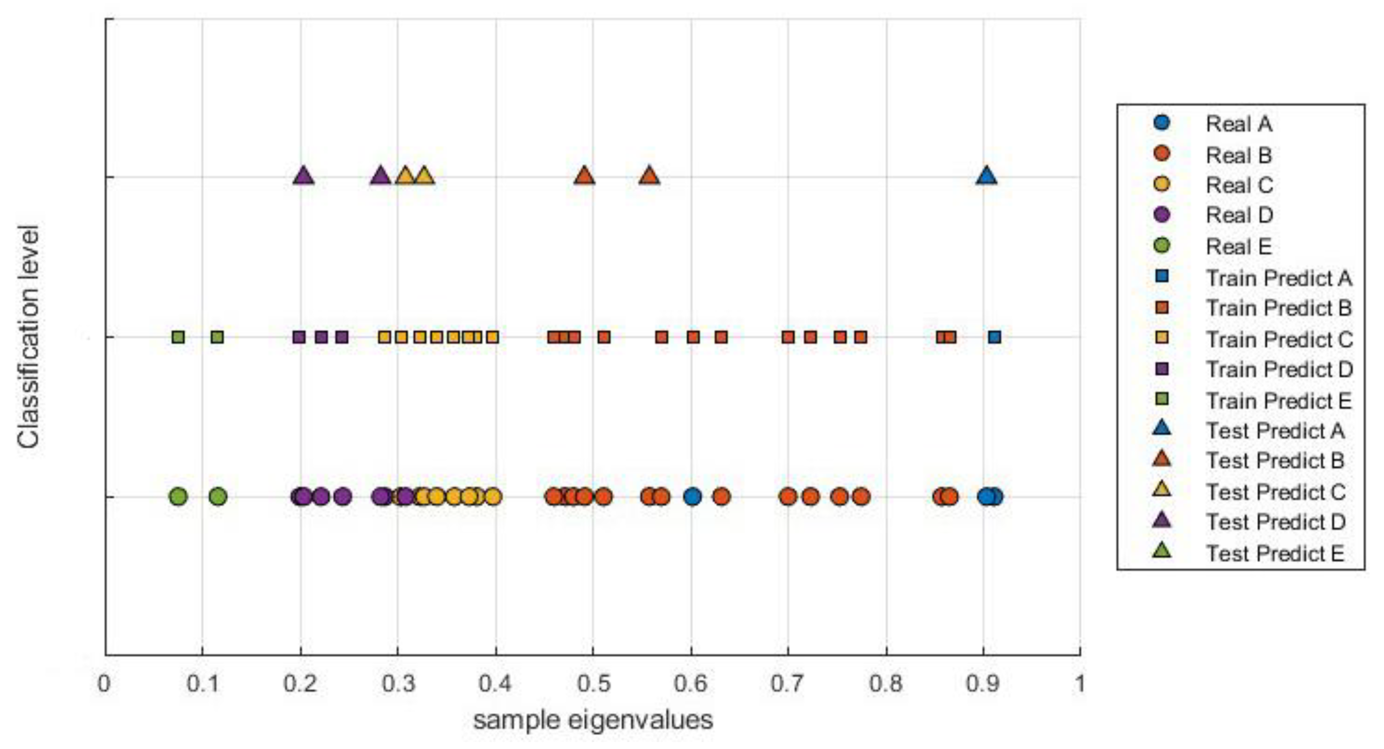
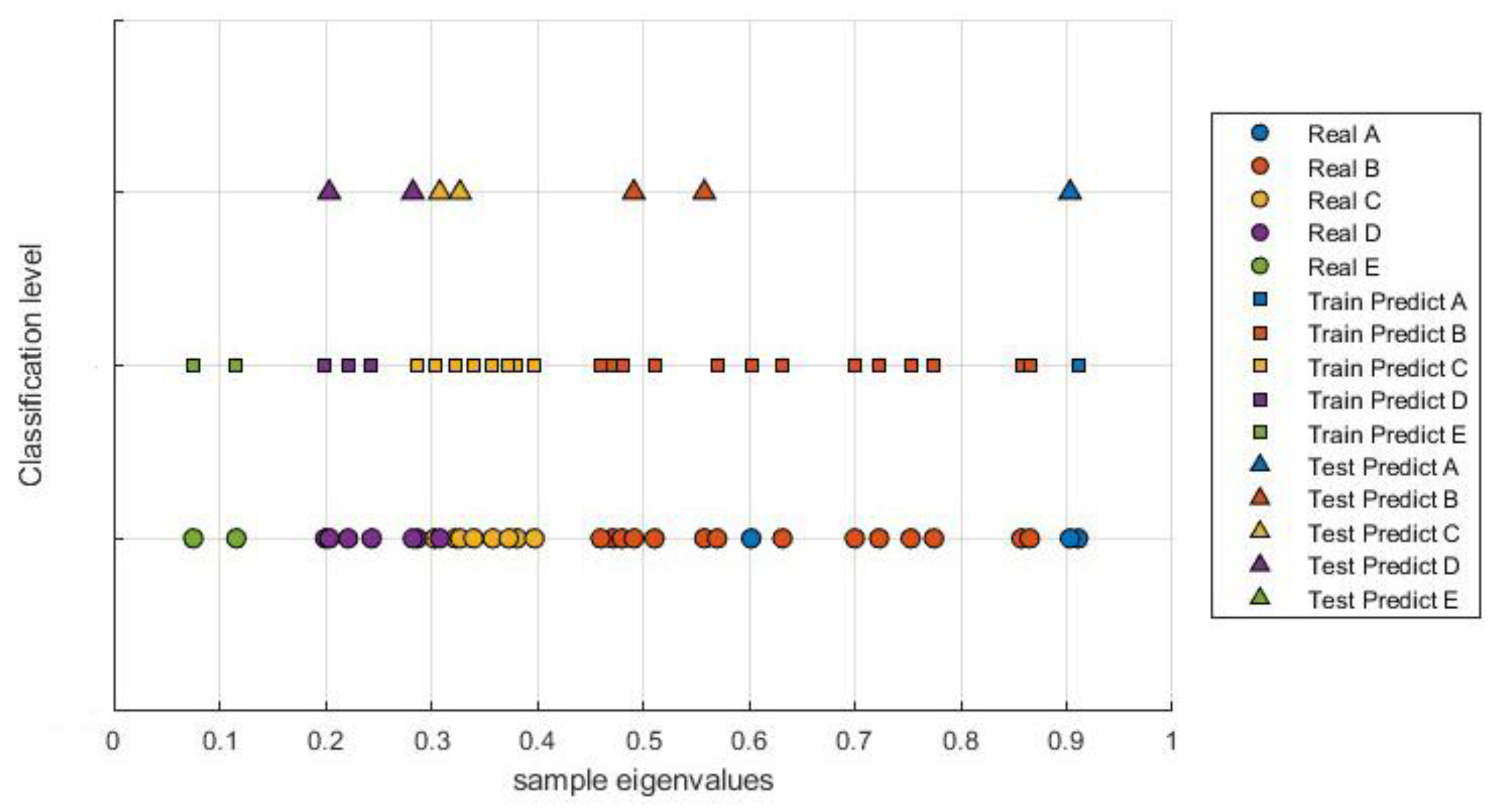
4.1. Predictive Modeling of Transition Training Difficulty
- Select the value of K: Determine the value of K. The choice of the value of K affects the results of the algorithm; too small a value of K may lead to overfitting of the model and too large a value may lead to overgeneralization. Often, it is necessary to choose the best K value using cross-validation [30].
- Calculate the distance: For each test data point, calculate the distance between it and all the training data points. Common distance metrics include Euclidean distance, Manhattan distance, and Chebyshev distance. In this paper, Euclidean distance (Equation (1)) is used to build the model.
- Find the nearest K neighbors: For each test data point, find the nearest K training data points.
- Voting decision: Determine which category among these K neighbors has the most, and then categorize the test data points into this category.
- Output the prediction result: Use step 4 to determine the predicted categorization of the new data point.
4.2. Predictive Modeling of Transition Training Cost
5. Summary
- (1)
- The assessment system constructed in this study can accurately quantify the similarity between different aircraft types.
- (2)
- With the application of the assessment method in this paper, it is quantitatively verified that inter-aircraft similarity has a significant positive effect in reducing the difficulty and cost of transition training.
- (3)
- The prediction model established by using the KNN algorithm featuring the similarity of training objects can predict the difficulty of transition training programs more accurately.
- (4)
- The transfer learning method can effectively solve the problem of insufficient sample size. Combined with the results of an inter-aircraft similarity assessment, it can accurately predict the cost of transition training, which provides reliable decision support for airlines in terms of transition training resource planning and cost management.
Author Contributions
Funding
Data Availability Statement
Conflicts of Interest
References
- Jansen, P.W.; Perez, R.E. Coupled Optimization of Aircraft Families and Fleet Allocation for Multiple Markets. J. Aircraft. 2016, 53, 1485–1504. [Google Scholar] [CrossRef]
- Dong, W.; Wang, Y.; Li, X.; Dong, D. Commonality Considerations in the Design of Flight Deck of Civil Aircraft. Proc. J. Phys. Conf. Ser. 2020, 1678, 012037. [Google Scholar] [CrossRef]
- Civil Aviation Administration of China. Reduced Time Conversion Courses and Mixed Fleet Flights. Available online: http://www.caac.gov.cn/XXGK/XXGK/GFXWJ/201905/t20190530_196484.html (accessed on 10 January 2024).
- Kreienkamp, R.A.; Luessenheide, H.D. Similarity of Personalities of Flight Instructors and Student-Pilots: Effect on Flight Training Time. Psychol. Rep. 1985, 57, 465–466. [Google Scholar] [CrossRef]
- Dennis, K.A.; Harris, D. Computer-Based Simulation as an Adjunct to Ab Initio Flight Training. Int. J. Aviat. Psychol. 1998, 8, 261–276. [Google Scholar] [CrossRef]
- Polstra Sr, P.A. Examining the Effect of Instructor Experience on Flight Training Time; Northcentral University: Scottdale, AZ, USA, 2012. [Google Scholar]
- Li, Q.; Li, B.; Wang, N.; Li, W.; Lyu, Z.; Zhu, Y.; Liu, W. Human-machine Interaction Efficiency Factors in Flight Simulator Training Towards Chinese Pilots. Proc. Int. Conf. Appl. Human. Factors Ergon. 2021, 1206, 26–32. [Google Scholar]
- Tatli, A.; Bocu, E.; Filik, T.; Karakoc, T.H. A case study on the effect of meteorological events on the efficiency of flight training organization. Aircr. Eng. Aerosp. Technol. 2022, 94, 1109–1116. [Google Scholar] [CrossRef]
- Mostarac, N.; Reščić, A.; Mihetec, T.; Novak, D. Flight Training Syllabus Structure Impact on Proactive Planning of High-Performance Military Aircraft Pilot Training Operations in Flexible Airspace Structures. Promet-Traff. Transp. 2022, 34, 839–848. [Google Scholar] [CrossRef]
- Sharma, V.; Carroll, M.B. CFIs’ Safety Behaviors at Flight Training Schools: Understanding the Effects of Personality Traits, Self-Efficacy. Available online: https://commons.erau.edu/cgi/viewcontent.cgi?article=1500&context=ntas (accessed on 10 January 2024).
- Orlansky, J.; String, J. Cost-Effectiveness of Flight Simulators for Military Training, Volume I: Use and Effectiveness of Flight Simulators. Inst. Def. Anal. 1977. [Google Scholar]
- Hoeft, T.A.; Anderson, T.P. An Economic Analysis of Restructuring Undergraduate Helicopter Flight Training; University of Florida: Gainesville, FL, USA, 1990. [Google Scholar]
- Young, P.; Fanjoy, R. Advanced Collegiate Flight Automation Training: What is Needed and at What Cost. Int. J. Appl. Aviat. Stud. 2003, 3, 215–225. [Google Scholar]
- Pope, T.M. A Cost-Benefit Analysis of Pilot Training Next. Theses Diss. 2019, 2314, AD1077553. [Google Scholar]
- Ross, G.; Gilbey, A. Extended Reality (Xr) Flight Simulators as an Adjunct to Traditional Flight Training Methods: A Scoping Review. CEAS Aeronaut. J. 2023, 14, 799–815. [Google Scholar] [CrossRef]
- Kardi, K. Innovations in Basic Flight Training for the Indonesian Air Force; Naval Postgraduate School: Monterey, CA, USA, 1990. [Google Scholar]
- Johnson, C.M.; Wiegmann, D.A. Scenario-Based Flight Simulation Training: A Human Factors Analysis of its Development and Suggestions for Better Design. In Proceedings of the 16th International Symposium on Aviation Psychology, Dayton, OH, USA, 2–5 May 2011; pp. 662–667. [Google Scholar]
- McClernon, C.K.; McCauley, M.E.; O’Connor, P.E.; Warm, J.S. Stress Training Improves Performance During A Stressful Flight. Hum. Factors. 2011, 53, 207–218. [Google Scholar] [CrossRef]
- Lu, J.; Deng, J.; Ren, Z.; Shi, Y. Flight Training Subject Identification Method Based on Multivariate Subsequence Search With Double Windows. IEEE Access 2022, 11, 3221–3231. [Google Scholar] [CrossRef]
- Lu, J.; Shi, Y.; Ren, Z.; Zhong, Y.; Bai, Y.; Deng, J. Research on Flight Training Prediction Based on Incremental Online Learning. Appl. Intell. 2023, 53, 25662–25677. [Google Scholar] [CrossRef]
- Yusuf, A.B.; Kor, A.-L.; Tawfik, H. Integrating the HFACS Framework and Fuzzy Cognitive Mapping for In-Flight Startle Causality Analysis. Sensors 2022, 22, 1068. [Google Scholar] [CrossRef]
- Li, J.; Sun, H.; Li, F.; Cao, W.; Hu, H. Non-technical Competency Assessment for the Initial Flight Training Based on Instructor Measurement Data. In Proceedings of the 2022 2nd International Conference on Big Data Engineering and Education (BDEE), Chengdu, China, 5–7 August 2022; pp. 1–7. [Google Scholar]
- Zhang, Y.; Kang, C.; Liang, K.; Yongqi, Z.; Wenjun, D. A Serialized Civil Aircraft R&D Cost Estimation Model Considering Commonality Based on BP Algorithm. Chin. J. Aeronaut. 2022, 35, 253–265. [Google Scholar]
- Zhixue, S. Analysis and Control of Accident Causes in Machinery Manufacturing. Ind. Saf. Environ. Prot. 2006, 32, 63–64. [Google Scholar]
- Chunling, Z. Civil Aircraft Cockpit Integrated Design and Airworthiness; Shanghai Jiao Tong University Press: Shanghai, China, 2019. [Google Scholar]
- Zhang, S.; Hu, Y.; Bian, G. Research on String Similarity Algorithm Based on Levenshtein Distance. In Proceedings of the 2017 IEEE 2nd Advanced Information Technology, Electronic and Automation Control Conference (IAEAC), Chongqing, China, 25–26 March 2017; pp. 2247–2251. [Google Scholar]
- Su, Z.; Ahn, B.-R.; Eom, K.-Y.; Kang, M.-K.; Kim, J.-P.; Kim, M.-K. Plagiarism Detection Using the Levenshtein Distance and Smith-Waterman Algorithm. In Proceedings of the 2008 3rd International Conference on Innovative Computing Information and Control, Washington, DC, USA, 18–20 June 2008; p. 569. [Google Scholar]
- Likic, V. The Needleman-Wunsch Algorithm for Sequence Alignment; 7th Melbourne Bioinformatics Course; Bio21 Molecular Science Biotechnology Institute, The University of Melbourne: Melbourne, Australia, 2008; pp. 1–46. [Google Scholar]
- Imandoust, S.B.; Bolandraftar, M. Application of K-Nearest Neighbor (KNN) Approach for Predicting Economic Events: Theoretical Background. Int. J. Eng. Res. Appl. 2013, 3, 605–610. [Google Scholar]
- Zhang, S.; Li, X.; Zong, M.; Zhu, X.; Cheng, D. Learning K for KNN Classification. ACM Trans. Intell. Syst. Technol. 2017, 8, 1–19. [Google Scholar] [CrossRef]
- Xu, C.; Wang, J.; Zhang, J.; Li, X. Anomaly Detection of Power Consumption in Yarn Spinning Using Transfer Learning. Comput. Ind. Eng. 2021, 152, 107015. [Google Scholar] [CrossRef]
- Li, Z.; Kristoffersen, E.; Li, J. Deep Transfer Learning for Failure Prediction Across Failure Types. Comput. Ind. Eng. 2022, 172, 108521. [Google Scholar] [CrossRef]
- Yang, Q.; Zhang, Y.; Dai, W.; Pan, S.J. Transfer Learning; Cambridge University Press: Cambridge, UK, 2020. [Google Scholar]







| Control Type | Control Method | Required Space | Visual Effect | Tactile Effect | Operational Convenience |
|---|---|---|---|---|---|
| Button | Finger press | Small | Poor | Poor | Slightly good |
| Knob | Finger twist | Slightly small | Slightly poor | Medium | Slightly good |
| Toggle | Finger flick | Slightly small | Medium | Slightly poor | Good |
| Slider | Finger slide | Medium | Slightly good | Medium | Medium |
| Joystick | Arm pull | Slightly large | Good | Good | Slightly good |
| Handwheel | Arm twist | Large | Slightly good | Good | Medium |
| Pedal | Foot press | Slightly large | Poor | Slightly good | Medium |
| Control Type | Display Method | Required Space | Visual Effect | Tactile Effect | Information Content |
|---|---|---|---|---|---|
| Indicator light | Color, on/off | Small | Good | None | Small |
| Meter dial | Pointer reading | Medium | Medium | None | Medium |
| Digital display | Numeric display | Medium | Good | None | Medium |
| Display screen | Graphics, position | Large | Medium | None | Large |
| Button | Knob | Toggle | Slider | Joystick | Handwheel | Pedal | |
|---|---|---|---|---|---|---|---|
| Button | 1.00 | 0.88 | 0.87 | 0.79 | 0.68 | 0.68 | 0.78 |
| Knob | 0.88 | 1.00 | 0.91 | 0.88 | 0.79 | 0.79 | 0.87 |
| Toggle | 0.87 | 0.91 | 1.00 | 0.87 | 0.79 | 0.76 | 0.80 |
| Slider | 0.79 | 0.88 | 0.87 | 1.00 | 0.87 | 0.86 | 0.83 |
| Joystick | 0.68 | 0.79 | 0.79 | 0.87 | 1.00 | 0.91 | 0.79 |
| Handwheel | 0.68 | 0.79 | 0.76 | 0.86 | 0.91 | 1.00 | 0.83 |
| Pedal | 0.78 | 0.87 | 0.80 | 0.83 | 0.79 | 0.83 | 1.00 |
| Indicator Light | Meter Dial | Digital Display | Display Screen | |
|---|---|---|---|---|
| Indicator light | 1.00 | 0.77 | 0.81 | 0.60 |
| Meter dial | 0.77 | 1.00 | 0.87 | 0.81 |
| Digital display | 0.81 | 0.87 | 1.00 | 0.77 |
| Display screen | 0.60 | 0.81 | 0.77 | 1.00 |
| FCU | MCDU | Center Console | Communication Panel | Instrument Panel | Head Panel | Average Value | |
|---|---|---|---|---|---|---|---|
| A320 to A330 | 0.86 | 0.75 | 0.77 | 0.87 | 0.70 | 0.56 | 0.75 |
| A330 to A320 | 0.91 | 0.90 | 0.72 | 0.87 | 0.60 | 0.51 | 0.75 |
| B737 NG to B777 | 0.38 | 0.63 | 0.20 | 0.47 | 0.24 | 0.29 | 0.37 |
| B777 to B737 NG | 0.48 | 0.49 | 0.32 | 0.57 | 0.46 | 0.20 | 0.42 |
| A320 to B737 NG | 0.28 | 0.30 | 0.30 | 0.36 | 0.37 | 0.12 | 0.29 |
| B737 NG to A320 | 0.40 | 0.33 | 0.34 | 0.34 | 0.22 | 0.08 | 0.29 |
| Transition Training | SOP Similarity |
|---|---|
| A320 to A330 | 0.66 |
| A330 to A320 | 0.58 |
| B737 NG to B777 | 0.30 |
| B777 to B737 NG | 0.41 |
| A320 to B737 NG | 0.51 |
| B737 NG to A320 | 0.44 |
| Scenario | Object | A | B | C | D | E | Scenario | Object | A | B | C | D | E |
|---|---|---|---|---|---|---|---|---|---|---|---|---|---|
| A320 to A330 | FCU | 3 | 11 | 1 | 0 | 0 | A330 to A320 | FCU | 9 | 7 | 1 | 1 | 0 |
| MCDU | 2 | 12 | 1 | 0 | 0 | MCDU | 9 | 8 | 0 | 1 | 0 | ||
| Center console | 3 | 7 | 4 | 1 | 0 | Center console | 7 | 7 | 3 | 1 | 0 | ||
| Communication panel | 5 | 9 | 1 | 0 | 0 | Communication panel | 11 | 6 | 0 | 1 | 0 | ||
| Instrument panel | 3 | 9 | 3 | 0 | 0 | Instrument panel | 9 | 8 | 0 | 1 | 0 | ||
| Head panel | 1 | 7 | 7 | 0 | 0 | Head panel | 2 | 15 | 0 | 1 | 0 | ||
| SOP | 0 | 7 | 6 | 1 | 1 | SOP | 1 | 7 | 6 | 3 | 1 | ||
| B737 to B777 | FCU | 0 | 2 | 2 | 1 | 0 | B777 to B737 | FCU | 3 | 9 | 2 | 0 | 0 |
| MCDU | 0 | 3 | 1 | 1 | 0 | MCDU | 5 | 9 | 0 | 0 | 0 | ||
| Center console | 1 | 1 | 1 | 2 | 0 | Center console | 1 | 4 | 5 | 4 | 0 | ||
| Communication panel | 0 | 4 | 1 | 0 | 0 | Communication panel | 6 | 8 | 0 | 0 | 0 | ||
| Instrument panel | 1 | 1 | 1 | 2 | 0 | Instrument panel | 2 | 12 | 0 | 0 | 0 | ||
| Head panel | 0 | 1 | 2 | 2 | 0 | Head panel | 2 | 4 | 1 | 4 | 3 | ||
| SOP | 0 | 0 | 2 | 3 | 0 | SOP | 1 | 3 | 4 | 5 | 1 | ||
| A320 to B737 | FCU | 0 | 1 | 1 | 3 | 0 | B737 to A320 | FCU | 1 | 2 | 4 | 1 | 1 |
| MCDU | 0 | 1 | 2 | 2 | 0 | MCDU | 0 | 1 | 5 | 2 | 1 | ||
| Center console | 0 | 1 | 1 | 2 | 1 | Center console | 0 | 0 | 6 | 2 | 1 | ||
| Communication panel | 0 | 2 | 2 | 1 | 0 | Communication panel | 0 | 5 | 3 | 1 | 0 | ||
| Instrument panel | 0 | 1 | 2 | 1 | 0 | Instrument panel | 0 | 4 | 4 | 1 | 0 | ||
| Head panel | 0 | 0 | 1 | 0 | 2 | Head panel | 0 | 1 | 1 | 3 | 4 | ||
| SOP | 0 | 1 | 2 | 2 | 0 | SOP | 0 | 3 | 3 | 2 | 1 |
| Scenario | FCU | MCDU | Center Console | Communication Panel | Instrument Panel | Head Panel | Panel Average Value | SOP |
|---|---|---|---|---|---|---|---|---|
| A320 to A330 | B | B | B | B | B | B | B | B |
| A330 to A320 | A | A | B | A | A | B | C | A |
| B737 to B777 | C | B | D | B | D | D | D | C |
| B777 to B737 | B | B | C | B | B | D | D | B |
| A320 to B737 | D | C | D | C | C | E | C | D |
| B737 to A320 | C | C | C | B | D | E | C | C |
| Average value | B | B | B | B | B | B | B | B |
| Scenario | Duration of Theoretical Training (h) | Duration of Simulator Training (h) | Cost of Theoretical Training (RMB 10,000) | Cost of Simulator Training (RMB 10,000) | Total Cost (RMB 10,000) | Cost Level |
|---|---|---|---|---|---|---|
| A320 to A330 | 40 | 16 | 0.5 | 6.08 | 6.58 | B |
| A330 to A320 | 40 | 16 | 0.5 | 6.08 | 6.58 | B |
| B737 to B777 | 140 | 64 | 2.5 | 24.32 | 26.82 | D |
| B777 to B737 | 140 | 56 | 2.5 | 21.28 | 23.78 | C |
| A320 to B737 | 140 | 56 | 2.5 | 21.28 | 23.78 | C |
| B737 to A320 | 140 | 56 | 2.5 | 21.28 | 23.78 | C |
Disclaimer/Publisher’s Note: The statements, opinions and data contained in all publications are solely those of the individual author(s) and contributor(s) and not of MDPI and/or the editor(s). MDPI and/or the editor(s) disclaim responsibility for any injury to people or property resulting from any ideas, methods, instructions or products referred to in the content. |
© 2024 by the authors. Licensee MDPI, Basel, Switzerland. This article is an open access article distributed under the terms and conditions of the Creative Commons Attribution (CC BY) license (https://creativecommons.org/licenses/by/4.0/).
Share and Cite
Cao, K.; Zhang, Y.; Feng, J. Prediction of Training Cost and Difficulty for Aircraft-Type Transition Based on Similarity Assessment. Aerospace 2024, 11, 166. https://doi.org/10.3390/aerospace11020166
Cao K, Zhang Y, Feng J. Prediction of Training Cost and Difficulty for Aircraft-Type Transition Based on Similarity Assessment. Aerospace. 2024; 11(2):166. https://doi.org/10.3390/aerospace11020166
Chicago/Turabian StyleCao, Kang, Yongjie Zhang, and Jianfei Feng. 2024. "Prediction of Training Cost and Difficulty for Aircraft-Type Transition Based on Similarity Assessment" Aerospace 11, no. 2: 166. https://doi.org/10.3390/aerospace11020166
APA StyleCao, K., Zhang, Y., & Feng, J. (2024). Prediction of Training Cost and Difficulty for Aircraft-Type Transition Based on Similarity Assessment. Aerospace, 11(2), 166. https://doi.org/10.3390/aerospace11020166

