A Novel Algorithm for Precise Orbit Determination Using a Single Satellite Laser Ranging System Within a Single Arc for Space Surveillance and Tracking
Abstract
1. Introduction
2. R-Squared Value of the Residual (RSR) Method
2.1. Bow-Tie Effect and Inadequacies of Least Squares (LS) Method
2.2. Fourier Series Fitting and R-Squared Value
2.3. Cost Function of RSR Method
3. Proposed Algorithm of POD for Only Single SLR and Single Arc
3.1. Grid Search Method for Velocity Vector Searching (Step 1)
3.2. Least Squares Method for SS-R Problem (Step 2)
3.3. RSR POD Algorithm (Step 1, 2, and 3)
4. Results and Analyses
4.1. Model Configuration and Dataset
4.2. Initial State Vector Dataset
4.3. POD Simulation
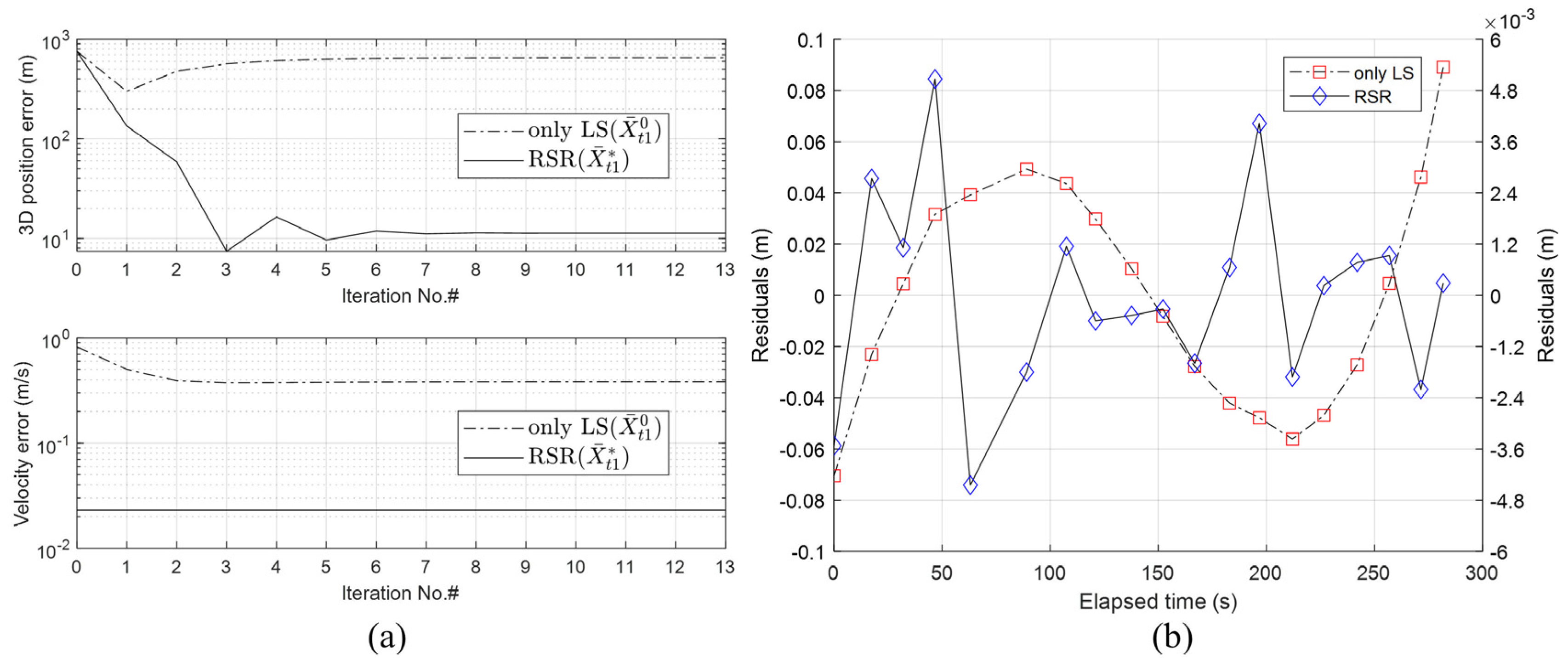
4.3.1. Case 1: Cyrosat-2 Satellite
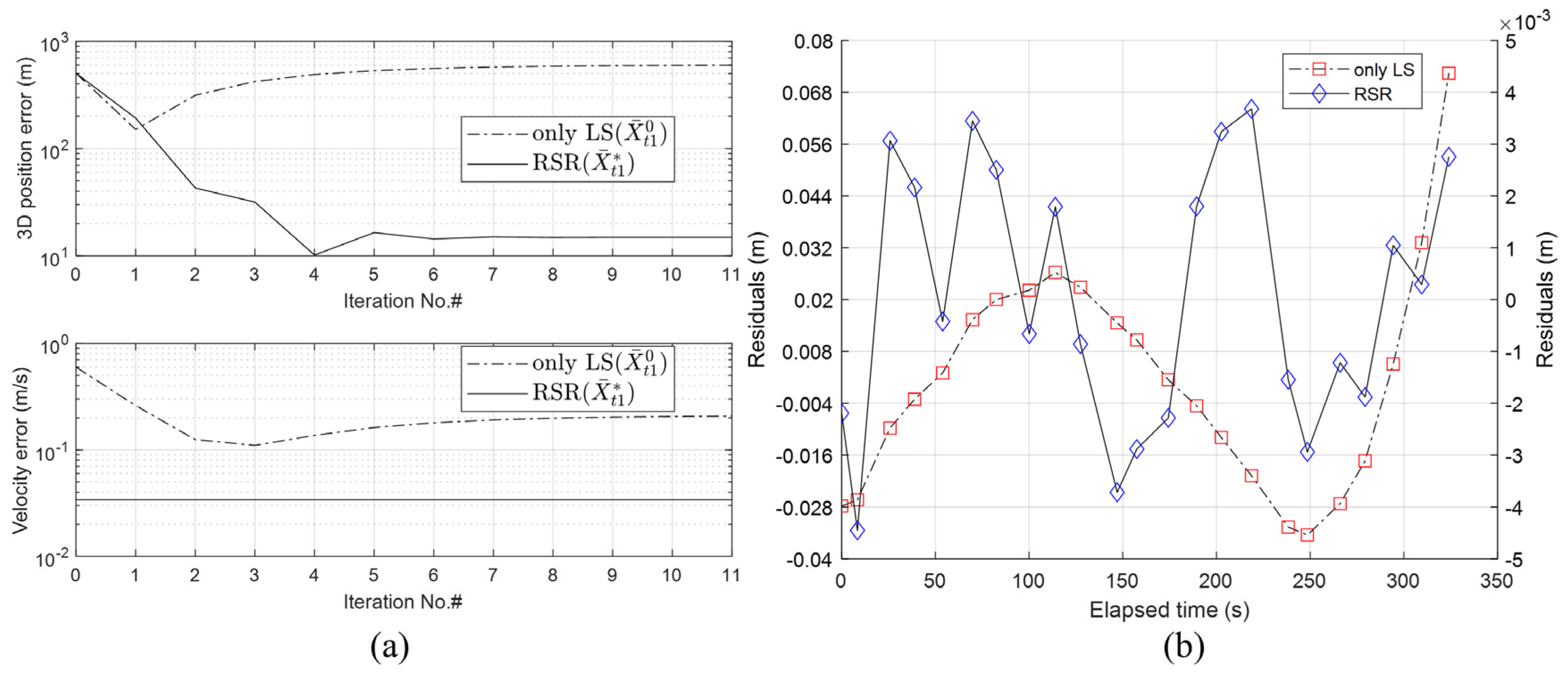
4.3.2. Case 2: Sentinel-3A Satellite
4.3.3. Case 3: Saral Satellite
4.4. Comparison of Orbit Propagation
4.5. Characteristics of RSR POD Algorithm
4.5.1. Influences of Arc Length
4.5.2. Influences of Altitude
4.5.3. Comparison to Kalman Filter
5. Conclusions
Author Contributions
Funding
Data Availability Statement
Conflicts of Interest
References
- Vallado, D.A. Fundamentals of Astrodynamics and Applications; Microcosm Press: El Segundo, CA, USA, 2001. [Google Scholar]
- Shen, Y.; Guo, J.; Zhao, C.; Yu, X.; Li, J. Earth rotation parameter and variation during 2005–2010 solved with LAGEOS SLR data. Geod. Geodyn. 2015, 6, 55–60. [Google Scholar] [CrossRef]
- Strugarek, D.; Sośnica, K.; Arnold, D.; Jäggi, A.; Zajdel, R.; Bury, G.; Drożdżewski, M. Determination of global geodetic parameters using satellite laser ranging measurements to sentinel-3 satellites. Remote Sens. 2019, 11, 2282. [Google Scholar] [CrossRef]
- Rutkowska, M.; Jagoda, M. Estimation of the elastic Earth parameters using the SLR LAGEOS 1 and LAGEOS 2 data. Acta Geophys. 2010, 58, 705–716. [Google Scholar] [CrossRef]
- Jagoda, M.; Rutkowska, M. Estimation of the Love numbers: k2, k3 using SLR data of the LAGEOS1, LAGEOS2, STELLA and STARLETTE satellites. Acta Geod. Geophys. 2016, 51, 493–504. [Google Scholar] [CrossRef]
- Cheng, M.K.; Shum, C.K.; Tapley, B.D. Determination of long-term changes in the Earth’s gravity field from satellite laser ranging observations. J. Geophys. Res. Solid Earth 1997, 102, 22377–22390. [Google Scholar] [CrossRef]
- Sośnica, K.; Thaller, D.; Jäggi, A.; Dach, R.; Beutler, G. Sensitivity of Lageos orbits to global gravity field models. Artif. Satell. 2012, 47, 47–65. [Google Scholar] [CrossRef]
- Rutkowska, M.; Jagoda, M. SLR technique used for description of the Earth elasticity. Artif. Satell. 2015, 50, 127–141. [Google Scholar] [CrossRef]
- Matsuo, K.; Otsubo, T.; Munekane, H.; Fukuda, Y. Geocenter motion excited by large-scale mass redistribution. In Proceedings of the 19th International Workshop on Laser Ranging, Annapolis, MD, USA, 27–31 October 2014. [Google Scholar]
- Wnęk, A.; Kosek, W.; Sośnica, K.; Zbylut-Górska, M.; Waldemar, P. Combined geocenter motion model from the SLR, GNSS and GRACE observations. In Proceedings of the EGU General Assembly Conference Abstracts, Vienna, Austria, 17–22 April 2016. [Google Scholar]
- Ciufolini, I.; Paolozzi, A.; Pavlis, E.; Ries, J.; Gurzadyan, V.; Koenig, R.; Matzner, R.; Penrose, R.; Sindoni, G. Testing General Relativity and gravitational physics using the LARES satellite. Eur. Phys. J. Plus 2012, 127, 133. [Google Scholar] [CrossRef]
- Ciufolini, I.; Paris, C.; Pavlis, E.C.; Ries, J.; Matzner, R.; Paolozzi, A.; Ortore, E.; Bianco, G.; Kuzmicz-Cieslak, M.; Gurzadyan, V.; et al. First results of the LARES 2 space experiment to test the general theory of relativity. Eur. Phys. J. Plus 2023, 138, 1054. [Google Scholar] [CrossRef]
- Christodoulidis, D.C.; Smith, D.E.; Kolenkiewicz, R.; Klosko, S.M.; Torrence, M.H.; Dunn, P.J. Observing tectonic plate motions and deformations from satellite laser ranging. J. Geophys. Res. Solid Earth 1985, 90, 9249–9263. [Google Scholar] [CrossRef]
- Kraszewska, K.; Jagoda, M.; Rutkowska, M. Tectonic plate parameters estimated in the International Terrestrial Reference Frame ITRF2008 based on SLR stations. Acta Geophys. 2016, 64, 1495–1512. [Google Scholar] [CrossRef]
- Schillak, S.; Lejba, P.; Michałek, P. Analysis of the quality of SLR station coordinates determined from laser ranging to the LARES satellite. Sensors 2021, 21, 737. [Google Scholar] [CrossRef]
- Strugarek, D.; Sośnica, K.; Arnold, D.; Jäggi, A.; Zajdel, R.; Bury, G. Determination of SLR station coordinates based on LEO, LARES, LAGEOS, and Galileo satellites. Earth Planets Space 2021, 73, 87. [Google Scholar] [CrossRef]
- Montenbruck, O.; Hauschild, A.; Andres, Y.; von Engeln, A.; Marquardt, C. (Near-)real-time orbit determination for GNSS radio occultation processing. GPS Solut. 2013, 17, 199–209. [Google Scholar] [CrossRef]
- Ricklefs, R.L.; Moore, C.J. Consolidated Laser Ranging Data Format (CRD) Version 1.01; Format Specification; ILRS Data Formats and Procedures Working Group: Greenbelt, MD, USA, 2009. [Google Scholar]
- Wilkinson, M.; Schreiber, U.; Procházka, I.; Moore, C.; Degnan, J.; Kirchner, G.; Zhongping, Z.; Dunn, P.; Shargorodskiy, V.; Sadovnikov, M.; et al. The next generation of satellite laser ranging systems. J. Geod. 2019, 93, 2227–2247. [Google Scholar] [CrossRef]
- Bamann, C.; Hugentobler, U. Accurate orbit determination of space debris with laser tracking. In Proceedings of the 7th European Conference on Space Debris, Darmstadt, Germany, 18–21 April 2017. [Google Scholar] [CrossRef]
- Sang, J.; Bennett, J.C.; Smith, C. Experimental results of debris orbit predictions using sparse tracking data from Mt. Stromlo. Acta Astronaut. 2014, 102, 258–268. [Google Scholar] [CrossRef]
- Bennett, J.C.; Sang, J.; Smith, C.; Zhang, K. An analysis of very short-arc orbit determination for low-Earth objects using sparse optical and laser tracking data. Adv. Space Res. 2015, 55, 617–629. [Google Scholar] [CrossRef]
- Smith, C.H.; Greene, B.; Bold, M.; Drury, R. Development of a new SSA facility at Learmonth Australia. In Proceedings of the Advanced Maui Optical and Space Surveillance Technologies Conference, Maui, Hawaii, 13 September 2018. [Google Scholar]
- Setty, S.J.; Flohrer, T.; Krag, H. SLR for space debris monitoring: An analysis on requirements and achievable orbit improvement. In Proceedings of the 1st NEO and Debris Detection Conference, Darmstadt, Germany, 22–24 January 2019. [Google Scholar]
- Ball, J.E. Preliminary circular orbit from a single station of range-only data. AIAA J. 1967, 5, 2261–2264. [Google Scholar] [CrossRef]
- Duong, N.; Winn, C.B. Orbit determination by range-only data. J. Spacecr. Rocket. 1973, 10, 132–136. [Google Scholar] [CrossRef]
- Hart, A.M.S. Application of the Homotopy Continuation Method to Low-Eccentricity Preliminary Orbit Determination. Master’s Thesis, Massachusetts Institute of Technology, Cambridge, MA, USA, 1991. [Google Scholar]
- Smith, R.L.; Huang, C. Study of a Homotopy Continuation Method for Early Orbit Determination with the Tracking and Data Relay Satellite System (TDRSS); NASA Technical Memorandum; NASA-TM-86230; NASA Goddard Space Flight Center: Greenbelt, MD, USA, 1986. [Google Scholar]
- Das, N.; Deshpande, V.; Bhattacharya, R. Optimal-transport-based tracking of space objects using range data from a single ranging station. J. Guid. Control Dyn. 2019, 42, 1237–1249. [Google Scholar] [CrossRef]
- Sang, J.; Ritchie, I.; Pearson, M.; Simth, C. Results and analyses of debris tracking from Mt Stromlo. In Proceedings of the Advanced Maui Optical and Space Surveillance Technologies Conference, Wailea, HI, USA, 13 September 2013; Volume E15. [Google Scholar]
- Tapley, B.; Schutz, B.; Born, G.H. Statistical Orbit Determination; Elsevier: Amsterdam, The Netherlands, 2004. [Google Scholar] [CrossRef]
- Wright, J. Orbit Determination Tool Kit Theory and Algorithms; Analytical Graphics Inc.: Exton, PA, USA, 2013. [Google Scholar]
- Gibbs, J.W. Fourier’s Series. Nature 1898, 59, 200. [Google Scholar] [CrossRef]
- Foster, J.; Richards, F.B. The Gibbs phenomenon for piecewise-linear approximation. Am. Math. Mon. 1991, 98, 47–49. [Google Scholar] [CrossRef]
- Bucy, R.S.; Joseph, P.D. Filtering for Stochastic Processes with Applications to Guidance; American Mathematical Society: Providence, RI, USA, 1972; p. 326. [Google Scholar] [CrossRef]
- Schmidt, S.F. Compensation for Modeling Errors in Orbit Determination Problems; Tech. Rep. NASA-CR-96578, REPT.-68-12, PT. 2; Anal. Mech. Associates: Westbury, NY, USA, 1967; p. 62. [Google Scholar]
- Canale, R.P.; Chapra, S.C. Numerical Methods for Engineers; Mcgraw-Hill Education-Europe: New York, NY, USA, 2014. [Google Scholar]
- Conn, A.R.; Gould, N.I.; Toint, P.L. Trust Region Methods; Society for Industrial and Applied Mathematics: Philadelphia, PA, USA, 2000. [Google Scholar] [CrossRef]
- Colin Cameron, A.C.; Windmeijer, F.A.G. An R-squared measure of goodness of fit for some common nonlinear regression models. J. Econ. 1997, 77, 329–342. [Google Scholar] [CrossRef]
- Djuric, P.M.; Kotecha, J.H.; Zhang, J.; Huang, Y.; Ghirmai, T.; Bugallo, M.F.; Miguez, J. Particle filtering. IEEE Signal Process. Mag. 2003, 20, 19–38. [Google Scholar] [CrossRef]
- Yu, T.; Zhu, H. Hyper-parameter Optimization: A Review of Algorithms and Applications. arXiv 2020, arXiv:2003.05689. [Google Scholar] [CrossRef]
- Sanatifar, M.; Capuzzo-Dolcetta, R. Search-based method optimization applied to bi-impulsive orbital transfer. Acta Astronaut. 2019, 161, 389–404. [Google Scholar] [CrossRef]
- Altamimi, Z.; Rebischung, P.; Métivier, L.; Collilieux, X. ITRF2014: A new release of the International Terrestrial Reference Frame modeling nonlinear station motions. J. Geophys. Res. Solid Earth 2016, 121, 6109–6131. [Google Scholar] [CrossRef]
- Musgrave, G.E.; Larsen, A.; Sgobba, T. Safety Design for Space Systems; Butterworth-Heinemann: Oxford, UK, 2009. [Google Scholar]
- Montenbruck, O.; Gill, E.; Lutze, F. Satellite orbits: Models, methods, and applications. Appl. Mech. Rev. 2002, 55, B27–B28. [Google Scholar] [CrossRef]
- Petit, G. IERS Conventions (2010); IERS Technical Note No. 36. Verlag des Bundesamts für Kartographie und Geodäsie: Frankfurt am Main, Germany, 2010. [Google Scholar]
- Tapley, B.D.; Watkins, M.M.; Ries, J.C.; Davis, G.W.; Eanes, R.J.; Poole, S.R.; Rim, H.J.; Schutz, B.E.; Shum, C.K.; Nerem, R.S.; et al. The joint gravity model 3. J. Geophys. Res. 1996, 101, 28029–28049. [Google Scholar] [CrossRef]
- Holmes, S.A.; Featherstone, W.E. A unified approach to the Clenshaw summation and the recursive computation of very high degree and order normalised associated Legendre functions. J. Geod. 2002, 76, 279–299. [Google Scholar] [CrossRef]
- Eanes, R.; Schutz, B.; Tapley, B. Earth and ocean tide effects on Lageos and Starlette. In Proceedings of the 9th International Symposium on Earth Tides, New York, NY, USA, 17–22 August 1983; pp. 239–249. [Google Scholar]
- Lyard, F.H.; Allain, D.J.; Cancet, M.; Carrère, L.; Picot, N. FES2014 global ocean tide atlas: Design and performance. Ocean. Sci. 2021, 17, 615–649. [Google Scholar] [CrossRef]
- Picone, J.M.; Hedin, A.E.; Drob, D.P.; Aikin, A.C. NRLMSISE-00 empirical model of the atmosphere: Statistical comparisons and scientific issues. J. Geophys. Res. 2002, 107, SIA-15. [Google Scholar] [CrossRef]
- Standish, E.M. JPL planetary and lunar ephemerides, DE 405/LE 405. Jet Propulsion Laboratory interoffice memorandum. IOM 1998, 312, F-98–F-048. [Google Scholar]
- Rodriguez-Solano, C.J. Impact of Nonconservative Force Modeling on GNSS Satellite Orbits and Global Solutions. Ph.D. Thesis, Technische Universität München, Munich, Germany, 2014. [Google Scholar]
- Bhanderi, D.; Bak, T. Modeling earth albedo for satellites in earth orbit. In Proceedings of the AIAA Guidance, Navigation, and Control Conference and Exhibit, San Francisco, CA, USA, 15–18 August 2005; Volume 6465. [Google Scholar] [CrossRef][Green Version]
- Hohenkerk, C. Standards of fundamental astronomy. Scholarpedia 2011, 6, 11404. [Google Scholar] [CrossRef]
- Kim, D.G.; Park, S.Y.; Lee, E. Development of real-time precise orbit determination and prediction software supporting next-generation SLR system. J. Korean Soc. Aeronaut. Space Sci. 2023, 51, 883–892. [Google Scholar] [CrossRef]
- Mendes, V.B.; Pavlis, E.C. High-accuracy zenith delay prediction at optical wavelengths. Geophys. Res. Lett. 2004, 31, L14602. [Google Scholar] [CrossRef]
- Mendes, V.B.; Prates, G.; Pavlis, E.C.; Pavlis, D.E.; Langley, R.B. Improved mapping functions for atmospheric refraction correction in SLR. Geophys. Res. Lett. 2002, 29, 53-1-53-4. [Google Scholar] [CrossRef]
- Desai, S.D. Observing the pole tide with satellite altimetry. J. Geophys. Res. 2002, 107, 7-1-7-13. [Google Scholar] [CrossRef]
- Ries, J.C.; Huang, C.; Watkins, M.M. Effect of general relativity on a near-Earth satellite in the geocentric and barycentric reference frames. Phys. Rev. Lett. 1988, 61, 903–906. [Google Scholar] [CrossRef]
- Noll, C.E. The crustal dynamics data information system: A resource to support scientific analysis using space geodesy. Adv. Space Res. 2010, 45, 1421–1440. [Google Scholar] [CrossRef]
- Vallado, D.A.; Cefola, P.J. Two-line element sets–practice and use. In Proceedings of the 63rd International Astronautical Congress, Naples, Italy, 20 November 2012; pp. 1–14. [Google Scholar]
- Vallado, D.; Crawford, P. SGP4 Orbit Determination; AIAA: Reston, VA, USA, 2008; Volume 6770. [Google Scholar] [CrossRef]
- Teunissen, P.J.; Montenbruck, O. Springer Handbook of Global Navigation Satellite Systems; Springer International Publishing: Berlin/Heidelberg, Germany, 2017. [Google Scholar] [CrossRef]
- Griffiths, J.; Ray, J.R. On the precision and accuracy of IGS orbits. J. Geod. 2009, 83, 277–287. [Google Scholar] [CrossRef]
- McLaughlin, C.A.; Mance, S.; Lichtenberg, T. Drag coefficient estimation in orbit determination. J. Astronaut. Sci. 2011, 58, 513–530. [Google Scholar] [CrossRef]
- Gondelach, D.J.; Linares, R.; Siew, P.M. Atmospheric density uncertainty quantification for satellite conjunction assessment. J. Guid. Control. Dyn. 2022, 45, 1760–1768. [Google Scholar] [CrossRef]


























| Case 1 | Case 2 | Case 3 | |
|---|---|---|---|
| Satellite | |||
| Name | Cryosat-2 | Sentinel-3A | Saral |
| Altitude | 717 km | 814 km | 781 km |
| Mass | 684 kg | 1150 kg | 407 kg |
| Dimensions | 4.6 × 2.34 × 2.2 m | 3.9 × 2.2 × 2.2 m | 1 × 1 × 0.6 m |
| Dynamics | |||
| ) | 1.5 | 1.5 | 1.5 |
| ) | 1.2 | 1.2 | 1.2 |
| 1.2 | 1.2 | 1.2 | |
| Observation | |||
| Station | CHAL | STL3 | GODL |
| Time (MJD) | 58,463.82489~58,463.82815 (281.7 s) | 58,282.52974~58,282.53282 (265.7 s) | 58,356.41004~58,356.41379 (323.9 s) |
| Data | 19 NP data points | 18 NP data points | 23 NP data points |
| Estimation | |||
| ) | RSR: diag [1 × 106, 1 × 106, 1 × 106, 1 × 10−20, 1 × 10−20, 1 × 10−20] m, m/s only LS: diag [1 × 106, 1 × 106, 1 × 106, 1, 1, 1] m, m/s | ||
| ) | 0.02 m/s | ||
| ) | 0.2 m/s | ||
| ) | 1.6 m/s | ||
| ) | 0.5 | ||
| Dynamic Model | Reference Models | Remarks |
|---|---|---|
| Gravity field () | JGM-3 [47] | Degree and order: 70 × 70, associated Legendre function: Clenshaw’s method [48] |
| Tidal variation in geopotential () | n.a. | Apply the four models below (+) based on IERS 2010 [46] |
| +Solid Earth tides | Anelastic | Permanent tide: tide-free |
| +Ocean tides | Ocean tide potential [49] | Ocean tide coefficient: FES2014 [50] |
| +Solid Earth pole tide | Mean pole model: cubic | Applied to the only dominant terms |
| +Ocean pole tide | Mean pole model: cubic | |
| Air drag () | NRLMSISE-00 [51] | Geomagnetic index: AP 3 h, solar flux: F10.7, F10.7A (data from Celestrak website) |
| Third-body attraction () | Sun, Moon, and all planets in the solar system | Ephemeris: JPL’s DE405 [52] |
| Solar radiation pressure () | Shadow model: umbra and penumbra [1] | Conical oblate and spherical Earth [45] |
| Earth radiation pressure () | Albedo and Earth thermal [45] | Numerical model to box wing and spherical satellite [53], Albedo coefficient [54] |
| Relativistic effects () | Schwarzschild, Lense–Thirring, and de Sitter [46] | Based on the Geocentric Celestial Reference System (GCRS) |
| Numerical integrator | Eight-order Runge–Kutta | Initial step size: 60 s |
| Earth orientation parameters | IAU’s Standards of Fundamental Astronomy [55] | EOP 14 C04 (data from IERS website) |
| SLR Measurement Model | Reference Models | Remarks |
|---|---|---|
| Basic measurement | SLR: round-trip travel time [18] | Speed of light: 299,792,458 m/s Elevation angle cutoff: 5 degrees |
| Troposphere | Mendes–Pavlis zenith delay model [57] Mendes–Pavlis mapping function [58] | Pressure, temperature, and humidity data of the area: SLR meteorological data |
| Tidal displacements | n.a. | Apply the five models below (+) based on IERS 2010 [46] |
| +Tectonic plate motion | ITRF 2014 [43] | Site position and velocity: using cartesian coordinate system data |
| +Solid Earth tide | DEHANTTIDEINEL.F | Corrections to be computed in the step 1 (time) and step 2 (frequency) domains to degree 2 and 3 tides |
| +Ocean tide loading | HARDISP.F | Site-dependent amplitude and phase data: FES2014 [50] |
| +Solid Earth pole tide | Mean pole model: cubic | Using love number: |
| +Ocean pole tide | Mean pole model: cubic | Ocean pole load tide deformation parameters [59] |
| Relativistic range correction | IERS 2010 [46] | Applied body: only Earth [60] |
| Light time correction | Round-trip range measurement [45] | Compute in an inertial frame of reference |
| Satellite Name (NORAD ID) | Epoch (MJD) | INC (deg.) | RAAN (deg.) | ECC | AOP (deg.) | MA (deg.) | n |
|---|---|---|---|---|---|---|---|
| Cryosat-2 (36,580) | 58,463.52 | 92.02 | 333.57 | 0.0005327 | 308.83 | 51.23 | 14.52 |
| Sentinel-3A (41,335) | 58,282.46 | 98.62 | 231.74 | 0.0001348 | 103.05 | 257.07 | 14.26 |
| Saral (39,086) | 58,355.91 | 98.54 | 63.71 | 0.0002145 | 69.52 | 290.61 | 14.32 |
| Loop No. | Grid Velocity Vector (m/s) | (m/s) | Difference to Assumed True Value (SP-3) in GCRF (m, m/s) | |||
|---|---|---|---|---|---|---|
| 0 | n.a. | n.a. | n.a. | Position: [−392.8, 157.6, −627.4] Velocity: [0.4128, 0.0678, −0.7074] | ||
| 1 | [−0.8:0.2:0.8] | 0.80 | 0.9648 | Position: [9.9, 337.8, 316.0] Velocity: [−0.3872, −0.5322, −0.1074] | ||
| [−0.8:0.2:0.8] | 0.60 | |||||
| [−0.8:0.2:0.8] | −0.60 | |||||
| 2 | [0:0.1:0.8] | 0.50 | 0.9137 | Position: [14.5, 28.2, 35.7] Velocity: [−0.0872, −0.1322, −0.0074] | ||
| [0:0.1:0.8] | 0.20 | |||||
| [−0.8:0.1:0] | −0.70 | |||||
| 3 | [0.3:0.05:0.7] | 0.40 | 0.7314 | Position: [−6.5, 8.8, 5.8] Velocity: [0.0128, 0.0178, −0.0074] | ||
| [0:0.05:0.4] | 0.05 | |||||
| [−0.8:0.05:−0.4] | −0.70 | |||||
| 4 | [0.3:0.025:0.5] | 0.40 | 0.7314 | Position: [−6.5, 8.8, 5.8] Velocity: [0.0128, 0.0178, −0.0074] | ||
| [−0.05:0.025:0.15] | 0.05 | |||||
| [−0.8:0.025:−0.6] | −0.70 | |||||
| 5 | [0.35:0.0125:0.45] | 0.40 | 0.7314 | Position: [−6.5, 8.8, 5.8] Velocity: [0.0128, 0.0178, −0.0074] | ||
| [0:0.0125:0.1] | 0.05 | |||||
| [−0.75:0.0125:−0.65] | −0.70 | |||||
| Loop No. | Grid Velocity Vector (m/s) | (m/s) | Difference to Assumed True Value (SP-3) in GCRF (m, m/s) | |||
|---|---|---|---|---|---|---|
| 0 | n.a. | n.a. | n.a. | Position: [−627.2, −170.3, 520.4] Velocity: [−0.0157, 0.2868, 0.2558] | ||
| 1 | [−0.8:0.2:0.8] | 0.6 | 0.9879 | Position: [758.4, −1117.9, −123.5] Velocity: [−0.6157, 0.4868, 0.0558] | ||
| [−0.8:0.2:0.8] | −0.2 | |||||
| [−0.8:0.2:0.8] | 0.2 | |||||
| 2 | [0:0.1:0.8] | 0.1 | 0.8612 | Position: [−9.1, 37.9, 2.0] Velocity: [−0.1158, −0.0869, −0.0442] | ||
| [−0.6:0.1:0.2] | 0.2 | |||||
| [−0.2:0.1:0.6] | 0.3 | |||||
| 3 | [−0.1:0.05:0.3] | 0.1 | 0.8612 | Position: [−9.1, 37.9, 2.0] Velocity: [−0.1158, −0.0869, −0.0442] | ||
| [0:0.05:0.4] | 0.2 | |||||
| [0.1:0.05:0.5] | 0.3 | |||||
| 4 | [0:0.025:0.2] | 0.0 | 0.8328 | Position: [29.3, −45.2, −5.5] Velocity: [−0.0158, 0.0119, 0.0058] | ||
| [0.1:0.025:0.3] | 0.275 | |||||
| [0.2:0.025:0.4] | 0.25 | |||||
| 5 | [−0.05:0.0125:0.05] | 0.0 | 0.8328 | Position: [29.3, −45.2, −5.5] Velocity: [−0.0158, 0.0119, 0.0058] | ||
| [0.225:0.0125:0.325] | 0.275 | |||||
| [0.2:0.0125:0.3] | 0.25 | |||||
| Loop No. | Grid Velocity Vector (m/s) | (m/s) | Difference to Assumed True Value (SP-3) in GCRF (m, m/s) | |||
|---|---|---|---|---|---|---|
| 0 | n.a. | n.a. | n.a. | Position: [−240.0, −164.1, 410.9] Velocity: [−0.2873, −0.3033, −0.4290] | ||
| 1 | [−0.8:0.2:0.8] | −0.40 | 0.9854 | Position: [−374.8, −88.9, −116.2] Velocity: [0.1126, 0.0967, −0.0290] | ||
| [−0.8:0.2:0.8] | −0.40 | |||||
| [−0.8:0.2:0.8] | −0.40 | |||||
| 2 | [−0.8:0.1:0] | −0.40 | 0.9526 | Position: [−155.5, −33.5, −31.9] Velocity: [0.1126, −0.0033, −0.0290] | ||
| [−0.8:0.1:0] | −0.30 | |||||
| [−0.8:0.1:0] | −0.40 | |||||
| 3 | [−0.6:0.05:−0.2] | −0.40 | 0.9420 | Position: [−265.1, −61.2, −74.0] Velocity: [0.1126, 0.0467, −0.0290] | ||
| [−0.5:0.05:−0.1] | −0.35 | |||||
| [−0.6:0.05:−0.2] | −0.40 | |||||
| 4 | [−0.5:0.025:−0.3] | −0.3 | 0.8392 | Position: [38.6, 11.1, 18.8] Velocity: [0.0126, −0.0283, −0.0040] | ||
| [−0.45:0.025:−0.25] | −0.275 | |||||
| [−0.5:0.025:−0.3] | −0.425 | |||||
| 5 | [−0.35:0.0125:−0.25] | −0.2625 | 0.8087 | Position: [−10.3, -3.1, −10.1] Velocity: [−0.0249, 0.0217, 0.0085] | ||
| [−0.325:0.0125:−0.225] | −0.325 | |||||
| [−0.475:0.0125:−0.375] | −0.4375 | |||||
| Loop No. | Grid Velocity Vector (m/s) | (m/s) | Difference to Assumed True Value (SP-3) in GCRF (m, m/s) | |||
|---|---|---|---|---|---|---|
| 0 | n.a. | n.a. | n.a. | Position: [−240.0, −164.1, 410.9] Velocity: [−0.2873, −0.3033, −0.4290] | ||
| 1 | [−0.8:0.2:0.8] | −0.40 | 0.8875 | Position: [507.7, 134.2, 222.9] Velocity: [0.1127, −0.3033, −0.0290] | ||
| [−0.8:0.2:0.8] | 0.0 | |||||
| [−0.8:0.2:0.8] | −0.40 | |||||
| 2 | [−0.8:0.1:0] | −0.40 | 0.8402 | Position: [287.1, 78.3, 138.1] Velocity: [0.1127, −0.2033, −0.0290] | ||
| [−0.4:0.1:0.4] | −0.10 | |||||
| [−0.8:0.1:0] | −0.40 | |||||
| 3 | [−0.6:0.05:−0.2] | −0.40 | 0.8402 | Position: [287.1, 78.3, 138.1] Velocity: [0.1127, −0.2033, −0.0290] | ||
| [−0.3:0.05:0.1] | −0.10 | |||||
| [−0.6:0.05:−0.2] | −0.40 | |||||
| 4 | [−0.5:0.025:−0.3] | −0.325 | 0.8385 | Position: [354.5, 91.6, 143.7] Velocity: [0.0377, −0.1783, −0.004] | ||
| [−0.2:0.025:0] | −0.125 | |||||
| [−0.5:0.025:−0.3] | −0.425 | |||||
| 5 | [−0.375:0.0125:−0.275] | −0.325 | 0.8385 | Position: [354.5, 91.6, 143.7] Velocity: [0.0377, −0.1783, −0.004] | ||
| [−0.175:0.0125:−0.075] | −0.125 | |||||
| [−0.475:0.0125:−0.375] | −0.425 | |||||
Disclaimer/Publisher’s Note: The statements, opinions and data contained in all publications are solely those of the individual author(s) and contributor(s) and not of MDPI and/or the editor(s). MDPI and/or the editor(s) disclaim responsibility for any injury to people or property resulting from any ideas, methods, instructions or products referred to in the content. |
© 2024 by the authors. Licensee MDPI, Basel, Switzerland. This article is an open access article distributed under the terms and conditions of the Creative Commons Attribution (CC BY) license (https://creativecommons.org/licenses/by/4.0/).
Share and Cite
Kim, D.-G.; Park, S.-Y.; Lee, E. A Novel Algorithm for Precise Orbit Determination Using a Single Satellite Laser Ranging System Within a Single Arc for Space Surveillance and Tracking. Aerospace 2024, 11, 989. https://doi.org/10.3390/aerospace11120989
Kim D-G, Park S-Y, Lee E. A Novel Algorithm for Precise Orbit Determination Using a Single Satellite Laser Ranging System Within a Single Arc for Space Surveillance and Tracking. Aerospace. 2024; 11(12):989. https://doi.org/10.3390/aerospace11120989
Chicago/Turabian StyleKim, Dong-Gu, Sang-Young Park, and Eunji Lee. 2024. "A Novel Algorithm for Precise Orbit Determination Using a Single Satellite Laser Ranging System Within a Single Arc for Space Surveillance and Tracking" Aerospace 11, no. 12: 989. https://doi.org/10.3390/aerospace11120989
APA StyleKim, D.-G., Park, S.-Y., & Lee, E. (2024). A Novel Algorithm for Precise Orbit Determination Using a Single Satellite Laser Ranging System Within a Single Arc for Space Surveillance and Tracking. Aerospace, 11(12), 989. https://doi.org/10.3390/aerospace11120989

