Next Article in Journal
Design and Performance Optimization of a Radial Turbine Using Hydrogen Combustion Products
Previous Article in Journal
Dynamics Model and Its Verification of Aerospace Three-Ring Gear Reducer
 
 
Font Type:
Arial Georgia Verdana
Font Size:
Aa Aa Aa
Line Spacing:
Column Width:
Background:
Article

Comparison of Two Fourier-Based Methods for Simulating Inlet Distortion Unsteady Flows in Transonic Compressors

1
Research Institute of Aero-Engine, Beihang University, Beijing 102206, China
2
National Key Laboratory of Science and Technology on Aero-Engines, Beihang University, Beijing 102206, China
*
Author to whom correspondence should be addressed.
Aerospace 2024, 11(12), 1050; https://doi.org/10.3390/aerospace11121050
Submission received: 27 November 2024 / Revised: 17 December 2024 / Accepted: 19 December 2024 / Published: 22 December 2024
(This article belongs to the Section Aeronautics)

Abstract

The aerodynamic performance of transonic compressors, particularly the stall margin, is significantly influenced by inlet distortion. While time-marching methods accurately simulate such unsteady flows, they can be time-consuming. To enhance the computational efficiency, two Fourier-based methods are proposed in this paper: the time-accurate method with interface filtering and the time–space collocation (TSC) method. The time-accurate method with interface filtering ignores the rotor–stator interaction effects, enabling a larger time step and faster convergence. In contrast, the TSC method accounts for harmonics of conservative variables and transforms the unsteady simulation into multiple steady-state calculations, thereby reducing computational costs. The two Fourier-based methods are validated using NASA Stage 67 and a two-stage transonic fan. Near the peak efficiency point, the results from both methods closely match that of URANS simulation and experimental data. The time-accurate method with interface filtering demonstrates a speed enhancement of 4 to 5 times as a result of a reduction in the iteration steps. In contrast, the TSC method exhibits a speed improvement of at least 20 times in two specific cases, attributable to the significantly smaller mesh size and iteration steps employed in the TSC method compared to the URANS method. Near the stall point, more harmonics for inlet distortion are necessary in TSC simulation to accurately capture flow separation. In the two-stage transonic fan simulations, the strong rotor–stator interaction effects lead to deviations from the URANS simulation; nevertheless, the Fourier-based simulations accurately reflect the trend of the stall margin under total pressure distortion. Overall, the Fourier-based methods show promising potential for engineering applications in estimating the performance degradation of compressors subjected to inlet distortion.

1. Introduction

Fans or compressors often operate under the condition of inlet distortion, which has been shown in numerous studies to affect the efficiency and stall margin of the compression system significantly [1,2]. Therefore, it is essential to understand the underlying flow physics within the fan or compressor subjected to inlet distortion. Many methods have been used to simulate inlet distortion flows in compressors, including dynamic models [3], parallel compressor models [4,5], actuator disk models [6,7], and body force modeling method [8,9]. While these simplified approaches can assess the effects of inlet distortion on the performance of compressors, they all fail to capture the coupling effects between inlet distortion and compressor blades accurately.
Yao et al. demonstrated the capability of the Unsteady Reynolds-Averaged Navier–Stokes (URANS) method in simulating inlet distortion flows in multistage transonic compressors [10]. Their results provided insights into the total pressure distortion transfer [11]. Fidalgo et al. then applied the URANS method to simulate flow in NASA Rotor 67 with a 120-degree sector of inlet total pressure distortion, proposing a streamline-based post-processing method to estimate the fan performance [12]. They found that upstream flow redistribution led to variations in work input around the annulus, influencing the downstream distortion pattern. Zhang et al., using the same distortion pattern, discovered that the stall margin decreased as the corrected speed was reduced [13]. Gunn and Hall extended URANS simulations to both a low-speed fan rig and a transonic fan under a representative boundary layer ingestion (BLI) inlet velocity profile. Their work showed that the transonic fan exhibited similar features to the low-speed fan, with additional variations in the shock structure due to BLI [14]. Page et al. further identified that the inlet total pressure distortion resulted in significant reductions in the compressor stall margin [15]. Although URANS is the most accurate method for simulating unsteady flow patterns under inlet distortion, the high computational costs make it impractical for daily design processes. To address this, Pullan et al. proposed a filtering technique for rotor–stator interface [16]. This method, based on the traditional time-accurate approach, applies spatial filtering at the interface to remove higher order harmonics. By eliminating these small-scale disturbances, a larger time step can be employed to resolve the low reduced frequency of interest, such as inlet distortion, significantly reducing the computational costs.
Inlet distortion typically exhibits spatial or temporal periodicity, and Fourier-based methods can efficiently simulate such flows. He and Ning introduced the nonlinear harmonic method (NLH), in which the time-averaged and unsteady perturbation equations were coupled and marched in pseudo-time simultaneously [17]. Mehdizadeh et al. applied NLH to simulate unsteady flows in NASA Stage 67 under a square inlet distortion profile, achieving a cost saving of two orders of magnitude compared to the URANS simulation [18]. Hall et al. proposed the harmonic balance method (HB), which approximates time-dependent flow variables using truncated temporal Fourier series [19]. This method has been applied to capture rotor–stator interactions [20], IGV-rotor interactions [21], and fan flutter analysis [22]. Ekici et al. extended HB method to account for multiple fundamental frequencies, enabling the analysis of wake–rotor interactions and potential interactions in adjacent blade rows [23]. However, the HB method is incapable of capturing the flows with a relative disturbance frequency of zero in multistage compressors. To addressed the limitations of the HB method, Wang et al. introduced the coupled time and passage spectral method, which can handle zero-frequency harmonics and time harmonics with the same frequency but different inter blade phase angles [24,25]. Based on the differential quadrature method, Du and Ning developed the time collocation method, and a cubic-spline-based approach can provide results nearly identical to those of the HB method. This method was several times faster than the conventional time-accurate method for simulating periodic transonic flows in aeroelastic analysis [26,27]. Building on the time collocation method, we developed the time–space collocation (TSC) method, which can simultaneously handle the rotor–stator interactions and unsteady interactions, which is relatively stationary in space, such as inlet distortion and clocking effects.
Fourier-based methods are widely used in analyzing blade row interactions and fan flutter in turbomachinery; however, their application in simulating inlet distortion flows is less frequently reported. This paper introduces the principles of the TSC method and demonstrates its effectiveness in simulating inlet distortion flows. In the TSC method, an interface filtering method is adopted at rotor–stator interfaces to prevent numerical aliasing. This interface filtering method can be integrated with the traditional URANS method to replace the sliding plane method, filtering out the small-scale disturbances like rotor–stator interactions. This allows for a larger time step and accelerates the convergence. Using the traditional URANS method as a benchmark, the accuracy of both the time-accurate method with interface filtering and the TSC method in simulating inlet distortion flows is evaluated. Firstly, the flow in NASA Stage 67 under square total pressure distortion is simulated and compared to existing experimental and numerical data. Additionally, the applicability of both methods is assessed through simulations of a two-stage transonic fan under total pressure distortion, demonstrating their potential ability in multistage compressor analysis.

2. Methodology

2.1. Traditional URANS Method

The semi-discretized integral form of Navier–Stokes equations can be written as
V Q t + R ( Q ) = 0
where V is the volume of control cell, Q is the vector of conservative variables, and R ( Q ) is the residual vector that contains spatial discretized convective flux, viscous flux, and source terms.
For the traditional URANS simulation, the dual time step method is adopted. The physical time derivatives are discretized by the three-point backward-difference scheme, which has second-order temporal accuracy. In the sub-iterations, the first-order backward scheme is used to calculate the pseudo-time derivatives. The iteration scheme can be written as
V Q τ + V t 3 Q n + 1 4 Q n + Q n 1 2 + R Q n + 1 = 0
where t and τ are physical and pseudo-time steps, respectively. And n is the iteration step in physical time.

2.2. Time-Accurate Method with Interface Filtering

The time-accurate method with interface filtering adopts a dual-time stepping approach similar to the traditional URANS method, but differs in the treatment of rotor–stator interfaces. The traditional URANS method employs a sliding plane method to transfer information across the rotor–stator interface, retaining all harmonics information. Steady-state simulation, on the other hand, employ a mixing plane method, which filters out circumferential fluctuations at the interface, leaving only the averaged values. As described by Pullan [16], the concept of interface filtering introduces a filtering threshold: the harmonics below the threshold can pass through the interface, while higher-order harmonics are filtered out. Thus, the interface filtering method serves as a flexible approach between the sliding plane method and mixing plane method.
The interface filtering method presented in this study can be applied not only to URANS but also to the TSC method, maintaining a unified framework. Users only need to specify the harmonic order when applying the interface filtering method. At a same spanwise location, the harmonics exceeding the specified harmonic order is filtered out at the donor side, while the retained harmonics are transferred to the receiver side. Unlike Pullan’s approach, the higher-order harmonics filtered out are not discarded; instead, their averaged effects are incorporated using the mixing plane method. This ensures a greater accuracy in the information transfer across the interface.
The traditional URANS simulation requires resolving small-scale disturbances, such as rotor–stator interactions, which demand very small time step, making the computation is very time-consuming. By applying the interface filtering method at the rotor–stator interface, small-scale disturbances can be filtered out, while larger-scale disturbances are retained, like inlet distortion.

2.3. Time–Space Collocation Method

In the compressor stage, the inlet steady-state distortion is a temporal periodic disturbance for the rotor blade. For the stator blade, the inlet distortion is a spatial periodic disturbance, while the rotor–stator interaction effects are temporal periodic disturbances. Therefore, this type of flow within the compressor exhibits both temporal and spatial periodic disturbances simultaneously.
The principle of time–space collocation method (TSC) is described in this part. For the temporal periodic flows in turbomachinery, the temporal perturbation of conservative variables Q at position P can be approximated by a truncated temporal Fourier series as
Q P , t = k = 1 N t A P , t k c o s ω t k t + B P , t k s i n ω t k t
ω t k = 2 π v P v k λ k
where Q P , t is the temporal perturbation quantity and N t is the number of temporal harmonics to be retained. A P , t k and B P , t k are the temporal Fourier coefficients of the k t h unsteady component with frequency ω t k , v k is the wave speed of the unsteady perturbation, λ k is the wavelength of the unsteady perturbation, and v P is the rotating speed of reference coordinates. A schematic representation of the temporal waves in the turbomachinery is shown in Figure 1.
In order to considering the geometric periodicity, the temporal perturbation can be obtained by expanding Equation (3) as
Q P , t = k = 1 N t A P , t k c o s ω t k t + m λ b v P v k + B P , t k s i n ω t k t + m λ b v P v k
where λ b is the pitch width of a single passage and m λ b is the circumferential position of the considered blade passage.
For spatial periodical flow, the spatial perturbation can also be approximated by a truncated Fourier series as
Q P , s m λ b = j = 1 N s A P , s j c o s 2 π m λ b λ j + B P , s j s i n 2 π m λ b λ j
where Q P , s is the spatial perturbation quantity, N s is the number of spatial harmonics being retained, and A P , s j and B P , s j are the spatial Fourier coefficients of the j t h harmonic with wavelength λ j . A schematic representation of the spatial waves in the turbomachinery is shown in Figure 1.
For temporal and spatial periodical flow, combining the temporal and spatial perturbation quantities leads to the perturbation of conservative variables. Hence, the conservative variables can be approximated by both temporal and spatial Fourier series and written as
Q P ( t , m λ b ) = Q ¯ P + j = 1 N s A P , s j c o s 2 π m λ b λ j + B P , s j s i n 2 π m λ b λ j + k = 1 N t A P , t k c o s ω t k t + m λ b v P v k + B P , t k s i n ω t k t + m λ b v P v k
In addition, Equation (7) can be written in a more compact form as
Q P ( t , m λ b ) = Q ¯ P + i = 1 N A P i c o s ( ω t i t + ω s i m λ b ) + B P i s i n ( ω t i t + ω s i m λ b )
ω s i = 2 π · s g n ( v P v i ) λ i
where Q ¯ P is the time–space-averaged quantity, and N = N t + N s is the total number of temporal and spatial harmonics being retained. In order to retain the N harmonics, at least 2 N + 1 independent samples of different time and passage index should be used.
Equation (8) can be written in a matrix form as
Q = T Q ~
where Q is the vector of conservative variables at 2 N + 1 chosen samples, Q ~ is the vector of Fourier coefficients for temporal and spatial harmonics, and T is the inverse discrete Fourier transform matrix.
Q = Q ( t 1 , m 1 λ b ) Q ( t 2 N + 1 , m 2 N + 1 λ b ) T
Q ~ = Q ¯ A k B k T
T = 1 c o s ( Ω 1 k ) s i n ( Ω 1 k ) 1 c o s ( Ω 2 N + 1 k ) s i n ( Ω 2 N + 1 k )
Ω i k = ω t i t i + ω s i m i λ b ; i = 1 , , 2 N + 1 ; k = 1 , , N
Thus, the time derivative term in Equation (1) at each sampled instant is represented by
Q t = T t Q ~
These 2 N + 1 equations are arranged in a matrix form, and a pseudo-time term is introduced to march it to steady state:
V Q τ + T t Q ~ + R Q = 0

2.4. Interface Filtering Method Adopted in URANS and TSC Methods

The interface filtering method is a Fourier-based approach. The conservative variables in Equation (8) can be simplified as
Q P t , m λ b = Q ¯ P + i = 1 N C A P i ω s i m λ b c o s ω t i t + C B P i ω s i m λ b s i n ω t i t
C A P i ω s i m λ b = A P i c o s ω s i m λ b + B P i s i n ω s i m λ b
C B P i ω s i m λ b = B P i c o s ω s i m λ b A P i s i n ω s i m λ b
Suppose the wave speed of the filtered wave is v f , and the wavelength is λ f . If v f = v P , the filtered wave is spatial perturbation. Otherwise, the filtered wave is temporal perturbation.
Sampling process is performed along the direction of filtering, such as the tangential direction of the interface. The discrete Fourier transform is performed to the coefficients C A j i and C B j i ( j = 1 , , J T 1 ; J T is the maximum number of the tangential mesh points), obtaining the Fourier coefficients C ¯ A a , C ¯ A b and C ¯ B a , C ¯ B b .
C ¯ A a = 1 M λ b j = 1 J T 1 m = 0 M 1 2 Δ P j A j i c o s ω s i m λ b + B j i s i n ω s i m λ b c o s ω s i P j + m λ b
C ¯ A b = 1 M λ b j = 1 J T 1 m = 0 M 1 2 Δ P j A j i c o s ω s i m λ b + B j i s i n ω s i m λ b s i n ω s i P j + m λ b
C ¯ B a and C ¯ B b are similar in form to the above. The superscript i denotes v f = v i and λ f = λ P .
Thus, the coefficients C ~ A j i and C ~ B j i of the filtered wave can be obtained.
C ~ A j i = C ¯ A a c o s ω s i P j + m λ b + C ¯ A b s i n ω s i P j + m λ b
C ~ B j i = C ¯ B a c o s ω s i P j + m λ b + C ¯ B b s i n ω s i P j + m λ b
The same filtering method is applied to the time–space-averaged quantity to obtain Q ¯ ~ j .
For the sake of simplicity, the final form of the filtered conservative variables is provided here.
Q ~ j t , m λ b = Q ¯ ~ j + i = 1 i D f N C ~ A j i c o s ω t i t + C ~ B j i s i n ω t i t
where D f is the set of filtered waves.
It can be written in a more compact form as follows
Q ~ j t , m λ b = Q ¯ ~ j + i = 1 i D f N A ~ j i c o s ω t i t + ω s i m λ b + B ~ j i s i n ω t i t + ω s i m λ b
A ~ j i = C ¯ A a c o s ω s i P j + C ¯ A b s i n ω s i P j
B ~ j i = C ¯ B a c o s ω s i P j + C ¯ B b s i n ω s i P j

2.5. Time–Space Sampling

In the TSC method, one of the most important issues is the selection of time instants and the passage index. According to previous studies, the condition number of the inverse Fourier transform matrix, based on the selected time instants and passage index, should be minimized; otherwise, the calculations may become divergent. To address this issue, an optimization algorithm known as the modified Gram–Schmidt process has been employed [28]. In this paper, the passage index ranges from 1 to the blade counts in the studied row. When determining the time instants, the longest period of considered disturbances in the studied blade row is expanded by 500 times, and then is firstly divided into K = 2 N + 1 evenly spaced time levels. The condition number of the inverse Fourier transform matrix is calculated, and the number of samples K are increased until the condition number of the inverse Fourier transform matrix is below 5.0. In this way, although the final number of time-passage samples is greater, the resulted condition number of the inverse Fourier transform matrix is small enough to ensure the stability of the calculation.

2.6. Boundary Conditions

The phase-shift boundary condition is adopted in the TSC method so that a single passage computational domain can be used. As shown in Figure 2, the flow variable at interior cells along the lower periodic boundary can be expressed as
Q L t , m λ b = Q ¯ L + i = 1 N A i L c o s ω t i t + ω s i m λ b + B i L s i n ω t i t + ω s i m λ b
The flow variable at the dummy cell along the upper boundary can be updated as
Q U t , m λ b = Q ¯ L + i = 1 N A i L c o s ω t i t + ω s i m λ b + δ i + B i L s i n ω t i t + ω s i m λ b + δ i
where δ i is the phase lag angle of i t h harmonic. The flow variables at dummy cells along the lower boundary can be updated using the same method, but with a different phase lag angle. At the rotor–stator interface, the flow field on the donor side is reconstructed using the phase-shift periodicity for the whole annulus and then interpolated to the receiver side for the K time–space samples.

2.7. Code Implementation

The time-accurate method with interface filtering and the TSC method were implemented in an in-house CFD code named MAP (Multi-purpose Advanced Prediction code for fluid dynamics), which has been extensively validated in simulating flows in turbomachinery [29]. MAP solves Reynolds-Averaged Navier–Stokes equations on structured grids, based on the cell-centered finite volume method. The advective flux was discretized by the LDFSS scheme, which is one of the AUSM family schemes and performs quite well in viscous and shock wave-containing flows [30]. The MUSCL interpolation with minmod limiter was used to achieve high orders of spatial accuracy and guarantee monotone solutions close to the discontinuities. The diffusive flux was evaluated by using the conventional central differencing scheme. And the one-equation Spalart–Allmaras turbulence model with near-wall formulations was applied for turbulent flows [31]. The original version of the code adopts the so-called matrix-free Gauss–Seidel iteration to solve the discretized system. In the TSC method, the Block–Jacobi successive over-relaxation implicit algorithm was adopted to enhance the computational stability [32]. For steady simulations of multistage turbomachinery, the novel mixing-plane method was applied at the rotor–stator interfaces [33]. Its core concept is that pitchwise non-uniformities are mixed out in a hypothetical extended region. The MAP code was parallelized based on the Message Passing Interface (MPI). Additionally, the GPU-based version of MAP is also available to provide the ability of large-scale simulations with much cheaper hardware [34].

3. Results and Discussion

3.1. Case 1: NASA Stage 67

Firstly, the NASA stage 67 was chosen as a test case, containing a rotor row with 22 blades and a stator row with 34 blades, as shown in Figure 3. The design rotating speed was 16,043 rpm. The experimental tests were carried out at the W8 Single Stage Compressor Test Facility at NASA Glenn Research Centre. Figure 4 depicts the computational domain that includes inlet duct, a rotor blade row, a stator blade row, and outlet duct, with three measurement stations (St1, St2, and St3). The distorted flow field was analyzed in detail at these stations.
Figure 5 shows the computational mesh at 50% span, which was generated by an in-house code named Turbomesh, which was designed to generate a structured mesh for turbomachinery simulation automatically. The O-3H mesh topology was used for a single blade passage. The rotor was modeled with a tip clearance of 0.3% span, and 1.78-milimeter-radius end wall fillet was included in the computational mesh. At the inlet, the total pressure, the total temperature, and the flow angles were specified. As shown in Figure 6, a 120-degree square total pressure distortion pattern is specified, and the total pressure in the distorted region is 10.5% lower than that in the undistorted region. Additionally, the total temperature remains uniform and the circumferential flow angle is set to be zero. The static pressure is specified with a simple radial equilibrium law at the outlet. Furthermore, the distortion experimental test was carried out at the 90% of design speed, corresponded to a corrected mass flow rate of 32 kg/s and a rotor pressure ratio of 1.46.
Five single passage grids with different sizes were used to explore the sensitivity of the mesh density through the steady calculation. As shown in Figure 7, the calculated results of the middle grid are close to that of the fine grid. Therefore, the middle grid was adopted for the steady calculations, with 1.2 million mesh points. The copied full annulus grid was adopted for the unsteady calculations, with 30.9 million mesh points.
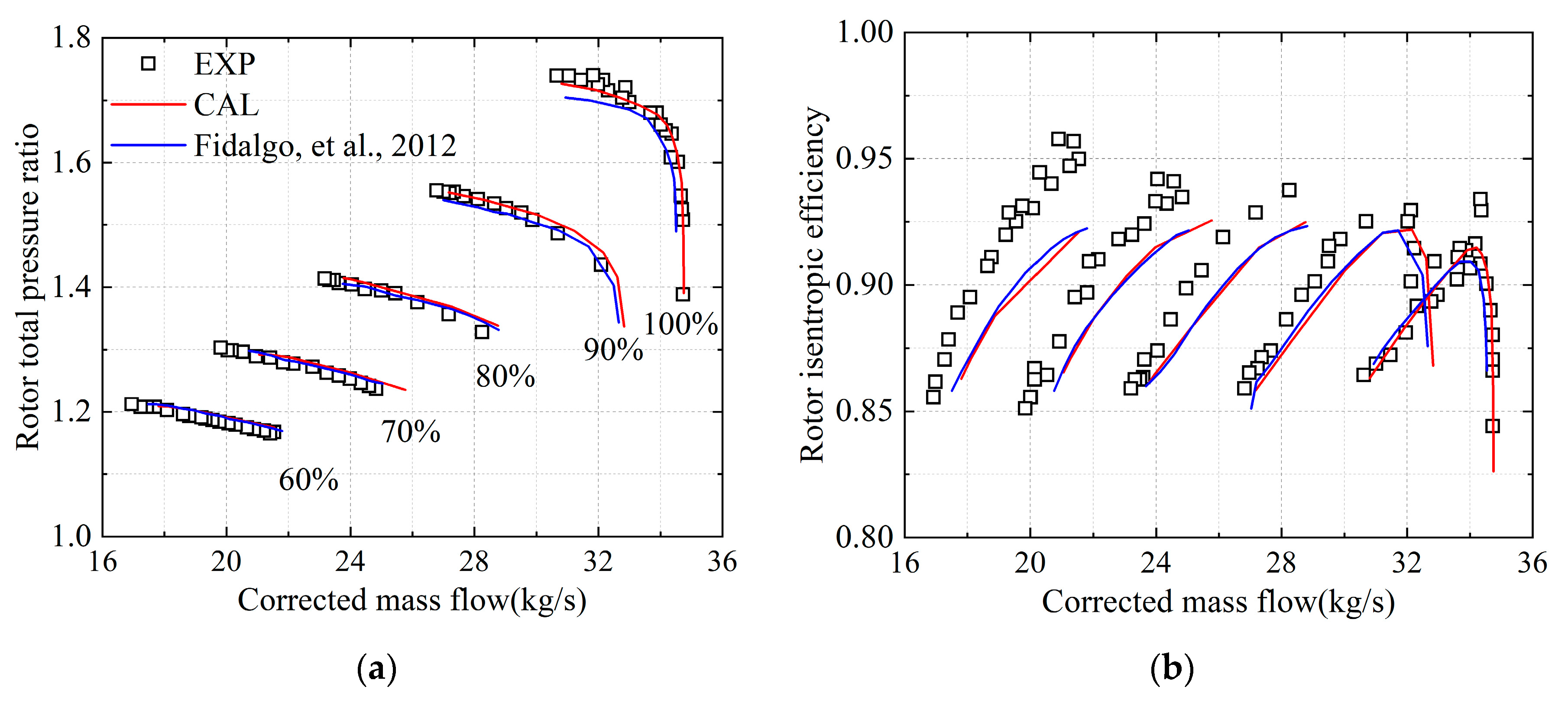
Figure 8 shows the total pressure ratio and isentropic efficiency characteristic of rotor alone operating with uniform inlet condition. The numerical results are very consistent with the experimental data at the design speed. At part speed, the predicted performance shows deviations. For instance, at 90% speed, the deviations in the stall mass flow rate and total pressure ratio are 1.4% and 0.2%, respectively, while the deviation in maximum efficiency is 0.8%. It can be seen that the predicted stall boundary is very close to the experimental data, which meet the requirements of this study on the impact of inlet distortion on performance. It is worth mentioning that the difference in efficiency is the same as that in Fidalgo’s research [12].
The interface filtering method retains the selected harmonics while discarding higher-order information based on the blade passing frequency (BPF). For comparison, an URANS simulation with inlet distortion condition was conducted with 1100 physical time iteration steps per revolution and 20 sub-iterations per physical time step. The choice of harmonic order in the interface filtering method is critical to simulation accuracy. By analyzing the circumferential distribution of kinetic energy and static pressure downstream of the rotor in the instantaneous results of the URANS simulation, the amplitude of each harmonic was examined. Figure 9 shows the cumulative fluctuation energy spectra of kinetic energy and static pressure at a different blade span downstream of rotor, retaining the first 25 harmonics. For static pressure, the first nine harmonics retain over 95% of the fluctuation energy. For kinetic energy, the first nine harmonics retain over 85% of the fluctuation energy near the hub and over 90% at most blade span. Thus, the first nine harmonics meet the simulation requirements for inlet distortion flows. Four simulations were performed with nine harmonics retained, using physical time iteration step per revolution values of 1100, 440, 220, and 110, respectively. All simulation cases in this paper were carried out using a 224 CPU cluster.
The convergence history of the isentropic efficiency for simulations with different physical time iteration steps is shown in Figure 10, with the horizontal axis representing the number of rotor revolutions. Generally, the flow field reaches a well-posed state after approximately four revolutions. Table 1 summarizes the number of iteration steps, wall time, and speed up factor for each case. The primary advantage of the interface filtering method is the significant reduction in the number of iteration steps, leading to lower computational costs.
The speed up factor is defined as
S P F = T n e w m e t h o d T U R A N S
where T n e w m e t h o d is the wall time of the new method simulation, and T U R A N S is the wall time of the URANS simulation.
The instantaneous entropy distribution at the 50% span is illustrated in Figure 11, with the boundaries of the inlet total pressure distortion delineated by black dashed lines. The results obtained from the URANS simulation indicate that the distorted flow is shafted in the direction of rotation after passing through the rotor. The wakes generated by the rotor blades propagate downstream, exhibiting an increased thickness in the regions affected by distortion, which signifies heightened mixing losses. In the results derived from the Filtering 1100 simulation, the rotor wakes are effectively filtered out, leaving only the disturbances attributable to the total pressure distortion within the stator passages. The phase-shift characteristics of the distorted flow observed in the Filtering 1100 simulation align with those from the URANS results. By decreasing the physical time iteration steps, both the Filtering 220 and Filtering 110 simulations are able to accurately capture the transfer of distortion. However, the reduction in the temporal accuracy results in an inadequate representation of the distortion within the rotor domain, particularly evident in the Filtering 110 simulation results. The discrepancies in the distortion pattern within the upstream rotor domain consequently lead to inaccuracies in the distortion pattern observed in the downstream stator domain. This situation highlights the inherent trade-off between the computational accuracy and efficiency when employing the time-accurate method with interface filtering to simulate inlet distortion flows. Achieving a balance between these factors is crucial for the attainment of reliable and efficient simulation results.
To achieve results closely matching that reported by Fidalgo [12], the back pressure in the numerical simulations was carefully adjusted. This calibrated back pressure value was used consistently across all simulation cases for comparison with the experimental data. As shown in Table 2, the rotor performance parameters indicate that the result of the Filtering 1100 simulation closely aligns with that of URANS simulation, demonstrating the accuracy of the interface filtering method in calculating the impact of inlet distortion on the compressor performance. It is shown that reducing the physical time iteration steps results in minimal performance deviation, with the largest deviation being less than 0.1%.
At the stator inlet (St2), the time-averaged total pressure and total temperature distributions at mid-span are shown in Figure 12. The URANS results closely match the experimental data, accurately capturing higher-order fluctuations. The Filtering simulations also capture the dominant patterns of the distorted flow effectively. However, the accuracy of the flow field resolution is influenced by the physical time iteration steps. When the physical time iteration steps per revolution is set to 110, significant differences appear in both the peak positions and values of the total pressure and temperature distributions compared to URANS. A spatial Fourier analysis of the total pressure distribution is shown in Figure 13. It reveals that, with a physical time iteration steps per revolution of 220, the amplitudes of the first nine modes differ slightly from URANS. This suggests that, considering both the computational accuracy and efficiency, a physical time iteration steps per revolution of 220 is sufficient for simulating inlet distortion flows.
The number of harmonics retained to capture the unsteady flow pattern is an important parameter in the TSC method. One can specify a different number of harmonics for each blade row at the very beginning of the TSC simulation, which represents how many modes of unsteady flow information will be communicated with adjacent blade rows. The first three, five, seven, and nine harmonics were used to represent the distribution of the inlet total pressure distortion profile. As shown in Figure 14, when using Fourier harmonics to fit the square waveform of total pressure distortion, the Gibbs phenomenon occurs. Retaining higher-order harmonics can effectively suppress the Gibbs phenomenon, resulting in a better fit.
This research sought to investigate the influence of the number of harmonics retained in the TSC method. Four distinct TSC simulations were executed, each incorporating a different number of harmonics to represent inlet distortion. Specifically, simulations were conducted utilizing the first three, five, seven, and nine harmonics for inlet distortion. In order to compare it with the time-accurate method with interface filtering, the rotor–stator interaction effects were not considered in this paper. An increase in the number of harmonics retained is expected to improve the spatial resolution of the inlet distortion representation, particularly in regions characterized by steep gradients. Theoretically, the inclusion of higher-order harmonics should lead to more accurate simulation results by facilitating a more precise reconstruction of the inlet distortion pattern, thereby enhancing the fidelity of its influence on the downstream flow field.
The simulations for Harmonics 5 and 9 calculated multiple operating points under inlet distortion, encompassing scenarios from choke to near stall points. In contrast, the Harmonics 3 and 7 simulations focused on identifying the near peak efficiency point along with two near stall points. These simulation cases served to validate the precision of the TSC method in accurately capturing compressor performance with the inlet distortion condition. Furthermore, the Filtering 220 simulation was conducted to analyze a near stall operating point, thereby assessing the effectiveness of the interface filtering method in proximity to the stall boundary. The URANS method was employed to simulate the choke point, the near peak efficiency point, and various near stall points for comparative analysis.
The performance characteristics of the compressor are depicted in Figure 15. Under the uniform inlet condition, the results of the steady-state simulation closely align with the measured data. Near the peak efficiency point, the steady-state simulation exhibits a slight overestimation of both the total pressure ratio and the isentropic efficiency. Nonetheless, these results are consistent with those obtained by Zhang et al. [13], who utilized the AU3D solver, suggesting that this discrepancy is acceptable. Conversely, the introduction of inlet total pressure distortion significantly reduces the total pressure ratio, isentropic efficiency, and stall margin. At large mass flow conditions (corrected mass flow rate greater than 30 kg/s), the performance calculated by the TSC method is very close to that of URANS. The number of retained harmonics has a minimal impact on the results, indicating that a small number of harmonics is sufficient for an accurate performance evaluation. Near the stall point, substantial flow separation occurs within the stator passages, presenting considerable challenges for numerical simulations and resulting in marked discrepancies between the methods. Retaining three harmonics for inlet distortion, the predicted stall mass flow rate significantly increases, and it clearly overestimates the total pressure ratio and isentropic efficiency. This indicates that retaining three harmonics is clearly insufficient for simulating the square total pressure distortion flows. For corrected mass flow rates below 30 kg/s, retaining five harmonics for inlet distortion leads to a significant underestimation of the total pressure ratio and isentropic efficiency. However, retaining seven harmonics yields a slight improvement in the total pressure ratio, although it still diverges from the URANS results. In contrast, retaining nine harmonics for inlet distortion produces results that are more consistent with those of the URANS simulation. This finding suggests that the inclusion of higher-order harmonics enhances the accuracy of simulations under inlet distortion conditions, particularly near the stall point. Furthermore, the results from the Filtering 220 simulation near the stall point align with those of the URANS simulation, indicating that this method is a reliable approach for the rapid assessment of performance under inlet distortion.
The rotor performance results for each simulation case are summarized in Table 3. Compared to the uniform inlet condition, inlet total pressure distortion significantly reduces the isentropic efficiency of the rotor blade row, while the total pressure ratio remains largely unaffected. The TSC simulation results closely align with those of the URANS simulation, validating the accuracy of the TSC method in assessing the impact of inlet distortion on the compressor performance. A comparative analysis of the flow field at this operating point followed, emphasizing the influence of the number of retained harmonics. Additionally, the stall margin under distortion condition decreases by approximately 7.6% compared to the uniform inlet condition. The stall margin predicted by the Filtering 220 simulation closely matches that of the URANS simulation. In contrast, the Harmonics 3, 5 and 7 simulations underestimate the stall margin, whereas the Harmonics 9 simulation demonstrates significant improvement.
The stall margin is defined as
S t a l l   m a r g i n = π s m ˙ o π o m ˙ s 1 × 100 %
where m ˙ o and π o are mass flow rate and total pressure ratio at the design operating point, respectively. Likewise, m ˙ s and π s are mass flow rate and total pressure ratio at the last near stall operating point, respectively.
Figure 16 illustrates the residual convergence history for four TSC simulations. All four simulations converge at a similar rate, with residuals decreasing by three orders of magnitude. Ultimately, the residuals of Harmonics 3, 5, and 7 converge well, while that of Harmonics 9 shows significant fluctuations. This discrepancy may be attributed to the larger number of retained harmonics, which increases the condition number of the inverse Fourier transform matrix, making the solution more challenging to converge. Figure 17 presents the convergence history of isentropic efficiency for each simulation, with the URANS results depicted using physical time steps. The TSC method requires only a few thousand iteration steps to achieve a quasi-steady state.
As outlined in Table 4, the URANS simulation achieves a well-posed periodic state after four revolutions, needing around 88,000 iteration steps. In the TSC method, the computational mesh size scales with the number of retained harmonics, which dictates the number of samples to be solved. Compared to the URANS simulation, TSC simulations use significantly smaller meshes and require far fewer iteration steps to reach a quasi-steady state. For instance, the mesh in the Harmonics 3 simulation is only one-fourth the size of the full-annulus mesh in the URANS simulation, with iteration steps reduced by at least an order of magnitude. However, retaining more harmonics for inlet distortion results in a larger mesh size and longer computational time. The TSC simulations require significantly fewer computational resources, achieving a speed-up of approximately an order of magnitude compared to the URANS simulation, making it a more efficient method for simulating complex distortion flows.
After the TSC method is performed, the time–space-averaged flow field and Fourier coefficients can be utilized to reconstruct the flow field at any given instant. The instantaneous total pressure distributions at the mid-span of different simulation cases near the peak efficiency point are depicted in Figure 18, which illustrates the overall accuracy of the calculation results. According to the URANS results, the inlet total pressure distortion maintains a square wave pattern until reaching the rotor blades. As the distorted flow passes through the rotor, the low-pressure region moves to the opposite direction of rotor rotation. A distinct high-pressure region forms where the rotor exits the distorted region. This is caused by the low static pressure in the distorted region, which induces a local tangential flow (indicated by the red arrow) at the boundary. When the rotor enters the distorted region, the co-swirl tangential flow reduces the incidence, resulting in a decrease in the total pressure ratio across the rotor. Conversely, as the rotor exits the distorted region, the counter-swirl flow increases the incidence, leading to an increase in the total pressure ratio.
In the results of the Filtering 220 simulation, slight diffusion is observed at the boundary of the distorted region upstream of the rotor, indicating that the filtering treatment at the rotor–stator interface has a minor influence on the upstream rotor flow field. The absence of rotor wakes in the stator passages leads to some discrepancies in the total pressure distribution compared to URANS. Nevertheless, the Filtering 220 simulation accurately captures the propagation of total pressure distortion within the compressor, aligning closely with the URANS results.
The TSC simulation results demonstrate that the propagation of total pressure distortion simulated with different numbers of retained harmonics aligns well with the URANS results, albeit with minor deviations. When only the first five harmonics are considered, the circumferential diffusion of the inlet total pressure distortion is more pronounced. Retaining additional harmonics, as in the Harmonics 9 simulation, significantly reduces this diffusion, yielding results that closely match those of the URANS simulation. Notably, the flow field near the peak efficiency point in the Harmonics 7 simulation is very similar to that of the Harmonics 9 simulation and is therefore not shown in this paper. However, due to the omission of rotor-stator interactions, rotor wakes are not evident in the stator passages, resulting in a flow field resembling time-averaged results.
Next, a detailed comparison was conducted on the propagation of the total pressure distortion and the generation of total temperature distortion, as simulated by different methods.
At the rotor inlet (St1), the total pressure distributions at mid-span from four simulation cases are compared to the experimental data in Figure 19. The URANS simulation preserves the square waveform of the inlet total pressure distortion pattern. In contrast, the TSC simulation cases yield smoother total pressure distributions with periodic waveforms in the plateau region, reflecting the use of low-order harmonics to approximate the flow field. The results of the Filtering 220 simulation align with those of URANS in the plateau regions, but show fluctuations at the boundary of the distorted region, attributed to a reduced temporal accuracy. A further analysis indicated that this boundary discrepancy has a minimal impact on the propagation of the total pressure distortion.
The accuracy of these harmonic approximations can be evaluated by examining the amplitude of each mode, which characterizes the distortion pattern’s shape and magnitude. A spatial Fourier analysis of the total pressure distribution was conducted. The first 11 mode amplitudes and relative deviations compared to URANS are shown in Figure 20, and the deviations are normalized by using the amplitudes of first mode of the URANS results. While the TSC and Filtering simulations follow a similar trend to URANS, there are differences in amplitude values. For the first five modes with large amplitudes, the Harmonics 5 simulation shows the highest discrepancies, with the fourth mode exceeding a 10% deviation and other modes nearing 5%. Retaining more harmonics for inlet distortion, the Harmonics 9 simulation reduces these discrepancies significantly, keeping almost below 3%. The Harmonics 9 simulation captures higher-order modes, which is beneficial to improve the accuracy of the simulation results. With the interface filtering method, Filtering 220 simulation achieves the smallest deviation in each mode’s amplitude, remaining almost below 1%.
The interaction between the inlet total pressure distortion and the compressor generates static pressure distortion in the incoming flow. This static pressure gradient induces local tangential flow, causing fluid from the undistorted region to migrate toward the distorted region. This effect is particularly evident in the distribution of the absolute swirl angle at the rotor inlet (St1), with maximum flow angles occurring at the boundaries of the distorted region (120° and 240°), as shown in Figure 21. The results of TSC and Filtering simulations closely match that of URANS simulation, accurately capturing the same trends and values in the circumferential variation in flow angles.
Figure 22 shows the total pressure, total temperature, and absolute swirl flow angle at the stator inlet (St2), adopting the time-averaged results from the URANS simulation. The inlet total pressure distortion undergoes significant changes after passing through the rotor blades, inducing total temperature distortion as well. The simulated total pressure and temperature distributions closely match the experimental data, though the simulation slightly overestimates the total pressure where the rotor exits from the distorted region (240°). Due to potential disturbance of the stator blade, the extracted absolute swirl flow angle distributions show high wave number fluctuations, yet the overall results align well with the experimental data.
Figure 23 and Figure 24 present the amplitudes of each mode of total pressure and total temperature, respectively, along with their relative deviations compared to URANS, for the first 11 modes. For the first five modes of the total pressure and total temperature distributions, the Harmonics 5 simulation exhibits the largest discrepancies, with the fourth mode deviating by 15% for the total pressure and 22% for the total temperature. This indicates that retaining only five harmonics for inlet distortion is insufficient to accurately capture the propagation of total pressure distortion. In contrast, the Harmonics 9 simulation significantly reduces these discrepancies, with high-order modes generally maintaining deviations below 3%, except for the ninth mode. Among all cases, the Filtering 220 simulation achieves the smallest deviations across modes. These results highlight that retaining more harmonics for inlet distortion not only provides information about higher-order modes but also ensures accurate amplitudes for lower-order modes.
Figure 25 presents the distribution of the total pressure, total temperature, and absolute swirl flow angle downstream of the stator (St3). After the distorted flow passes through the stator blades, the total pressure and temperature distributions remain largely unchanged. This indicates that the inlet total pressure distortion persists after passing through the single-stage fan and induces total temperature distortion, which continues to affect downstream components. The results from the TSC and Filtering simulations align closely with both URANS and experimental data. The deviations in mode amplitudes between these Fourier-based simulations and URANS simulation are similar to those observed at the stator inlet (St2) (not shown in this paper).
The analysis above shows that the TSC method and time-accurate method with interface filtering effectively capture the propagation of total pressure distortion and the generation of total temperature distortion, closely aligning with the experimental data and URANS results. Harmonics 5 simulation includes only the first five harmonics for inlet distortion, which exhibits discrepancies in modal amplitudes compared to the URANS results, while Harmonics 9 simulation, which retain more harmonics for inlet distortion, closely matches the URANS results in each mode amplitude. In these Fourier-based simulations, the results of the time-accurate method with interface filtering are closest to those of the URANS simulation, primarily because it follows an iterative solving process similar to URANS.
As the stall boundary approaches, the impact of the harmonics retained in TSC simulations on the results becomes increasingly significant. At low mass flow rate operating points, the Harmonics 5 simulation underestimates both the pressure ratio and isentropic efficiency, whereas the Harmonics 9 simulation closely matches the URANS results, providing a more accurate stall margin assessment. The axial velocity distributions downstream of the stator are shown in Figure 26. In the time-averaged URANS results, a lower axial velocity in the distorted region induces significant flow separation in the six stator blade passages near the hub. Conversely, a higher axial velocity in the undistorted region indicates improved flow conditions. In the Harmonics 5 simulation, substantial deviations from the URANS results are observed. Three additional blade passages in the distorted region experience separation, resulting in an increased blockage. And slight separation occurs near the casing in the undistorted region, leading to reductions in the total pressure ratio, isentropic efficiency, and mass flow rate. The Harmonics 7 simulation improves accuracy by predicting separation regions consistent with the URANS results, although the separation cells in each blade passage near the hub are larger. Additionally, separation near the casing in the undistorted region is suppressed. These findings suggest that the complexity of flow in separated blade passages requires more harmonics in TSC simulations for accurate modeling. By retaining nine harmonics for inlet distortion, the results closely align with the URANS simulation in both the separation locations and the size of separation cells near the hub, while completely eliminating separation near the casing.

3.2. Case 2: Two-Stage Transonic Fan

This section examines the performance of a two-stage transonic fan under inlet total pressure distortion. As shown in Figure 27, the fan contains four blade rows, including one tandem stator. The rotating speed was 13,266 rpm. The O-3H mesh topology was used for a single blade passage, and the mesh size for each blade passage and blade counts are listed in Table 5. The overall mesh size of single passage was about 2.3 million, and the mesh size of full annulus was nearly 70.6 million.
The total pressure distortion pattern adopted for the two-stage transonic fan is shown in Figure 28. It represents the typical distortion patterns in experiments, which are generated by inserting a baffle in a straight pipe. This pattern composes the circumferential and radial non-uniformity. The averaged total pressure at distorted region is 3.9% lower than the undistorted region. And the area proportion of the low total pressure region is 44.1%.
Figure 29 shows the inlet total pressure distortion profile at 70% span, reconstructed using different orders of harmonics. It is evident that the original distortion profile is relatively smooth, with a less steep gradient between the distorted and undistorted regions compared to the total pressure distortion profile used for NASA Stage 67. Retaining the first three harmonics is sufficient to capture the shape of the total pressure distortion with minimal fluctuations. When five or seven harmonics are retained, the reconstructed profile matches the original profile very well.
Initially, a steady-state simulation with uniform inlet condition was performed using a single passage mesh. Then, the TSC method with three, five, and seven harmonics for inlet distortion was applied to simulate the fan under inlet distortion. Harmonics 5 evaluated multiple operating points from the choke point to the stall boundary under inlet distortion. Harmonics 3 and Harmonics 7, on the other hand, only analyzed the peak efficiency point and two near-stall points. Following this, the time-accurate method with interface filtering was adopted to simulate the distorted flow, with nine harmonics retained at the rotor–stator interface. Based on the results of NASA stage 67, using 10 physical time steps per blade passage (equivalent to 220 physical time steps per revolution) is sufficient to capture the distortion propagation. Accordingly, in this case, the physical time step in a revolution was set to be 190, with 20 sub-iteration steps per physical time step. The interface filtering method was applied to simulate two operating points: one at the peak efficiency point and the other near the stall boundary. For comparison, URANS simulations were also conducted. The number of physical time step per revolution was set to be 950, and 20 sub-iteration steps in one physical time step were adopted.
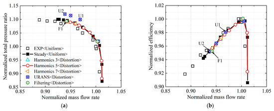
The corrected performance results of different simulation cases are shown in Figure 30. The performance results of the steady-state simulation under uniform conditions are close to the experimental data. The stall margin significantly decreases when the fan is subjected to inlet total pressure distortion. The performance results of Filtering and TSC simulations align closely with those obtained by URANS simulation at the peak efficiency point. Near the stall boundary, the results of TSC simulations agree well with Filtering simulation. The number of harmonics in the TSC method has little impact on the predicted stall margin. While the stall mass flow rate and efficiency of Fourier-based simulations are closed to that of URANS, the total pressure ratio is lower. The stall margin of each calculation case is shown in Table 6. Due to lower total pressure ratio calculated by Fourier-based simulations at the near stall point, the stall margins are lower than that of URANS.
As illustrated in Table 7, the URANS simulation achieves a well-defined periodic state after four revolutions, and the iteration steps are as high as 76,000. The Filtering simulation needs only 15,200 iteration steps for convergence, which is far reduced compared to the URANS simulation, obtaining about five times speed-up. The TSC simulations requires only 1000 iteration steps to reach a quasi-steady state. The TSC method is much more CPU-efficient, achieving about an order of magnitude speed-up.
At the peak efficiency point, the total pressure and total temperature distributions at the downstream side of R1-S1 interface are shown in Figure 31, with the URANS simulation providing both time-averaged and instantaneous results. The rotor rotates clockwise. The interaction between the inlet total pressure distortion and the fan induces significant changes in the distorted flow as it passes through the compressor. As the rotor enters the distorted region, a reduction in work input leads to lower total pressure and temperature at the outlet, accompanied by pronounced radial distortion. Upon leaving the distorted region, the increased work input raises the total pressure and temperature, again with radial distortion.
Due to the absence of the rotor–stator interaction, the rotor wakes are not observed on the downstream side of the rotor–stator interface. The results of Filtering and Harmonics 5 exhibit noticeable deviations from the instantaneous results of URANS but are very close to the time-averaged results. Both Filtering and Harmonics 5 accurately capture the patterns of total pressure and total temperature distortions through the fan rotor, demonstrating the ability to reproduce the domain characteristics of inlet distortion despite the simplifications in transient dynamics.
As shown in Figure 32, the circumferential total pressure distortion is attenuated significantly downstream of Rotor 2, but the total temperature distortion remains. It can be shown that, due to the radial migration of the flow in the hub regions, the radial total pressure and total temperature distortions are obviously downstream of Rotor 2. Filtering and Harmonics 5 accurately capture the attenuation of total pressure distortion and the growth of total temperature distortion, with the distortion patterns closely matching the time-averaged results of URANS. This comparison demonstrates that Fourier-based methods can reliably simulate the propagation of inlet distortion within the transonic fan.
Near the stall boundary, the back pressure of operating points F1 and U1 is the same as that of the final stable point calculated by the Harmonics 5 simulation. The total pressure ratio predicted by Fourier-based simulations aligns with the URANS result, but the mass flow rate and efficiency are lower by 2.8% and 2.5%, respectively. At the same mass flow rate, the efficiency predicted by Fourier-based simulations match that of URANS, but the total pressure ratio is lower due to reduced back pressure. At the stall boundary, the total pressure ratio calculated by Fourier-based simulations is 2.3% lower than that of URANS (operating point U2).
One source of deviation between Fourier-based simulations and URANS simulations lies in the treatment of rotor–stator interfaces. Figure 33 shows the static pressure distribution at 90% span in operating point U2, and these blade passages are located in the middle of distorted region. Strong shock structures are observed in both rotor blade passages of this fan, indicating high loading characteristics. The detached bow shock in R2 extends upstream and reflects in the stator blade row S1, forming a complex shock structure. At the same time, S1 are swept by the wake of upstream rotor R1. These factors result in strong pressure fluctuations on the surface of the S1 blades.
Figure 34 illustrates the fluctuation energy spectra of kinetic energy and static pressure downstream of each blade row in the single-passage steady-state simulation. It can be observed that retaining over 90% of the fluctuation energy requires considering at least the first three, five, and six harmonics of the blade passing frequency (BPF) for R1, S1, and R2, respectively. In scenarios with strong rotor–stator interaction effects, neglecting high-order harmonics in Fourier-based methods can lead to significant deviations in the transmission of upstream and downstream flow field information.
Figure 35 illustrates the axial velocity distribution at 90% blade span downstream of S1, where higher-order harmonics have been filtered out. It can be observed that the axial velocity obtained by the Fourier-based methods is generally lower than that of URANS, while the distortion pattern remains consistent. In terms of mean value of the axial velocity, the results of the Filtering and Harmonics 5 cases are 4.7% and 5.3% lower than that of URANS, respectively. Figure 36 shows the modal amplitudes and relative deviations of the axial velocity for each harmonic. The relative deviations are normalized by using the first mode amplitude of the URANS results. It is evident that the Fourier-based method exhibits significant deviations in the amplitudes of the first five modes. It indicates that, under strong rotor–stator interaction effects, the Fourier-based methods can capture reasonable distortion patterns despite deviations in modal amplitudes. Accounting for rotor–stator interactions might reduce these deviations, which could be beneficial for studying rotor–stator interaction problems. This is beyond the scope of the present study, and related research will be conducted in the future.
Figure 37 presents the normalized total pressure ratio upstream and downstream of R2 blade across various cases, using the design total pressure ratio as a reference. At the stall boundary, the total pressure ratio for the first stage predicted by the Fourier-based methods aligns closely with the URANS results. However, the total pressure ratio for the second stage is comparatively lower. The circumferentially averaged loading coefficient of R2 blade is shown in Figure 38. At most blade span positions, the loading coefficient predicted by the Fourier-based method is lower than that of URANS. This indicates that, in the results of the Fourier-based simulation, the work input of R2 blade is underestimated, leading to a lower total pressure rise.
In this two-stage transonic fan, significant separation is observed near the casing of the stator passages, potentially triggering stall. Figure 39 shows the axial velocity distribution at 90% span within the distortion region, with black dashed lines indicating the distortion boundary. From the URANS results, the bow shock present in the rotor passage is consistent with near-stall conditions, and varying degrees of separation are observed in the stator passages. The high incidence to the S2 blade results in severe separation in both the front and rear blades of the tandem stator. Both Filtering and Harmonics 5 simulations capture the severe separation in the S2 passages, along with minor separation near the suction side trailing edge of the S1 blade. The Fourier-based methods tend to overestimate the separation region, especially near the distortion boundary. This overestimation arises because interface filtering eliminates rotor–stator interaction effects, increasing the incidence to the stators. Nonetheless, the flow structures simulated by the Fourier-based methods remain highly consistent with those of the URANS simulation.

4. Conclusions

This paper compares two Fourier-based harmonic methods using two transonic compressors, focusing on the effects of inlet distortion on compressor performance and flow characteristics. Key contents include:
(1)
To address the high computational costs of URANS in simulating inlet distortion flows, this paper proposes two Fourier-based methods: the time-accurate method with interface filtering and the time–space collocation (TSC) method. The effectiveness of the two methods in simulating inlet distortion flows is validated on NASA Stage 67 and a two-stage transonic fan.
(2)
The time-accurate method with interface filtering omits rotor–stator interaction effects, allowing for larger time step and faster convergence. In simulations of NASA Stage 67, it closely matches URANS results at both near peak efficiency and near stall points, achieving a speed-up of 4 to 5 times. While it accurately captures distortion propagation at the peak efficiency point, deviations from the URANS results are observed near the stall point in the two-stage transonic fan due to strong rotor–stator interactions.
(3)
The TSC method accounts for harmonics of conservative variables and transfers the unsteady simulation into multiple steady-state calculations to save computational cost. Near peak efficiency point, the TSC method accurately captures the distortion propagation with minimal sensitivity to the number of retained harmonics for inlet distortion, achieving a speed-up of at least 20 times. The mesh size in the TSC method is related to the order of harmonics, which is much less than the full-annulus mesh. Additionally, the iteration steps for a single operating point are much smaller than those of URANS, thereby providing the TSC method with a significant acceleration advantage. However, at near stall point, more harmonics for inlet distortion are needed to capture local separation phenomena in the stator passages. In the two-stage transonic fan simulations, strong rotor–stator interaction effects lead to a deviation between the TSC method and URANS method.
(4)
In the NASA Stage 67 simulations, the stall margin under total pressure distortion predicted by Fourier-based methods aligns closely with the URANS results. However, in the two-stage fan simulations, where rotor–stator interaction effects are more pronounced, the Fourier-based methods underestimate the total pressure ratio near the stall boundary, resulting in a slightly lower stall margin compared to URANS. Despite this, the stall margin trend predicted by the Fourier-based methods matches that of URANS, and the near-stall flow structures are similarly represented. This demonstrates that the proposed Fourier-based methods are reliable for evaluating the impact of inlet distortion on transonic compressor performance and have promising engineering applications.

Author Contributions

Conceptualization, L.W., P.D. and F.N.; methodology, P.D. and F.N.; software, F.N.; validation, L.W.; formal analysis, L.W.; investigation, L.W.; data curation, L.W.; writing—original draft preparation, L.W.; writing—review and editing, L.W., P.D. and F.N. All authors have read and agreed to the published version of the manuscript.

Funding

This research was funded by National Science and Technology Major Project (NO. J2022-II-0001-0004, NO. J2022-IV-0010-0024). The support is gratefully acknowledged.

Data Availability Statement

Data are contained within the article.

Conflicts of Interest

The authors declare no conflicts of interest.

References

  1. Reid, C. The Response of Axial Flow Compressors to Intake Flow Distortion. In Proceedings of the ASME 1969 Gas Turbine Conference and Products Show, Cleveland, OH, USA, 9–13 March 1969. [Google Scholar] [CrossRef]
  2. Biesiadny, T.J.; Braithwaite, W.M.; Soeder, R.H.; Abdelwahab, M. Summary of investigations of engine response to distorted inlet conditions. In Proceedings of the Propulsion and Energetics Panel, Münich, Germany, 8–9 September 1986. [Google Scholar]
  3. Hale, A.; Davis, M. DYNamic turbine engine compressor code (DYNTECC)-theory and capabilities. In Proceedings of the 28th Joint Propulsion Conference and Exhibit, Nashville, TN, USA, 6–8 July 1992. [Google Scholar]
  4. Pearson, H.; McKenzie, A.B. Wakes in axial compressors. Aeronaut. J. 1959, 63, 415–416. [Google Scholar] [CrossRef]
  5. Mazzawy, R.S. Multiple segment parallel compressor model for circumferential flow distortion. J. Eng. Power 1977, 99, 288–296. [Google Scholar] [CrossRef]
  6. Yeh, H. An actuator disc analysis of inlet distortion and rotating stall in axial flow turbomachines. J. Aerosp. Sci. 1959, 26, 739–753. [Google Scholar] [CrossRef]
  7. Takata, H.; Nagano, S. Nonlinear analysis of rotating stall. J. Eng. Power 1972, 94, 279–293. [Google Scholar] [CrossRef]
  8. Chima, R.V. A three-dimensional unsteady CFD model of compressor stability. In Proceedings of the ASME Turbo Expo 2006: Power for Land, Sea, and Air, Barcelona, Spain, 8–11 May 2006; pp. 1157–1168. [Google Scholar] [CrossRef]
  9. Thollet, W.; Dufour, G.; Carbonneau, X.; Blanc, F. Body-force modeling for aerodynamic analysis of air intake–fan interactions. Int. J. Numer. Methods Heat Fluid Flow 2016, 26, 2048–2065. [Google Scholar] [CrossRef]
  10. Yao, J.; Gorrell, S.E.; Wadia, A.R. High-Fidelity Numerical Analysis of Per-Rev-Type Inlet Distortion Transfer in Multistage Fans—Part I: Simulations with Selected Blade Rows. J. Turbomach. 2010, 132, 041014. [Google Scholar] [CrossRef]
  11. Yao, J.; Gorrell, S.E.; Wadia, A.R. High-Fidelity Numerical Analysis of Per-Rev-Type Inlet Distortion Transfer in Multistage Fans—Part II: Entire Component Simulation and Investigation. J. Turbomach. 2010, 132, 041015. [Google Scholar] [CrossRef]
  12. Fidalgo, V.J.; Hall, C.A.; Colin, Y. A Study of Fan-Distortion Interaction Within the NASA Rotor 67 Transonic Stage. J. Turbomach. 2012, 134, 051011. [Google Scholar] [CrossRef]
  13. Zhang, W.; Stapelfeldt, S.; Vahdati, M. Influence of the inlet distortion on fan stall margin at different rotational speeds. Aerosp. Sci. Technol. 2020, 98, 105668. [Google Scholar] [CrossRef]
  14. Gunn, E.J.; Hall, C.A. Aerodynamics of Boundary Layer Ingesting Fans. In Proceedings of the ASME Turbo Expo 2014: Turbine Technical Conference and Exposition, Düsseldorf, Germany, 16–20 June 2014. [Google Scholar] [CrossRef]
  15. Page, J.H.; Hield, P.; Tucker, P.G. Effect of inlet distortion features on transonic fan rotor stall. J. Turbomach. 2018, 140, 071008. [Google Scholar] [CrossRef]
  16. Pullan, G.; Adamczyk, J.J. Filtering Mixing Planes for Low Reduced Frequency Analysis of Turbomachines. J. Turbomach. 2017, 139, 091009. [Google Scholar] [CrossRef]
  17. He, L.; Ning, W. Efficient Approach for Analysis of Unsteady Viscous Flows in Turbomachines. AIAA J. 1998, 36, 2005–2012. [Google Scholar] [CrossRef]
  18. Mehdizadeh, O.Z.; Vilmin, S.; Tartinville, B.; Hirsch, C. Efficient simulation of inlet distortion in engine fan stage using nonlinear harmonic method. In Proceedings of the 13th European Conference on Turbomachinery Fluid Dynamics and Thermodynamics ETC13, Lausanne, Switzerland, 8–12 April 2019. [Google Scholar] [CrossRef]
  19. Hall, K.C.; Thomas, J.P.; Clark, W.S. Computation of Unsteady Nonlinear Flows in Cascades Using a Harmonic Balance Technique. AIAA J. 2002, 40, 879–886. [Google Scholar] [CrossRef]
  20. Sicot, F.; Dufour, G.; Gourdain, N. A Time-Domain Harmonic Balance Method for Rotor/Stator Interactions. J. Turbomach. 2012, 134, 011001. [Google Scholar] [CrossRef]
  21. Ekici, K.; Hall, K.C.; Kielb, R.E. Harmonic Balance Analysis of Blade Row Interactions in a Transonic Compressor. J. Propuls. Power 2010, 26, 335–343. [Google Scholar] [CrossRef]
  22. Bakhle, M.; Thomas, J.; Reddy, T. Fan Flutter Computations Using the Harmonic Balance Method. In Proceedings of the 44th AIAA/ASME/SAE/ASEE Joint Propulsion Conference, Hartford, CT, USA, 21–23 July 2008. [Google Scholar] [CrossRef]
  23. Ekici, K.; Hall, K.C. Nonlinear Analysis of Unsteady Flows in Multistage Turbomachines Using Harmonic Balance. AIAA J. 2007, 45, 1047–1057. [Google Scholar] [CrossRef]
  24. Wang, D.; Zhang, S.; Huang, X.; Huang, H. Coupled Time and Passage Spectral Method for an Efficient Resolution of Turbomachinery Far Upstream Wakes. J. Turbomach. 2021, 144, 021006. [Google Scholar] [CrossRef]
  25. Huang, X.; Wang, D.X. Time-Space Spectral Method for Rotor–Rotor/Stator–Stator Interactions. J. Turbomach. 2019, 141, 111006. [Google Scholar] [CrossRef]
  26. Du, P.; Ning, F. Simulating Periodic Unsteady Flows Using a Cubic-Spline-Based Time Collocation Method. J. Turbomach. 2014, 136, 041014. [Google Scholar] [CrossRef]
  27. Du, P.; Ning, F. A cubic-spline-based time collocation method applied to simulate periodic transonic flows. Proc. Inst. Mech. Eng. Part G J. Aerosp. Eng. 2017, 231, 17–29. [Google Scholar] [CrossRef]
  28. Guédeney, T.; Gomar, A.; Gallard, F.; Sicot, F.; Dufour, G.; Puigt, G. Non-uniform time sampling for multiple-frequency harmonic balance computations. J. Comput. Phys. 2013, 236, 317–345. [Google Scholar] [CrossRef]
  29. Ning, F. MAP: A CFD Package for Turbomachinery Flow Simulation and Aerodynamic Design Optimization. In Proceedings of the ASME Turbo Expo 2014, Düsseldorf, Germany, 16–20 June 2014. [Google Scholar] [CrossRef]
  30. Edwards, J.R. A low-diffusion flux-splitting scheme for Navier-Stokes calculations. Comput. Fluids 1997, 26, 635–659. [Google Scholar] [CrossRef]
  31. Ning, F.; Xu, L. Numerical investigation of transonic compressor rotor flow using an implicit 3D flow solver with one-equation Spalart-Allmaras turbulence model. In Proceedings of the ASME Turbo Expo 2001, New Orleans, LA, USA, 4–7 June 2001. [Google Scholar] [CrossRef]
  32. Sicot, F.; Puigt, G.; Montagnac, M. Block-Jacobi implicit algorithms for the time spectral method. AIAA J. 2008, 46, 3080–3089. [Google Scholar] [CrossRef]
  33. Du, P.; Ning, F. Validation of a novel mixing-plane method for multistage turbomachinery steady flow analysis. Chin. J. Aeronaut. 2016, 29, 1563–1574. [Google Scholar] [CrossRef][Green Version]
  34. Ju, P.; Ning, F. Numerical Investigation of the Prestall Behavior in a Transonic Axial Fan Rotor. In Proceedings of the ASME Turbo Expo 2014, Düsseldorf, Germany, 16–20 June 2014. [Google Scholar] [CrossRef]
Figure 1. Temporal and spatial waves in turbomachinery.
Figure 1. Temporal and spatial waves in turbomachinery.
Aerospace 11 01050 g001
Figure 2. The periodic boundaries and dummy cells.
Figure 2. The periodic boundaries and dummy cells.
Aerospace 11 01050 g002
Figure 3. NASA stage 67.
Figure 3. NASA stage 67.
Aerospace 11 01050 g003
Figure 4. Meridional view of NASA stage 67.
Figure 4. Meridional view of NASA stage 67.
Aerospace 11 01050 g004
Figure 5. Computational mesh at 50% span.
Figure 5. Computational mesh at 50% span.
Aerospace 11 01050 g005
Figure 6. The 120 deg total pressure distortion pattern.
Figure 6. The 120 deg total pressure distortion pattern.
Aerospace 11 01050 g006
Figure 7. Performance results of the different grids.
Figure 7. Performance results of the different grids.
Aerospace 11 01050 g007
Figure 8. Performance of the rotor-alone configuration under uniform inlet conditions: (a) corrected mass flow versus total pressure ratio; (b) corrected mass flow versus isentropic efficiency. Fidalgo, et al., 2012 [12].
Figure 8. Performance of the rotor-alone configuration under uniform inlet conditions: (a) corrected mass flow versus total pressure ratio; (b) corrected mass flow versus isentropic efficiency. Fidalgo, et al., 2012 [12].
Aerospace 11 01050 g008
Figure 9. Cumulative fluctuation energy spectra of kinetic energy and static pressure downstream of the rotor.
Figure 9. Cumulative fluctuation energy spectra of kinetic energy and static pressure downstream of the rotor.
Aerospace 11 01050 g009
Figure 10. Convergence history of the isentropic efficiency in URANS and Filtering simulations.
Figure 10. Convergence history of the isentropic efficiency in URANS and Filtering simulations.
Aerospace 11 01050 g010
Figure 11. Instantaneous entropy distribution at 50% span: (a) instantaneous result of the URANS simulation; (b) Filtering 1100 simulation; (c) Filtering 220 simulation; and (d) Filtering 110 simulation.
Figure 11. Instantaneous entropy distribution at 50% span: (a) instantaneous result of the URANS simulation; (b) Filtering 1100 simulation; (c) Filtering 220 simulation; and (d) Filtering 110 simulation.
Aerospace 11 01050 g011
Figure 12. Time-averaged total pressure and total temperature distributions at St2.
Figure 12. Time-averaged total pressure and total temperature distributions at St2.
Aerospace 11 01050 g012
Figure 13. Modal amplitudes of the time-averaged total pressure.
Figure 13. Modal amplitudes of the time-averaged total pressure.
Aerospace 11 01050 g013
Figure 14. Different order Fourier reconstructions of the inlet square total pressure distortion.
Figure 14. Different order Fourier reconstructions of the inlet square total pressure distortion.
Aerospace 11 01050 g014
Figure 15. Comparisons of stage performance parameters in different simulation cases: (a) corrected mass flow rate versus total pressure ratio; (b) corrected mass flow rate versus isentropic efficiency. Zhang, et al., 2020 [13].
Figure 15. Comparisons of stage performance parameters in different simulation cases: (a) corrected mass flow rate versus total pressure ratio; (b) corrected mass flow rate versus isentropic efficiency. Zhang, et al., 2020 [13].
Aerospace 11 01050 g015
Figure 16. Residual of density in TSC simulations.
Figure 16. Residual of density in TSC simulations.
Aerospace 11 01050 g016
Figure 17. Convergence history of the isentropic efficiency in URANS and TSC simulations.
Figure 17. Convergence history of the isentropic efficiency in URANS and TSC simulations.
Aerospace 11 01050 g017
Figure 18. Instantaneous total pressure distribution at mid-span: (a) URANS simulation; (b) Filtering 220 simulation; (c) Harmonics 5 simulation; and (d) Harmonics 9 simulation.
Figure 18. Instantaneous total pressure distribution at mid-span: (a) URANS simulation; (b) Filtering 220 simulation; (c) Harmonics 5 simulation; and (d) Harmonics 9 simulation.
Aerospace 11 01050 g018
Figure 19. Total pressure distribution upstream of rotor (St1) at mid-span.
Figure 19. Total pressure distribution upstream of rotor (St1) at mid-span.
Aerospace 11 01050 g019
Figure 20. Modal amplitudes of the total pressure upstream of rotor (St1) at mid-span.
Figure 20. Modal amplitudes of the total pressure upstream of rotor (St1) at mid-span.
Aerospace 11 01050 g020
Figure 21. Absolute swirl angle distribution upstream of rotor (St1) at mid-span.
Figure 21. Absolute swirl angle distribution upstream of rotor (St1) at mid-span.
Aerospace 11 01050 g021
Figure 22. Total pressure, total temperature, and absolute swirl angle distribution downstream of rotor (St2) at mid-span.
Figure 22. Total pressure, total temperature, and absolute swirl angle distribution downstream of rotor (St2) at mid-span.
Aerospace 11 01050 g022
Figure 23. Modal amplitudes of the total pressure downstream of rotor (St2) at mid-span.
Figure 23. Modal amplitudes of the total pressure downstream of rotor (St2) at mid-span.
Aerospace 11 01050 g023
Figure 24. Modal amplitudes of the total temperature downstream of rotor (St2) at mid-span.
Figure 24. Modal amplitudes of the total temperature downstream of rotor (St2) at mid-span.
Aerospace 11 01050 g024
Figure 25. Total pressure, total temperature, and absolute swirl angle distribution downstream of stator (St3) at mid-span.
Figure 25. Total pressure, total temperature, and absolute swirl angle distribution downstream of stator (St3) at mid-span.
Aerospace 11 01050 g025
Figure 26. Axial velocity distribution at the outlet of stator blade: (a) time-averaged result of URANS simulation; (b) Harmonics 5 simulation; (c) Harmonics 7 simulation; (d) Harmonics 9 simulation.
Figure 26. Axial velocity distribution at the outlet of stator blade: (a) time-averaged result of URANS simulation; (b) Harmonics 5 simulation; (c) Harmonics 7 simulation; (d) Harmonics 9 simulation.
Aerospace 11 01050 g026
Figure 27. Configuration of a two-stage transonic fan.
Figure 27. Configuration of a two-stage transonic fan.
Aerospace 11 01050 g027
Figure 28. Inlet total pressure distortion pattern.
Figure 28. Inlet total pressure distortion pattern.
Aerospace 11 01050 g028
Figure 29. Inlet total pressure distortion at 70% span.
Figure 29. Inlet total pressure distortion at 70% span.
Aerospace 11 01050 g029
Figure 30. Comparisons of fan performance parameters in different cases: (a) normalized mass flow rate versus total pressure ratio; (b) normalized mass flow rate versus isentropic efficiency.
Figure 30. Comparisons of fan performance parameters in different cases: (a) normalized mass flow rate versus total pressure ratio; (b) normalized mass flow rate versus isentropic efficiency.
Aerospace 11 01050 g030
Figure 31. Total pressure and total temperature distributions downstream of R1: (a) instantaneous results of the URANS simulation; (b) time-averaged results of the URANS simulation; (c) instantaneous results of the Filtering simulation; and (d) instantaneous results of the Harmonics 5 simulation.
Figure 31. Total pressure and total temperature distributions downstream of R1: (a) instantaneous results of the URANS simulation; (b) time-averaged results of the URANS simulation; (c) instantaneous results of the Filtering simulation; and (d) instantaneous results of the Harmonics 5 simulation.
Aerospace 11 01050 g031
Figure 32. Total pressure and total temperature distributions downstream of R2: (a) instantaneous results of the URANS simulation; (b) time-averaged results of the URANS simulation; (c) instantaneous results of the Filtering simulation; and (d) Harmonics 5 simulation.
Figure 32. Total pressure and total temperature distributions downstream of R2: (a) instantaneous results of the URANS simulation; (b) time-averaged results of the URANS simulation; (c) instantaneous results of the Filtering simulation; and (d) Harmonics 5 simulation.
Aerospace 11 01050 g032
Figure 33. Instantaneous static pressure at 90% span of the URANS simulation (operating point U2).
Figure 33. Instantaneous static pressure at 90% span of the URANS simulation (operating point U2).
Aerospace 11 01050 g033
Figure 34. Cumulative fluctuation energy spectra of kinetic energy and static pressure downstream of each blade row in steady-state simulation.
Figure 34. Cumulative fluctuation energy spectra of kinetic energy and static pressure downstream of each blade row in steady-state simulation.
Aerospace 11 01050 g034
Figure 35. Time-averaged axial velocity at 90% span downstream of S1.
Figure 35. Time-averaged axial velocity at 90% span downstream of S1.
Aerospace 11 01050 g035
Figure 36. Modal amplitudes of time-averaged axial velocity at 90% span downstream of S1.
Figure 36. Modal amplitudes of time-averaged axial velocity at 90% span downstream of S1.
Aerospace 11 01050 g036
Figure 37. Circumferentially averaged total pressure ratio.
Figure 37. Circumferentially averaged total pressure ratio.
Aerospace 11 01050 g037
Figure 38. Circumferentially averaged loading coefficient of R2.
Figure 38. Circumferentially averaged loading coefficient of R2.
Aerospace 11 01050 g038
Figure 39. Axial velocity at 90% span: (a) time-averaged result of the URANS simulation; (b) time-averaged result of the Filtering simulation; and (c) Harmonics 5 simulation. (The dashed lines represent the boundaries of the distorted region).
Figure 39. Axial velocity at 90% span: (a) time-averaged result of the URANS simulation; (b) time-averaged result of the Filtering simulation; and (c) Harmonics 5 simulation. (The dashed lines represent the boundaries of the distorted region).
Aerospace 11 01050 g039
Table 1. Speed up factor of each simulation case in URANS and Filtering simulations.
Table 1. Speed up factor of each simulation case in URANS and Filtering simulations.
CaseIteration StepsWall Time (h)Speed Up Factor
URANS-1100 steps/rev88,00034.61
Filtering-URANS-1100 steps/rev88,00033.11.1
Filtering-URANS-440 steps/rev35,20016.02.2
Filtering-URANS-220 steps/rev17,6008.34.2
Filtering-URANS-110 steps/rev88004.28.3
Table 2. Rotor performance parameters in each simulation case.
Table 2. Rotor performance parameters in each simulation case.
CaseCorrected Mass Flow Rate (kg/s)Total Pressure RatioIsentropic Efficiency (%)
URANS-1100 steps/rev31.61.46791.75
Filtering-URANS-1100 steps/rev31.61.46791.76
Filtering-URANS-440 steps/rev31.61.46691.76
Filtering-URANS-220 steps/rev31.61.46691.74
Filtering-URANS-110 steps/rev31.61.46691.77
Table 3. Rotor performance parameters and stage stall margin in each simulation case.
Table 3. Rotor performance parameters and stage stall margin in each simulation case.
CaseCorrected Mass Flow Rate (kg/s)Total Pressure RatioIsentropic Efficiency (%)Stall Margin (%)
Steady-uniform31.91.46792.8221.5
URANS31.61.46691.7513.9
Filtering-URANS-220 steps/rev31.61.46691.7813.4
Harmonics 331.71.46391.8210.3
Harmonics 531.51.46891.6611.8
Harmonics 731.61.46791.7812.1
Harmonics 931.61.46691.7413.3
Table 5. Blade number and mesh size of a single passage for a two-stage transonic fan.
Table 5. Blade number and mesh size of a single passage for a two-stage transonic fan.
Blade RowBlade NumberMesh Size (Million)
Rotor 1190.73
Stator 1420.30
Rotor 2290.52
Stator 2540.70
Table 4. Speed-up factor of each simulation case in URANS and TSC simulations.
Table 4. Speed-up factor of each simulation case in URANS and TSC simulations.
CaseIteration StepsMesh Size (Million)Wall Time (h)Speed-Up Factor
URANS88,00030.934.61
Harmonics 320007.90.5069
Harmonics 5200012.60.8939
Harmonics 7200017.21.2528
Harmonics 9200021.71.6221
Table 6. Stall margin of each simulation case.
Table 6. Stall margin of each simulation case.
CaseStall Margin (%)
Steady-uniform19.4
URANS17.6
Filtering14.3
Harmonics 314.4
Harmonics 514.4
Harmonics 714.2
Table 7. Speed-up factor of each simulation case of two-stage transonic fan.
Table 7. Speed-up factor of each simulation case of two-stage transonic fan.
CaseIteration StepsMesh Size (Million)Wall Time (h)Speed-Up Factor
URANS76,00070.61102.631
Filtering15,20070.6121.225
Harmonics 3100014.051.7359
Harmonics 5100022.082.2546
Harmonics 7100030.114.6022
Disclaimer/Publisher’s Note: The statements, opinions and data contained in all publications are solely those of the individual author(s) and contributor(s) and not of MDPI and/or the editor(s). MDPI and/or the editor(s) disclaim responsibility for any injury to people or property resulting from any ideas, methods, instructions or products referred to in the content.

Share and Cite

MDPI and ACS Style

Wu, L.; Du, P.; Ning, F. Comparison of Two Fourier-Based Methods for Simulating Inlet Distortion Unsteady Flows in Transonic Compressors. Aerospace 2024, 11, 1050. https://doi.org/10.3390/aerospace11121050

AMA Style

Wu L, Du P, Ning F. Comparison of Two Fourier-Based Methods for Simulating Inlet Distortion Unsteady Flows in Transonic Compressors. Aerospace. 2024; 11(12):1050. https://doi.org/10.3390/aerospace11121050

Chicago/Turabian Style

Wu, Lei, Pengcheng Du, and Fangfei Ning. 2024. "Comparison of Two Fourier-Based Methods for Simulating Inlet Distortion Unsteady Flows in Transonic Compressors" Aerospace 11, no. 12: 1050. https://doi.org/10.3390/aerospace11121050

APA Style

Wu, L., Du, P., & Ning, F. (2024). Comparison of Two Fourier-Based Methods for Simulating Inlet Distortion Unsteady Flows in Transonic Compressors. Aerospace, 11(12), 1050. https://doi.org/10.3390/aerospace11121050

Note that from the first issue of 2016, this journal uses article numbers instead of page numbers. See further details here.

Article Metrics

Back to TopTop