Development of a Novel Small-Scale Gust Generator Research Facility
Abstract
1. Introduction
2. Gust Generator Facility Development
2.1. Design Scheme
2.2. Wind Tunnel Facility
2.3. Gust Generator–Wind Tunnel Integration
2.4. Experimental Setup
3. Numerical Simulation Methods
3.1. Oscillating Vane Method (OVM)
3.2. Field Velocity Method (FVM)
4. Results and Discussion
4.1. Parametric Influences on Gust Generator Setup
4.1.1. Impact of Vane Pitch Angle
4.1.2. Impact of Vane Vertical Spacing
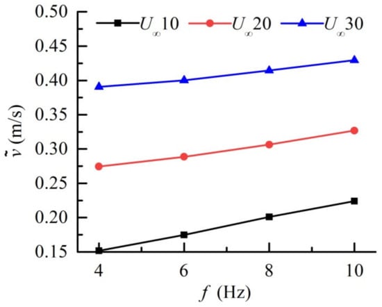
4.1.3. Impact of Vane Oscillation Frequency
4.1.4. Impact of Test Model Position
4.2. Examine of the Capability of the Gust Generator
5. Conclusions
- (1)
- The effects of vane geometric and oscillation parameters on wind gusts points of vanes were simulated through numerical simulation. The influencing factors considered include the vane spacing D, maximum pitch angle A, oscillation frequency ƒ and incoming flow velocity . The results obtained from the numerical simulations indicate that there is a positive correlation between the amplitude of gust velocity and vane pitch angle A, frequency ƒ and , while there is a negative correlation with the spacing D. Nevertheless, excessively high velocity or large pitch angles can lead to flow separation, while insufficient spacing may result in the central gust of the flow field being influenced by the convecting vane wakes. Therefore, the amplitude of the gust can be adjusted by controlling the corresponding variables within a reasonable scope.
- (2)
- The velocity boundary condition (FVM) was employed to generate gusts at the inlet of the computational domain. The variation in gusts with transmission distance is investigated. Through multiple tests, the amplitude of gust angle can be determined by FVM, ensuring consistency with the gust amplitude obtained using the OVM method.
- (3)
- The PIV flow field measurement technique was employed to capture the actual operational performance of the gust generator under varying vane oscillation frequencies, f, and incoming flow velocity, , during the wind tunnel tests. By comparing the experimental data with numerical simulation results, the capability of the currently developed gust generator is successfully validated. It should be noted, however, that necessary measures are needed to prevent the mechanical noise from interfering with the gusty flow field in future research.
Author Contributions
Funding
Data Availability Statement
Conflicts of Interest
References
- Proctor, F.H.; Hamilton, D.W.; Rutishauser, D.K.; Switzer, G.F. Meteorology and Wake Vortex Influence on American Airlines FL-587 Accident; NASA: Washington, DC, USA, 2004. [Google Scholar]
- Wu, Z.; Cao, Y.; Ismail, M. Gust loads on aircraft. Aeronaut. J. 2019, 123, 1216–1274. [Google Scholar] [CrossRef]
- Bekemeyer, P.; Thormann, R.; Timme, S. Rapid gust response simulation of large civil aircraft using computational fluid dynamics. Aeronaut. J. 2017, 121, 1795–1807. [Google Scholar] [CrossRef]
- Bekemeyer, P.; Timme, S. Flexible aircraft gust encounter simulation using subspace projection model reduction. Aerosp. Sci. Technol. 2019, 86, 805–817. [Google Scholar] [CrossRef]
- French, A.; Friess, W.; Goupee, A.; Berube, K. Design, construction and evaluation of an oscillating vane gust generator for atmospheric flow simulation. J. Wind 2021, 1, 63–76. [Google Scholar] [CrossRef]
- Yigili, I.; Andirin, M.; Akpolat, M.; Baskan, O.; Percin, M.; Uzol, O. Design of a gust generator and comparison of model wind turbine and porous disc wake flows in a transverse gust. J. Phys. Conf. Ser. 2022, 2265, 022108. [Google Scholar] [CrossRef]
- Singh, R.; Baeder, J.D. Direct calculation of three-dimensional indicial lift response using computational fluid dynamics. J. Aircr. 1997, 34, 465–471. [Google Scholar] [CrossRef]
- Li, Y.; Qin, N. Airfoil gust load alleviation by circulation control. Aerosp. Sci. Technol. 2020, 98, 105622. [Google Scholar] [CrossRef]
- Boulbrachene, K.; De Nayer, G.; Breuer, M. Assessment of two wind gust injection methods: Field velocity vs. split velocity method. J. Wind Eng. Ind. Aerodyn. 2021, 218, 104790. [Google Scholar] [CrossRef]
- Li, Y.; Qin, N. Gust load alleviation by normal microjet. Aerosp. Sci. Technol. 2021, 117, 106919. [Google Scholar] [CrossRef]
- Sun, S.; Wu, Z.; Huang, H.; Bangga, G.; Tan, H. Aerodynamic response of a serpentine inlet to horizontal periodic gusts. Aerospace 2022, 9, 824. [Google Scholar] [CrossRef]
- Yao, Z.; Kan, Z.; Li, D. Gust Response of Spanwise Morphing Wing by Simulation and Wind Tunnel Testing. Aerospace 2023, 10, 328. [Google Scholar] [CrossRef]
- Zhou, Y.; Wu, Z.; Yang, C. Study of Gust Calculation and Gust Alleviation: Simulations and Wind Tunnel Tests. Aerospace 2023, 10, 139. [Google Scholar] [CrossRef]
- Zhang, L.; Zhao, Y. Adaptive Feed-Forward Control for Gust Load Alleviation on a Flying-Wing Model Using Multiple Control Surfaces. Aerospace 2023, 10, 981. [Google Scholar] [CrossRef]
- Conrad, N.A. Simulation of Gust Generator-Induced Wind Tunnel Flow Fields. Master’s Thesis, University of Washington, Seattle, WA, USA, 2020. [Google Scholar]
- Fernandez, F.; Cleaver, D.; Gursul, I. Unsteady aerodynamics of a wing in a novel small-amplitude transverse gust generator. J. Exp. Fluids 2021, 62, 1–20. [Google Scholar] [CrossRef]
- Mai, H.; Neumann, J.; Hennings, H. Gust response: A validation experiment and preliminary numerical simulations. In Proceedings of the IFASD 2011, Paris, France, 27–30 June 2011. [Google Scholar]
- Wu, Z.; Chen, L.; Yang, C. Study on gust alleviation control and wind tunnel test. J. Sci. China Technol. Sci. 2013, 56, 762–771. [Google Scholar] [CrossRef]
- Neumann, J.; Mai, H. Gust response: Simulation of an aeroelastic experiment by a fluid–structure interaction method. J. Fluids Struct. 2013, 38, 290–302. [Google Scholar] [CrossRef]
- Buell, D.A. An Experimental Investigation of the Velocity Fluctuations behind Oscillating Vanes; NASA: Washington, DC, USA, 1969. [Google Scholar]
- Ricci, S.; Scotti, A. Wind tunnel testing of an active controlled wing under gust excitation. In Proceedings of the 49th AIAA/ASME/ASCE/AHS/ASC Structures, Structural Dynamics, and Materials Conference, Schaumburg, IL, USA, 7–10 April 2008; p. 1727. [Google Scholar]
- Liu, Y.; Xie, C.; Yang, C.; Cheng, J. Gust response analysis and wind tunnel test for a high-aspect ratio wing. Chin. J. Aeronaut. 2016, 29, 91–103. [Google Scholar] [CrossRef]
- Lancelot, P.M.; Sodja, J.; Werter, N.P.; De Breuker, R. Design and testing of a low subsonic wind tunnel gust generator. Adv. Aircr. Spacecr. Sci. 2017, 4, 125. [Google Scholar] [CrossRef]
- Igarashi, T. Flow characteristics around a circular cylinder with a slit: 1st report, flow control and flow patterns. Bull. JSME 1978, 21, 656–664. [Google Scholar] [CrossRef]
- Olsen, J.; Rajagopalan, S. Vortex shedding behind modified circular cylinders. J. Wind Eng. Ind. Aerodyn. 2000, 86, 55–63. [Google Scholar] [CrossRef]
- Tang, D.; Cizmas, P.G.; Dowell, E. Experiments and analysis for a gust generator in a wind tunnel. J. Aircr. 1996, 33, 139–148. [Google Scholar] [CrossRef]
- Wood, K.T.; Cheung, R.C.; Richardson, T.S.; Cooper, J.E.; Darbyshire, O.; Warsop, C. A new gust generator for a low speed wind tunnel: Design and commissioning. In Proceedings of the 55th AIAA Aerospace Sciences Meeting, Grapevine, TX, USA, 9–13 January 2017; p. 0502. [Google Scholar]
- Brion, V.; Lepage, A.; Amosse, Y.; Soulevant, D.; Senecat, P.; Abart, J.; Paillart, P. Generation of vertical gusts in a transonic wind tunnel. J. Exp. Fluids 2015, 56, 145. [Google Scholar] [CrossRef]
- Dongqiang, Z.; Zhichun, Y.; Xianang, Z.; Jinge, Y.; Yining, G.; Huang, G. Wind tunnel test of gust load alleviation for a large-scale full aircraft model. Chin. J. Aeronaut. 2023, 36, 201–216. [Google Scholar]
- Wu, Z.; Bangga, G.; Lutz, T.; Kampers, G.; Hölling, M. Insights into airfoil response to sinusoidal gusty inflow by oscillating vanes. Phys. Fluids 2020, 32, 125107. [Google Scholar] [CrossRef]
- Wu, Z.; Gao, Y.; He, X.; Fu, W.; Shi, J.; Zhang, Z.; Zhou, R. Comparison between two computational fluid dynamics methods for gust response predictions. Proc. Inst. Mech. Eng. Part G J. Aerosp. Eng. 2023, 237, 2833–2843. [Google Scholar] [CrossRef]


























Disclaimer/Publisher’s Note: The statements, opinions and data contained in all publications are solely those of the individual author(s) and contributor(s) and not of MDPI and/or the editor(s). MDPI and/or the editor(s) disclaim responsibility for any injury to people or property resulting from any ideas, methods, instructions or products referred to in the content. |
© 2024 by the authors. Licensee MDPI, Basel, Switzerland. This article is an open access article distributed under the terms and conditions of the Creative Commons Attribution (CC BY) license (https://creativecommons.org/licenses/by/4.0/).
Share and Cite
Wu, Z.; Zhang, T.; Gao, Y.; Tan, H. Development of a Novel Small-Scale Gust Generator Research Facility. Aerospace 2024, 11, 95. https://doi.org/10.3390/aerospace11010095
Wu Z, Zhang T, Gao Y, Tan H. Development of a Novel Small-Scale Gust Generator Research Facility. Aerospace. 2024; 11(1):95. https://doi.org/10.3390/aerospace11010095
Chicago/Turabian StyleWu, Zhenlong, Tianyu Zhang, Yuan Gao, and Huijun Tan. 2024. "Development of a Novel Small-Scale Gust Generator Research Facility" Aerospace 11, no. 1: 95. https://doi.org/10.3390/aerospace11010095
APA StyleWu, Z., Zhang, T., Gao, Y., & Tan, H. (2024). Development of a Novel Small-Scale Gust Generator Research Facility. Aerospace, 11(1), 95. https://doi.org/10.3390/aerospace11010095

