Numerical Investigation of Hypersonic Flat-Plate Boundary Layer Transition Subjected to Bi-Frequency Synthetic Jet
Abstract
:1. Introduction
2. Simulation Model
2.1. Freestream Conditions and Numerical Settings
2.2. Orthogonal Experimental Design
2.3. Linear Stability Theory
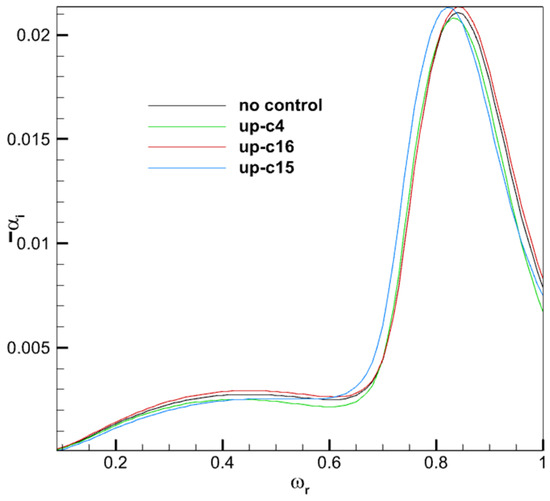
3. Variation in Growth Rate with Frequency
3.1. Results of Synthetic Jet Arranged Upstream of Synchronization Point
3.2. Results of Synthetic Jet Arranged Downstream of Synchronization Point
4. Variation in Growth Rate with Spanwise Wave Number
4.1. Results of Synthetic Jet Arranged Upstream of Synchronization Point
4.2. Results of Synthetic Jet Arranged Downstream of Synchronization Point
5. Flow Field Structure Analysis
6. Disturbance Temperature Eigenfunction Analysis
7. Conclusions
Author Contributions
Funding
Data Availability Statement
Conflicts of Interest
References
- Liu, Q.; Luo, Z.; Wang, L.; Tu, G.; Deng, X.; Zhou, Y. Direct numerical simulations of supersonic turbulent boundary layer with streamwise-striped wall blowing. Aerosp. Sci. Technol. 2021, 110, 106510. [Google Scholar] [CrossRef]
- Fedorov, A. Transition and stability of high-speed boundary layers. Annu. Rev. Fluid Mech. 2011, 43, 79–95. [Google Scholar] [CrossRef]
- Kachanov, Y.S. Physical mechanisms of laminar-boundary-layer transition. Annu. Rev. Fluid Mech. 1994, 26, 411–482. [Google Scholar] [CrossRef]
- Yanbao, M.; Xiaolin, Z. Receptivity of a supersonic boundary layer over a flat plate. Part 1. Wave structures and interaction. J. Fluid Mech. 2003, 488, 31–78. [Google Scholar]
- Craig, S.A.; Humble, R.A.; Hofferth, J.W.; Saric, W.S. Nonlinear behavior of the Mack mode in a hypersonic boundary layer. J. Fluid Mech. 2019, 872, 74–99. [Google Scholar] [CrossRef]
- Zhong, X.; Wang, X. Direct numerical simulation on the receptivity, instability, and transition of hypersonic boundary layers. Annu. Rev. Fluid Mech. 2012, 44, 527–561. [Google Scholar] [CrossRef]
- Mack, L.M. Computational of the stability of the laminar compressible boundary layers. Methods Comput. Phys. 1965, 4, 247–299. [Google Scholar]
- Zurigat, Y.H.; Nayfeh, A.H.; Masad, J.A. Effect of pressure gradient on the stability of compressible boundary layers. AIAA J. 1992, 30, 2204–2211. [Google Scholar] [CrossRef]
- Malik, M.R. Prediction and control of transition in supersonic and hypersonic boundary layers. AIAA J. 1989, 27, 1487–1493. [Google Scholar] [CrossRef]
- Kimmel, R.L.; Poffie, J. Effect of Total Temperature on Boundary Layer Stability at Mach 6; AIAA: Reston, VA, USA, 1999; pp. 1–2, 1999–0816. [Google Scholar]
- Paredes, P.; Choudhari, M.M.; Li, F. Transition delay via vortex generators in a hypersonic boundary layer at flight conditions. In Proceedings of the 2018 Fluid Dynamics Conference, Atlanta, GA, USA, 25–29 June 2018. [Google Scholar]
- Igarashi, T.; Iida, Y. Fluid flow and heat transfer around a circular cylinder with vortex generators. Trans. Jpn. Soc. Mech. Eng. Part B 1985, 51, 2420–2427. [Google Scholar] [CrossRef]
- Schneider, S.P. Effects of roughness on hypersonic boundary-layer transition. J. Spacecr. Rocket. 2008, 45, 193–209. [Google Scholar] [CrossRef]
- Fedorov, A. Receptivity of Hypersonic Boundary Layer to Acoustic Disturbances Scattered by Surface Roughness; AIAA: Reston, VA, USA, 2003; pp. 1–3, 2003–3731. [Google Scholar]
- Schneider, S.P. Summary of hypersonic boundary-layer transition experiments on blunt bodies with roughness. J. Spacecr. Rocket. 2008, 45, 1090–1105. [Google Scholar] [CrossRef]
- Liu, X.; Yi, S.; Xu, X.; Shi, Y.; Ouyang, T.; Xiong, H. Experimental study of second-mode wave on a flared cone at Mach 6. Phys. Fluids 2019, 31, 074108. [Google Scholar] [CrossRef]
- Fujii, K. Experiment of the two-dimensional roughness effect on hypersonic boundary-layer transition. J. Spacecr. Rocket. 2006, 43, 731–738. [Google Scholar] [CrossRef]
- Gaponov, S.A.; Terekhova, N.M. Stability of supersonic boundary layer on a porous plate with a flexible coating. Thermophys. Aeromechanics 2014, 21, 143–156. [Google Scholar] [CrossRef]
- Morozov, S.O.; Lukashevich, S.V.; Soudakov, V.G.; Shiplyuk, A.N. Experimental study of the influence of small angles of attack and cone nose bluntness on the stabilization of hypersonic boundary layer with passive porous coating. Thermophys. Aeromechanics 2018, 25, 793–800. [Google Scholar] [CrossRef]
- Gaponov, S.A.; Ermolaev, Y.G.; Kosinov, A.D.; Lysenko, V.I.; Semenov, N.V.; Smorodskii, B.V. Influence of porous-coating thickness on the stability and transition of flat-plate supersonic boundary layer. Thermophys. Aeromechanics 2012, 19, 555–560. [Google Scholar] [CrossRef]
- Germain, P.D.; Hornung, H.G. Transition on a slender cone in hypervelocity flow. Exp. Fluids 1997, 22, 183–190. [Google Scholar] [CrossRef]
- Gaponov, S.A.; Smorodsky, B.V. Control of supersonic boundary layer and its stability by means of foreign gas injection through the porous wall. Int. J. Theor. Appl. Mech. 2016, 1, 97–103. [Google Scholar]
- Miró, F.; Pinna, F. Injection-gas-composition effects on hypersonic boundary-layer transition. J. Fluid Mech. 2020, 890, R4. [Google Scholar] [CrossRef]
- Orlik, E.; Fedioun, I.; Lardjane, N. Hypersonic boundary-layer transition forced by wall injection: A numerical study. J. Spacecr. Rocket. 2014, 51, 1306–1318. [Google Scholar] [CrossRef]
- Liu, Q.; Luo, Z.; Deng, X.; Yang, S.; Jiang, H. Linear stability of supersonic boundary layer with synthetic cold/hot jet control. Acta Phys. Sin. 2017, 66, 222–232. [Google Scholar]
- Brett, F.B.; Paul, M.D.; Jennifer, A.I.; David, W.A.; Scott, A.B. PLIF Visualization of Active Control of Hypersonic Boundary Layers Using Blowing; AIAA Paper; AIAA: Reston, VA, USA, 2008; pp. 1–2, 2008–4266. [Google Scholar]
- Rui, Z.; Chiyong, W.; Xudong, T.; Tiehan, L. Numerical simulation of local wall heating and cooling effect on the stability of a hypersonic boundary layer. Int. J. Heat Mass Transf. 2018, 121, 986–998. [Google Scholar]
- Unnikrishnan, S.; Gaitonde, D.V. Instabilities and transition in cooled wall hypersonic boundary layers. J. Fluid Mech. 2021, 915, A26. [Google Scholar] [CrossRef]
- Liu, Q. Research on Control Methods and Mechanisms of Supersonic/Hypersonic Boundary Layer Drag Reduction Subject to Active Flow Control. Ph.D. Thesis, National University of Defense Technology, Changsha, China, 2021. [Google Scholar]
- Li, X.; Fu, D.; Ma, Y.; Liang, X. Direct numerical simulation of compressible turbulent flows. Acta Mech. Sin. 2010, 26, 795–806. [Google Scholar] [CrossRef]
- Zhou, B.; Qu, F.; Liu, Q.; Sun, D.; Bai, J. A study of multidimensional fifth-order WENO method for genuinely two-dimensional Riemann solver. J. Comput. Phys. 2022, 463, 111249. [Google Scholar] [CrossRef]
- Chen, S.-S.; Cai, F.-J.; Xue, H.-C.; Wang, N.; Yan, C. An improved AUSM-family scheme with robustness and accuracy for all Mach number flows. Appl. Math. Model. 2020, 77, 1065–1081. [Google Scholar] [CrossRef]
- Clarke, G.M. Introduction to the Design and Analysis of Experiments; Wiley: Hoboken, NJ, USA, 1996. [Google Scholar]
- Heisenberg, W. Uber stabilitat und turbulenz von flussigkeits-stommen. Annu. Phys. 1924, 74, 577–627. [Google Scholar] [CrossRef]
- Malik, M.R. Numerical methods for hypersonic boundary layer stability. J. Comput. Phys. 1990, 86, 376–413. [Google Scholar] [CrossRef]
- Poulain, A.; Content, C.; Rigas, G.; Garnier, E.; Sipp, D. Adjoint-based linear sensitivity of a hypersonic boundary layer to steady wall blowing-suction/heating-cooling. J. Fluid Mech. 2023. [Google Scholar]

















| Level | f1 | f2 | a |
|---|---|---|---|
| 1 | 0.004/3.56 kHz | 0.04/35.63 kHz | 0.001 |
| 2 | 0.008/7.12 kHz | 0.06/53.45 kHz | 0.003 |
| 3 | 0.012/10.69 kHz | 0.08/71.27 kHz | 0.005 |
| 4 | 0.016/14.25 kHz | 0.10/89.09 kHz | 0.007 |
| 5 | 0.020/17.82 kHz | 0.12/106.91kHz | 0.009 |
| Case | f1 | f2 | a |
|---|---|---|---|
| 1 | 0.004/3.56 kHz | 0.04/35.63 kHz | 0.001 |
| 2 | 0.004/3.56 kHz | 0.06/53.45 kHz | 0.007 |
| 3 | 0.004/3.56 kHz | 0.08/71.27 kHz | 0.003 |
| 4 | 0.004/3.56 kHz | 0.10/89.09 kHz | 0.009 |
| 5 | 0.004/3.56 kHz | 0.12/106.91 kHz | 0.005 |
| 6 | 0.008/7.12 kHz | 0.04/35.63 kHz | 0.007 |
| 7 | 0.008/7.13 kHz | 0.06/53.45 kHz | 0.003 |
| 8 | 0.008/7.14 kHz | 0.08/71.27 kHz | 0.009 |
| 9 | 0.008/7.14 kHz | 0.10/89.09 kHz | 0.005 |
| 10 | 0.008/7.14 kHz | 0.12/106.91 kHz | 0.001 |
| 11 | 0.012/10.69 kHz | 0.04/35.63 kHz | 0.003 |
| 12 | 0.012/10.69 kHz | 0.06/53.45 kHz | 0.009 |
| 13 | 0.012/10.69 kHz | 0.08/71.27 kHz | 0.005 |
| 14 | 0.012/10.69 kHz | 0.10/89.09 kHz | 0.001 |
| 15 | 0.012/10.69 kHz | 0.12/106.91 kHz | 0.007 |
| 16 | 0.016/14.25 kHz | 0.04/35.63 kHz | 0.009 |
| 17 | 0.016/14.25 kHz | 0.06/53.45 kHz | 0.005 |
| 18 | 0.016/14.25 kHz | 0.08/71.27 kHz | 0.001 |
| 19 | 0.016/14.25 kHz | 0.10/89.09 kHz | 0.007 |
| 20 | 0.016/14.25 kHz | 0.12/106.91 kHz | 0.003 |
| 21 | 0.020/17.82 kHz | 0.04/35.63 kHz | 0.005 |
| 22 | 0.020/17.82 kHz | 0.06/53.45 kHz | 0.001 |
| 23 | 0.020/17.82 kHz | 0.08/71.27 kHz | 0.007 |
| 24 | 0.020/17.82 kHz | 0.10/89.09 kHz | 0.003 |
| 25 | 0.020/17.82 kHz | 0.12/106.91 kHz | 0.009 |
| Case | Maximum Growth Rate | Percentage of Control | ||
|---|---|---|---|---|
| First Mode | Second Mode | First Mode | Second Mode | |
| 1 | 0.00286 | 0.02123 | 3.62% | 0.71% |
| 2 | 0.00286 | 0.02113 | 3.62% | 0.24% |
| 3 | 0.00276 | 0.02118 | 0.00% | 0.47% |
| 4 | 0.00251 | 0.02081 | −9.06% | −1.28% |
| 5 | 0.00264 | 0.02125 | −4.35% | 0.81% |
| 6 | 0.00286 | 0.02126 | 3.62% | 0.85% |
| 7 | 0.00281 | 0.02124 | 1.81% | 0.76% |
| 8 | 0.00257 | 0.02108 | −6.88% | 0.00% |
| 9 | 0.00262 | 0.02096 | −5.07% | −0.57% |
| 10 | 0.00278 | 0.02119 | 0.72% | 0.52% |
| 11 | 0.00283 | 0.02122 | 2.54% | 0.66% |
| 12 | 0.00286 | 0.02128 | 3.62% | 0.95% |
| 13 | 0.00269 | 0.02116 | −2.54% | 0.38% |
| 14 | 0.00278 | 0.02115 | 0.72% | 0.33% |
| 15 | 0.00256 | 0.02130 | −7.25% | 1.04% |
| 16 | 0.00294 | 0.02136 | 6.52% | 1.33% |
| 17 | 0.00284 | 0.02126 | 2.90% | 0.85% |
| 18 | 0.0028 | 0.02119 | 1.45% | 0.52% |
| 19 | 0.00261 | 0.02096 | −5.43% | −0.57% |
| 20 | 0.00274 | 0.02129 | −0.72% | 1.00% |
| 21 | 0.00288 | 0.02126 | 4.35% | 0.85% |
| 22 | 0.00282 | 0.02121 | 2.17% | 0.62% |
| 23 | 0.00268 | 0.02125 | −2.90% | 0.81% |
| 24 | 0.00271 | 0.02107 | −1.81% | −0.05% |
| 25 | 0.00244 | 0.02119 | −11.59% | 0.52% |
| Source of Variance | p | |
|---|---|---|
| First Mode | Second Mode | |
| f1 | 0.593 | 0.316 |
| f2 | 0.003 | 0.005 |
| a | 0.132 | 0.845 |
| Case | Maximum Growth Rate | Percentage of Control | ||
|---|---|---|---|---|
| First Mode | Second Mode | First Mode | Second Mode | |
| 1 | 0.00280 | 0.02117 | 1.45% | 0.43% |
| 2 | 0.00291 | 0.02121 | 5.43% | 0.62% |
| 3 | 0.00287 | 0.02120 | 3.99% | 0.57% |
| 4 | 0.00329 | 0.02128 | 19.22% | 0.95% |
| 5 | 0.00301 | 0.02158 | 9.04% | 2.36% |
| 6 | 0.00290 | 0.02123 | 5.15% | 0.72% |
| 7 | 0.00280 | 0.02117 | 1.60% | 0.43% |
| 8 | 0.00302 | 0.02128 | 9.52% | 0.95% |
| 9 | 0.00308 | 0.02122 | 11.52% | 0.68% |
| 10 | 0.00285 | 0.02126 | 3.37% | 0.85% |
| 11 | 0.00285 | 0.02120 | 3.23% | 0.55% |
| 12 | 0.00301 | 0.02131 | 8.94% | 1.10% |
| 13 | 0.00297 | 0.02128 | 7.67% | 0.94% |
| 14 | 0.00287 | 0.02119 | 4.08% | 0.51% |
| 15 | 0.00311 | 0.02172 | 12.72% | 3.03% |
| 16 | 0.00297 | 0.02128 | 7.53% | 0.94% |
| 17 | 0.00292 | 0.02124 | 5.74% | 0.78% |
| 18 | 0.00283 | 0.02118 | 2.54% | 0.47% |
| 19 | 0.00321 | 0.02124 | 16.46% | 0.77% |
| 20 | 0.00297 | 0.02145 | 7.49% | 1.77% |
| 21 | 0.00291 | 0.02124 | 5.29% | 0.77% |
| 22 | 0.00283 | 0.02119 | 2.55% | 0.51% |
| 23 | 0.00302 | 0.02129 | 9.54% | 1.01% |
| 24 | 0.00298 | 0.02120 | 7.95% | 0.56% |
| 25 | 0.00320 | 0.02185 | 16.01% | 3.67% |
| Source of Variance | p | |
|---|---|---|
| First Mode | Second Mode | |
| f1 | 0.496 | 0.181 |
| f2 | 0.0001 | 0.0002 |
| a | 0.0003 | 0.013 |
Disclaimer/Publisher’s Note: The statements, opinions and data contained in all publications are solely those of the individual author(s) and contributor(s) and not of MDPI and/or the editor(s). MDPI and/or the editor(s) disclaim responsibility for any injury to people or property resulting from any ideas, methods, instructions or products referred to in the content. |
© 2023 by the authors. Licensee MDPI, Basel, Switzerland. This article is an open access article distributed under the terms and conditions of the Creative Commons Attribution (CC BY) license (https://creativecommons.org/licenses/by/4.0/).
Share and Cite
Liu, X.; Luo, Z.; Liu, Q.; Cheng, P.; Zhou, Y. Numerical Investigation of Hypersonic Flat-Plate Boundary Layer Transition Subjected to Bi-Frequency Synthetic Jet. Aerospace 2023, 10, 766. https://doi.org/10.3390/aerospace10090766
Liu X, Luo Z, Liu Q, Cheng P, Zhou Y. Numerical Investigation of Hypersonic Flat-Plate Boundary Layer Transition Subjected to Bi-Frequency Synthetic Jet. Aerospace. 2023; 10(9):766. https://doi.org/10.3390/aerospace10090766
Chicago/Turabian StyleLiu, Xinyi, Zhenbing Luo, Qiang Liu, Pan Cheng, and Yan Zhou. 2023. "Numerical Investigation of Hypersonic Flat-Plate Boundary Layer Transition Subjected to Bi-Frequency Synthetic Jet" Aerospace 10, no. 9: 766. https://doi.org/10.3390/aerospace10090766
APA StyleLiu, X., Luo, Z., Liu, Q., Cheng, P., & Zhou, Y. (2023). Numerical Investigation of Hypersonic Flat-Plate Boundary Layer Transition Subjected to Bi-Frequency Synthetic Jet. Aerospace, 10(9), 766. https://doi.org/10.3390/aerospace10090766

