Numerical Investigation of Combustion Mechanism with Multi-Position Injection in a Dual-Mode Combustor
Abstract
1. Introduction
2. Numerical Methods
2.1. Computational Domain and Related Parameters
2.2. Calculation Method and Boundary Condition
2.3. Mesh Details
2.4. Model Verification
3. Results and Discussion
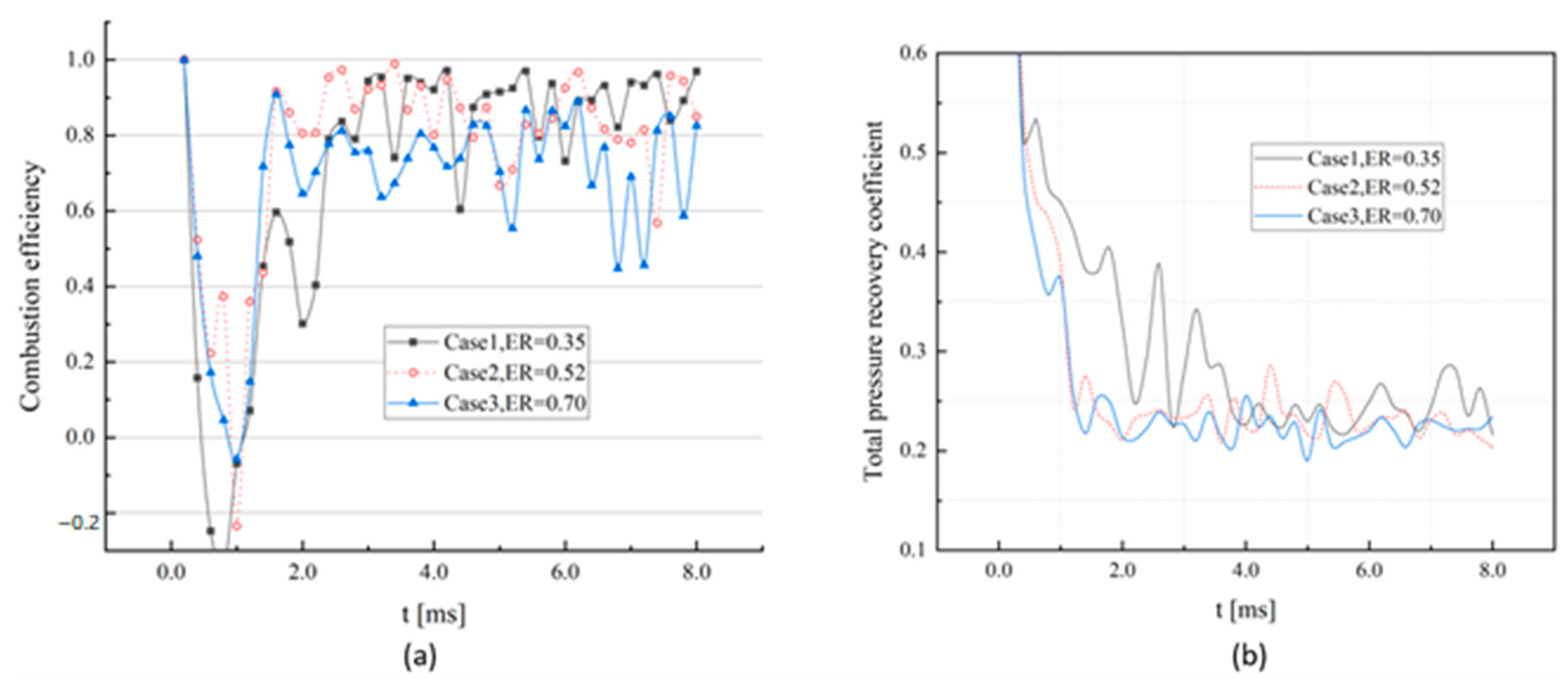
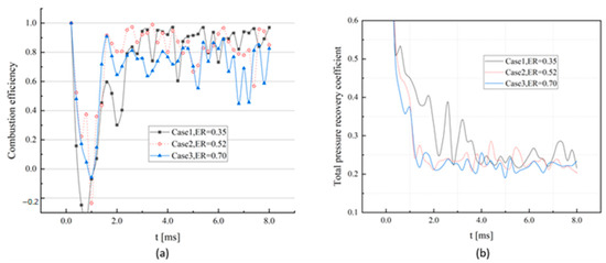
3.1. Effects of the Equivalent Ratio
3.2. Effects of the Relative Position
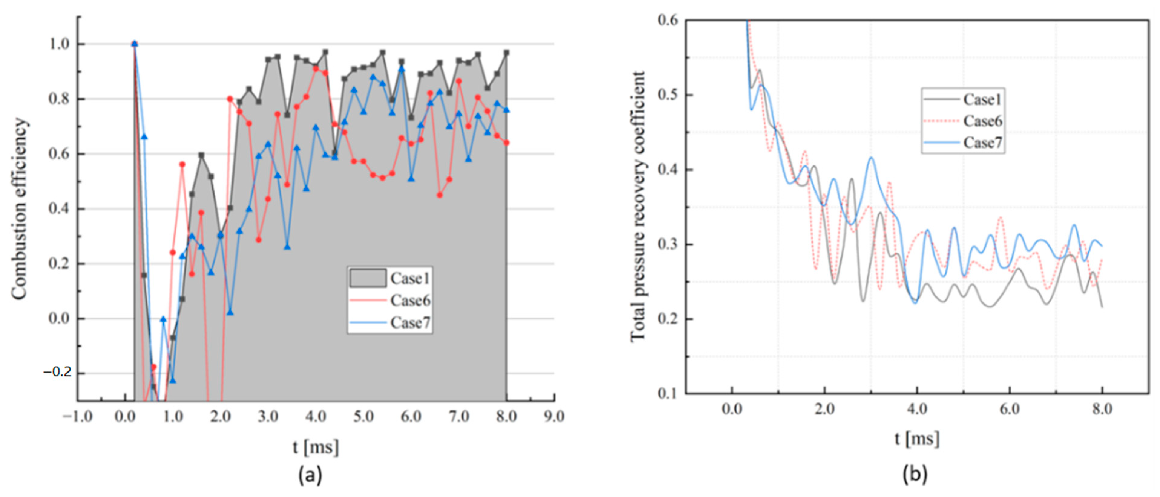
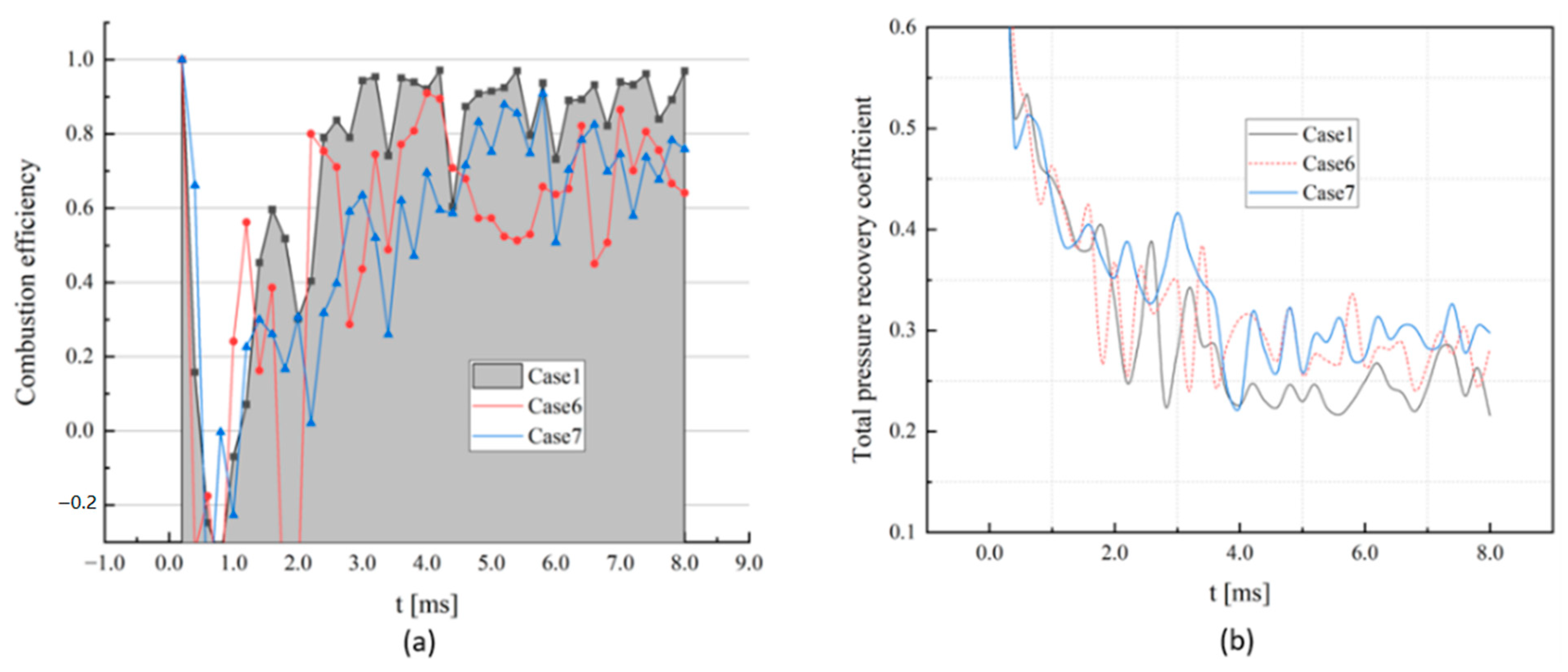
3.3. Effect of the Injection Pressure
4. Conclusions
- With multi-position injection in a scramjet combustion chamber, the global equivalence ratio increases due to the increased number of injection holes, which leads to a higher heat release in the combustion chamber. The combustion shock wave chain advances further upstream in the combustion chamber. Moreover, the increase in the global equivalence ratio also significantly increases the average pressure in the combustion zone and the tail region of the combustion chamber when the combustion chamber flow field is essentially stable.
- With multi-position injection in a scramjet combustion chamber, adopting closely spaced injection points, arranged on the opposing sides of the upper and lower walls, can effectively improve the combustion efficiency of the fuel and the internal pressure of the combustion chamber; however, this also causes an increase in the total pressure loss. When the injection holes are arranged on the same side of the wall, the fuel ejected from multiple injection holes mixes and burns with the incoming air on one side of the combustion chamber. After the fuel ejected from the upstream injection ports has been fully mixed and burned, the oxygen mass fraction of the flow passing through the downstream injection hole significantly decreases. The combustion heat product increases and the mass fraction of oxygen around the fuel is lower. This is beneficial for the ignition of secondary fuel injection but not beneficial for fuel mixing and burning, leading to a significant drop in the combustion efficiency from the secondary injection holes and a decrease in the intensity of the combustion shock wave chain.
- Multi-position injection in a scramjet combustion chamber can effectively increase the stability speed of the combustion chamber flow field and the overall combustion efficiency if the global equivalence ratio of the fuel injection is consistent and the injection pressure of the injection holes is maintained at close to or the same values. In addition, it causes the reaction zone to move backwards and leads to an increase in the pressure at the tail of the combustion chamber if the injected fuel is located downstream and the injection pressure is higher.
- With multi-position injection in a scramjet combustion chamber, the pressure increase rate inside the combustion chamber during the initial stage of scramjet injection is related to the local equivalence ratio of the cavity. In other words, the higher the local equivalence ratio of the cavity, i.e., the higher the injection pressure of the injection holes arranged upstream and on the same side of the cavity, the faster the pressure increase in the combustion chamber.
Author Contributions
Funding
Data Availability Statement
Conflicts of Interest
Nomenclature
| Latin characters | |
| L | Combustion chamber length (mm) |
| ΔL | Distance between the entrance and the cavity (mm) |
| l | Total cavity length (mm) |
| H | Entrance height (mm) |
| h | Concave cavity height (mm) |
| W | Computational domain width (mm) |
| Greek symbols | |
| γ | Inclination angle of the back wall of the cavity (°) |
| ϕ | Oxygen consumption rate |
| σ | Total pressure recovery factor |
| ϕ | Combustion efficiency |
| θ | Expanded angle of the combustion chamber (°) |
| Subscripts | |
| 0 | Total |
| t | Gas injection |
| m | Mass |
| Abbreviations | |
| ER | Equivalent ratios |
| PLIF | Planar Laser-Induced Fluorescence |
| Ma | Mach number |
| ms | Millisecond |
References
- Roudakov, A.S.; Schikhman, Y.; Semenov, V. Flight Testing an Axisymmetric Scramjet-Russian Resent Advances. In Proceedings of the 44th IAF Congress, Graz, Austria, 16–22 October 1993; p. S.4.485. [Google Scholar]
- Vinogradov, V.A.; Kobigsky, S.A.; Petrov, M.D. Experimental investigation of kerosene fuel combustion in supersonic flow. J. Propuls. Power 1995, 11, 130–134. [Google Scholar] [CrossRef]
- Owens, M.G.; Tehranian, S.; Segal, C.; Vinogradov, V.A. Flame-holding configurations for kerosene combustion in a Mach 1.8 airflow. J. Propuls. Power 1998, 14, 456–461. [Google Scholar] [CrossRef]
- Ortwerth, P.; Mathur, A.; Vinogradov, V.; Grin, V.; Goldfeld, M.; Starov, A. Experimental and numerical investigation of hydrogen and ethylene combustion in a Mach 3-5 channel with a single injector. In Proceedings of the 32nd Joint Propulsion Conference and Exhibit, Lake Buena Vista, FL, USA, 1–3 July 1996; p. 3245. [Google Scholar]
- Ben-Yakar, A.; Kamel, M.; Morris, C.; Hanson, R.; Ben-Yakar, A.; Kamel, M.; Morris, C.; Hanson, R. Experimental investigation of H2 transverse jet combustion in hypervelocity flows. In Proceedings of the 33rd Joint Propulsion Conference and Exhibit, Seattle, WA, USA, 6–9 July 1997; p. 3019. [Google Scholar]
- Lee, J.H.; Lee, E.S.; Han, H.S.; Kim, M.S.; Choi, J.Y. A Study on a Vitiated Air Heater for a Direct-Connect Scramjet Combustor and Preliminary Test on the Scramjet Combustor Ignition. Aerospace 2023, 10, 415. [Google Scholar] [CrossRef]
- Meng, Y.; Sun, W.; Gu, H.; Chen, F.; Zhou, R. Supersonic Combustion Mode Analysis of a Cavity Based Scramjet. Aerospace 2022, 9, 826. [Google Scholar] [CrossRef]
- Penzin, V. Experimental Investigation of Supersonic Flows with Separated Regions in Ducts; Central Aerodynamic Institute Moscow: Moscow, Russia, 1995. [Google Scholar]
- Le, D.B. Scramjet Isolator Flow Studies. In Proceedings of the 2005 Virginia Space Grant Consortium Student Research Conference, Newport News, VA, USA, 1 April 2005. [Google Scholar]
- Lin, K.C.; Tam, C.J.; Jackson, K.; Kennedy, P.; Behdadnia, R. Experimental investigations on simple variable geometry for improving scramjet isolator performance. In Proceedings of the 43rd AIAA/ASME/SAE/ASEE Joint Propulsion Conference & Exhibit, Cincinnati, OH, USA, 8–11 July 2007; p. 5378. [Google Scholar]
- Tam, C.J.; Eklund, D.; Behdadnia, R. Influence of downstream boundary conditions on scramjet-isolator simulations. In Proceedings of the 26th AIAA Applied Aerodynamics Conference, Honolulu, HI, USA, 18–21 August 2008; p. 6929. [Google Scholar]
- Chang, J.; Fan, Y.; Bao, W.; Yu, D.; Shen, Y. Unstart margin control of hypersonic inlets. Acta Astronaut. 2010, 66, 78–87. [Google Scholar] [CrossRef]
- Lin, K.C.; Tam, C.J.; Jackson, K.; Eklund, D.; Jackson, T. Characterization of shock train structures inside constant-area isolators of model scramjet combustors. In Proceedings of the 44th AIAA Aerospace Sciences Meeting and Exhibit, Reno, NV, USA, 9–12 January 2006; p. 816. [Google Scholar]
- Ben-Yakar, A.; Hanson, R. Supersonic combustion of cross-flow jets and the influence of cavity flame-holders. In Proceedings of the 37th Aerospace Sciences Meeting and Exhibit, Reno, NV, USA, 11–14 January 1999; p. 484. [Google Scholar]
- Johansen, C.T.; McRae, C.D.; Danehy, P.M.; Gallo, E.C.; Cantu, L.M.; Magnotti, G.; Cutler, A.D.; Rockwell, R.D.; Goyne, C.P.; McDaniel, J.C. OH PLIF visualization of the UVa supersonic combustion experiment: Configuration A. J. Vis. 2014, 17, 131–141. [Google Scholar] [CrossRef]
- Carter, C.D.; Hammack, S.; Lee, T. High-speed flamefront imaging in premixed turbulent flames using planar laser-induced fluorescence of the CH C−X band. Combust. Flame 2016, 168, 66–74. [Google Scholar] [CrossRef]
- Cantu, L.M.; Gallo, E.C.; Cutler, A.D.; Danehy, P.M.; Rockwell, R.D.; Johansen, C.T.; Goyne, C.P.; McDaniel, J.C. OH PLIF visualization of a premixed ethylene-fueled dual-mode scramjet combustor. In Proceedings of the 54th AIAA Aerospace Sciences Meeting, San Diego, CA, USA, 4–8 January 2016; p. 1763. [Google Scholar]
- Moura, A.F.; Gibbons, N.; Wheatley, V.; McIntyre, T.; Jahn, I. Characterization of supersonic turbulent combustion in a mach-10 scramjet combustor. AIAA J. 2020, 58, 2180–2196. [Google Scholar] [CrossRef]
- Cao, R.; Chang, J.; Bao, W.; Guo, M.; Qin, J.; Yu, D.; Wang, Z. Analysis of combustion mode and operating route for hydrogen fueled scramjet engine. Int. J. Hydrog. Energy 2013, 38, 5928–5935. [Google Scholar] [CrossRef]
- Choubey, G.; Yuvarajan, D.; Huang, W.; Yan, L.; Babazadeh, H.; Pandey, K.M. Hydrogen fuel in scramjet engines—A brief review. Int. J. Hydrog. Energy 2020, 45, 16799–16815. [Google Scholar] [CrossRef]
- Choubey, G.; Devarajan, Y.; Huang, W.; Mehar, K.; Tiwari, M.; Pandey, K.M. Recent advances in cavity-based scramjet engine-a brief review. Int. J. Hydrog. Energy 2019, 44, 13895–13909. [Google Scholar] [CrossRef]
- Kannaiyan, K. Numerical investigation of the local and global supersonic combustion characteristics of ethylene fuel. Aerosp. Sci. Technol. 2020, 106, 106178. [Google Scholar] [CrossRef]
- He, Z.; Wang, H.; Li, F.; Tian, Y.; Wan, M.; Zhu, J. Effect of Fuel-Injection Distance and Cavity Rear-Wall Height on the Flameholding Characteristics in a Mach 2.52 Supersonic Flow. Aerospace 2022, 9, 566. [Google Scholar] [CrossRef]
- Ma, S.; Zhong, F.; Zhang, X. Numerical study on supersonic combustion of hydrogen and its mixture with Ethylene and methane with strut injection. Int. J. Hydrog. Energy 2018, 43, 7591–7599. [Google Scholar] [CrossRef]
- Liu, Y.; Tan, J.; Wan, M.; Zhang, L.; Yao, X. Quantitative measurement of OH* and CH* chemiluminescence in jet diffusion flames. ACS Omega 2020, 5, 15922–15930. [Google Scholar] [CrossRef]
- Xi, W.; Xu, M.; Liu, C.; Liu, J.; Sunden, B. Generation and Propagation Characteristics of an Auto-Ignition Flame Kernel Caused by the Oblique Shock in a Supersonic Flow Regime. Energies 2022, 15, 3356. [Google Scholar] [CrossRef]
- Wang, H.; Wang, Z.; Sun, M. Experimental study of oscillations in a scramjet combustor with cavity flameholders. Exp. Therm. Fluid Sci. 2013, 45, 259–263. [Google Scholar] [CrossRef]
- Horiuti, K. Large eddy simulation of turbulent channel flow by one-equation modeling. J. Phys. Soc. Jpn. 1985, 54, 2855–2865. [Google Scholar] [CrossRef]
- Jachimowski, C.J. An Analytical Study of the Hydrogen-Air Reaction Mechanism with Application to Scramjet Combustion; NASA: Washington, DC, USA, 1988. [Google Scholar]
- Mitani, T.; Kouchi, T. Flame structures and combustion efficiency computed for a Mach 6 scramjet engine. Combust. Flame 2005, 142, 187–196. [Google Scholar] [CrossRef]
- Génin, F.; Menon, S. Simulation of turbulent mixing behind a strut injector in supersonic flow. AIAA J. 2010, 48, 526–539. [Google Scholar] [CrossRef]














| Case | Injection Pressure Setting/MPa | Global Equivalent Ratio | Nozzle Location |
|---|---|---|---|
| 1 | 2.0 | 0.35 | U2, D1 |
| 2 | 2.0 | 0.52 | U1, D1, D3 |
| 3 | 2.0 | 0.70 | U1, U2, D1, D3 |
| 4 | 2.0 | 0.35 | D3, D1 |
| 5 | 2.0 | 0.35 | U1, D1 |
| 6 | PU2 = 3.0, PD1 = 1.0 | 0.35 | U2, D1 |
| 7 | PU2 = 1.0, PD1 = 3.0 | 0.35 | U2, D1 |
| Number | Reaction | A () | n | E () |
|---|---|---|---|---|
| 1 | H2 + O2 = HO2 + H | 1.00 × 1014 | 0.00 | 56,034.7 |
| 2 | H2 + O2 = OH + O | 2.60 × 1014 | 0.00 | 16,810.4 |
| 3 | H2 + O = OH + H | 1.80 × 1010 | 1.00 | 8905.5 |
| 4 | H2 + OH = H + H2O | 2.20 × 1013 | 0.00 | 5153.2 |
| 5 | OH + OH = O + H2O | 6.30 × 1012 | 0.00 | 1090.7 |
| 6 | H + OH + M = H2O + M | 2.20 × 1022 | 2.00 | 0.0 |
| H2O/6.0 | ||||
| 7 | H + H + M = H2 + M | 6.40 × 1017 | 1.00 | 0.0 |
| H2/2.0/H2O/6.0 | ||||
| 8 | H + O + M = OH + M | 6.00 × 1016 | 0.60 | 0.0 |
| H2O/5.0 | ||||
| 9 | H + O2 + M = HO2 + M | 2.10 × 1015 | 0.00 | −1000.6 |
| H2/2.0/H2O/16.0 | ||||
| 10 | O + O + M = O2 + M | 6.00 × 1013 | 0.00 | −1801.1 |
| 11 | HO2 + H = OH + OH | 1.40 × 1014 | 0.00 | 1080.7 |
| 12 | HO2 + H = H2O + O | 1.00 × 1013 | 0.00 | 1080.7 |
| 13 | HO2 + O = O2 + OH | 1.50 × 1013 | 0.00 | 950.6 |
| 14 | HO2 + OH = H2O + O2 | 8.00 × 1012 | 0.00 | 0.0 |
| 15 | HO2 + HO2 = H2O2 + O2 | 2.00 × 1012 | 0.00 | 0.0 |
| 16 | H + H2O2 = H2 + H2O | 1.40 × 1012 | 0.00 | 3602.2 |
| 17 | O + H2O2 = OH + HO2 | 1.40 × 1013 | 0.00 | 6404.0 |
| 18 | H2O2 + OH = H2O + HO2 | 6.10 × 1012 | 0.00 | 1430.9 |
| 19 | H2O2 + M = OH + OH + M | 1.20 × 1017 | 0.00 | 45,528.2 |
| H2O/15.0 | ||||
Disclaimer/Publisher’s Note: The statements, opinions and data contained in all publications are solely those of the individual author(s) and contributor(s) and not of MDPI and/or the editor(s). MDPI and/or the editor(s) disclaim responsibility for any injury to people or property resulting from any ideas, methods, instructions or products referred to in the content. |
© 2023 by the authors. Licensee MDPI, Basel, Switzerland. This article is an open access article distributed under the terms and conditions of the Creative Commons Attribution (CC BY) license (https://creativecommons.org/licenses/by/4.0/).
Share and Cite
Xi, W.; Xu, H.; Dong, T.; Lin, Z.; Liu, J. Numerical Investigation of Combustion Mechanism with Multi-Position Injection in a Dual-Mode Combustor. Aerospace 2023, 10, 656. https://doi.org/10.3390/aerospace10070656
Xi W, Xu H, Dong T, Lin Z, Liu J. Numerical Investigation of Combustion Mechanism with Multi-Position Injection in a Dual-Mode Combustor. Aerospace. 2023; 10(7):656. https://doi.org/10.3390/aerospace10070656
Chicago/Turabian StyleXi, Wenxiong, Hui Xu, Tianyang Dong, Zhiyong Lin, and Jian Liu. 2023. "Numerical Investigation of Combustion Mechanism with Multi-Position Injection in a Dual-Mode Combustor" Aerospace 10, no. 7: 656. https://doi.org/10.3390/aerospace10070656
APA StyleXi, W., Xu, H., Dong, T., Lin, Z., & Liu, J. (2023). Numerical Investigation of Combustion Mechanism with Multi-Position Injection in a Dual-Mode Combustor. Aerospace, 10(7), 656. https://doi.org/10.3390/aerospace10070656

