Numerical Investigation on the Effect of Height-to-Radius Ratio on Flow Separation Features in S-Shaped Diffuser with Boundary Layer Ingestion
Abstract
1. Introduction
2. Problem Descriptions and Hypothesis
3. Methodology
3.1. S-Shaped Diffuser Geometry
3.2. Numerical Methods
3.3. Validation
3.4. Test Cases
4. Results
4.1. Verification under Uniform Inlet Condition
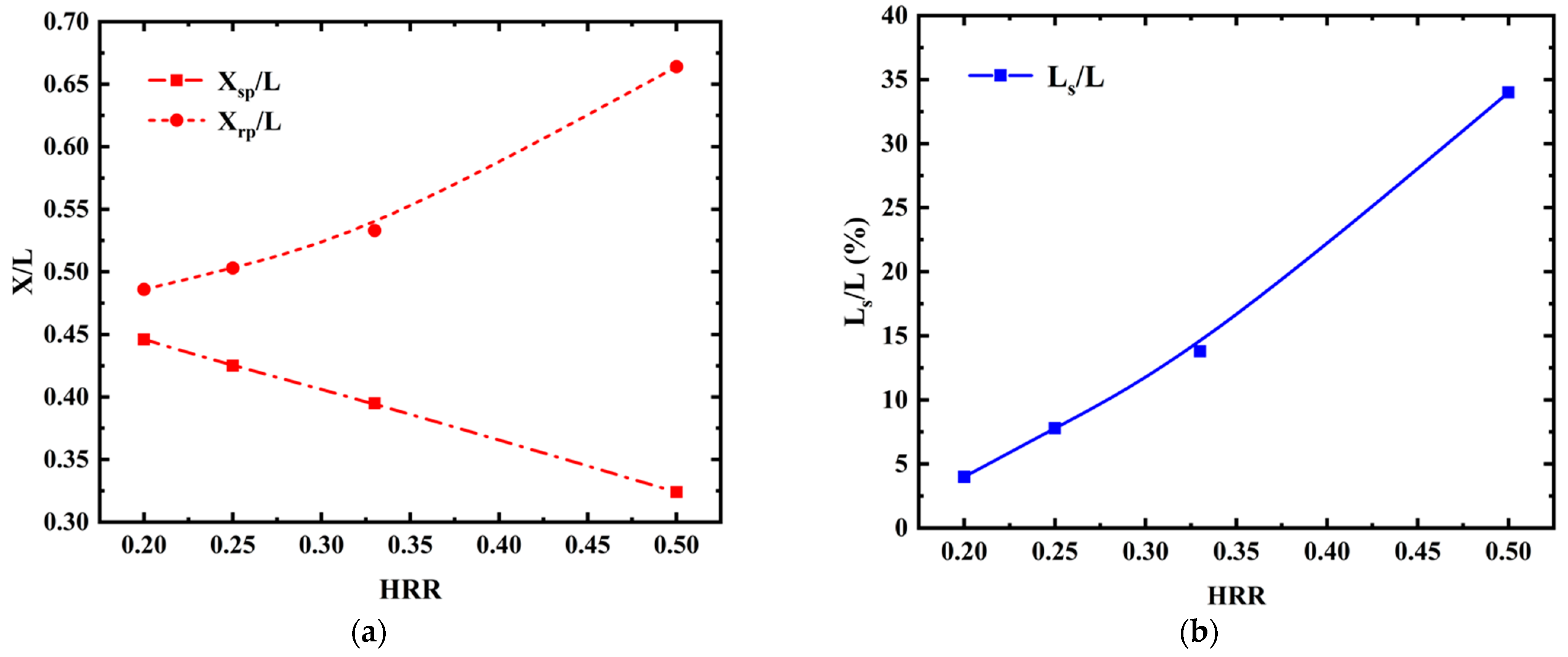
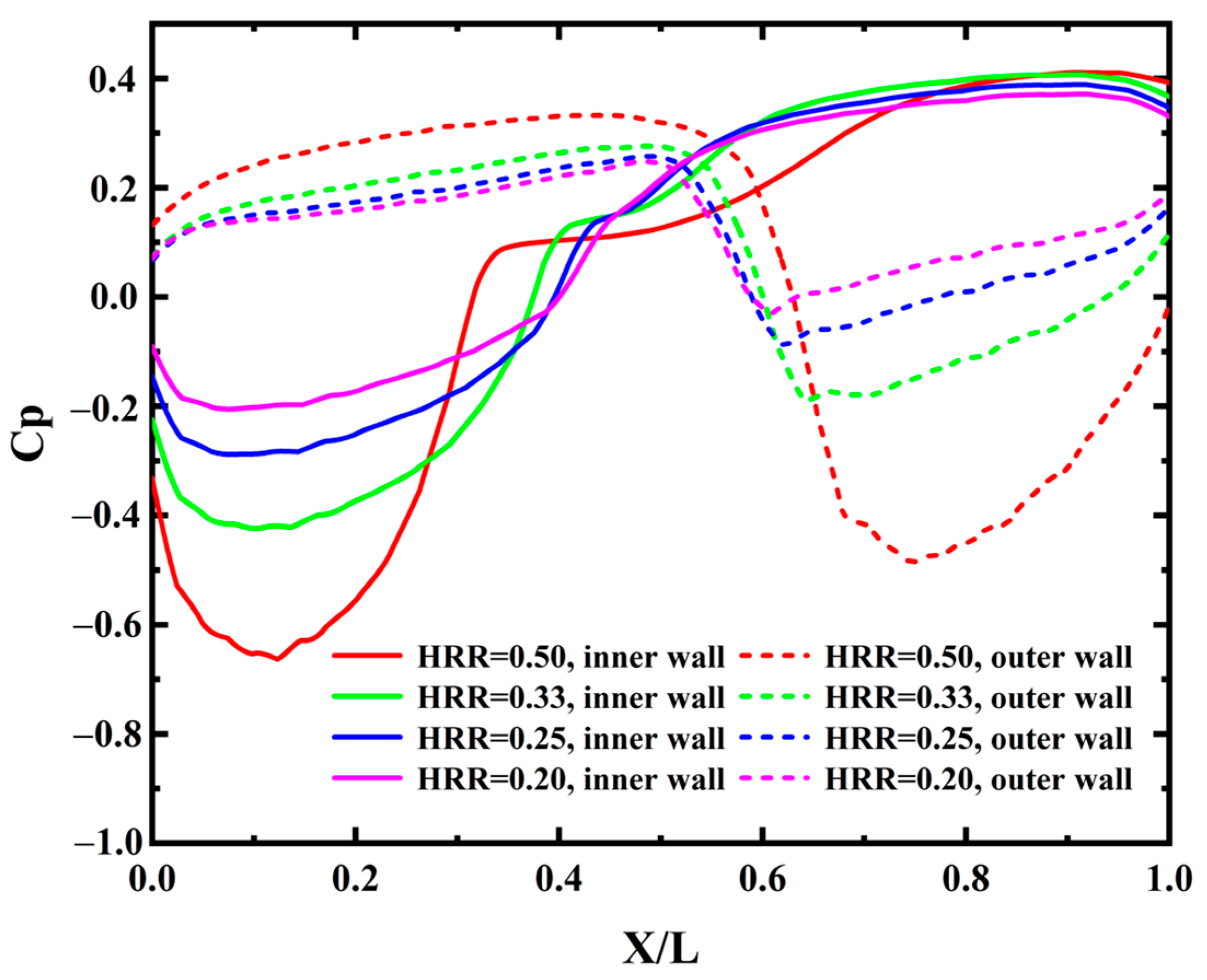
4.2. Effect of HRR on Separation Features with BLI
4.3. Application under Fixed Boundary Layer Thickness
5. Conclusions
Author Contributions
Funding
Data Availability Statement
Conflicts of Interest
References
- Arne, S.; Anaïs, L.H.; Fabian, P.; Florian, T.; Alejandro, C.P.; Biagio, D.C.; Martijn, V.S.; Zdobyslaw, G.; Mariusz, K.; Xin, Z.; et al. Proof of Concept Study for Fuselage Boundary Layer Ingesting Propulsion. Aerospace 2021, 8, 16. [Google Scholar] [CrossRef]
- Sahoo, S.; Zhao, X.; Kyprianidis, K. A Review of Concepts, Benefits, and Challenges for Future Electrical Propulsion-Based Aircraft. Aerospace 2020, 7, 44. [Google Scholar] [CrossRef]
- Uranga, A.; Drela, M.; Greitzer, E.M.; Titchener, N.; Lieu, M.; Siu, N.; Huang, A.; Gatlin, G.M.; Hannon, J. Preliminary Experimental Assessment of the Boundary Layer Ingestion Benefit for the D8 Aircraft, AIAA 2014-0906, AIAA SciTech 52nd. In Proceedings of the Aerospace Sciences Meeting, National Harbor, MA, USA, 13–17 January 2014. [Google Scholar]
- Felder, J.L.; Kim, H.D.; Brown, G.V. Turboelectric Distributed Propulsion Engine Cycle Analysis for Hybrid-Wing-Body Aircraft. In Proceedings of the AIAA 2009-1132, 47th AIAA Aerospace Sciences Meeting Including the New Horizons Forum and Aerospace Exposition, Orlando, FL, USA, 5–8 January 2009. [Google Scholar]
- Leifsson, L.; Ko, A.; Mason, W.H.; Schetz, J.A.; Grossman, B.; Haftka, R.T. Multidisciplinary design optimization of blended-wing-body transport aircraft with distributed propulsion. Aerosp. Sci. Technol. 2013, 25, 16–28. [Google Scholar] [CrossRef]
- Smith, L.H. Wake ingestion propulsion benefit. J. Propuls. Power 1993, 9, 74–82. [Google Scholar] [CrossRef]
- Smith, A.M.O.; Roberts, H.E. The jet airplane utilizing boundary layer air for propulsion. J. Aeronaut. Sci. 1947, 14, 97–109. [Google Scholar] [CrossRef]
- Vaccaro, J.C.; Elimelech, Y.; Chen, Y.; Sahni, O.; Jansen, K.; Amitay, M. Experimental and Numerical Investigation of Steady Blowing Flow Control Within a Compact Inlet Duct. Int. J. Heat Fluid Flow 2015, 54, 1143–1152. [Google Scholar] [CrossRef]
- Plas, A.P.; Sargeant, M.A.; Madani, V.; Crichton, D.; Greitzer, E.M.; Hynes, T.P.; Hall, C.A. Performance of a Boundary Layer Ingesting (BLI) Propulsion System. In Proceedings of the AIAA 2007-450, 45th Aerospace Sciences Meeting and Exhibit, Reno, NE, USA, 8–11 January 2007. [Google Scholar]
- Berrier, B.L.; Allan, B.G. Experimental and Computational Evaluation of Flush-Mounted, S-Duct Inlets. In Proceedings of the AIAA 2004-764, 42nd Aerospace Sciences Meeting and Exhibit, Reno, NE, USA, 5–8 January 2004. [Google Scholar]
- Lu, H.; Yang, Z.; Pan, T.; Li, Q. Non-Uniform Stator Loss Reduction Design Strategy in a Transonic Axial-Flow Compressor Stage under Inflow Distortion. Aerosp. Sci. Technol. 2019, 92, 347–362. [Google Scholar] [CrossRef]
- Zhang, W.; Stapelfeldt, S.; Vahdati, M. Influence of the Inlet Distortion on Fan Stall Margin at Different Rotational Speeds. Aerosp. Sci. Technol. 2020, 98, 105668. [Google Scholar] [CrossRef]
- Wellborn, S.R.; Reichert, B.A.; Okiishi, T.H. An Experimental Investigation of the Flow in a Diffusing S-Duct. In Proceedings of the AIAA 1992-3622, 28th Joint Propulsion Conference and Exhibit, Nashville, TN, USA, 6–8 July 1992. [Google Scholar]
- Fiola, C.; Agarwal, R.K. Simulation of Secondary and Separated Flow in Diffusing S-Ducts. J. Propuls. Power 2015, 31, 180–191. [Google Scholar] [CrossRef]
- Ng, Y.T.; Luo, S.C.; Lim, T.T.; Ho, Q.W. On Swirl Development in a Square Cross-Sectioned, S-Shaped Duct. Exp. Fluids 2006, 41, 975–989. [Google Scholar] [CrossRef]
- Ng, Y.T.; Luo, S.C.; Lim, T.T.; Ho, Q.W. On the Relation between Centrifugal Force and Radial Pressure Gradient in Flow inside Curved and S-shaped Ducts. Phys. Fluids 2008, 20, 055109. [Google Scholar] [CrossRef]
- Couey, P.T.; McKeever, C.W.; Malak, M.F.; Balamurugan, S.; Raju Veeraraghava, H.; Dhinagaran, R. Computational Study of Geometric Parameter Influence on Aggressive Inter-Turbine Duct Performance. In Proceedings of the GT2010-23604, ASME Turbo Expo 2010, Glasgow, UK, 14–18 June 2010. [Google Scholar]
- Gorton, S.A.; Owens, L.; Jenkins, L.; Allan, B.G.; Schuster, E.P. Active Flow Control on a Boundary-layer-ingesting Inlet. In Proceedings of the AIAA 2004-1203, 42nd Aerospace Sciences Meeting and Exhibit, Reno, NE, USA, 5–8 January 2004. [Google Scholar]
- Allan, B.G.; Owens, L. Numerical Modeling of Flow Control in a Boundary-layer-ingesting Offset Inlet Diffuser at Transonic Mach Numbers. In Proceedings of the AIAA 2006-845, 44th Aerospace Sciences Meeting and Exhibit, Reno, NE, USA, 9–12 January 2006. [Google Scholar]
- Owens, L.; Allan, B.G.; Gorton, S.A. Boundary-layer-ingesting Inlet Flow Control. In Proceedings of the AIAA 2006-839, 44th Aerospace Sciences Meeting and Exhibit, Reno, NE, USA, 9–12 January 2006. [Google Scholar]
- Anabtawi, A.; Blackwelder, R.; Lissaman, P.; Liebeck, R. An Experimental Study of Vortex Generators in Boundary Layer Ingesting Diffusers with a Centerline Offset. In Proceedings of the AIAA 99-2110, 35th Joint Propulsion Conference and Exhibit, Los Angeles, CA, USA, 20–24 June 1999. [Google Scholar]
- Chiang, C.; Koo, D.; Zingg, D.W. Aerodynamic Shape Optimization of an S-Duct Intake for a Boundary Layer Ingesting Engine. In Proceedings of the AIAA 2021-2468, AIAA Aviation Forum, Virtual Event, 2–6 August 2021. [Google Scholar]
- Lee, B.J.; Liou, M.; Kim, C. Optimizing a Boundary-Layer-Ingestion Offset Inlet by Discrete Adjoint Approach. AIAA J. 2010, 48, 2008–2016. [Google Scholar] [CrossRef]
- Rodriguez, D.L. A 3D Multidisciplinary Design Method for Boundary Layer Ingesting Inlets. In Proceedings of the AIAA 2000-0424, 38th Aerospace Sciences Meeting and Exhibit, Reno, NE, USA, 10–13 January 2000. [Google Scholar]
- Rodriguez, D.L. Multidisciplinary Optimization Method for Designing Boundary-Layer-Ingesting Inlets. J. Aircr. 2009, 46, 883–894. [Google Scholar] [CrossRef]
- Greitzer, E.M.; Tan, C.S.; Graf, M.B. Internal Flow: Concepts and Applications; Cambridge University Press: Cambridge, UK, 2007. [Google Scholar]
- Allan, B.G.; Yao, C.S.; Lin, J.C. Numerical simulations of vortex generator vanes and jets on a flat plate. In Proceedings of the AIAA 2002-3160, 1st Flow Control Conference, St. Louis, MO, USA, 24–26 June 2002. [Google Scholar]
- Gan, W.; Zhang, X. Design optimization of a three-dimensional diffusing S-duct using a modified SST turbulent model. Aerosp. Sci. Technol. 2017, 63, 63–72. [Google Scholar] [CrossRef]
- “Gas Turbine Engine Inlet Flow Distortion”. Society of Automotive Engineers, Rept. ARP-1420, March 1978. Available online: https://www.sae.org/standards/content/arp1420/ (accessed on 1 March 1978).























| Data Source | Number of Mesh Cells | (δ/r1) × 100 | (δ1/r1) × 100 | (δ2/r1) × 100 | H |
|---|---|---|---|---|---|
| Experiment [13] | - | 6.95 (−) | 1.46 (−) | 1.06 (−) | 1.38 (−) |
| Coarse mesh | 0.57 million | 6.603 (4.99%) | 1.37 (6.16%) | 1.019 (3.87%) | 1.344 (2.61%) |
| Fine mesh | 1.20 million | 6.931 (0.28%) | 1.423 (2.53%) | 1.026 (3.21%) | 1.387 (0.51%) |
| Dense mesh | 2.53 million | 6.933 (0.24%) | 1.424 (2.47%) | 1.027 (3.11%) | 1.387 (0.51%) |
| Test Case | HRR | BLI (%) | ReHin × 10−6 | Maavg,AIP |
|---|---|---|---|---|
| Case 1 | 0.20 | 0 | 3.62 | 0.496 |
| Case 2 | 0.20 | 33 | 3.51 | 0.494 |
| Case 3 | 0.20 | 66 | 3.32 | 0.493 |
| Case 4 | 0.20 | 100 | 3.13 | 0.491 |
| Case 5 | 0.25 | 0 | 4.57 | 0.501 |
| Case 6 | 0.25 | 80 | 4.08 | 0.497 |
| Case 7 | 0.33 | 0 | 6.15 | 0.503 |
| Case 8 | 0.33 | 60 | 5.65 | 0.498 |
| Case 9 | 0.50 | 0 | 9.24 | 0.506 |
| Case 10 | 0.50 | 33 | 8.80 | 0.505 |
| Case 11 | 0.50 | 40 | 8.71 | 0.505 |
| Case 12 | 0.50 | 66 | 8.33 | 0.502 |
| Case 13 | 0.50 | 100 | 7.82 | 0.499 |
Disclaimer/Publisher’s Note: The statements, opinions and data contained in all publications are solely those of the individual author(s) and contributor(s) and not of MDPI and/or the editor(s). MDPI and/or the editor(s) disclaim responsibility for any injury to people or property resulting from any ideas, methods, instructions or products referred to in the content. |
© 2023 by the authors. Licensee MDPI, Basel, Switzerland. This article is an open access article distributed under the terms and conditions of the Creative Commons Attribution (CC BY) license (https://creativecommons.org/licenses/by/4.0/).
Share and Cite
Li, Z.; Lu, Y.; Pan, T.; Zhang, Y. Numerical Investigation on the Effect of Height-to-Radius Ratio on Flow Separation Features in S-Shaped Diffuser with Boundary Layer Ingestion. Aerospace 2023, 10, 551. https://doi.org/10.3390/aerospace10060551
Li Z, Lu Y, Pan T, Zhang Y. Numerical Investigation on the Effect of Height-to-Radius Ratio on Flow Separation Features in S-Shaped Diffuser with Boundary Layer Ingestion. Aerospace. 2023; 10(6):551. https://doi.org/10.3390/aerospace10060551
Chicago/Turabian StyleLi, Zhiping, Yujiang Lu, Tianyu Pan, and Yafei Zhang. 2023. "Numerical Investigation on the Effect of Height-to-Radius Ratio on Flow Separation Features in S-Shaped Diffuser with Boundary Layer Ingestion" Aerospace 10, no. 6: 551. https://doi.org/10.3390/aerospace10060551
APA StyleLi, Z., Lu, Y., Pan, T., & Zhang, Y. (2023). Numerical Investigation on the Effect of Height-to-Radius Ratio on Flow Separation Features in S-Shaped Diffuser with Boundary Layer Ingestion. Aerospace, 10(6), 551. https://doi.org/10.3390/aerospace10060551
