Analysis of the Short-Term Dynamics of Morphing Aircraft Caused by Shape Change Based on the Open-Loop Response and the Reachable Set Theory
Abstract
1. Introduction
- This paper provides detailed steps on converted the coupled morphing aircraft dynamics equations into a form that can be calculated using a numerical solver;
- Unlike the longitudinal model in the existing works, this paper investigates the dynamics of the morphing process of the morphing aircraft based on a six-degree-of-freedom model and compares the forces and moments of inertial, aerodynamic, and gravity during this process;
- We use the size of the backward reachable set to measure the maneuverability and response speed of the morphing aircraft and present a clear visualization of the improvement of the aircraft’s maneuverability due to morphing.
2. Model of Morphing Aircraft
2.1. Multi-Loop Cascaded Dynamic Equations
2.2. Model Decoupling
2.3. Parameter Setting
3. Analysis of Morphing Dynamics Based on Open-Loop Response Characteristics
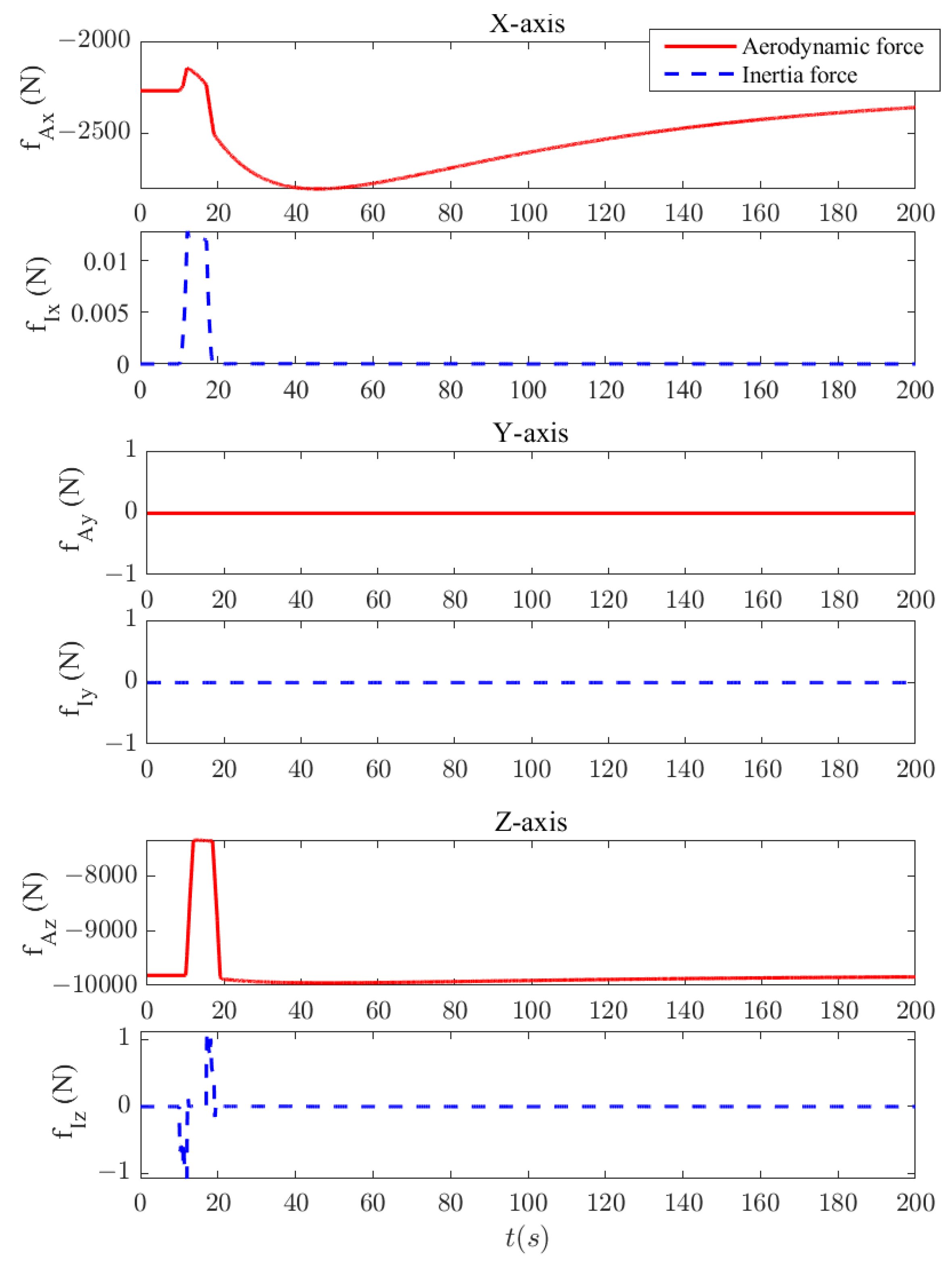
3.1. Steady Wing-Level Flight
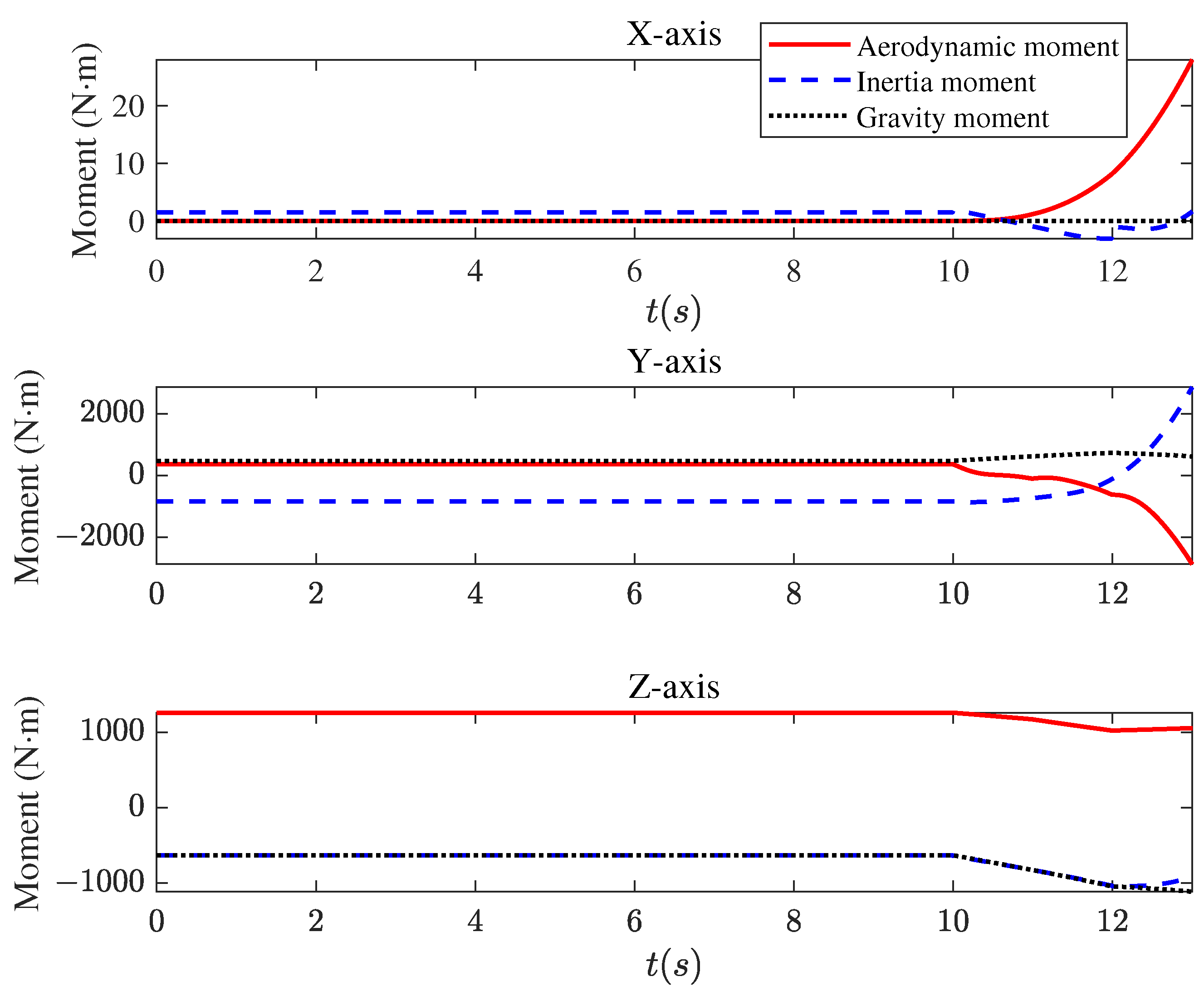
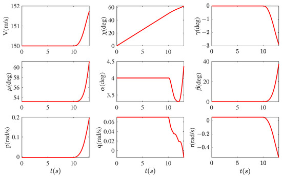
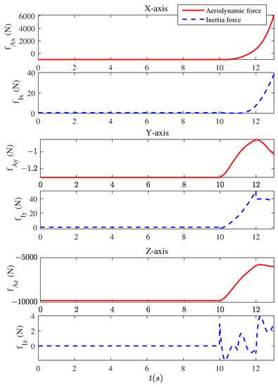
3.2. Steady Turning Flight
4. Maneuvering Performance Analysis of Morphing Aircraft Based on Reachable Set Theory
4.1. Preliminaries of Reachable Set Theory
4.2. Reachable Set of the Flight Path Loop
4.3. Reachable Set of the Angular Rate Loop
5. Conclusions
- Morphing can significantly impact the dynamics of the aircraft, especially during turns where a change in shape can result in a loss of stability.
- Among the various factors affected by morphing, the change in aerodynamic forces, additional inertia moment, and variation in the additional gravitational moment appear to have the most significant effects on dynamics, while inertial forces are generally negligible compared to the aerodynamic forces.
- Morphing can substantially improve the response speed of the angular velocity loop, while having a smaller impact on the response speed of the flight path loop. As a result, the maneuverability of the aircraft can be significantly improved through morphing.
Author Contributions
Funding
Institutional Review Board Statement
Informed Consent Statement
Data Availability Statement
Conflicts of Interest
References
- Li, D.C.; Zhao, S.W.; Da Ronch, A.; Xiang, J.W.; Drofelnik, J.; Li, Y.C.; Zhang, L.; Wu, Y.N.; Kintscher, M.; Monner, H.P.; et al. A review of modelling and analysis of morphing wings. Prog. Aerosp. Sci. 2018, 100, 46–62. [Google Scholar] [CrossRef]
- Barbarino, S.; Bilgen, O.; Ajaj, R.M.; Friswell, M.I.; Inman, D.J. A Review of Morphing Aircraft. J. Intell. Mater. Syst. Struct. 2011, 22, 823–877. [Google Scholar] [CrossRef]
- Seigler, T.M.; Neal, D.A.; Bae, J.S.; Inman, D.J. Modeling and flight control of large-scale morphing aircraft. J. Aircr. 2007, 44, 1077–1087. [Google Scholar] [CrossRef]
- Xu, W.F.; Li, Y.H.; Pei, B.B.; Yu, Z.L. A Nonlinear Programming-Based Morphing Strategy for a Variable-Sweep Morphing Aircraft Aiming at Optimizing the Cruising Efficiency. Aerospace 2023, 10, 49. [Google Scholar] [CrossRef]
- Chen, X.Y.; Li, C.N.; Gong, C.L.; Gu, L.X.; Da Ronch, A. A study of morphing aircraft on morphing rules along trajectory. Chin. J. Aeronaut. 2021, 34, 232–243. [Google Scholar] [CrossRef]
- Junior, J.M.; Halila, G.; Kim, Y.; Khamvilai, T.; Vamvoudakis, K.G. Intelligent data-driven aerodynamic analysis and optimization of morphing configurations. Aerosp. Sci. Technol. 2022, 121, 107388. [Google Scholar] [CrossRef]
- Joshi, S.; Tidwell, Z.; Crossley, W.; Ramakrishnan, S. Comparison of Morphing Wing Stategies Based upon Aircraft Performance Impacts. In Proceedings of the 45th AIAA/ASME/ASCE/AHS/ASC Structures, Structural Dynamics and amp; Materials Conference, Palm Spring, CA, USA, 19–22 April 2004. [Google Scholar] [CrossRef]
- Gao, L.; Zhu, Y.; Liu, Y.; Zhang, J.; Liu, B.; Zhao, J. Analysis and Control for the Mode Transition of Tandem-Wing Aircraft with Variable Sweep. Aerospace 2022, 9, 463. [Google Scholar] [CrossRef]
- Yan, B.; Dai, P.; Liu, R.; Xing, M.; Liu, S. Adaptive super-twisting sliding mode control of variable sweep morphing aircraft. Aerosp. Sci. Technol. 2019, 92, 198–210. [Google Scholar] [CrossRef]
- Zhu, L.; Liu, Z.; Li, L. Modeling and aerodynamic characteristics analysis of morphing aircraft. In Proceedings of the 2017 29th Chinese Control and Decision Conference (CCDC), Chongqing, China, 28–30 May 2017. [Google Scholar] [CrossRef]
- Seigler, T.; Neal, D.; Inman, D. Dynamic Modeling of Large-Scale Morphing Aircraft. In Proceedings of the 47th AIAA/ASME/ASCE/AHS/ASC Structures, Structural Dynamics, and Materials, Boston, MA, USA, 8–11 April 2013. [Google Scholar] [CrossRef]
- Shi, R.; Wan, W. Analysis of flight dynamics for large-scale morphing aircraft. Aircr. Eng. Aerosp. Technol. 2015, 87, 38–44. [Google Scholar] [CrossRef]
- He, Z.; Lu, Y.; Zheng, M. Simulation and analysis of perching maneuvers for morphing UAVs. In Proceedings of the Control Conference, Portland, OR, USA, 4–6 June 2014. [Google Scholar] [CrossRef]
- Yue, T.; Zhang, X.Y.; Wang, L.X.; Ai, J.Q. Flight dynamic modeling and control for a telescopic wing morphing aircraft via asymmetric wing morphing. Aerosp. Sci. Technol. 2017, 70, 328–338. [Google Scholar] [CrossRef]
- Yang, G.; Guo, H.; Liu, R. Design and Analysis of a Variable-span and Cambered Span Morphing Wing for UAV. In Proceedings of the 2019 IEEE International Conference on Robotics and Biomimetics (ROBIO), Dali, China, 6–8 December 2019. [Google Scholar] [CrossRef]
- Seigler, T. Dynamics and Control of Morphing Aircraft. Ph.D. Thesis, Virginia Tech, Blacksburg, VA, USA, 2005. [Google Scholar]
- Love, M.; Zink, S.; Stroud, R.; Bye, D.; Chase, C. Impact of Actuation Concepts on Morphing Aircraft Structures. In Proceedings of the Aiaa/asme/asce/ahs/asc Structures, Structural Dynamics and Materials Conference, Palm Springs, CA, USA, 19–22 April 2004. [Google Scholar] [CrossRef]
- Lu, P.; van Kampen, E.J.; de Visser, C.; Chu, Q.P. Aircraft fault-tolerant trajectory control using Incremental Nonlinear Dynamic Inversion. Control. Eng. Pract. 2016, 57, 126–141. [Google Scholar] [CrossRef]
- Stevens, B.L.; Lewis, F.L. Aircraft Control and Simulation; Wiley: New York, NY, USA, 2003; Volume 76. [Google Scholar]
- Xu, W.F.; Li, Y.H.; Pei, B.B.; Yu, Z.L. Coordinated intelligent control of the flight control system and shape change of variable sweep morphing aircraft based on dueling-DQN. Aerosp. Sci. Technol. 2022, 130, 107898. [Google Scholar] [CrossRef]
- Xu, W.; Li, Y.; Lv, M.; Pei, B. Modeling and switching adaptive control for nonlinear morphing aircraft considering actuator dynamics. Aerosp. Sci. Technol. 2022, 122, 107349. [Google Scholar] [CrossRef]
- Lygeros, J. On reachability and minimum cost optimal control. Automatica 2004, 40, 917–927. [Google Scholar] [CrossRef]
- Zhu, P.; Zhou, S.Z. Relaxation Lax-Friedrichs sweeping scheme for static Hamilton-Jacobi equations. Numer. Algorithms 2010, 54, 325–342. [Google Scholar] [CrossRef]
- Mitchell, I.M. The flexible, extensible and efficient Toolbox of Level Set Methods. J. Sci. Comput. 2008, 35, 300–329. [Google Scholar] [CrossRef]















| Flight Condition | Lose Stability | |||
|---|---|---|---|---|
| m, m/s | No | 0 | ||
| m, m/s | No | 0 | ||
| m, m/s | No | 0 | ||
| m, m/s | No | 0 | ||
| m, m/s | No | 0 | ||
| m, m/s | No | 0 | ||
| m, m/s | No | 0 | ||
| m, m/s | No | 0 | ||
| m, m/s | No | 0 |
| Flight Condition | ||||||
|---|---|---|---|---|---|---|
| m, m/s | 0 | 0 | 0 | 0 | ||
| m, m/s | 0 | 0 | 0 | 0 | ||
| m, m/s | 0 | 0 | 0 | 0 | ||
| m, m/s | 0 | 0 | 0 | 0 | ||
| m, m/s | 0 | 0 | 0 | 0 | ||
| m, m/s | 0 | 0 | 0 | 0 | ||
| m, m/s | 0 | 0 | 0 | 0 | ||
| m, m/s | 0 | 0 | 0 | 0 | ||
| m, m/s | 0 | 0 | 0 | 0 |
| Initial Configuration | Lose Stability | |||
|---|---|---|---|---|
| No | 0 | |||
| No | 0 | |||
| No | 0 |
| Initial Configuration | ||||||
|---|---|---|---|---|---|---|
| 0 | 0 | 0 | 0 | |||
| 0 | 0 | 0 | 0 | |||
| 0 | 0 | 0 | 0 |
| Flight Condition | Lose Stability | |||
|---|---|---|---|---|
| m, m/s | Yes | |||
| m, m/s | Yes | |||
| m, m/s | Yes | |||
| m, m/s | Yes | |||
| m, m/s | Yes | |||
| m, m/s | Yes | |||
| m, m/s | Yes | |||
| m, m/s | Yes | |||
| m, m/s | Yes |
| Flight Condition | ||||||
|---|---|---|---|---|---|---|
| m, m/s | 0 | |||||
| m, m/s | 0 | |||||
| m, m/s | 0 | |||||
| m, m/s | 0 | |||||
| m, m/s | 0 | |||||
| m, m/s | 0 | |||||
| m, m/s | 0 | |||||
| m, m/s | 0 | |||||
| m, m/s | 0 |
| Initial Configuration | Lose Stability | |||
|---|---|---|---|---|
| No | 0 | |||
| No | 0 | |||
| No | 0 |
| Initial Configuration | ||||||
|---|---|---|---|---|---|---|
| 0 | 0 | 0 | 0 | |||
| 0 | 0 | 0 | 0 | |||
| 0 | 0 | 0 | 0 |
Disclaimer/Publisher’s Note: The statements, opinions and data contained in all publications are solely those of the individual author(s) and contributor(s) and not of MDPI and/or the editor(s). MDPI and/or the editor(s) disclaim responsibility for any injury to people or property resulting from any ideas, methods, instructions or products referred to in the content. |
© 2023 by the authors. Licensee MDPI, Basel, Switzerland. This article is an open access article distributed under the terms and conditions of the Creative Commons Attribution (CC BY) license (https://creativecommons.org/licenses/by/4.0/).
Share and Cite
Xia, F.; Jing, B.; Xu, W. Analysis of the Short-Term Dynamics of Morphing Aircraft Caused by Shape Change Based on the Open-Loop Response and the Reachable Set Theory. Aerospace 2023, 10, 448. https://doi.org/10.3390/aerospace10050448
Xia F, Jing B, Xu W. Analysis of the Short-Term Dynamics of Morphing Aircraft Caused by Shape Change Based on the Open-Loop Response and the Reachable Set Theory. Aerospace. 2023; 10(5):448. https://doi.org/10.3390/aerospace10050448
Chicago/Turabian StyleXia, Fuming, Bo Jing, and Wenfeng Xu. 2023. "Analysis of the Short-Term Dynamics of Morphing Aircraft Caused by Shape Change Based on the Open-Loop Response and the Reachable Set Theory" Aerospace 10, no. 5: 448. https://doi.org/10.3390/aerospace10050448
APA StyleXia, F., Jing, B., & Xu, W. (2023). Analysis of the Short-Term Dynamics of Morphing Aircraft Caused by Shape Change Based on the Open-Loop Response and the Reachable Set Theory. Aerospace, 10(5), 448. https://doi.org/10.3390/aerospace10050448
